HSPF-Based Assessment of Inland Nutrient Source Control Strategies to Reduce Algal Blooms in Streams in Response to Future Climate Changes
Abstract
:1. Introduction
2. Materials and Methods
2.1. Study Site
2.2. HSPF Model Configuration and Calibration
2.3. Climate Change Scenarios
2.4. Source Management Scenarios
3. Results
3.1. Model Performance
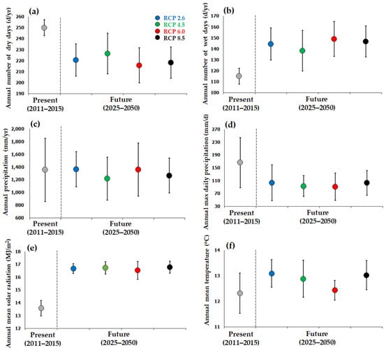
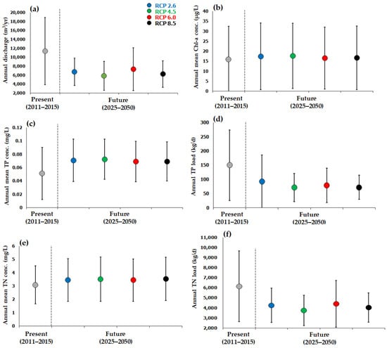
3.2. Impact of Future Climate Changes on Algal Blooms
3.3. Effects of Different Nutrient Source Management Strategies
4. Discussion
5. Conclusions
Author Contributions
Funding
Institutional Review Board Statement
Informed Consent Statement
Data Availability Statement
Acknowledgments
Conflicts of Interest
References
- Smith, V.H.; Tilman, G.D.; Nekola, J.C. Eutrophication: Impacts of excess nutrient inputs on freshwater, marine, and terrestrial ecosystems. Environ. Pollut. 1999, 100, 179–196. [Google Scholar] [CrossRef]
- Lee, S.J.; Lee, S.E.; Kim, S.H.; Park, H.K.; Park, S.J.; Yum, K.T. Examination of critical factors related to summer chlorophyll a concentration in the Sueo Dam Reservoir, Republic of Korea. Environ. Eng. Sci. 2011, 29, 502–510. [Google Scholar] [CrossRef] [Green Version]
- Watson, S.B.; Whitton, B.A.; Higgins, S.A.; Paerl, H.W.; Brooks, B.; Wehr, J.D. Harmful algal blooms. In Freshwater Algae of North America; Wehr, J.D., Robert, G., Sheath, R.G., Kociolek, J.P., Eds.; Academic Press: San Diego, CA, USA, 2015; pp. 873–920. [Google Scholar]
- Noges, P.; Mischke, U.; Laugaste, R.; Solimini, A. Analysis of changes over 44 years in the phytoplankton of Lake Vrtsjarv (Estonia): The effect of nutrients, climate and the investigator on phytoplankton-based water quality indices. Hydrobiologia 2010, 646, 33–48. [Google Scholar] [CrossRef]
- Carey, C.; Ewing, H.; Cottingham, K.; Weathers, K.; Thomas, R.; Haney, J. Occurrence, toxicity, and potential ecological consequences of the cyanobacterium Gloeotrichia echinulata for low-nutrient lakes in the northeastern United States. Aquat. Ecol. 2012, 46, 395–409. [Google Scholar] [CrossRef]
- Paerl, H.W.; Paul, V.J. Climate change: Links to global expansion of harmful cyanobacteria. Water Res. 2012, 46, 1349–1363. [Google Scholar] [CrossRef]
- KMA. Climate Change Prediction in Korean Peninsula; Korea Meteorological Administration: Seoul, Korea, 2018; GPRN: 11-1360000-001555-01. [Google Scholar]
- Fu, F.X.; Tatters, A.O.; Hutchins, D.A. Global change and the future of harmful algal blooms in the ocean. Mar. Ecol. Prog. Ser. 2012, 470, 207–233. [Google Scholar] [CrossRef] [Green Version]
- Fee, E.J.; Hecky, R.E.; Kasian, S.E.M.; Cruikshank, D.R. Effects of lake size, water clarity, and climatic variability on mixing depths in Canadian Shield lakes. Limnol. Oceanogr. 1996, 41, 912–920. [Google Scholar] [CrossRef]
- Schindler, D.W. Widespread effects of climatic warming on freshwater ecosystems in North America. Hydrol. Process. 1997, 11, 1043–1067. [Google Scholar] [CrossRef]
- Magnuson, J.J. Potential effects of climate changes on aquatic systems: Laurentian Great Lakes and Precambrian Shield Region. Hydrol. Process. 1997, 11, 825–871. [Google Scholar] [CrossRef]
- NIER. Groundwater Background Quality Monitoring of Livestock Raising Area; National Institute of Environmental Research: Incheon, Korea, 2013. [Google Scholar]
- Paerl, H.W.; Huisman, J. Climate change: A catalyst for global expansion of harmful cyanobacterial blooms. Eviron. Microb. Rep. 2009, 1, 27–37. [Google Scholar] [CrossRef]
- IPCC. Climate change 2014: Synthesis Report. Contribution of Working Groups Ⅰ, Ⅱ and Ⅲ to the Fifth Assessment Report of the Intergovermental Panel on Climate Change; Core Writing Team, Pachauri, R.K., Meyer, L.A., Eds.; IPCC: Geneba, Switzerland, 2014; p. 151. [Google Scholar]
- Conley, D.J.; Paerl, H.W.; Howarth, R.W.; Boesch, D.F.; Seitzinger, S.P.; Havens, K.E.; Lancelot, C.; Likens, G.E. Controlling eutrophication: Nitrogen and phosphorus. Science 2009, 323, 1014–1015. [Google Scholar] [CrossRef]
- Dodds, W.K.; Smith, V.H. Nitrogen, phosphorus, and eutrophication in streams. Inland Waters 2016, 6, 155–164. [Google Scholar] [CrossRef]
- Ha, H.; Stenstrom, M.K. Identification of land use with water quality data in stormwater using a neural network. Water Res. 2003, 37, 4222–4230. [Google Scholar] [CrossRef]
- Lee, J.H.W.; Hodgkiss, I.J.; Wong, K.T.M.; Lam, I.H.Y. Real time observations of coastal algal blooms by an early warning system. Estuar. Coast. Shelf Sci. 2005, 65, 172–190. [Google Scholar] [CrossRef]
- Wagner, T.; Erickson, L.E. Sustainable management of eutrophic lakes and reservoirs. J. Environ. Prot. 2017, 8, 436–463. [Google Scholar] [CrossRef] [Green Version]
- Olaoye, I.; Confesor, R.; Ortiz, J. Impact of seasonal variation in climate on water quality of Old Woman Creek watershed Ohio using SWAT. Climate 2021, 9, 50. [Google Scholar] [CrossRef]
- Chung, E.; Park, K.; Lee, K.S. The relative impacts of climate change and urbanization on the hydrological response of a Korean urban watershed. Hydrol. Process. 2011, 25, 544–560. [Google Scholar] [CrossRef]
- Stern, M.; Flint, L.; Minear, J.; Flint, A.; Wright, S. Characterizing changes in streamflow and sediment supply in the Sacramento River Basin, California, using Hydrological Simulation Program—FORTRAN (HSPF). Water 2016, 8, 432. [Google Scholar] [CrossRef] [Green Version]
- Steenhuis, T.S.; Schneiderman, E.M.; Mukundan, R.; Hoang, L.; Moges, M.; Owens, E.M. Revisiting SWAT as a saturation excess runoff model. Water 2019, 11, 1427. [Google Scholar] [CrossRef] [Green Version]
- Arnold, J.G.; Moriasi, D.N.; Gassman, P.W.; Abbaspour, K.C.; White, M.J.; Srinivasan, R.; Santhi, C.; van Harmel, R.D.; van Griensven, A.; van Liew, M.W.; et al. SWAT: Model use, calibration, and validation. Trans. ASABE 2012, 55, 1491–1508. [Google Scholar] [CrossRef]
- Nasr, A.; Bruen, M.; Jordan, P.; Moles, R.; Kiely, G.; Byrne, P. A comparison of SWAT HSPF and SHETRAN/GOPC for modelling phosphorus export from three catchments in Ireland. Water Res. 2007, 41, 1065–1073. [Google Scholar] [CrossRef] [Green Version]
- Im, S.J.; Brannan, K.M.; Mostaghimi, S.; Kim, S.M. Comparison of HSPF and SWAT models performance for runoff and sediment yield prediction. J. Environ. Sci. Health Part A: Environ. Sci. Eng. 2007, 42, 1561–1570. [Google Scholar] [CrossRef] [PubMed]
- Xie, H.; Lian, Y. Uncertainty-based evaluation and comparison of SWAT and HSPF applications to the Illinois River Basin. J. Hydrol. 2013, 481, 119–131. [Google Scholar] [CrossRef]
- Albek, M.; Ogutveren, U.B.; Albek, E. Hydrological modeling of Seydi Suyu watershed (Turkey) with HSPF. J. Hydrol. 2004, 285, 260–271. [Google Scholar] [CrossRef]
- Göncü, S.; Albek, E. Modeling climate change effects on streams and reservoirs with HSPF. Water Resour. Manag. 2010, 24, 707–726. [Google Scholar] [CrossRef]
- Park, J.H.; Jung, E.T.; Jung, I.G.; Cho, J.P. Does future climate bring greater streamflow simulated by the HSPF model to South Korea? Water 2020, 12, 1884. [Google Scholar] [CrossRef]
- Lee, D.H.; Kim, J.H.; Park, M.H.; Stenstrom, M.K.; Kang, J.H. Automatic calibration and improvements on an in stream chlorophyll a simulation in the HSPF model. Ecol. Model. 2020, 415, 108835. [Google Scholar] [CrossRef]
- NIER. 2017 National Pollutant Source Survey Report; National Institute of Environmental Research: Incheon, Korea, 2019; GPRN: 11-1480523-00429-19. [Google Scholar]
- Carlyle, G.C.; Hill, A.R. Groundwater phosphate dynamics in a river riparian zone: Effects of hydrologic flowpaths, lithology and redox chemistry. J. Hydrol. 2001, 247, 151–168. [Google Scholar] [CrossRef]
- Holman, I.P.; Howden, N.J.K.; Bellamy, P.; Willby, N. An assessment of the risk to surface water ecosystems of groundwater-P in the UK and Ireland. Sci. Total Environ. 2010, 408, 1847–1857. [Google Scholar] [CrossRef] [Green Version]
- Jordan, T.E.; Correll, D.L.; Weller, D.E. Nutrient interception by a riparian forest receiving inputs from adjacent cropland. J. Environ. Qual. 1993, 22, 467–473. [Google Scholar] [CrossRef] [Green Version]
- Lewandowski, J.; Meinikmann, K.; Nützmann, G.; Rosenberry, D.O. Groundwater–the disregarded component in lake water and nutrient budgets. Part 2: Effects of groundwater on nutrients. Hydrol. Process. 2015, 29, 2922–2955. [Google Scholar] [CrossRef]
- Kim, G.H.; Yoon, J.Y.; Park, K.J.; Baek, J.H.; Kim, Y.J. Quantification of baseflow contribution to nutrient export from a agricultural watershed. Hydrol. Process. 2015, 29, 2922–2955. [Google Scholar] [CrossRef]
- Moriasi, D.N.; Arnold, J.G.; van Liew, M.W.; Bingner, R.L.; Harmel, R.D.; Veith, T.L. Model evaluation guidelines for systematic quantification of accuracy in watershed simulation. Trans. ASAE 2007, 50, 885–900. [Google Scholar] [CrossRef]
- Giorgi, F.; Coppola, E.; Solmon, F.; Mariotti, L.; Sylla, M.B.; Bi, X.; Elguindi, N.; Diro, G.T.; Nair, V.; Giuliani, G.; et al. RegCM4: Model description and preliminary tests over multiple CORDEX domains. Clim. Res. 2012, 52, 7–29. [Google Scholar] [CrossRef] [Green Version]
- Juang, H.M.H.; Hong, S.Y.; Kanamitsu, M. The NCEP regional spectral model: An update. Bull. Amer. Meteor. Soc. 1997, 78, 2125–2143. [Google Scholar] [CrossRef] [Green Version]
- Kang, H.S.; Cha, D.H.; Lee, D.K. Evaluation of the mesoscale model/land surface model (MM5=LSM) coupled model for East Asian summer monsoon simulations. J. Geophys. Res. 2005, 110, D10105. [Google Scholar] [CrossRef] [Green Version]
- Skamarock, W.C.; Klemp, J.B.; Dudhia, J.; Gill, D.O.; Barker, D.M.; Wang, W.; Powers, J.G. A Description of the Advanced Research WRF Version 2; NCAR Tech. Note; NCAR/TN 468+STR; National Center for Atmospheric Research: Boulder, CO, USA, 2005; p. 100. [Google Scholar]
- Kim, M.K.; Han, M.S.; Jang, D.H.; Baek, S.G.; Lee, W.S.; Kim, Y.H.; Kim, S. Production technique of observation grid data of 1km resolution. J. Clim. Res. 2012, 7, 55–68. [Google Scholar]
- Kim, M.K.; Lee, D.H.; Kim, J.N. Production and validation of daily grid data with 1km resolution in South Korea. J. Clim. Res. 2013, 7, 138–147. [Google Scholar]
- Lee, D.H.; Kim, J.H.; Mendoza, J.A.; Lee, C.H.; Kang, J.H. Characterization and source identification of pollutants in runoff from a mixed land use watershed using ordination analyses. Environ. Sci. Pollut. Res. 2016, 23, 9774–9790. [Google Scholar] [CrossRef]
- Han, M.D.; Park, B.K.; Park, J.H.; Kim, Y.S.; Rhew, D.H. Introduction of the basin sewerage plan in Japan through case studies of the Lake Biwa sewerage system. J. Korean Soc. Environ. Eng. 2015, 37, 533–541. [Google Scholar] [CrossRef]
- Sedlak, R.I. Phosphorus and Nitrogen Removal from Municipal Wastewater; CRC Press Taylor & Franeis Group: Boca Raton, FL, USA, 1991. [Google Scholar]
- Skoczko, I.; Struk-Sokołowska, J.; Ofman, P. Seasonal changes in nitrogen, phosphorus, BOD and COD removal in Bystre wastewater treatment plant. J. Ecol. Eng. 2017, 18, 185–191. [Google Scholar] [CrossRef]
- Jeon, S.R.; Jung, S.K.; Lee, Y.U.; Chung, J.I. Hydro geochemical characteristics and estimation of nitrate contamination sources of groundwater in the Sunchang area. Korea. J. Geo. Soc. Korea. 2011, 47, 185–197. [Google Scholar]
- Liu, J.; Jiang, L.H.; Zhang, C.J.; Li, P.; Zhao, T.K. Nitrate-nitrogen contamination in groundwater: Spatiotemporal variation and driving factors under cropland in Shandong Province, China. In IOP Conference Series: Earth and Environmental Science; IOP Publishing: Bristol, UK, 2017; Volume 82, p. 12059. [Google Scholar]
- Gardner, L.R. The role of rock weathering in the phosphorus budget of terrestrial watersheds. Biogeochemistry 1990, 11, 97–110. [Google Scholar] [CrossRef]
- Tipping, E.; Benham, S.; Boyle, J.F.; Crow, P.; Davies, J.; Fischer, U.; Guyatt, H.; Helliwell, R.; Jackson-Blake, L.; Lawlor, A.J.; et al. Atmospheric deposition of phosphorus to land and freshwater. Environ. Sci. Process. Impacts 2014, 16, 1608–1617. [Google Scholar] [CrossRef] [PubMed] [Green Version]
- KMA. Korean Climate Change Assessment Report 2020; Korea Meteorological Administration: Seoul, Korea, 2020; GPRN: 11-1480000-001692-01. [Google Scholar]
- Gelfan, A.; Gustafsson, D.; Motovilov, Y.; Arheimer, B.; Kalugin, A.; Krylenko, I.; Lavrenov, A. Climate change impact on the water regime of two great Arctic rivers: Modeling and uncertainty issues. Clim. Chang. 2016, 141, 499–515. [Google Scholar] [CrossRef]
- Hosseinzadehtalaei, P.; Tabari, H.; Willems, P. Uncertainty assessment for climate change impact on intense precipitation: How many model runs do we need? Int. J. Climatol. 2017, 37, 1105–1117. [Google Scholar] [CrossRef] [Green Version]
- Mirdashtvan, M.; Najafinejad, A.; Malekian, A.; Sa’doddin, A.J.M.A. Downscaling the contribution to uncertainty in climate-change assessments: Representative concentration pathway (RCP) scenarios for the South Alborz Range, Iran. R. Meteorol. Soc. 2018, 25, 414–422. [Google Scholar] [CrossRef]
- NIAS. Characteristics of Agricultural Non-Point Source Pollution Discharge and Development of Its Integrated Management Practice; National Institute of Agricultural Sciences: Wanju-gun, Korea, 2015; PJ008507. [Google Scholar]
- Rural Development and Economics Research (RDER). The Environment-Friendly Agricultural Infrastructure Improvement Plan to Reduce the Influence Agricultural Drainage on Water Pollution: Focus on the Paddy Field; RDER: Ansan, Korea, 2003. [Google Scholar]
- Ministry of Environment. Manual for Management of Reduction Facilities of Non-point Source Pollutions; Ministry of Environment: Sejong, Korea, 2020; GPRN: 11-1480000-001700-14.
- Ministry of Environment. Plan for Total Water Pollution Management; Ministry of Environment: Sejong-si, Korea, 2019; GPRN: NIER-GP-2019-010, 11-1480523-003731-14.
- USA EPA. Effectiveness of Low Impact Development; USA EPA: Washington, DC, USA, 2012.
- Ahiablame, L.M.; Engel, B.A.; Chaubey, I. Effectiveness of low impact development practices: Literature review and suggestions for future research. Water Air Soil Pollut. 2012, 223, 4253–4273. [Google Scholar] [CrossRef]





| Reference | Country | Land Use | Soluble PO43− (µg/L) |
|---|---|---|---|
| Holman et al., 2010 [34] | Ireland | Urban | 30.4 (a) |
| Arable | 21.1 (a) | ||
| Grassland | 28.9 (a) | ||
| Semi-natural | 23.4 (a) | ||
| Woodland | 27.7 (a) | ||
| Natural Background level | 20.0 (a) | ||
| Holman et al., 2010 [34] | Scotland | Urban | 37.8 (a) |
| Arable | 26.9 (a) | ||
| Grassland | 34.6 (a) | ||
| Semi-natural | 20.1 (a) | ||
| Woodland | 16.4 (a) | ||
| Holman et al., 2010 [34] | England and Wales | Urban | 103.2 (a) |
| Arable | 74.2 (a) | ||
| Grassland | 98.9 (a) | ||
| Semi-natural | 47.9 (a) | ||
| Woodland | 57.8 (a) | ||
| Carlyte and Hill, 2001 [33] | Canada (Toronto and Ontario) | River riparian zone | 25–80 |
| NIER, 2013 [12] | Korea | Livestock farm | 80 (a) |
| Kim et al., 2015 [37] | Korea (Cheongmicheon watershed) | Livestock farm | 10–100 |
| Jordan et al., 1993 [35] | USA (Delmarva Peninsula, Centreville, MD) | Agriculture (corn field) | 60–80 |
| Scenario | Description | Global Average | |
|---|---|---|---|
| Atmospheric CO2 in 2100 (ppm) | 5–95% Confidence Interval for Surface Temperature Increase during 2081–2100 (°C) | ||
| RCP 2.6 | A stringent mitigation scenario | 420 | 0.3–1.7 |
| RCP 4.5 | Intermediate scenario | 540 | 1.1–2.6 |
| RCP 6.0 | Intermediate scenario | 670 | 1.4–3.1 |
| RCP 8.5 | Very high greenhouse gas emission scenario | 940 | 2.6–4.8 |
| Scenario | Description | HSPF Implementations |
|---|---|---|
| S1 | Control of nutrients from NPSs in urban areas, agricultural areas, and grasslands (50% source reduction) |
|
| S2 | Control of TP discharged from WWTPs in all seasons(effluent TP = 0.1 mg/L) |
|
| S3 | Combination of S1 and seasonal control of TP from WWTPs(PS control only from May to September) |
|
| Effectiveness Criteria | RCP 2.6 | RCP 4.5 | RCP 6.0 | RCP 8.5 | ||||||||||||
|---|---|---|---|---|---|---|---|---|---|---|---|---|---|---|---|---|
| O (a) | S1 | S2 | S3 | O (a) | S1 | S2 | S3 | O (a) | S1 | S2 | S3 | O (a) | S1 | S2 | S3 | |
| TN load reduction(%) | 11.71 | - | 11.35 | 11.53 | - | 11.11 | 11.91 | - | 11.57 | 11.77 | - | 11.38 | ||||
| TP load reduction(%) | 17.26 | 10.02 | 19.35 | 14.01 | 12.77 | 16.48 | 13.78 | 11.69 | 16.19 | 13.36 | 12.48 | 15.83 | ||||
| No. of algal warnings (b) | 3006 | 2866 | 2888 | 2799 | 3149 | 3074 | 3057 | 3017 | 2988 | 2868 | 2871 | 2813 | 3176 | 3063 | 3066 | 3002 |
| No. of algal outbreaks (c) | 18 | 11 | 10 | 2 | 12 | 5 | 3 | 0 | 3 | 2 | 0 | 0 | 15 | 12 | 4 | 0 |
| Reduction in no. of algal warnings (%) | 4.7 | 3.9 | 6.9 | 2.4 | 2.9 | 4.2 | 4.0 | 3.9 | 5.9 | 3.6 | 3.5 | 5.5 | ||||
| Reduction in no. of algal outbreaks (%) | 38.9 | 44.4 | 88.9 | 58.3 | 75.0 | 100.0 | 33 | 100 | 100 | 20 | 73 | 100 | ||||
Publisher’s Note: MDPI stays neutral with regard to jurisdictional claims in published maps and institutional affiliations. |
© 2021 by the authors. Licensee MDPI, Basel, Switzerland. This article is an open access article distributed under the terms and conditions of the Creative Commons Attribution (CC BY) license (https://creativecommons.org/licenses/by/4.0/).
Share and Cite
Lee, D.H.; Fabian, P.S.; Kim, J.H.; Kang, J.-H. HSPF-Based Assessment of Inland Nutrient Source Control Strategies to Reduce Algal Blooms in Streams in Response to Future Climate Changes. Sustainability 2021, 13, 12413. https://doi.org/10.3390/su132212413
Lee DH, Fabian PS, Kim JH, Kang J-H. HSPF-Based Assessment of Inland Nutrient Source Control Strategies to Reduce Algal Blooms in Streams in Response to Future Climate Changes. Sustainability. 2021; 13(22):12413. https://doi.org/10.3390/su132212413
Chicago/Turabian StyleLee, Dong Hoon, Pamela Sofia Fabian, Jin Hwi Kim, and Joo-Hyon Kang. 2021. "HSPF-Based Assessment of Inland Nutrient Source Control Strategies to Reduce Algal Blooms in Streams in Response to Future Climate Changes" Sustainability 13, no. 22: 12413. https://doi.org/10.3390/su132212413
APA StyleLee, D. H., Fabian, P. S., Kim, J. H., & Kang, J.-H. (2021). HSPF-Based Assessment of Inland Nutrient Source Control Strategies to Reduce Algal Blooms in Streams in Response to Future Climate Changes. Sustainability, 13(22), 12413. https://doi.org/10.3390/su132212413
