Model Reduction Applied to Empirical Models for Biomass Gasification in Downdraft Gasifiers
Abstract
:1. Introduction
2. Development of New Empirical Models for Gasification
2.1. Linear and Quadratic Modeling Equations
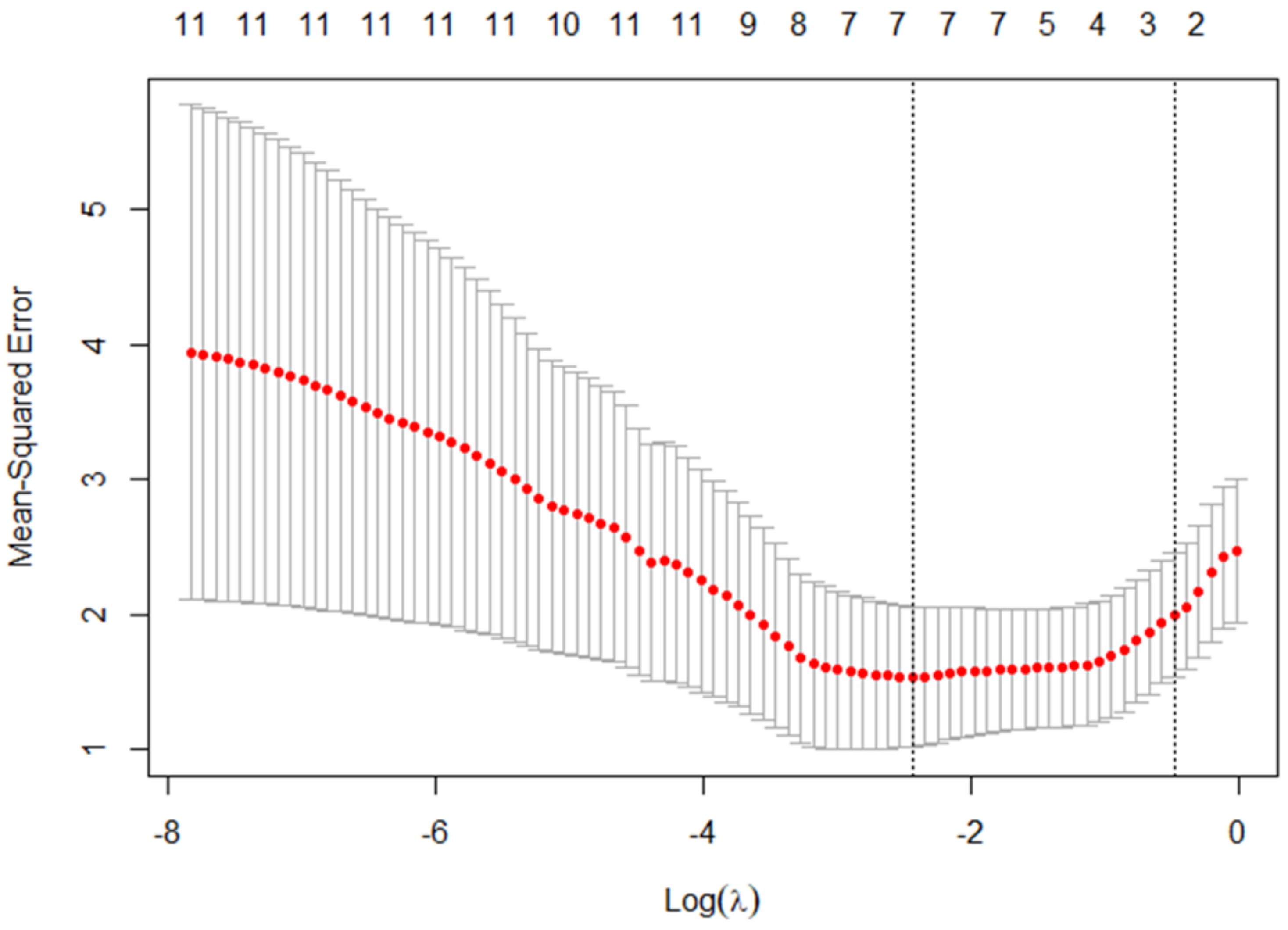
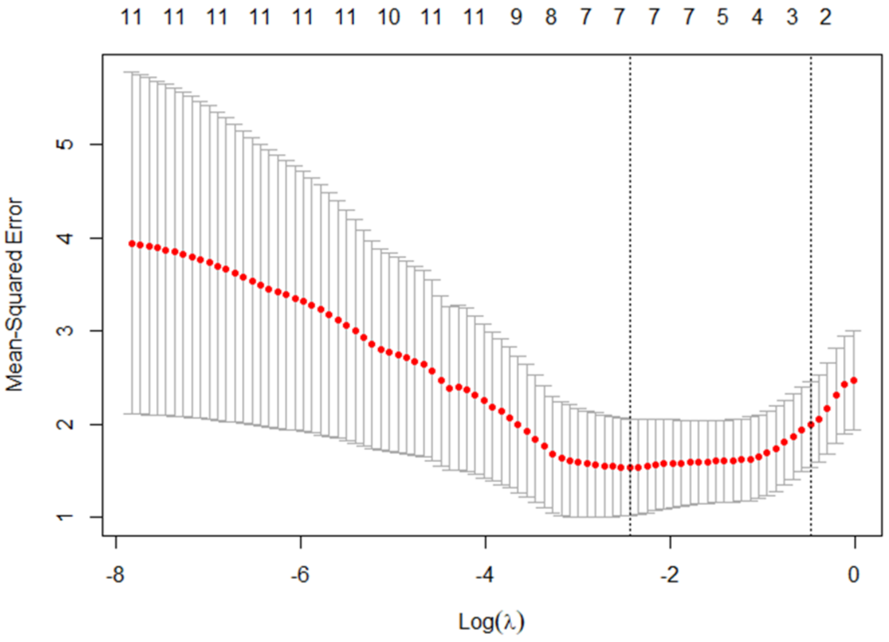
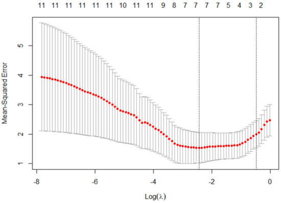
2.2. Model Reduction through LASSO Shrinkage
2.3. Cross Validation and Model Development
- Full linear model;
- Reduced linear model;
- Reduced quadratic model.
3. Case Study Based on a Commercial Biomass Gasifier
- Hydrogen (mole %);
- Carbon monoxide (mole %);
- Carbon dioxide (mole %);
- Methane (mole %);
- Nitrogen (mole %);
- Gas/fuel ratio (kg/kg).
3.1. Cross Validation and Model Development
3.2. Model Validation
4. Conclusions
Supplementary Materials
Author Contributions
Funding
Institutional Review Board Statement
Informed Consent Statement
Data Availability Statement
Acknowledgments
Conflicts of Interest
References
- Patra, T.K.; Sheth, P.N. Biomass gasification models for downdraft gasifier: A state-of-the-art review. Renew. Sustain. Energy Rev. 2015, 50, 583–593. [Google Scholar] [CrossRef]
- Safarian, S.; Saryazdi, S.M.E.; Unnthorsson, R.; Richter, C. Artificial neural network integrated with thermodynamic equi-librium modeling of downdraft biomass gasification-power production plant. Energy 2020, 213, 118800. [Google Scholar] [CrossRef]
- Marcantonio, V.; Ferrario, A.M.; Di Carlo, A.D.; Del Zotto, L.; Monarca, D.; Bocci, E. Biomass Steam Gasification: A Comparison of Syngas Composition between a 1-D Matlab Kinetic Model and a 0-D Aspen Plus Quasi-Equilibrium Model. Comput. 2020, 8, 86. [Google Scholar] [CrossRef]
- Pio, D.T.; Tarelho, L.A.D.C. Empirical and chemical equilibrium modelling for prediction of biomass gasification products in bubbling fluidized beds. Energy 2020, 202, 117654. [Google Scholar] [CrossRef]
- Ferreira, S.; Monteiro, E.; Brito, P.; Vilarinho, C. A Holistic Review on Biomass Gasification Modified Equilibrium Models. Energies 2019, 12, 160. [Google Scholar] [CrossRef] [Green Version]
- Ayub, H.M.U.; Park, S.J.; Binns, M. Biomass to Syngas: Modified Non-Stoichiometric Thermodynamic Models for the Downdraft Biomass Gasification. Energies 2020, 13, 5668. [Google Scholar] [CrossRef]
- Baruah, D.; Baruah, D.C.; Hazarika, M.K. Artificial neural network based modeling of biomass gasification in fixed bed downdraft gasifiers. Biomass- Bioenergy 2017, 98, 264–271. [Google Scholar] [CrossRef]
- Pandey, D.S.; Das, S.; Pan, I.; Leahy, J.J.; Kwapinski, W. Artificial neural network based modelling approach for municipal solid waste gasification in a fluidized bed reactor. Waste Manag. 2016, 58, 202–213. [Google Scholar] [CrossRef] [PubMed] [Green Version]
- Mutlu, A.Y.; Ozgun, Y. An artificial intelligence based approach to predicting syngas composition for downdraft biomass gasification. Energy 2018, 165, 895–901. [Google Scholar] [CrossRef]
- Puig-Arnavat, M.; Hernández, J.A.; Bruno, J.C.; Coronas, A. Artificial neural network models for biomass gasification in fluidized bed gasifiers. Biomass Bioenergy 2013, 49, 279–289. [Google Scholar] [CrossRef]
- Chavan, P.D.; Sharma, T.; Mall, B.K.; Rajurkar, B.D.; Tambe, S.S.; Sharma, B.K.; Kulkarni, B.D. Development of data-driven models for fluidized-bed coal gasification process. Fuel 2012, 93, 44–51. [Google Scholar] [CrossRef]
- Chee, C.S. The Air Gasification of Wood Chips in a Downdraft Gasifier. Master’s Thesis, Kansas State University, Manhattan, KS, USA, 1987. [Google Scholar]
- Pradhan, P.; Arora, A.; Mahajani, S.M. A semi-empirical approach towards predicting producer gas composition in a biomass gasification. Bioresour. Technol. 2019, 272, 535–544. [Google Scholar] [CrossRef] [PubMed]
- Rupesh, S.; Muraleedharan, C.; Arun, P.V. A comparative study on gaseous fuel generation capability of biomass materials by thermo-chemical gasification using stoichiometric quasi-steady-state model. Int. J. Energy Environ. Eng. 2015, 6, 375–384. [Google Scholar] [CrossRef] [Green Version]
- Mirmoshtaghi, G.; Skvaril, J.; Campana, P.E.; Li, H.; Thorin, E.; Dahlquist, E. The influence of different parameters on bio-mass gasification in circulating fluidized bed gasifiers. Energy Convers. Manag. 2016, 126, 110–123. [Google Scholar] [CrossRef]
- Gil, M.V.; Gonzalez-Vasquez, M.P.; Garcia, R.; Rubiera, F.; Pevida, C. Assessing the influence of biomass properties on the gasification process using multivariate data analysis. Energy Convers. Manag. 2019, 184, 649–660. [Google Scholar] [CrossRef]
- Dellavedova, M.; Derudi, M.; Biesuz, R.; Lunghi, A.; Rota, R. On the gasification of biomass: Data analysis and regressions. Process. Saf. Environ. Prot. 2012, 90, 246–254. [Google Scholar] [CrossRef]
- Pan, I.; Pandey, D.S. Incorporating uncertainty in data driven regression models of fluidized bed gasification: A Bayesian approach. Fuel Process. Technol. 2016, 142, 305–314. [Google Scholar] [CrossRef] [Green Version]
- James, G.; Witten, D.; Hastie, T.; Tibshirani, R. An Introduction to Statistical Learning with Applications in R, 2nd ed.; Casella, G., Fienberg, S., Olkin, I., Eds.; Springer: New York, NY, USA, 2013; pp. 59–126. [Google Scholar]
- Friedman, J.; Hastie, T.; Narasimhan, B.; Simon, N.; Tay, K.; Tibshirani, R. glmnet package for generalized linear models. Available online: https://glmnet.stanford.edu (accessed on 28 September 2021).
- Jayah, T.H.; Aye, L.; Fuller, R.J.; Stewart, D.F. Computer simulation of a downdraft wood gasifier for tea drying. Biomass-Bioenergy 2003, 25, 459–469. [Google Scholar] [CrossRef]
- Sheth, P.N.; Babu, B.V. Experimental studies on producer gas generation from wood waste in a downdraft biomass gasifier. Bioresour. Technol. 2009, 100, 3127–3133. [Google Scholar] [CrossRef] [PubMed]
- Costa, M.; La Villetta, M.; Piazzullo, D.; Cirillo, D. A Phenomenological Model of a Downdraft Biomass Gasifier Flexible to the Feedstock Composition and the Reactor Design. Energies 2021, 14, 4226. [Google Scholar] [CrossRef]









| Gasifier Input | Range | Average |
|---|---|---|
| Tgas = Gasification temperature (K) | 961–1100 | 1039 |
| ER = Equivalence ratio | 0.1555–0.2607 | 0.2001 |
| MC = Moisture content (% wet basis) | 5.4–22.4 | 11.3 |
| H = Hydrogen content (% dry basis) | 47.88–49.44 | 48.53 |
| O = Oxygen content (% dry basis) | 5.78–6.00 | 5.9 |
| C = Carbon content (% dry basis) | 39.06–44.31 | 43.44 |
| Ash = Ash content (% dry basis) | 1.10–2.07 | 1.66 |
| Gr = Grate rotation speed (rph) | 2.55–20.69 | 5.13 |
| Fs = Gas fan speed (rpm) | 1388–2561 | 1750 |
| Bulk = Wet bulk density (kg/m3) | 133–230 | 167.35 |
| Void = Biomass void percent (%) | 32–56 | 46.22 |
| Reduced Linear Model | Reduced Quadratic Model |
|---|---|
| Gasifier Input | 1 | H2 | CO | CO2 | CH4 | N2 | G/F |
|---|---|---|---|---|---|---|---|
| Full linear model | # terms | 11 | 11 | 11 | 11 | 11 | 11 |
| MSE(test) | 0.648 | 6.869 | 1.043 | 0.037 | 5.104 | 0.0025 | |
| R2 | 0.660 | −0.009 | 0.649 | 0.753 | 0.440 | 0.953 | |
| Reduced linear model | # terms | 7 | 9 | 8 | 8 | 5 | 7 |
| MSE(test) | 0.146 | 4.850 | 0.800 | 0.010 | 0.502 | 0.0032 | |
| R2 | 0.924 | 0.288 | 0.731 | 0.935 | 0.945 | 0.942 | |
| Reduced quadratic model | # terms | 4 | 8 | 9 | 8 | 5 | 9 |
| MSE(test) | 0.777 | 3.317 | 0.830 | 0.011 | 1.232 | 0.0031 | |
| R2 | 0.592 | 0.513 | 0.720 | 0.928 | 0.865 | 0.943 |
Publisher’s Note: MDPI stays neutral with regard to jurisdictional claims in published maps and institutional affiliations. |
© 2021 by the authors. Licensee MDPI, Basel, Switzerland. This article is an open access article distributed under the terms and conditions of the Creative Commons Attribution (CC BY) license (https://creativecommons.org/licenses/by/4.0/).
Share and Cite
Binns, M.; Ayub, H.M.U. Model Reduction Applied to Empirical Models for Biomass Gasification in Downdraft Gasifiers. Sustainability 2021, 13, 12191. https://doi.org/10.3390/su132112191
Binns M, Ayub HMU. Model Reduction Applied to Empirical Models for Biomass Gasification in Downdraft Gasifiers. Sustainability. 2021; 13(21):12191. https://doi.org/10.3390/su132112191
Chicago/Turabian StyleBinns, Michael, and Hafiz Muhammad Uzair Ayub. 2021. "Model Reduction Applied to Empirical Models for Biomass Gasification in Downdraft Gasifiers" Sustainability 13, no. 21: 12191. https://doi.org/10.3390/su132112191
APA StyleBinns, M., & Ayub, H. M. U. (2021). Model Reduction Applied to Empirical Models for Biomass Gasification in Downdraft Gasifiers. Sustainability, 13(21), 12191. https://doi.org/10.3390/su132112191
