Biochelator Assisted Phytoremediation for Cadmium (Cd) Pollution in Paddy Field
Abstract
:1. Introduction
2. Materials and Methods
2.1. Plant Culture and Treatments with Cd and Chelators
2.2. Analysis of Cd Content
2.3. Measurement of Antioxidant Indices
2.4. Statistical Analyses
3. Results
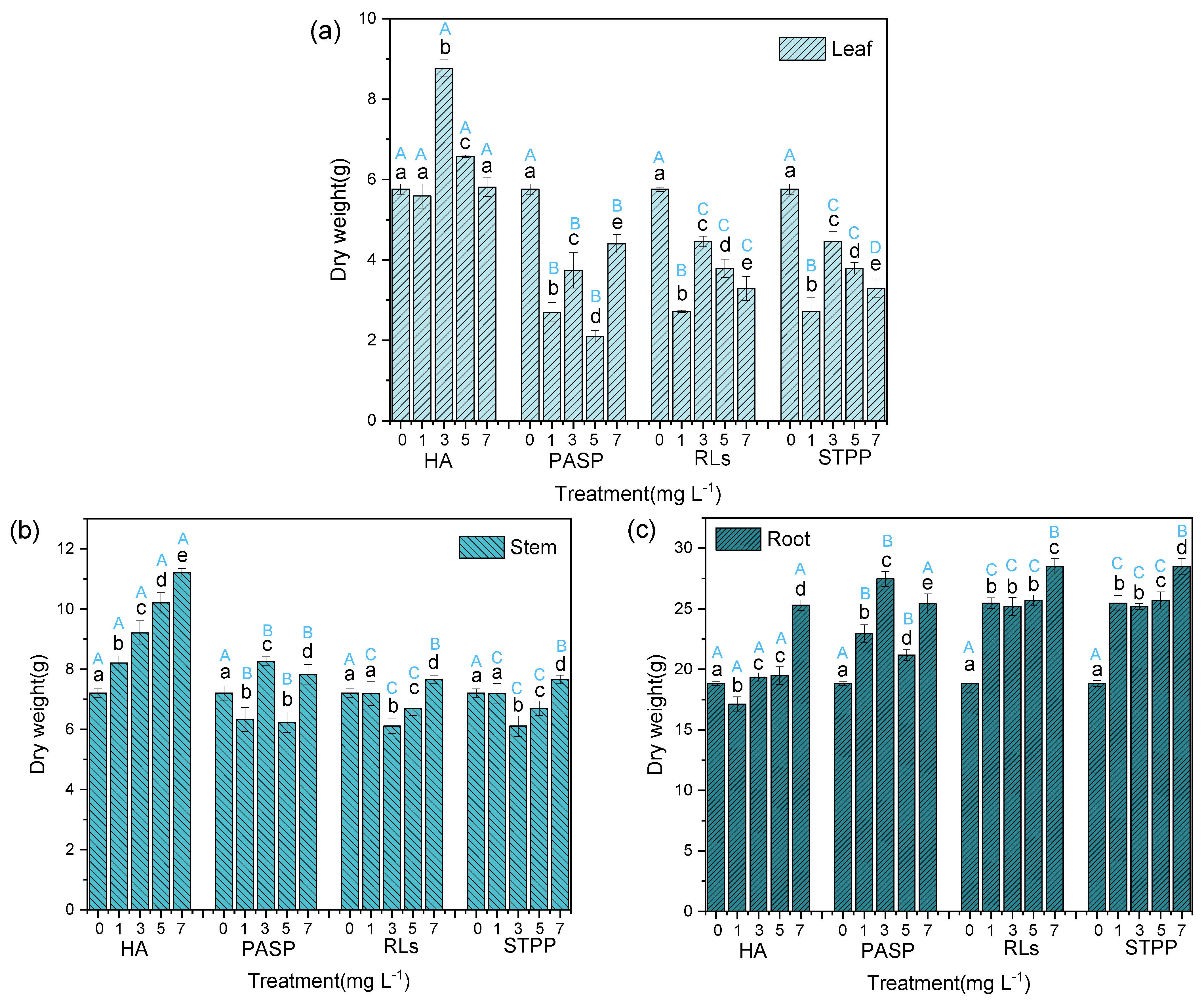
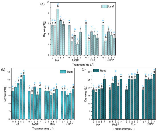
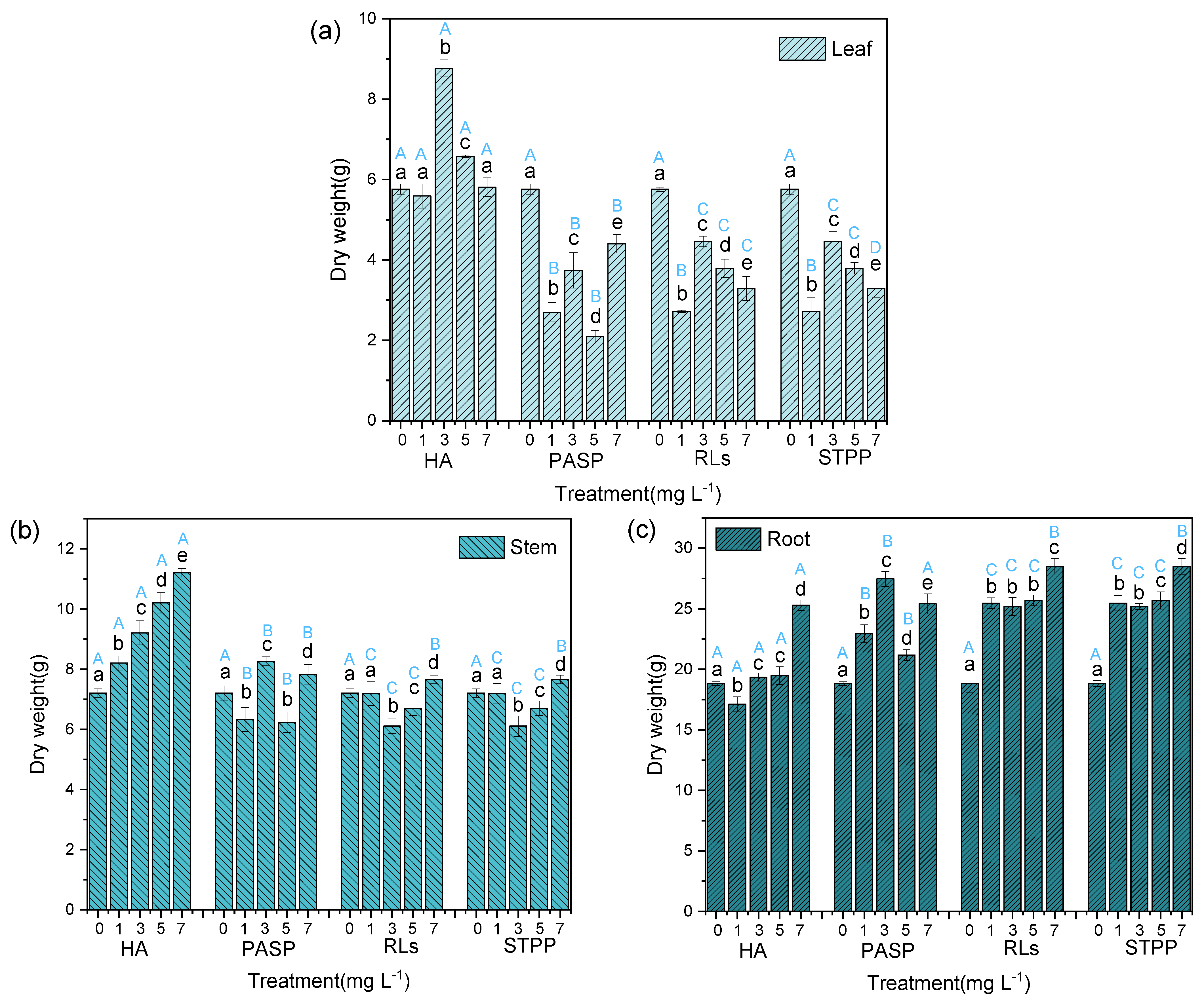
3.1. Effects of Chelators on Iris Sibirica L. Growth in Cd Polluted Media
3.2. Effects of Chelators on Cd Accumulation in Iris Sibirica L. Tissues
3.3. BCF and TCF
3.4. Effects of Chelators on the Antioxidant Indices in Cd-Polluted Iris Sibirica L.
4. Conclusions
Author Contributions
Funding
Institutional Review Board Statement
Informed Consent Statement
Data Availability Statement
Conflicts of Interest
References
- Clabeaux, B.L.; Navarro, D.A.; Aga, D.S.; Bisson, M.A. Combined effects of cadmium and zinc on growth, tolerance, and metal accumulation in Chara australis and enhanced phytoextraction using EDTA. Ecotoxicol. Environ. Saf. 2013, 98, 236–243. [Google Scholar] [CrossRef]
- Ali, S.; Chaudhary, A.; Rizwan, M.; Anwar, H.T.; Adrees, M.; Farid, M.; Irshad, M.K.; Hayat, T.; Anjum, S.A. Alleviation of chromium toxicity by glycinebetaine is related to elevated antioxidant enzymes and suppressed chromium uptake and oxidative stress in wheat (Triticum aestivum L.). Environ. Sci. Pollut. Res. 2015, 22, 10669–10678. [Google Scholar] [CrossRef]
- Rizwan, M.; Meunier, J.D.; Davidian, J.C.; Pokrovsky, O.S.; Bovet, N.; Keller, C. Silicon alleviates Cd stress of wheat seedlings (Triticum turgidum L. cv. Claudio) grown in hydroponics. Environ. Sci. Pollut. Res. 2016, 23, 1414–1427. [Google Scholar] [CrossRef]
- Wan, S.; Li, Y.; Cheng, S.; Wu, G.; Gao, L. Cadmium removal by FeOOH nanoparticles accommodated in biochar: Effect of the negatively charged functional groups in host. J. Hazard. Mater. 2021, 421, 126807. [Google Scholar] [CrossRef]
- Nemr, A.E.; El-Assal, A.; Sikaily, A.E.; Mahmoud, M.E.; Amira, M.F.; Ragab, S. New magnetic cellulose nanobiocomposites for cu(II), cd(II) and pb(II) ions removal: Kinetics, thermodynamics and analytical evaluation. Nanotechnol. Environ. Eng. 2021, 6, 1–20. [Google Scholar]
- Guo, J.; Feng, R.; Ding, Y.; Wang, R. Applying carbon dioxide, plant growth-promoting rhizobacterium and EDTA can enhance the phytoremediation efficiency of ryegrass in a soil polluted with zinc, arsenic, cadmium and lead. J. Environ. Manag. 2014, 141, 1–8. [Google Scholar] [CrossRef] [PubMed]
- Rucandio, M.I.; Petit-Domínguez, M.D.; Fidalgo-Hijano, C.; García-Giménez, R. Biomonitoring of chemical elements in an urban environment using arboreal and bush plant species. Environ. Ence Pollut. Res. 2011, 18, 51–63. [Google Scholar] [CrossRef]
- Luna, J.M.; Rufino, R.D.; Sarubbo, L.A.; Campos-Takaki, G.M. Characterisation, surface properties and biological activity of a biosurfactant produced from industrial waste by Candida sphaerica UCP0995 for application in the petroleum industry. Colloids Surf. B Biointerfaces 2013, 102, 202–209. [Google Scholar] [CrossRef]
- Jadia, C.D.; Fulekar, M.H. Phytotoxicity and Remediation of Heavy Metals by Alfalfa (Medicago sativa) in Soil-vermicompost Media. Adv. Nat. Appl. Ences 2008, 2, 141–151. [Google Scholar]
- Xu, Y.; Zhao, L.L.; Wang, L.N.; Xu, S.Y.; Cui, Y.C. Synthesis of polyaspartic acid–melamine grafted copolymer and evaluation of its scale inhibition performance and dispersion capacity for ferric oxide. Desalination 2012, 286, 285–289. [Google Scholar] [CrossRef]
- Feng, R.; Wang, X.; Wei, C.; Tu, S. The Accumulation and Subcellular Distribution of Arsenic and Antimony in Four Fern Plants. Int. J. Phytoremediat. 2015, 17, 348–354. [Google Scholar] [CrossRef]
- Juwarkar, A.A.; Nair, A.; Dubey, K.V.; Singh, S.K.; Devotta, S. Biosurfactant technology for remediation of cadmium and lead contaminated soils. Chemosphere 2007, 68, 1996–2002. [Google Scholar] [CrossRef] [PubMed]
- Manzatu, C.; Nagy, B.; Ceccarini, A.; Iannelli, R.; Giannarelli, S.; Majdik, C. Laboratory tests for the phytoextraction of heavy metals from polluted harbor sediments using aquatic plants. Mar. Pollut. Bull. 2015, 101, 605–611. [Google Scholar] [CrossRef]
- Sainger, P.A.; Dhankhar, R.; Sainger, M.; Kaushik, A.; Singh, R.P. Assessment of heavy metal tolerance in native plant species from soils contaminated with electroplating effluent. Ecotoxicol. Environ. Saf. 2011, 74, 2284–2291. [Google Scholar] [CrossRef] [PubMed]
- Mulligan, C.N. Recent advances in the environmental applications of biosurfactants. Curr. Opin. Colloid Interface Sci. 2009, 14, 372–378. [Google Scholar] [CrossRef]
- Xin, Z.; Shi, L.; Liu, X.; Han, Z.; Li, L.; Tan, T. The research of enhancing phytoremediation of heavy metals contaminated soil with PASP. Chin. Agric. Sci. Bull. 2013, 29, 151–156. [Google Scholar]
- Zhen, M.; Chen, H.; Liu, Q.; Song, B.; Wang, Y.; Tang, J. Combination of rhamnolipid and biochar in assisting phytoremediation of petroleum hydrocarbon contaminated soil using spartina anglica. J. Environ. Sci. 2019, 85, 107–118. [Google Scholar] [CrossRef]
- Wei, J.; Yang, H.; Cao, H.; Tan, T.; Ashraf, M.A. Using polyaspartic acid hydro-gel as water retaining agent and its effect on plants under drought stress. Saudi J. Biol. Sci. 2016, 23, 654–659. [Google Scholar] [CrossRef] [Green Version]
- Ifon, B.E.; Alexis Crépin Finagnon Togbé, L.A.S.T.; Yessoufou, A. Metal-Contaminated Soil Remediation: Phytoremediation, Chemical Leaching and Electrochemical Remediation. In Metals in Soil—Contamination and Remediation; Zinnat, A.B., Rahman, I.M.M., Hasegawa, H., Eds.; IntechOpen: London, UK, 2019; pp. 102–115. [Google Scholar]
- Huang, R.; Dong, M.; Mao, P.; Zhuang, P.; Li, Z. Evaluation of phytoremediation potential of five cd (hyper)accumulators in two cd contaminated soils. Sci. Total Environ. 2020, 721, 137581. [Google Scholar] [CrossRef] [PubMed]
- Shaohui, X.U.; Jiang, D.; Shi, D.; Zhang, R.; Huang, Z.; Yang, G. Screening and identification of lead and cadmium resistant microorganisms from combined heavy metal pollution soil. Chin. J. Appl. Environ. Biol. 2019, 3, 532–538. [Google Scholar]
- Wu, L.; Luo, Y.; Song, J. Manipulating Soil Metal Availability Using EDTA and Low-Molecular-Weight Organic Acids. Phytoremediation 2007, 23, 291–303. [Google Scholar]
- Wenzel, W.W.; Unterbrunner, R.; Sacco, S.P. Chelate-assisted phytoextraction using canola (Brassica napus L.) in outdoors pot and lysimeter experiments. PlantSoil 2003, 249, 83–96. [Google Scholar]
- Vassil, A.D.; Kapulnik, Y.; Salt, R.D.E. The Role of EDTA in Lead Transport and Accumulation by Indian Mustard. Plant. Physiol. 1998, 117, 447–453. [Google Scholar] [CrossRef] [Green Version]
- do Nascimento, C.W.A.; Amarasiriwardena, D.; Xing, B. Comparison of natural organic acids and synthetic chelates at enhancing phytoextraction of metals from a multi-metal contaminated soil. Environ. Pollut. 2006, 140, 114–123. [Google Scholar] [CrossRef] [PubMed]
- Stanley, R.; Arpa, G.; Sakulas, H.; Harakuwe, A.; Timi, D. Phytoremediation—An Eco-friendly and Sustainable Method of Heavy Metal Removal from Closed Mine Environments in Papua New Guinea. Procedia Earth Planet. Sci. 2013, 6, 269–277. [Google Scholar] [CrossRef] [Green Version]
- Schröder, P. Uptake, translocation and possible biodegradation of the antidiabetic agent metformin by hydroponically grown Typha latifolia. J. Hazard. Mater. 2016, 308, 355–361. [Google Scholar]
- Rocha, A.C.S.; Almeida, C.M.R.; Basto, M.C.P.; Vasconcelos, M.T.S.D. Marsh plant response to metals: Exudation of aliphatic low molecular weight organic acids (ALMWOAs). Estuar. Coast. Shelf Sci. 2016, 171, 77–84. [Google Scholar] [CrossRef]
- Orlowska, E.; Przybytowicz, W.; Orlowski, D.; Mongwaketsi, N.P.; Turnau, K.; Mesjasz-Przybylowicz, J. Mycorrhizal colonization affects the elemental distribution in roots of Ni-hyperaccumulator Berkheya coddii Roessler. Environ. Pollut. 2013, 175, 100–109. [Google Scholar] [CrossRef]
- Zhang, X.; Zhu, Y.; Zhang, Y.; Liu, Y.; Liu, S.; Guo, J.; Li, R.; Wu, S.; Chen, B. Growth and metal uptake of energy sugarcane (Saccharum spp.) in different metal mine tailings with soil amendments. J. Environ. Sci. 2014, 26, 1080–1089. [Google Scholar] [CrossRef]
- Mcgeer, J.C.; Brix, K.V.; Skeaff, J.M.; Deforest, D.K.; Brigham, S.I.; Adams, W.J.; Green, A. Inverse relationship between bioconcentration factor and exposure concentration for metals: Implications for hazard assessment of metals in the aquatic environment. Environ. Toxicol. Chem. 2003, 22, 1017–1037. [Google Scholar] [CrossRef]
- Redondo-Gómez, S.; Mateos-Naranjo, E.; Andrades-Moreno, L. Accumulation and tolerance characteristics of cadmium in a halophytic Cd-hyperaccumulator, Arthrocnemum macrostachyum. J. Hazard. Mater. 2010, 184, 299–307. [Google Scholar] [CrossRef]
- Rezvani, M.; Zaefarian, F. Bioaccumulation and translocation factors of cadmium and lead in Aeluropus littoralis. Aust. J. Agric. Eng. 2011, 2, 114–119. [Google Scholar]
- Rahman, K.S.M.; Rahman, T.J.; Kourkoutas, Y.; Petsas, I.; Marchant, R.; Banat, I.M. Enhanced bioremediation of n-alkane in petroleum sludge using bacterial consortium amended with rhamnolipid and micronutrients. Bioresour. Technol. 2003, 90, 159–168. [Google Scholar] [CrossRef] [Green Version]
- Ali, S. The interaction of salinity and chromium in the influence of barley growth and oxidative stress. Plant. Soil Environ. 2011, 57, 153–159. [Google Scholar] [CrossRef] [Green Version]
- Haouari, C.C.; Nasraoui, A.H.; Bouthour, D.; Gouia, H. Response of tomato (Solanum lycopersicon) to cadmium toxicity: Growth, element uptake, chlorophyll content and photosynthesis rate. Afr. J. Plant Sci. 2012, 6, 001–007. [Google Scholar]
- Kling, P.G.; Olsson, P.E. Involvement of differential metallothionein expression in free radical sensitivity of RTG-2 and CHSE-214 cells. Free Radic. Biol. Med. 2000, 28, 1628–1637. [Google Scholar] [CrossRef]
- Zhang, F.; Zhang, H.; Wang, G.; Xu, L.; Shen, Z. Cadmium-induced accumulation of hydrogen peroxide in the leaf apoplast of Phaseolus aureus and Vicia sativa and the roles of different antioxidant enzymes. J. Hazard. Mater. 2009, 168, 76–84. [Google Scholar] [CrossRef]
- Zaheer, I.E.; Ali, S.; Rizwan, M.; Farid, M.; Shakoor, M.B.; Gill, R.A.; Najeeb, U.; Iqbal, N.; Ahmad, R. Citric acid assisted phytoremediation of copper by Brassica napus L. Ecotoxicol. Environ. Saf. 2015, 120, 310–317. [Google Scholar] [CrossRef]
- Pallara, G.; Todeschini, V.; Lingua, G.; Camussi, A.; Racchi, M.L. Transcript analysis of stress defence genes in a white poplar clone inoculated with the arbuscular mycorrhizal fungus Glomus mosseae and grown on a polluted soil. Plant. Physiol. Biochem. Ppb. 2013, 63, 131–139. [Google Scholar] [CrossRef]
- Freeman, J.L. Increased Glutathione Biosynthesis Plays a Role in Nickel Tolerance in Thlaspi Nickel Hyperaccumulators. Plant. Cell 2004, 16, 2176–2191. [Google Scholar] [CrossRef] [Green Version]





| Treatment (mg L−1) | Leaf (mg kg−1) | Stem (mg kg−1) | Root (mg kg−1) | |
|---|---|---|---|---|
| HA | ck | 723.53 ± 1.96 a | 1419.27 ± 3.77 a | 1576.36 ± 2.50 a |
| 1.00 | 623.34 ± 3.21 b | 1396.93 ± 3.51 b | 1464.41 ± 1.99 b | |
| 3.00 | 374.55 ± 2.16 c | 796.81 ± 4.26 c | 1233.12 ± 2.43 c | |
| 5.00 | 404.26 ± 3.22 d | 802.20 ± 0.87 c | 963.11 ± 5.41 d | |
| 7.00 | 297.11 ± 4.17 e | 458.39 ± 3.79 d | 970.02 ± 2.57 e | |
| PASP | ck | 723.53 ± 1.96 a | 1419.27 ± 3.77 a | 1576.36 ± 2.50 a |
| 1.00 | 1315.12 ± 3.30 b | 2594.37 ± 0.63 b | 2703.24 ± 5.7 b | |
| 3.00 | 666.04 ± 4.37 c | 1505.88 ± 7.83 c | 2531.59 ± 9.67 c | |
| 5.00 | 724.98 ± 5.14 d | 1796.38 ± 2.62 d | 2528.22 ± 11.58 d | |
| 7.00 | 1076.51 ± 2.17 e | 1865.28 ± 2.72 e | 2583.39 ± 4.61 e | |
| RLs | ck | 723.53 ± 1.96 a | 1419.27 ± 3.77 a | 1576.36 ± 2.50 a |
| 1.00 | 1053.64 ± 6.03 b | 2525.59 ± 3.43 b | 2223.57 ± 5.52 b | |
| 3.00 | 612.46 ± 1.41 c | 1603.71 ± 2.91 c | 1819.81 ± 13.09 c | |
| 5.00 | 656.5 ± 8.47 d | 1554.65 ± 3.34 d | 2117.12 ± 11.87 d | |
| 7.00 | 847.67 ± 2.31 e | 1851.06 ± 5.31 e | 1886.53 ± 4.31 e | |
| STPP | ck | 723.53 ± 1.96 a | 1419.27 ± 3.77 a | 1576.36 ± 2.50 a |
| 1.00 | 762.24 ± 0.44 b | 1552.32 ± 18.16 b | 1665.72 ± 10.15 b | |
| 3.00 | 890.18 ± 0.94 c | 1860.87 ± 7.43 c | 2392.46 ± 6.58 c | |
| 5.00 | 878.05 ± 4.60 d | 1908.95 ± 1.13 d | 2433.66 ± 12.29 d | |
| 7.00 | 847.93 ± 3.65 e | 2020.71 ± 4.53 e | 2503.04 ± 8.64 e | |
Publisher’s Note: MDPI stays neutral with regard to jurisdictional claims in published maps and institutional affiliations. |
© 2021 by the authors. Licensee MDPI, Basel, Switzerland. This article is an open access article distributed under the terms and conditions of the Creative Commons Attribution (CC BY) license (https://creativecommons.org/licenses/by/4.0/).
Share and Cite
Wang, Y.; Li, S.; Wang, X.; Xu, J.; Li, T.; Zhu, J.; Yang, R.; Wang, J.; Chang, M.; Wang, L. Biochelator Assisted Phytoremediation for Cadmium (Cd) Pollution in Paddy Field. Sustainability 2021, 13, 12170. https://doi.org/10.3390/su132112170
Wang Y, Li S, Wang X, Xu J, Li T, Zhu J, Yang R, Wang J, Chang M, Wang L. Biochelator Assisted Phytoremediation for Cadmium (Cd) Pollution in Paddy Field. Sustainability. 2021; 13(21):12170. https://doi.org/10.3390/su132112170
Chicago/Turabian StyleWang, Yangyang, Shaofeng Li, Xiaoshu Wang, Jianfeng Xu, Tongtong Li, Jia Zhu, Ruyue Yang, Jinsheng Wang, Ming Chang, and Lei Wang. 2021. "Biochelator Assisted Phytoremediation for Cadmium (Cd) Pollution in Paddy Field" Sustainability 13, no. 21: 12170. https://doi.org/10.3390/su132112170
APA StyleWang, Y., Li, S., Wang, X., Xu, J., Li, T., Zhu, J., Yang, R., Wang, J., Chang, M., & Wang, L. (2021). Biochelator Assisted Phytoremediation for Cadmium (Cd) Pollution in Paddy Field. Sustainability, 13(21), 12170. https://doi.org/10.3390/su132112170

