A New Design Concept of an Ecological Corridor for Frogs to Improve Ecological Conservation
Abstract
:1. Introduction
2. Materials and Methods
2.1. Sampling and Grouping
2.2. Experiments
2.3. Methodology
3. Grey System Theory and Statistical Analysis
3.1. Grey System Theory
3.2. Statistical Analysis
4. Results and Discussion
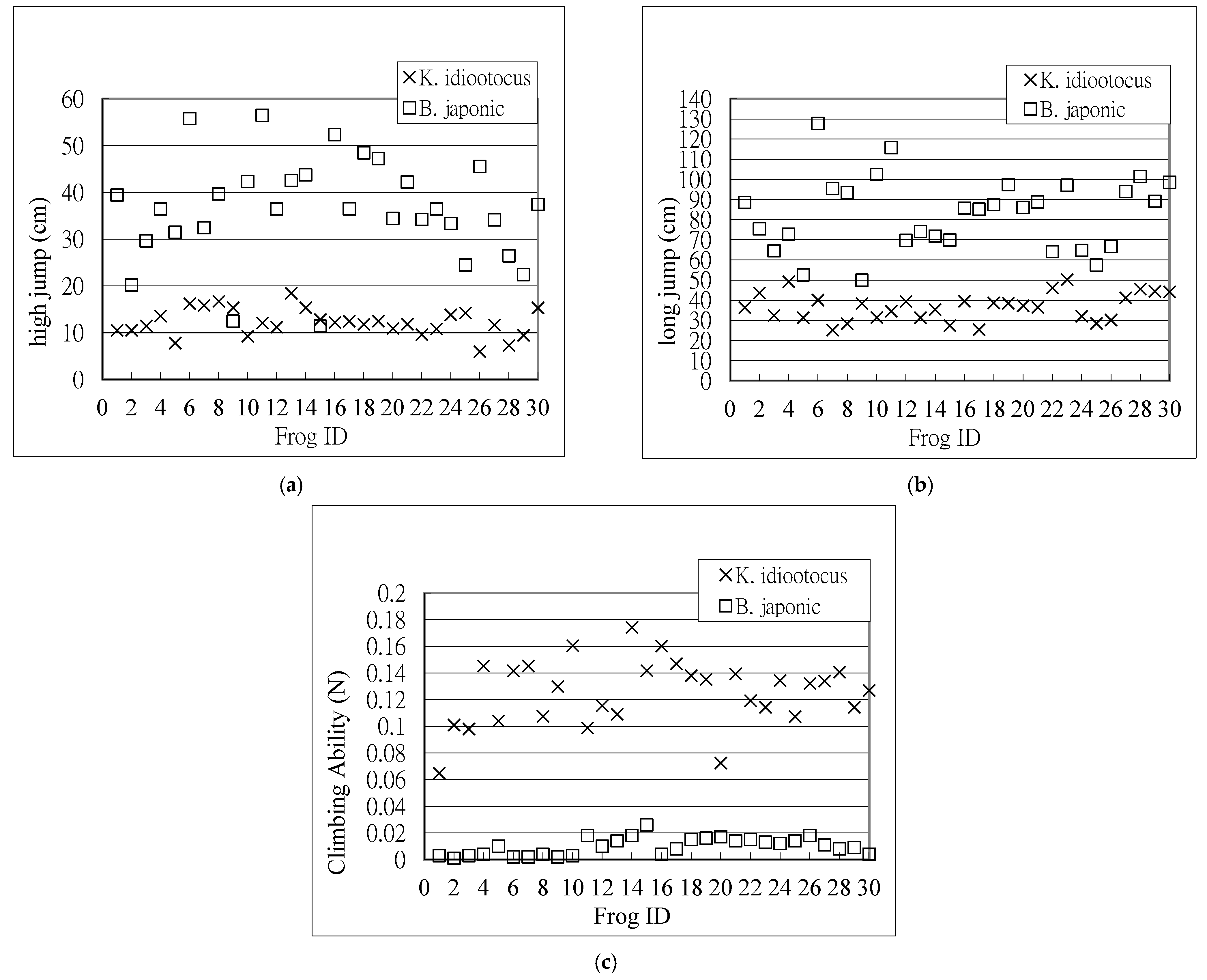
4.1. Experimental Results
4.2. Climbing Ability of Frogs
4.3. Grey-Relational Analysis
4.4. Results of Statistical Analysis
4.5. Design of the Frog Ladder and Discussion
- Behavioral ability of the frogs: Jumping and climbing abilities are important abilities used by frogs to forage and escape.
- Material of the ladder: It is expected that the climbing abilities of frogs will be different for various materials of the ladder.
- Providing rest space and shelter: This study proposes a new design concept of a frog ecological corridor that takes rest spaces and shelter into consideration.
- Defense mechanisms against natural enemies of frogs: The purpose of these defense mechanisms is to prevent natural enemies (i.e., lizards, skunks, otters, etc.) from preying on the frogs. Various-sized entrance holes, a barrier wall (separator, see Figure 4), and shelter were some of the defense mechanisms (see Figure 4 and Figure 5). The various-sized entrance holes were designed to allow various-sized frogs to enter while blocking most natural enemies. As soon as the frog jumps into the entrance hole, it may simply jump beyond the barrier wall (i.e., separator, Figure 4) and hide in the shelter. Because most of the enemies have triangular heads, their mouth may be able to enter the small hole, but they will be unable to get any farther due to the limited size of the entrance hole and the blockage of the barrier wall. However, if the natural enemy at that moment is a snake, this defense mechanism could possibly impede or stop the snake’s movement because snakes move utilizing the sine function waveform. This will give the frog a little more time to escape. However, the reality of the above frog ladder will be significantly more intricate than the assumptions made here. Thus, modifying the above tentative design will necessitate a large number of trials to test this idea to improve the new concept of a frog ladder.
- Through space: The purpose of the “through space” is to help frogs to cross the road using the through space (or culvert), avoiding injury by cars.
4.6. Discussion on Designing the Frog Ladder
- Behavioral ability of the frogs: The experimental results showed that the climbing ability of K. idiootocus is much better than that of B. japonica. However, the jumping ability of K. idiootocus is relatively weaker than that of B. japonica. Therefore, when the above two frog species appear at the designed area, the jumping ability of K. idiootocus should be considered in the design of the frog ladder. In addition, the climbing ability of B. japonica should be considered in the frog ladder design.
- Stair dimension design of the frog ladder: To allow a frog to run as swiftly as possible, the stair dimensions of the frog ladder should be as large as feasible. This will maximize the frog’s chances of escaping successfully. In this study, we assumed that the stair dimension design of the frog ladder is suggested by the top 80%, 90%, or 100% grey-relational ranking of the 60 male frogs, i.e., the top 80%, 90%, or 100% higher overall capacity of the 60 frogs. According to results of grey-relation rank (Table 6), Rank 48 (total = 60, top 80%) is frog No. 1 (X1), Rank 54 (total = 60, top 90%) is frog No. 10 (X10), and Rank 60 (total = 60, top 100%) is frog No. 17 (X17) for K. idiootocus. For K. idiootocus, the high jump and long jump of frog No. 1 (X1) were 10.54 cm and 36.47 cm, respectively. Furthermore, the high jump and the long jump of frog No. 10 (X10) were 9.26 cm and 31.48 cm, respectively, while those for No. 17 (X17) were 12.47 cm and 25.42 cm, respectively. According to the results of the grey-relation rank (Table 6), B. japonica has a higher overall capacity than K. idiootocus. As a result, the frog ladder’s stair dimension design should be dominated by K. idiootocus’ behavioral abilities. Moreover, grey-relational analysis plays a great role in suggesting the height and width for each step of the ladder. For example, if we choose the information provided by the top 80% grey-relational ranking of the frog species to design the size of the frog ladder, each step’s height and width should be 10.54 cm and 36.47 cm, respectively.
- Material of the ladder: As shown in Table 2, the climbing abilities of male B. japonica were generally worse on grass substrate (0.009) and better on cobblestone (0.024). Therefore, it is suggested that a cobblestone substrate could be adopted in the frog ladder design.
- Rest space and shelter: As shown in Figure 4, a separator should be installed between the rest space and the shelter. The rest space can provide the frog a hidden space for temporary rest. The shelter can provide the frog a space for refuge, and when encountering natural enemies, the narrow entrance and separator can play a role in blocking or retarding them. In considering the function of the separator (Figure 4), a higher separator would be better to provide more safe shelter for frogs to escape from predators. As shown in Table 1, the lowest value of the high jump of male and female K. idiootocus and B. japonica was 5.98 cm. As a result, the height of the separator might be set at the above value (i.e., 5.98 cm) to allow all of the frogs to safely jump over (Figure 4).
5. Conclusions
Author Contributions
Funding
Institutional Review Board Statement
Informed Consent Statement
Data Availability Statement
Acknowledgments
Conflicts of Interest
References
- Kim, K.C.; Byrne, L.B. Biodiversity loss and the taxonomic bottleneck: Emerging biodiversity science. Ecol. Res. 2006, 21, 794–810. [Google Scholar] [CrossRef] [Green Version]
- Stenseth, N.C.; Mysterud, A.; Ottersen, G.; Hurrel, J.W.; Chan, K.S.; Lima, M. Ecological effects of climate fluctuations. Science 2002, 297, 1292–1296. [Google Scholar] [CrossRef] [PubMed] [Green Version]
- Dirzo, R.; Raven, P.H. Global state of biodiversity and loss. Annu. Rev. Environ. Resour. 2003, 28, 137–167. [Google Scholar] [CrossRef] [Green Version]
- Turner, W.R.; Nakamura, T.; Dinetti, M. Global urbanization and the separation of humans from nature. Bioscience 2004, 54, 585–590. [Google Scholar] [CrossRef] [Green Version]
- Biesmeijer, J.C.; Roberts, S.P.M.; Reemer, M.; Ohlemiller, R.; Edwards, M.; Peeters, T.; Schaffer, A.D.; Potts, S.G.; Keenkers, R.; Thomas, C.D.; et al. Parallel declines in pollinators and insect-pollinated plants in Britain and the Netherlands. Science 2006, 313, 351–354. [Google Scholar] [CrossRef] [PubMed]
- Barinaga, M. Where have all the froggies gone? Science 1990, 247, 1033–1034. [Google Scholar] [CrossRef]
- Blaustein, A.R.; Wake, D.B.; Sousa, W.P. Amphibian declines: Judging stability, persistence, and susceptibility of populations to local and global extinctions. Conserv. Biol. 1994, 8, 60–71. [Google Scholar] [CrossRef]
- Wake, D.B. Declining amphibian populations. Science 1991, 253, 860. [Google Scholar] [CrossRef]
- Fujioka, M.; Lane, S.J. The impact of changing irrigation practices in rice fields on frog populations of the Kanto Plain, central Japan. Ecol. Res. 1997, 12, 101–108. [Google Scholar] [CrossRef]
- Pechmann, J.H.K.; Scott, D.E.; Semtitsch, R.D.; Caldwell, J.P.; Vitt, L.J.; Gibbsons, J.W. Declining amphibian populations: The problem of separating human impacts from natural fluctuations. Science 1991, 253, 892–895. [Google Scholar] [CrossRef] [Green Version]
- Philips, K. Where have all the frogs and toads gone? BioScience 1990, 40, 422–424. [Google Scholar] [CrossRef]
- Laurance, W.F. Catastrophic declines of Australian rainforest frogs: Is unusual weather responsible? Biol. Conserv. 1996, 77, 203–212. [Google Scholar] [CrossRef]
- Hamer, A.J.; Lane, S.J.; Mahony, M.J. Management of freshwaterwetlands for the endangered green and golden bell frog (Litoria aurea): Roles of habitat determinants and space. Biol. Conserv. 2002, 106, 413–424. [Google Scholar] [CrossRef]
- Gillespie, G.R. Impacts of sediment loads, tadpole density, and food type on the growth and development of tadpoles of the spotted tree frog. Biol. Conserv. 2002, 106, 141–150. [Google Scholar] [CrossRef]
- Lue, K.Y. A Handbook of Amphibian Animal Resources; Council of Agriculture, Executive Yuan, R.O.C: Taipei, Taiwan, 1996; pp. 31–33. (In Chinese) [Google Scholar]
- Chen, W.S. 31 Frogs in Taiwan; Wild Bird Society of Taipei: Taipei, Taiwan, 2003; pp. 62–63. (In Chinese) [Google Scholar]
- Hou, W.S.; Chang, Y.H.; Wang, H.W. Climatic effects and impacts of lakeshore bank designs on the activity of Chirixalus idiootocus in Yilan, Taiwan. Ecol. Eng. 2008, 32, 52–59. [Google Scholar] [CrossRef]
- Hou, W.S.; Chang, Y.H.; Chuang, T.F.; Chen, C.H. Effect of Ecological Engineering Design on Biological Motility and Habitat Environment of Hynobius arisanensis at High Altitude Areas in Taiwan. Ecol. Eng. 2010, 36, 791–798. [Google Scholar] [CrossRef]
- Chang, Y.H.; Wang, H.W.; Hou, W.S. Effects of construction materials and design of lake and stream banks on climbing ability of frogs and salamanders. Ecol. Eng. 2011, 37, 1726–1733. [Google Scholar] [CrossRef]
- Chuang, T.F.; Chang, Y.S. Comparison of Physical Characteristics between Rana latouchtii and Rana adenopleura Using Grey System Theory and Artificial Neural Network. Ecol. Eng. 2014, 68, 223–232. [Google Scholar] [CrossRef]
- Chang, Y.H.; Wu, B.Y.; Chuang, T.F.; Lu, H.L. The design method for concrete waterfront amphibian ladder along streams. Ecol. Eng. 2017, 106, 66–74. [Google Scholar] [CrossRef]
- Aars, J.; Ims, R.A. The Effect of Habitat Corridors on Rates of Transfer and Interbreeding between Vole Demes. Ecology 1999, 80, 1648–1655. [Google Scholar] [CrossRef]
- Beier, P.; Loe, S. In My Experience: A Checklist for Evaluating Impacts to Wildlife Movement Corridors. Wildl. Soc. Bull. 1992, 20, 434–440. [Google Scholar]
- Beier, P.; Noss, R.F. Do Habitat Corridors Provide Connectivity? Conserv. Biol. 1998, 12, 1241–1252. [Google Scholar] [CrossRef]
- Matos, C.; Petrovan, S.; Ward, A.I.; Wheeler, P. Facilitating permeability of landscapes impacted by roads for protected amphibians: Patterns of movement for the great crested newt. PeerJ 2017, 5, e2922. [Google Scholar] [CrossRef] [PubMed]
- Yang, Y.R. A Field Guide to the Frogs and Toads of Taiwan; Nature and Ecology Photographer’s Society: Taipei, Tiwan, 1998. [Google Scholar]
- Yang, Y.R. The Frog School. 2013. Available online: http://www.froghome.tw/ (accessed on 16 March 2013).
- Yu, W.C. Biometrics with Experiment Designs; Nung-Ying Books: Taipei, Taiwan, 1976; pp. 234–262. [Google Scholar]
- Green, D.M. Adhesion and toe-pads of tree frogs. Copeia 1981, 4, 790–796. [Google Scholar] [CrossRef]
- Deng, J.L. Control problems of Grey System. Syst. Control Lett. 1982, 5, 288–294. [Google Scholar]
- Deng, J.L. Introduction to Grey System. J. Grey Syst. 1989, 1, 1–24. [Google Scholar]
- Kayacan, E.; Ulutas, B.; Kaynak, O. Grey system theory-based models in time series prediction. Expert Syst. Appl. 2010, 37, 1784–1789. [Google Scholar] [CrossRef]
- Liu, S.F.; Lin, Y. An Introduction to Grey Systems; Emerald Group Publishing Limited: Bingley, UK, 1998. [Google Scholar]





| Physical Statistics | Species | Weight(g) | Length (cm) | High Jump (cm) | Long Jump (cm) | Climbing Ability (N) |
|---|---|---|---|---|---|---|
| Range of males | K. idiootocus | 1.04–1.57 | 2.81–3.16 | 5.98–18.45 | 25.23–50.23 | 0.065–0.174 |
| B. japonica | 1.34–2.57 | 2.24–2.97 | 11.45–56.47 | 49.99–127.85 | 0.001-0.048 | |
| Mean of males | K. idiootocus | 1.35 | 2.96 | 12.25 | 36.82 | 0.125 |
| B. japonica | 1.84 | 2.60 | 36.22 | 82.98 | 0.019 | |
| Range of females | K. idiootocus | 2.53–3.61 | 3.97–4.14 | 11.24–17.84 | 34.75–57.28 | 0.237–0.608 |
| B. japonica | 3.14–3.88 | 2.97–3.54 | 23.54–55.52 | 65.25–101.45 | 0.057–0.173 | |
| Mean of females | K. idiootocus | 2.89 | 4.06 | 13.90 | 42.23 | 0.370 |
| B. japonica | 3.63 | 3.30 | 47.05 | 84.78 | 0.107 | |
| Ratio (male/female) | K. idiootocus | 46.75% | 72.86% | 88.13% | 87.19% | 33.78% |
| B. japonica | 50.69% | 78.79% | 76.98% | 97.87% | 17.76% | |
| Ratio (K. idiootocus/B. japonica) | male | 73.42% | 113.77% | 33.82% | 44.37% | 657.89% |
| female | 79.61% | 123.03% | 29.54% | 51.64% | 345.79% |
| Species | Sex | Clay | Grass | Cobblestone | Wood | Average |
|---|---|---|---|---|---|---|
| K. idiootocus | Male (M1) | 0.044 | 0.115 | 0.064 | 0.072 | 0.074 |
| B. japonica | Male (M2) | 0.018 | 0.009 | 0.024 | 0.023 | 0.02 |
| Ratios | Ratio = M1/M2 | 2.44 | 12.78 | 2.67 | 3.13 | 3.70 |
| Item and Sequence | k = 1 High Jump (cm) | k = 2 Long Jump (cm) | k = 3 Climbing Ability | |
|---|---|---|---|---|
| Reference X0 | K. idiootocus | 56.47 | 127.85 | 0.120 |
| B. japonica | 56.47 | 127.85 | 0.120 | |
| Comparison X1 | K. idiootocus | 10.54 | 36.47 | 0.055 |
| B. japonica | 39.45 | 88.62 | 0.003 | |
| Comparison X2 | K. idiootocus | 10.54 | 43.78 | 0.0814 |
| B. japonica | 20.22 | 75.48 | 0.001 | |
| Comparison X3 | K. idiootocus | 11.47 | 32.48 | 0.074 |
| B. japonica | 29.65 | 64.55 | 0.003 | |
| Comparison X4 | K. idiootocus | 13.55 | 49.25 | 0.092 |
| B. japonica | 36.45 | 72.89 | 0.004 | |
| X5–X29 (were neglected) | K. idiootocus | . | . | . |
| B. japonica | . | . | . | |
| Comparison X30 | K. idiootocus | 15.33 | 44.25 | 0.087 |
| B. japonica | 37.45 | 98.57 | 0.004 | |
| ID | 01 | 02 | 03 | 04 | 05 | 06 | 07 | 08 | 09 | 10 |
|---|---|---|---|---|---|---|---|---|---|---|
| Grg of K. idiootocus | 0.6348 | 0.6498 | 0.6276 | 0.6650 | 0.6221 | 0.6482 | 0.617 | 0.6241 | 0.6437 | 0.6236 |
| Grg of B. japonica | 0.7592 | 0.6792 | 0.6623 | 0.6975 | 0.6300 | 0.9948 | 0.7699 | 0.7790 | 0.6013 | 0.8228 |
| ID | 11 | 12 | 13 | 14 | 15 | 16 | 17 | 18 | 19 | 20 |
| Grg of K. idiootocus | 0.6325 | 0.6416 | 0.6317 | 0.6374 | 0.6188 | 0.6428 | 0.6146 | 0.6408 | 0.641 | 0.6367 |
| Grg of B. japonica | 0.9178 | 0.6871 | 0.7084 | 0.7014 | 0.6476 | 0.7613 | 0.7414 | 0.766 | 0.8093 | 0.7408 |
| ID | 21 | 22 | 23 | 24 | 25 | 26 | 27 | 28 | 29 | 30 |
| Grg of K. idiootocus | 0.6362 | 0.6539 | 0.6638 | 0.6291 | 0.6222 | 0.6180 | 0.6458 | 0.6497 | 0.6502 | 0.6561 |
| Grg of B. japonica | 0.7646 | 0.6664 | 0.7863 | 0.6677 | 0.6356 | 0.6845 | 0.7689 | 0.7713 | 0.7238 | 0.7943 |
| Grr | Species | 01 | 02 | 03 | 04 | 05 | 06 | 07 | 08 | 09 | 10 |
|---|---|---|---|---|---|---|---|---|---|---|---|
| ID of sequence | K. idiootocus | X4 | X23 | X30 | X22 | X29 | X2 | X28 | X6 | X27 | X9 |
| B. japonica | Y6 | Y11 | Y10 | Y19 | Y30 | Y23 | Y8 | Y28 | Y7 | Y27 | |
| Grr | kind | 11 | 12 | 13 | 14 | 15 | 16 | 17 | 18 | 19 | 20 |
| ID of sequence | K. idiootocus | X16 | X12 | X19 | X18 | X14 | X20 | X21 | X1 | X11 | X13 |
| B. japonica | Y18 | Y21 | Y16 | Y1 | Y17 | Y20 | Y29 | Y13 | Y14 | Y4 | |
| Grr | kind | 21 | 22 | 23 | 24 | 25 | 26 | 27 | 28 | 29 | 30 |
| ID of sequence | K. idiootocus | X24 | X3 | X8 | X10 | X25 | X5 | X15 | X26 | X7 | X17 |
| B. japonica | Y12 | Y26 | Y2 | Y24 | Y22 | Y3 | Y15 | Y25 | Y5 | Y9 |
| Grr | 01 | 02 | 03 | 04 | 05 | 06 | 07 | 08 | 09 | 10 |
|---|---|---|---|---|---|---|---|---|---|---|
| ID of sequence | Z36 | Z41 | Z40 | Z49 | Z60 | Z53 | Z38 | Z58 | Z37 | Z57 |
| Y6 | Y11 | Y10 | Y19 | Y30 | Y23 | Y8 | Y28 | Y7 | Y27 | |
| Grr | 11 | 12 | 13 | 14 | 15 | 16 | 17 | 18 | 19 | 20 |
| ID of sequence | Z48 | Z51 | Z46 | Z31 | Z47 | Z50 | Z59 | Z43 | Z44 | Z34 |
| Y18 | Y21 | Y16 | Y1 | Y17 | Y20 | Y29 | Y13 | Y14 | Y4 | |
| Grr | 21 | 22 | 23 | 24 | 25 | 26 | 27 | 28 | 29 | 30 |
| ID of sequence | Z42 | Z56 | Z32 | Z54 | Z52 | Z33 | Z45 | Z55 | Z35 | Z39 |
| Y12 | Y26 | Y2 | Y24 | Y22 | Y3 | Y15 | Y25 | Y5 | Y9 | |
| Grr | 31 | 32 | 33 | 34 | 35 | 36 | 37 | 38 | 39 | 40 |
| ID of sequence | Z4 | Z23 | Z30 | Z22 | Z29 | Z2 | Z28 | Z6 | Z27 | Z9 |
| X4 | X23 | X30 | X22 | X29 | X2 | X28 | X6 | X27 | X9 | |
| Grr | 41 | 42 | 43 | 44 | 45 | 46 | 47 | 48 | 49 | 50 |
| ID of sequence | Z16 | Z12 | Z19 | Z18 | Z14 | Z20 | Z21 | Z1 | Z11 | Z13 |
| X16 | X12 | X19 | X18 | X14 | X20 | X21 | X1 | X11 | X13 | |
| Grr | 51 | 52 | 53 | 54 | 55 | 56 | 57 | 58 | 59 | 60 |
| ID of sequence | Z24 | Z3 | Z8 | Z10 | Z25 | Z5 | Z15 | Z26 | Z7 | Z17 |
| X24 | X3 | X8 | X10 | X25 | X5 | X15 | X26 | X7 | X17 |
| Variable | Group | Number | Mean (M) | Standard Deviation (SD) | t | p-Value Sig. (2-Tailed) | 95% Confidence Interval of Difference | |
|---|---|---|---|---|---|---|---|---|
| Lower | Upper | |||||||
| Weight (g) | B. japonic | 30 | 1.839 | 0.318 | 7.669 *** | 0.000 | 0.361 | 0.615 |
| K. idiootocus | 30 | 1.351 | 0.143 | |||||
| Length (cm) | B. japonic | 30 | 2.603 | 0.234 | −7.576 *** | 0.000 | −0.449 | −0.261 |
| K. idiootocus | 30 | 2.958 | 0.105 | |||||
| Height jump (cm) | B. japonic | 30 | 36.216 | 11.082 | 11.460 *** | 0.000 | 19.78 | 19.780 |
| K. idiootocus | 30 | 12.250 | 2.897 | |||||
| Long jump (cm) | B. japonic | 30 | 82.977 | 18.245 | 12.957 *** | 0.000 | 39.027 | 53.289 |
| K. idiootocus | 30 | 36.819 | 6.914 | |||||
| Climbing ability N | B. japonic | 30 | 0.019 | 0.013 | −20.640 *** | 0.000 | −0.116 | −0.096 |
| K. idiootocus | 30 | 0.125 | 0.025 | |||||
Publisher’s Note: MDPI stays neutral with regard to jurisdictional claims in published maps and institutional affiliations. |
© 2021 by the authors. Licensee MDPI, Basel, Switzerland. This article is an open access article distributed under the terms and conditions of the Creative Commons Attribution (CC BY) license (https://creativecommons.org/licenses/by/4.0/).
Share and Cite
Chuang, T.-F.; Chang, Y.-H. A New Design Concept of an Ecological Corridor for Frogs to Improve Ecological Conservation. Sustainability 2021, 13, 11175. https://doi.org/10.3390/su132011175
Chuang T-F, Chang Y-H. A New Design Concept of an Ecological Corridor for Frogs to Improve Ecological Conservation. Sustainability. 2021; 13(20):11175. https://doi.org/10.3390/su132011175
Chicago/Turabian StyleChuang, Tsai-Fu, and Yuan-Hsiou Chang. 2021. "A New Design Concept of an Ecological Corridor for Frogs to Improve Ecological Conservation" Sustainability 13, no. 20: 11175. https://doi.org/10.3390/su132011175
APA StyleChuang, T.-F., & Chang, Y.-H. (2021). A New Design Concept of an Ecological Corridor for Frogs to Improve Ecological Conservation. Sustainability, 13(20), 11175. https://doi.org/10.3390/su132011175

