Weeding Frequency Effects on Growth and Yield of Dry Bean Intercropped with Sweet Sorghum and Cowpea under a Dryland Area
Abstract
1. Introduction
2. Materials and Methods
2.1. Description of the Experimental Site
2.2. Data and Yield Collection
2.3. Statistical Analysis
3. Results
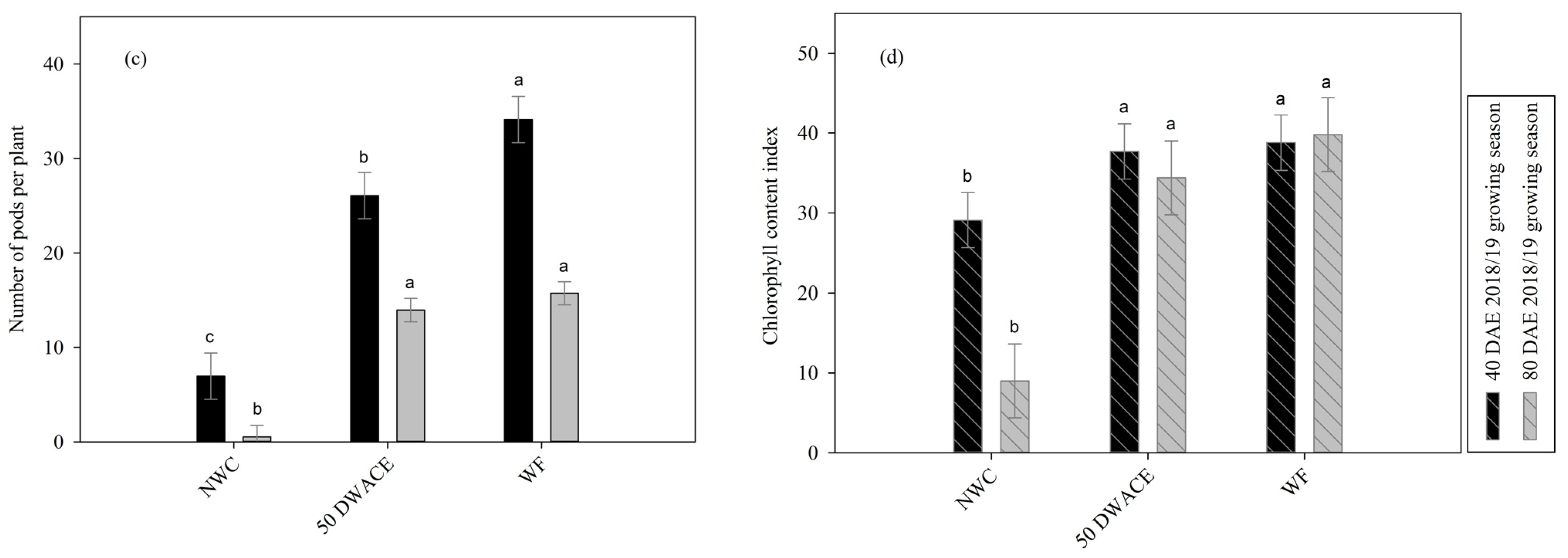
3.1. Effects of Weeding Frequency on Dry Bean Traits
3.2. Intercropping Pattern × Weeding Frequency Interaction Effects on Significant Measure Dry Bean Traits
3.3. Intercropping Pattern Effect on Dry Bean Pods per Plant
3.4. Intercropping Pattern Effect on Dry Bean Plant Height
3.5. Weeding Frequency Effects on Dry Bean Height and Number of Leaves per Plant
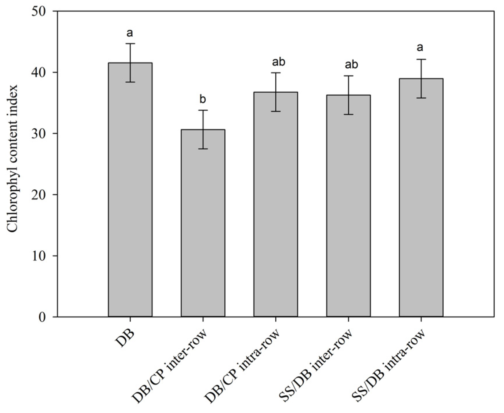
3.6. Intercropping Pattern Effect on Dry Bean Chlorophyll Content
3.7. LER Values and PCA Analysis of Sweet Sorghum/Dry Bean or Cowpea Intercropping under Weed Interference
4. Discussion
4.1. Dry Bean 100-Grain Weight
4.2. Dry Biomass Yield
4.3. Dry Bean Grain Yield
4.4. Dry Bean Number of Pods per Plant and Grains per Pod
4.5. Dry Bean Number of Leaves per Plant
4.6. LER Values and PCA Ordination
5. Conclusions
Author Contributions
Funding
Institutional Review Board Statement
Informed Consent Statement
Data Availability Statement
Acknowledgments
Conflicts of Interest
References
- Mathobo, R.; Marais, D.; Steyn, J.M. The effect of drought stress on yield, leaf gaseous exchange and chlorophyll fluorescence of dry beans (Phaseolus vulgaris L.). Agric. Water Manag. 2017, 180, 118–125. [Google Scholar] [CrossRef]
- Weisany, W.; Zehtab-Salmasi, S.; Raei, Y.; Sohrabi, Y.; Ghassemi-Golezani, K. Can arbuscular mycorrhizal fungi improve competitive ability of dill+common bean intercrops against weeds? Eur. J. Agron. 2016, 75, 60–71. [Google Scholar] [CrossRef]
- MacLaren, C.; Storkey, J.; Menegat, A.; Metcalfe, H.; Dehnen-Schmutz, K. An ecological future for weed science to sustain crop production and the environment, A review. Agron. Sustain. Dev. 2020, 40, 24. [Google Scholar] [CrossRef]
- Fung, K.M.; Tai, A.P.K.; Yong, T.; Liu, X.; Lam, H.M. Co-benefits of intercropping as a sustainable farming method for safeguarding both food security and air quality. Environ. Res. Lett. 2019, 14, 44011. [Google Scholar] [CrossRef]
- Fernandez, M.R.; Zentner, R.P.; Schellenberg, M.P.; Leeson, J.Y.; Aladenola, O.; McConkey, B.G.; St. Luce, M. Grain Yield and Quality of Organic Crops Grown under Reduced Tillage and Diversified Sequences. Agron. J. 2019, 111, 793–804. [Google Scholar] [CrossRef]
- Fernando, N.; Florentine, S.K.; Naiker, M.; Panozzo, J.; Chauhan, B.S. Annual ryegrass (Lolium rigidum Gaud) competition altered wheat grain quality: A study under elevated atmospheric CO2 levels and drought conditions. Food Chem. 2019, 276, 285–290. [Google Scholar] [CrossRef]
- Stagnari, F.; Pisante, M. The critical period for weed competition in French bean (Phaseolus vulgaris L.) in Mediterranean areas. Crop Prot. 2011, 30, 179–184. [Google Scholar] [CrossRef]
- Owen, M.D.K.; Beckie, H.J.; Leeson, J.Y.; Norsworthy, J.K.; Steckel, L.E. Integrated pest management and weed management in the United States and Canada. Pest Manag. Sci. 2014, 71, 357–376. [Google Scholar] [CrossRef]
- Dusabumuremyi, P.; Niyibigira, C.; Mashingaidze, A.B. Narrow row planting increases yield and suppresses weeds in common bean (Phaseolus vulgaris L.) in a semi-arid agro-ecology of Nyagatare, Rwanda. Crop Prot. 2014, 64, 13–18. [Google Scholar] [CrossRef]
- Van Der Weide, R.Y.; Bleeker, P.O.; Achten, V.T.J.M.; Lotz, L.A.P.; Fogelberg, F.; Melander, B. Innovation in mechanical weed control in crop rows. Weed Res. 2008, 48, 215–224. [Google Scholar] [CrossRef]
- Knezevic, S.Z.; Evans, S.P.; Blankenship, E.E.; Van Acker, R.C.; Lindquist, J.L. Critical period for weed control: The concept and data analysis. Weed Sci. 2002, 50, 773–786. [Google Scholar] [CrossRef]
- Sardana, V.; Mahajan, G.; Jabran, K.; Chauhan, B.S. Role of competition in managing weeds: An introduction to the special issue. Crop Prot. 2017, 95, 1–7. [Google Scholar] [CrossRef]
- McKenzie-Gopsill, A.G.; Amirsadeghi, S.; Fillmore, S.; Swanton, C.J. Duration of Weed Presence Influences the Recovery of Photosynthetic Efficiency and Yield in Common Bean (Phaseolus vulgaris L.). Front Agron. 2020, 2, 24. [Google Scholar] [CrossRef]
- Soltani, N.; Dille, J.A.; Gulden, R.H.; Sprague, C.L.; Zollinger, R.K.; Morishita, D.W.; Lawrence, N.C.; Sbatella, G.M.; Kniss, A.R.; Jha, P.; et al. Potential Yield Loss in Dry Bean Crops Due to Weeds in the United States and Canada. Weed Technol. 2018, 32, 342–346. [Google Scholar] [CrossRef]
- Tursun, N.; Datta, A.; Budak, S.; Kantarci, Z.; Knezevic, S.Z. Row spacing impacts the critical period for weed control in cotton (Gossypium hirsutum). Phytoparasitica 2016, 44, 139–149. [Google Scholar] [CrossRef]
- Buerkert, A.; Schlecht, E. Agricultural innovations in small-scale farming systems of Sudano-Sahelian West Africa: Some prerequisites for success. Sci. Chang. Planétaires/Secher. 2013, 24, 322–329. [Google Scholar] [CrossRef]
- Rosa-Schleich, J.; Loos, J.; Mußhoff, O.; Tscharntke, T. Ecological-economic trade-offs of Diversified Farming Systems—A review. Ecol. Econ. 2019, 160, 251–263. [Google Scholar] [CrossRef]
- Brooker, R.W.; Karley, A.J.; Newton, A.C.; Pakeman, R.J.; Schöb, C. Facilitation and sustainable agriculture: A mechanistic approach to reconciling crop production and conservation. Funct. Ecol. 2016, 30, 98–107. [Google Scholar] [CrossRef]
- Altieri, M.A.; Nicholls, C.I.; Montalba, R. Technological Approaches to Sustainable Agriculture at a Crossroads: An Agroecological Perspective. Sustainability 2017, 9, 349. [Google Scholar] [CrossRef]
- Snapp, S.; Rahmanian, M.; Batello, C. Pulse Crops for Sustainable Farms in Sub-Saharan Africa; Calles, T., Ed.; Food and Agriculture Organization of the United Nations (FAO): Rome, Italy, 2018. [Google Scholar] [CrossRef]
- Buruchara, R.; Chirwa, R.; Sperling, L.; Mukankusi, C.; Rubyogo, J.C.; Muthoni, R. Development and delivery of bean varieties in Africa: The Pan-Africa bean research alliance (PABRA) model. Afr. Crop Sci. J. A J. Trop Crop Sci. Prod. 2011, 19, 227–245. [Google Scholar]
- Baker, C.; Modi, A.T.; Nciizah, A.D. Sweet Sorghum (Sorghum bicolor) Performance in a Legume Intercropping System under Weed Interference. Agronomy 2021, 11, 877. [Google Scholar] [CrossRef]
- Amare, T. Review on Impact of Climate Change on Weed and Their Management. Am. J. Biol. Environ. Stat. 2016, 2, 21. [Google Scholar] [CrossRef]
- Saberali, S.F.; Mohammadi, K. The above-ground competition between common bean (Phaseolus vulgaris L.) and barnyardgrass (Echinochloa crus-galli L.) affected by nitrogen application. Phytoparasitica 2019, 47, 451–460. [Google Scholar] [CrossRef]
- Nassary, E.K.; Baijukya, F.; Ndakidemi, P.A. Productivity of intercropping with maize and common bean over five cropping seasons on smallholder farms of Tanzania. Eur. J. Agron. 2020, 113, 125964. [Google Scholar] [CrossRef]
- Kermah, M.; Franke, A.C.; Adjei-Nsiah, S.; Ahiabor, B.D.K.; Abaidoo, R.C.; Giller, K.E. Maize-grain legume intercropping for enhanced resource use efficiency and crop productivity in the Guinea savanna of northern Ghana. Field Crop. Res. 2017, 213, 38–50. [Google Scholar] [CrossRef]
- Karuma, A.N.; Gachene, C.K.K.; Gicheru, P.T.; Mtakwa, P.W.; Amuri, N. Effects of tillage and cropping systems on maize and beans yield and selected yield components in a semi-arid area of Kenya. Trop Subtrop. Agroecosyst. 2016, 19, 167–179. [Google Scholar]
- Esmaeilzadeh, S.; Aminpanah, H. Effects of planting date and spatial arrangement on common bean (Phaseolus vulgaris) yield under weed-free and weedy conditions. Planta Daninha. 2015, 33, 425–432. [Google Scholar] [CrossRef]
- Ghamari, H.; Ahmadvand, G. Weed Interference Affects Dry Bean Yield and Growth. Not. Sci. Biol. 2012, 4, 70–75. [Google Scholar] [CrossRef][Green Version]
- Nassary, E.K.; Baijukya, F.; Ndakidemi, P.A. Assessing the productivity of common bean in intercrop with maize across agro-ecological zones of smallholder farms in the Northern highlands of Tanzania. Agriculture 2020, 10, 117. [Google Scholar] [CrossRef]
- Kermah, M.; Franke, A.C.; Ahiabor, B.D.K.; Adjei-Nsiah, S.; Abaidoo, R.C.; Giller, K.E. Legume-Maize Rotation Or Relay? Options For Ecological Intensification Of Smallholder Farms In The Guinea Savanna Of Northern Ghana. Exp. Agric. 2018, 55, 673–691. [Google Scholar] [CrossRef] [PubMed]
- Tollenaar, M.; Nissanka, S.P.; Aguilera, A.; Weise, S.F.; Swanton, C.J. Effect of Weed Interference and Soil Nitrogen on Four Maize Hybrids. Agron. J. 1994, 86, 596–601. [Google Scholar] [CrossRef]
- Brooker, R.W.; Bennett, A.E.; Cong, W.F.F.; Daniell, T.J.; George, T.S.; Hallett, P.D.; Hawes, C.; Iannetta, P.P.; Jones, H.G.; Karley, A.J.; et al. Improving intercropping: A synthesis of research in agronomy, plant physiology and ecology. New Phytol. 2015, 206, 107–117. [Google Scholar] [CrossRef]
- Muñoz-Perea, C.G.; Terán, H.; Allen, R.G.; Wright, J.L.; Westermann, D.T.; Singh, S.P. Selection for Drought Resistance in Dry Bean Landraces and Cultivars. Crop Sci. 2006, 46, 2111–2120. [Google Scholar] [CrossRef]
- Röhrig, M.; Stützel, H. Canopy development of Chenopodium album in pure and mixed stands. Weed Res. 2001, 41, 111–128. [Google Scholar] [CrossRef]
- Smith, H. The perception of light quality. In Photomorphogenesis in Plants; Springer Science + Business Media: Dordrecht, The Netherlands, 1986; pp. 187–217. [Google Scholar]
- Bukun, B. Critical periods for weed control in cotton in Turkey. Weed Res. 2004, 44, 404–412. [Google Scholar] [CrossRef]
- Ghamari, H.; Ahmadvand, G. Growth Analysis of Dry Bean (Phaseolus vulgaris L.) in Different Weed Interference Situations. Not. Sci. Biol. 2013, 5, 394–399. [Google Scholar] [CrossRef]
- Latati, M.; Bargaz, A.; Belarbi, B.; Lazali, M.; Benlahrech, S.; Tellah, S.; Kaci, G.; Drevon, J.J.; Ounane, S.M. The intercropping common bean with maize improves the rhizobial efficiency, resource use and grain yield under low phosphorus availability. Eur. J. Agron. 2016, 72, 80–90. [Google Scholar] [CrossRef]










| Source of Variation | Intercropping Pattern | Weeding Frequency | Intercropping Pattern × Weeding Frequency | Residual | CV | |
|---|---|---|---|---|---|---|
| df | ||||||
| 4 | 2 | 8 | 28 | |||
| ms | ||||||
| 100-grain weight | 81 ns | 3974 *** | 145.8 ns | 102.1 | 28.2 | |
| Dry biomass | 0.26 ns | 4.4 *** | 0.16 ns | 0.10 | 40.1 | |
| Grain yield | 15,350 ns | 240,969 *** | 18,336 ns | 8411 | 53.6 | |
| Grains per pod | 0.80 ns | 10.86 *** | 0.82 ns | 0.37 | 19.9 | |
| Pods per plant | 219.11 ** | 2920.69 *** | 40.3 ns | 44.96 | 30.0 | |
| Plant height | 60 DAE | 55.73 ** | 368.36 *** | 7.09 ns | 10.34 | 8.2 |
| 80 DAE | 20.35 ns | 111.96 *** | 21.63 * | 9.12 | 13.1 | |
| Chlorophyll | 80 DAE | 146.96 ** | 127.18 ns | 18.01 ns | 44.77 | 4.7 |
| - | Intercropping Pattern | Weeding Frequency | Intercropping Pattern × Weeding Frequency | Residual | CV | |
|---|---|---|---|---|---|---|
| df | ||||||
| 4 | 2 | 8 | 28 | |||
| ms | ||||||
| 100-grain weight | 58.82 ns | 8812.18 *** | 68.33 * | 29.74 | 18.1 | |
| Dry biomass | 0.04 ** | 0.35 *** | 0.02 * | 0.01 | 45.6 | |
| Grain yield | 4201 ns | 55,951 *** | 2385 ns | 1670 | 26.1 | |
| Grains per pod | 0.98 ns | 75.71 *** | 1.34 ns | 0.71 | 31.7 | |
| Pods per plant | 42.78 * | 1037.95 *** | 21.4 ns | 11.45 | 2.0 | |
| Plant height | 40 DAE | 140.44 * | 211.65 *** | 94.73 ns | 49.07 | 49.8 |
| 60 DAE | 140.75 ns | 533.99 *** | 131.90 ns | 62.70 | 32.8 | |
| 80 DAE | 453.9 ** | 1513.9 *** | 106.9 ns | 120.7 | 4.2 | |
| Number of leaves | 40 DAE | 9.44 ns | 114.83 *** | 24.52 * | 10.63 | 31.7 |
| 60 DAE | 26.39 ns | 70.04 *** | 20.94 ns | 18.74 | 54.2 | |
| 80 DAE | 30.73 ns | 203.05 ** | 23.61 ns | 24.75 | 65.2 | |
| Chlorophyll | 40 DAE | 150.15 ns | 425.48 * | 118.6 ns | 89.76 | 49.6 |
| 80 DAE | 219.5 ns | 4061 * | 131.8 ns | 160.9 | 45.8 | |
| Growing Season | Intercropping Pattern | Weeding Frequency | Total Plot | Yield Type | ||
|---|---|---|---|---|---|---|
| NWC | 50 DWACE | WF | ||||
| 2017/18 | DB/CP inter-row | - | 1.72 | 1.03 | 1.60 | Grain t/ha |
| DB/CP intra-row | 1.15 | 3.75 | 1.43 | 2.13 | ||
| SS/DB inter-row | 0.91 | 2.03 | 1.70 | 1.66 | Dry biomass t/ha | |
| SS/DB intra-row | 1.12 | 2.78 | 2.1 | 2.19 | ||
| 2018/19 | DB/CP inter-row | 0.13 | 2.27 | 1.67 | 1.71 | Grain t/ha |
| DB/CP intra-row | 0.10 | 2.38 | 1.67 | 1.73 | ||
| SS/DB inter-row | 1.27 | 1.65 | 1.82 | 1.96 | Dry biomass t/ha | |
| SS/DB intra-row | 2.65 | 1.84 | 1.60 | 1.75 | ||
Publisher’s Note: MDPI stays neutral with regard to jurisdictional claims in published maps and institutional affiliations. |
© 2021 by the authors. Licensee MDPI, Basel, Switzerland. This article is an open access article distributed under the terms and conditions of the Creative Commons Attribution (CC BY) license (https://creativecommons.org/licenses/by/4.0/).
Share and Cite
Baker, C.; Modi, A.T.; Nciizah, A.D. Weeding Frequency Effects on Growth and Yield of Dry Bean Intercropped with Sweet Sorghum and Cowpea under a Dryland Area. Sustainability 2021, 13, 12328. https://doi.org/10.3390/su132112328
Baker C, Modi AT, Nciizah AD. Weeding Frequency Effects on Growth and Yield of Dry Bean Intercropped with Sweet Sorghum and Cowpea under a Dryland Area. Sustainability. 2021; 13(21):12328. https://doi.org/10.3390/su132112328
Chicago/Turabian StyleBaker, Conrad, Albert Thembinkosi Modi, and Adornis D. Nciizah. 2021. "Weeding Frequency Effects on Growth and Yield of Dry Bean Intercropped with Sweet Sorghum and Cowpea under a Dryland Area" Sustainability 13, no. 21: 12328. https://doi.org/10.3390/su132112328
APA StyleBaker, C., Modi, A. T., & Nciizah, A. D. (2021). Weeding Frequency Effects on Growth and Yield of Dry Bean Intercropped with Sweet Sorghum and Cowpea under a Dryland Area. Sustainability, 13(21), 12328. https://doi.org/10.3390/su132112328

