Mixing Sodium-Chloride-Rich Food Waste Compost with Livestock Manure Composts Enhanced the Agronomic Performance of Leaf Lettuce
Abstract
1. Introduction
2. Materials and Methods
2.1. Preparation of the Compost, and Compost and Soil Analysis
2.2. Experimental Setup and the Lettuce Yield and Quality Parameters Assessed
3. Statistical Analysis
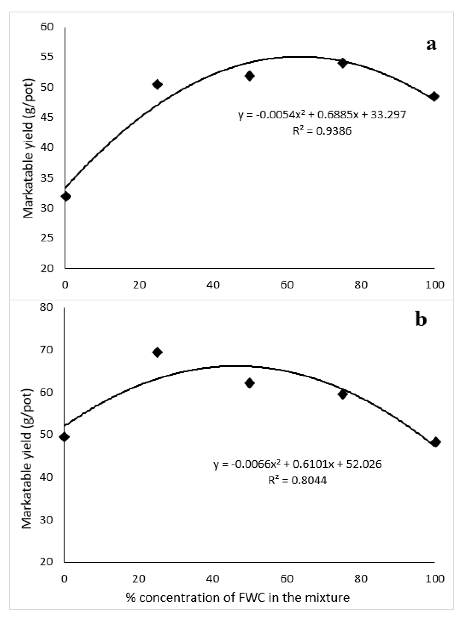
4. Results
5. Discussions
6. Conclusions
Author Contributions
Funding
Institutional Review Board Statement
Informed Consent Statement
Data Availability Statement
Conflicts of Interest
References
- Guo, X.; Yang, X. The economic and environmental benefits analysis for food waste anaerobic treatment: A case study in Beijing. Environ. Sci. Pollut. Res. 2019, 26, 10374–10386. [Google Scholar] [CrossRef]
- Tomlinson, I. Doubling food production to feed the 9 billion: A critical perspective on a key discourse of food security in the UK. J. Rural Stud. 2013, 29, 81–90. [Google Scholar] [CrossRef]
- Otles, S.; Despoudi, S.; Bucatariu, C.; Kartal, C. Food waste management, valorization, and sustainability in the food industry. In Food Waste Recovery: Processing Technologies and Industrial Techniques; Galanakis, C.M., Ed.; Academic Press: Cambridge, MA, USA, 2015; pp. 3–23. [Google Scholar]
- FAO. Global Food Losses and Food Waste—Extent, Causes and Prevention; Food and Agriculture Organization of the United Nations: Rome, Italy, 2011. [Google Scholar]
- Adhikari, B.K.; Barrington, S.; Martinez, J.; King, S. Characterization of food waste and bulking agents for composting. Waste Manag. 2008, 28, 795–804. [Google Scholar] [CrossRef]
- Hodge, K.L.; Levis, J.W.; DeCarolis, J.F.; Barlaz, M.A. Systematic Evaluation of Industrial, Commercial, and Institutional Food Waste Management Strategies in the United States. Environ. Sci. Technol. 2016, 50, 8444–8452. [Google Scholar] [CrossRef]
- Cerda, A.; Artola, A.; Font, X.; Barrena, R.; Gea, T.; Sanchez, A. Composting of Food Wastes: Status and Challenges. Bioresour. Technol. 2018, 248, 57–67. [Google Scholar] [CrossRef]
- McCarthy, J. Where Will the Trash Go When All the US Landfills Are Full? There Are a Few Ways to Avoid a Catastrophe. Available online: https://www.globalcitizen.org/en/content/us-landfills-are-filling-up/ (accessed on 12 August 2021).
- Kim, H.G.; Lee, B.K.; Cho, J.B. A Pilot Study on Emissions of Air Pollutants Produced from Incineration of Some Municipal Solid Wastes. J. Korean Soc. Atmos. Environ. 2006, 22, 49–56. [Google Scholar]
- Donahue, M. Report: Waste Incineration: A Dirty Secret in How States Define Renewable Energy. Available online: https://ilsr.org/waste-incineration-renewable-energy/ (accessed on 12 August 2021).
- O’Connor, J.; Hoang, S.A.; Bradney, L.; Dutta, S.; Xiong, X.; Tsang, D.C.W.; Ramadass, K.; Vinu, A.; Kirkham, M.B.; Bolan, N.S. A review on the valorisation of food waste as a nutrient source and soil amendment. Environ. Pollut. 2020, 272, 115985. [Google Scholar] [CrossRef]
- Zhou, Y.; Selvam, A.; Wong, J.W.C. Effect of Chinese Medicinal Herbal Residual on Microbial Community Succession and Anti-pathogenic Properties during Co-composting with Food Waste. Bioresour. Technol. 2016, 217, 190–199. [Google Scholar] [CrossRef] [PubMed]
- Lee, C.H.; Park, S.J.; Hwang, H.Y.; Kim, M.S.; Jung, H.; Luyima, D.; Hong, S.Y.; Oh, T.K.; Kim, S.H. Effects of food waste compost on the shift of microbial community in water saturated and unsaturated soil condition. Appl. Biol. Chem. 2016, 62, 36. [Google Scholar] [CrossRef]
- Lee, J.H.; Luyima, D.; Lee, C.H.; Park, S.J.; Oh, T.K. Efficiencies of unconventional bulking agents in composting food waste in Korea. Appl. Biol. Chem. 2020, 63, 68. [Google Scholar] [CrossRef]
- Lee, C.H.; Ko, B.G.; Kim, M.S.; Park, S.J.; Yun, S.G.; Oh, T.K. Effect of Food Waste Compost on Crop Productivity and Soil Chemical Properties under Rice and Pepper Cultivation. Korean J. Soil Sci. Fert. 2016, 49, 682–688. [Google Scholar] [CrossRef][Green Version]
- Akbarimoghaddam, H.; Galavi, M.; Ghanbari, A.; Panjehkeh, N. Salinity effects on seed germination and seedling growth of bread wheat cultivars. Trakia J. Sci. 2011, 9, 43–50. [Google Scholar]
- Neocleous, D.; Koukounaras, A.; Siomos, A.S.; Vasilakakis, M. Changes in Photosynthesis, Yield, and Quality of Baby Lettuce under Salinity Stress. J. Agric. Sci. Tech. 2014, 16, 1335–1343. [Google Scholar]
- Bano, A.; Fatima, M. Salt tolerance in Zea mays (L.) following inoculation with Rhizobium and Pseudomonas. Biol. Fert. Soils 2009, 45, 405–413. [Google Scholar] [CrossRef]
- Netondo, G.W.; Onyango, J.C.; Beck, E. Sorghum and salinity: II. Gas exchange and chlorophyll fluorescence of sorghum under salt stress. Crop Sci. 2004, 44, 806–811. [Google Scholar] [CrossRef]
- Shrivastava, P.; Kumar, R. Soil salinity: A serious environmental issue and plant growth promoting bacteria as one of the tools for its alleviation. Saudi J. Biol. Sci. 2015, 22, 123–131. [Google Scholar] [CrossRef]
- Rath, K.M.; Rousk, J. Salt effects on the soil microbial decomposer community and their role in organic carbon cycling: A review. Soil Biol. Biochem. 2015, 81, 108–123. [Google Scholar] [CrossRef]
- Faithfull, N.T. Methods in Agricultural Chemical Analysis: A Practical Handbook; CABI Publishing: Wallingford, UK, 2002. [Google Scholar]
- Murphy, J.; Riley, J.P. A modified single solution method for the determination of phosphate in natural waters. Anal. Chim. Acta 1962, 27, 31–36. [Google Scholar] [CrossRef]
- Tinsley, J. The determination of organic carbon in soils by dichromate mixtures. In Proceedings of the Transactions 4th International Congress Soil Science, Amsterdam, The Netherlands, 24 July–1 August 1950; Volume 1, pp. 161–164. [Google Scholar]
- Nelson, D.W.; Sommers, L.E. Total carbon, organic carbon, and organic matter. In Methods of Soil Analysis: Part 3 Chemical Methods; Black, C.A., Ed.; Soil Science of America: Madison, WI, USA; American Society of Agronomy: Madison, WI, USA, 1996; pp. 961–1010. [Google Scholar]
- Kalra, Y.P. Handbook of Reference Methods for Plant Analysis; CRC Press: Boca Raton, FL, USA, 1998. [Google Scholar]
- Yoo, J.-H.; Luyima, D.; Lee, J.-H.; Park, S.-Y.; Yang, J.-W.; An, J.-Y.; Yun, Y.-U.; Oh, T.-K. Effects of brewer’s spent grain biochar on the growth and quality of leaf lettuce (Lactuca sativa L. var. crispa.). Appl. Biol. Chem. 2021, 64, 10. [Google Scholar] [CrossRef]
- Kwon, S.I.; So, K.H.; Hong, S.G.; Kim, G.Y.; Seong, K.S.; Park, W.K.; Kim, K.R.; Lee, D.B.; Jung, K.Y. The continuous application effect of the food waste composts on the cultivated upland soils and plants. J. Korea Org. Resour. Recycl. Assoc. 2009, 17, 71–81. [Google Scholar]
- Vo, M.H.; Wang, C.H. Effects of Manure Composts and Their Combination with Inorganic Fertilizer on Acid Soil Properties and the Growth of Muskmelon (Cucumis melo L.). Compost Sci. Util. 2015, 23, 117–127. [Google Scholar] [CrossRef]
- Troeh, F.R.; Thompson, L.M. Soils and Soil Fertility, 5th ed.; Oxford University Press: Oxford, UK, 1993; pp. 239–245, 273–275. [Google Scholar]
- Reider, C.R.; Herdman, W.R.; Drinkwater, L.E.; Janke, R. Yields and Nutrient Budgets Under Composts, Raw Dairy Manure and Mineral Fertilizer. Compost Sci. Util. 2000, 8, 328–339. [Google Scholar] [CrossRef]
- Atkinson, J.H.; Giles, R.G.; Desjardins, J.G. Trace Element Content of Farmyard Manure. Can. J. Agric. Sci. 1954, 34, 76–80. [Google Scholar] [CrossRef]
- Luyima, D.; Lee, J.-H.; Kim, S.H.; Shinogi, Y.; Balikuddembe, B.; Tumuhairwe, J.B.; Oh, T.-K. Efficiencies of a Commercial Microbial Inoculant and Poultry Litter in Composting Dry Maize Stovers. J. Fac. Agric. 2019, 64, 205–211. [Google Scholar] [CrossRef]
- Schroeder, J.T.; Labuzetta, A.L.; Trabold, T.A. Assessment of Dehydration as a Commercial-Scale Food Waste Valorization Strategy. Sustainability 2020, 12, 5959. [Google Scholar] [CrossRef]
- Luyima, D.; Egyir, M.; Yun, Y.U.; Park, S.J.; Oh, T.K. Nutrient Dynamics in a Sandy Soil and Leaf Lettuce following the Application of Urea and Urea-Hydrogen Peroxide Impregnated Co-Pyrolysed Animal Manure and Bone Meal. Agronomy 2021, 11, 1664. [Google Scholar] [CrossRef]
- Tesi, R.; Lenzi, A.; Lombardi, P. Effect of salinity and oxygen level on lettuce grown in a floating system. Acta Hortic. 2003, 609, 383–387. [Google Scholar] [CrossRef]
- Neocleous, D.; Koukounaras, A.; Siomos, A.S.; Vasilakakis, M. Assessing the Salinity Effects on Mineral Composition and Nutritional Quality of Green and Red “Baby”. Lettuce J. Food Qual. 2014, 37, 1–8. [Google Scholar] [CrossRef]
- Cruz, J.L.; Coelho, E.F.; Coelho Filho, M.A.; dos Santos, A.A. Salinity reduces nutrients absorption and efficiency of their utilization in cassava plants. Ciênc. Rural 2018, 48, e20180351. [Google Scholar] [CrossRef]
- Wakeel, A. Potassium-sodium interactions in soil and plant under saline-sodic conditions. J. Plant Nutr. Soil Sci. 2013, 176, 344–354. [Google Scholar] [CrossRef]
- Grattan, S.; Grieve, C. Salinity–mineral nutrient relations in horticultural crops. Sci. Hortic. 1998, 78, 127–157. [Google Scholar] [CrossRef]
- Qibing, W.; Jianjun, C.; Robert, H.S.; Yuncong, L. Correlation of visual quality grading and SPAD reading of green-leaved foliage plants. J. Plant Nutr. 2005, 28, 1215–1225. [Google Scholar]
- Yan, J.L.; Yi, P.T.; Yong, G.Z.; Hui, D.; Andrew, S. Leaf chlorophyll readings as an indicator for spinach yield and nutritional quality with different nitrogen fertilizer applications. J. Plant Nutr. 2006, 29, 1207–1217. [Google Scholar]
- Xue, L.; Yang, L. Deriving leaf chlorophyll content of green-leafy vegetables from hyperspectral reflectance. ISPRS J. Photogramm. Remote Sens. 2009, 64, 97–106. [Google Scholar] [CrossRef]
- Gamon, J.A.; Surfus, J.S. Assessing leaf pigment content with a reflectometer. New Phytol. 1999, 43, 105–117. [Google Scholar] [CrossRef]
- Liu, Y.; Perera, C.; Suresh, V. Comparison of three chosen vegetables with others from South East Asia for their lutein and zeaxanthin content. Food Chem. 2007, 101, 1533–1539. [Google Scholar] [CrossRef]
- Niizu, P.Y.; Rodriguez-Amaya, D.B. New data on the carotenoid composition of raw salad vegetables. J. Food Compos. Anal. 2005, 18, 739–749. [Google Scholar] [CrossRef]
- Sangeetha, R.K.; Baskaran, V. Carotenoid composition and retinol equivalent in plants of nutritional and medicinal importance: Efficacy of bcarotene from Chenopodium album in retinol-deficient rats. Food Chem. 2010, 119, 1584–1590. [Google Scholar] [CrossRef]
- Dich, J.; Järvinen, R.; Knekt, P.; Penttilä, P. Dietary intakes of nitrate, nitrite and NDMA in the Finnish mobile clinic health examination survey. Food Addit. Contam. 1996, 13, 541–552. [Google Scholar] [CrossRef]
- Walker, R. Nitrates, nitrites and N-nitrosocompounds: A review of the occurrence in food and diet and the toxicological implications. Food Addit. Contam. 1990, 7, 717–768. [Google Scholar] [CrossRef]
- Durner, J.; Klessig, D.F. Nitric oxide as a signal in plants. Cur. Opin. Plant Biol. 1999, 2, 369–374. [Google Scholar] [CrossRef]
- Lamattina, L.; García-Mata, C.; Graziano, M.; Pagnussat, G. Nitricoxide: The Versatility of an Extensive Signal Molecule. Ann. Rev. Plant Biol. 2003, 54, 109–136. [Google Scholar] [CrossRef] [PubMed]
- Santamaria, P. Nitrate in vegetables: Toxicity, content, intake and EC regulation. J. Sci. Food Agric. 2005, 86, 10–17. [Google Scholar] [CrossRef]
- Becker, C.; Urlić, B.; Jukić Špika, M.; Kläring, H.P.; Krumbein, A.; Baldermann, S.; Ban, S.G.; Perica, S.; Schwarz, D. Nitrogen Limited Red and Green Leaf Lettuce Accumulate Flavonoid Glycosides, Caffeic Acid Derivatives, and Sucrose while Losing Chlorophylls, Β-Carotene and Xanthophylls. PLoS ONE 2015, 10, e0142867. [Google Scholar] [CrossRef] [PubMed]





| Sample | pH | EC | Av. P2O5 | OM | Exchangeable Cations (cmolc kg−1) | |||
|---|---|---|---|---|---|---|---|---|
| (1:5) | (dS m−1) | (mg kg−1) | (%) | K+ | Mg2+ | Ca2+ | Na+ | |
| Soil | 6.52 ± 0.13 | 0.07 ± 0.00 | 13.45 ± 1.22 | 2.92 ± 0.09 | 0.04 ± 0.00 | 1.09 ± 0.17 | 0.01 ± 0.00 | 0.07 ± 0.01 |
| Compost Type | pH | EC | T-P | C | N | Ca | Mg | K | NaCl |
|---|---|---|---|---|---|---|---|---|---|
| (1:10) | (dS m−1) | (%) | |||||||
| FWC | 7.61 ± 0.00 | 7.98 ± 0.52 | 5.29 ± 1.53 | 37.70 ± 1.17 | 4.35 ± 0.13 | 2.65 ± 0.54 | 1.32 ± 0.04 | 0.58 ± 0.01 | 2.73 ± 0.05 |
| PMC | 8.67 ± 0.01 | 12.18 ± 2.13 | 5.47 ± 0.11 | 30.06 ± 0.41 | 2.45 ± 0.20 | 2.46 ± 0.84 | 1.57 ± 0.01 | 2.35 ± 0.11 | 0.52 ± 0.02 |
| SMC | 6.68 ± 0.01 | 5.13 ± 0.17 | 6.71 ± 0.12 | 40.21 ± 0.82 | 2.20 ± 0.06 | 2.73 ± 0.43 | 0.96 ± 0.03 | 0.63 ± 0.01 | 0.67 ± 0.10 |
| CMC | 8.35 ± 0.00 | 15.08 ± 0.22 | 5.95 ± 0.30 | 25.58 ± 1.15 | 1.81 ± 0.03 | 2.78 ± 0.54 | 1.40 ± 0.05 | 2.01 ± 0.04 | 0.87 ± 0.08 |
| 75% FWC + 25% PMC | 7.78 ± 0.00 | 9.07 ± 0.54 | 5.70 ± 0.47 | 36.94 ± 0.74 | 3.95 ± 0.05 | 2.55 ± 0.27 | 1.37 ± 0.03 | 0.99 ± 0.01 | 2.02 ± 0.06 |
| 50% FWC + 50% PMC | 7.97 ± 0.03 | 9.70 ± 0.16 | 6.49 ± 0.17 | 33.90 ± 2.32 | 3.17 ± 0.13 | 2.38 ± 0.11 | 1.47 ± 0.02 | 1.45 ± 0.03 | 1.29 ± 0.05 |
| 25% FWC + 75% PMC | 8.24 ± 0.01 | 10.65 ± 0.21 | 6.56 ± 0.05 | 36.75 ± 0.21 | 3.92 ± 0.09 | 2.16 ± 0.37 | 1.51 ± 0.05 | 1.75 ± 0.07 | 1.00 ± 0.11 |
| 75% FWC + 25% SMC | 7.41 ± 0.02 | 7.60 ± 0.28 | 6.24 ± 0.27 | 39.25 ± 0.70 | 2.88 ± 0.14 | 2.67 ± 0.21 | 1.26 ± 0.01 | 0.57 ± 0.01 | 2.15 ± 0.01 |
| 50% FWC + 50% SMC | 7.25 ± 0.01 | 6.49 ± 1.72 | 6.69 ± 0.07 | 39.35 ± 0.54 | 3.37 ± 0.21 | 2.84 ± 0.49 | 1.12 ± 0.04 | 0.57 ± 0.02 | 1.09 ± 0.03 |
| 25% FWC + 75% SMC | 7.04 ± 0.00 | 6.51 ± 0.06 | 8.09 ± 0.13 | 38.73 ± 0.92 | 3.75 ± 0.19 | 2.77 ± 0.58 | 1.10 ± 0.04 | 0.60 ± 0.02 | 1.02 ± 0.06 |
| 75% FWC + 25% CMC | 7.72 ± 0.01 | 7.18 ± 1.07 | 5.92 ± 0.07 | 29.79 ± 0.40 | 2.55 ± 0.09 | 2.36 ± 0.30 | 1.35 ± 0.02 | 0.91 ± 0.01 | 2.86 ± 0.13 |
| 50% FWC + 50% CMC | 7.87 ± 0.00 | 10.79 ± 0.63 | 6.77 ± 0.11 | 31.59 ± 1.52 | 3.01 ± 0.03 | 2.76 ± 0.61 | 1.38 ± 0.03 | 1.25 ± 0.05 | 2.13 ± 0.03 |
| 25% FWC + 75% CMC | 8.00 ± 0.00 | 14.96 ± 0.29 | 7.10 ± 0.10 | 35.53 ± 1.11 | 3.67 ± 0.12 | 3.25 ± 0.41 | 1.40 ± 0.02 | 1.60 ± 0.03 | 1.39 ± 0.05 |
| Root Parameters | Shoot Parameters | |||||||
|---|---|---|---|---|---|---|---|---|
| Treatments | Fresh Weight | Dry Weight | Root Length | Fresh Weight | Dry Weight | Leaf Length | Leaf Number | Leaf Width |
| (g) | (g) | (cm) | (g) | (g) | (cm) | (EA/Plant) | (cm) | |
| Control | 3.15 ± 0.54 h | 0.23 ± 0.01 h | 24.43 ± 0.51 a | 6.13 ± 2.25 i | 0.52 ± 0.21 f | 6.33 ± 0.72 d | 9.00 ± 1.00 e | 3.76 ± 0.27 b |
| NPK | 4.98 ± 1.02 g | 0.30 ± 0.03 h | 16.20 ± 5.65 d | 18.83 ± 1.60 h | 1.15 ± 0.14 e | 9.22 ± 1.97 c | 14.00 ± 1.20 d | 7.09 ± 2.39 a |
| FWC | 9.10 ± 2.78 d | 0.89 ± 0.14 d | 20.77 ± 5.07 b | 48.42 ± 5.44 de | 2.53 ± 0.26 cd | 12.91 ± 1.42 ab | 17.67 ± 1.74 c | 7.17 ± 1.03 a |
| PMC | 11.96 ± 2.17 b | 1.64 ± 0.17 b | 24.90 ± 4.58 a | 31.95 ± 5.29 g | 1.98 ± 0.21 d | 13.06 ± 1.07 ab | 20.00 ± 1.00 b | 7.41 ± 0.42 a |
| SMC | 15.94 ± 4.83 a | 2.44 ± 0.41 a | 23.10 ± 2.53 a | 49.58 ± 8.80 de | 2.76 ± 0.38 cd | 13.78 ± 0.45 ab | 21.33 ± 0.58 b | 7.39 ± 0.3 a |
| CMC | 10.43 ± 3.26 c | 0.88 ± 0.30 d | 24.87 ± 1.97 a | 38.99 ± 1.52 f | 2.55 ± 0.07 cd | 11.43 ± 0.68 bc | 21.33 ± 1.53 b | 6.76 ± 0.47 a |
| 75% FWC + 25% PMC | 6.93 ± 2.85 ef | 0.49 ± 0.12 g | 17.63 ± 1.53 c | 50.55 ± 8.05 d | 3.15 ± 0.78 c | 11.32 ± 2.30 bc | 17.00 ± 3.07 c | 6.78 ± 1.99 a |
| 50% FWC + 50% PMC | 7.34 ± 0.44 e | 0.57 ± 0.20 f | 18.50 ± 2.11 bc | 51.91 ± 4.01c | 3.03 ± 0.63 c | 11.97 ± 1.30 b | 23.67 ± 4.04 ab | 6.1. ± 1.05 a |
| 25% FWC + 75% PMC | 8.55 ± 3.27 de | 0.61 ± 0.13 ef | 19.30 ± 1.50 bc | 53.07 ± 6.24 c | 2.59 ± 0.50 cd | 11.99 ± 1.31 b | 21.67 ± 1.53 b | 6.78 ± 0.65 a |
| 75% FWC + 25% SMC | 6.64 ± 1.80 f | 0.45 ± 0.19 g | 14.20 ± 2.23 e | 69.33 ± 5.82 a | 3.15 ± 0.65 c | 13.43 ± 0.93 ab | 23.00 ± 3.66 ab | 7.58 ± 0.93 a |
| 50% FWC +50% SMC | 7.56 ± 2.86 e | 0.57 ± 0.12 f | 17.77 ± 2.60 c | 62.27 ± 6.71 ab | 4.01 ± 0.25 a | 13.41 ± 1.70 ab | 23.00 ± 4.00 ab | 7.42 ± 0.87 a |
| 25% FWC + 75% SMC | 9.89 ± 4.29 c | 0.76 ± 0.06 e | 20.43 ± 1.62 b | 59.70 ± 5.55 b | 3.23 ± 0.42 bc | 12.64 ± 1.10 ab | 25.33 ± 3.21 a | 7.26 ± 0.95 a |
| 75% FWC + 25% CMC | 8.8 ± 3.93 d | 0.77 ± 0.01 e | 18.17 ± 2.29 bc | 58.28 ± 8.99 b | 3.25 ± 0.69 bc | 14.67 ± 2.47 a | 21.00 ± 4.58 b | 8.43 ± 2.03 a |
| 50% FWC + 50% CMC | 16.63 ± 6.85 a | 2.57 ± 0.61 a | 24.00 ± 1.57 a | 62.23 ± 8.12 ab | 4.14 ± 0.13 a | 14.61 ± 1.59 a | 26.33 ± 1.53 a | 7.77 ± 0.97 a |
| 25% FWC + 75% CMC | 9.73 ± 8.25 cd | 1.02 ± 0.08 c | 22.50 ± 2.51 a | 45.93 ± 3.36 e | 3.35 ± 0.34 b | 11.8 ± 1.46 b | 21.67 ± 0.58 b | 6.82 ± 0.98 a |
| Treatments | Chlorophyll Content | NO3−N | Sweetness |
|---|---|---|---|
| (SPAD) | (mg kg−1) | (Brix) | |
| Control | 23.66 ± 1.70 d | 1000 ± 85.00 g | 2.00± 0.11 c |
| NPK | 27.12 ± 3.39 bc | 1200 ± 100.00 d | 0.40 ± 0.01 f |
| FWC | 31.50 ± 6.34 ab | 910 ± 155.88 d | 0.77 ± 0.15 e |
| PMC | 26.99 ± 2.24 bc | 1090 ± 190.53 e | 2.90 ± 0.40 b |
| SMC | 25.51 ± 2.27 c | 1500 ± 264.58 a | 3.57 ± 0.14 a |
| CMC | 29.07 ± 2.10 bc | 1300 ± 100.00 c | 1.40 ± 0.10 d |
| 75% FWC + 25% PMC | 32.66 ± 3.70 a | 1063 ± 158.22 e | 1.20 ± 0.36 d |
| 50% FWC + 50% PMC | 30.16 ± 3.11 b | 1007 ± 152.75 f | 1.80 ± 0.14 cd |
| 25% FWC + 75% PMC | 30.33 ± 2.30 b | 1130 ± 455.74 de | 2.01 ± 0.20 c |
| 75% FWC + 25% SMC | 31.81 ± 4.45 ab | 1267 ± 404.15 d | 2.33 ± 0.29 c |
| 50% FWC +50% SMC | 31.71 ± 2.42 ab | 1346 ± 115.47 c | 2.90 ± 0.20 b |
| 25% FWC + 75% SMC | 30.98 ± 3.41 b | 1443 ± 191.4 b | 2.00 ± 0.21 c |
| 75% FWC + 25% CMC | 31.44 ± 6.41 ab | 1040 ± 196.98 f | 0.94 ± 0.06 de |
| 50% FWC + 50% CMC | 27.72 ± 3.79 bc | 1133 ± 57.74 de | 1.10 ± 0.15 de |
| 25% FWC + 75% CMC | 26.3 ± 6.31 c | 1230 ± 152.75 d | 1.43 ± 0.11 d |
Publisher’s Note: MDPI stays neutral with regard to jurisdictional claims in published maps and institutional affiliations. |
© 2021 by the authors. Licensee MDPI, Basel, Switzerland. This article is an open access article distributed under the terms and conditions of the Creative Commons Attribution (CC BY) license (https://creativecommons.org/licenses/by/4.0/).
Share and Cite
Yang, J.-W.; Luyima, D.; Park, S.-J.; Kim, S.-H.; Oh, T.-K. Mixing Sodium-Chloride-Rich Food Waste Compost with Livestock Manure Composts Enhanced the Agronomic Performance of Leaf Lettuce. Sustainability 2021, 13, 13223. https://doi.org/10.3390/su132313223
Yang J-W, Luyima D, Park S-J, Kim S-H, Oh T-K. Mixing Sodium-Chloride-Rich Food Waste Compost with Livestock Manure Composts Enhanced the Agronomic Performance of Leaf Lettuce. Sustainability. 2021; 13(23):13223. https://doi.org/10.3390/su132313223
Chicago/Turabian StyleYang, Jun-Woo, Deogratius Luyima, Seong-Jin Park, Seong-Heon Kim, and Taek-Keun Oh. 2021. "Mixing Sodium-Chloride-Rich Food Waste Compost with Livestock Manure Composts Enhanced the Agronomic Performance of Leaf Lettuce" Sustainability 13, no. 23: 13223. https://doi.org/10.3390/su132313223
APA StyleYang, J.-W., Luyima, D., Park, S.-J., Kim, S.-H., & Oh, T.-K. (2021). Mixing Sodium-Chloride-Rich Food Waste Compost with Livestock Manure Composts Enhanced the Agronomic Performance of Leaf Lettuce. Sustainability, 13(23), 13223. https://doi.org/10.3390/su132313223

