Sustainable Recycling of Electric Arc Furnace Steel Slag as Aggregate in Concrete: Effects on the Environmental and Technical Performance
Abstract
1. Introduction
2. Materials and Methods
2.1. Materials
2.1.1. EAF Steel Slag
2.1.2. Concrete Mixtures Made with EAF Steel Slag
2.2. Experimental Methods
2.2.1. EAF Steel Slag
2.2.2. Concrete Mixtures Made with EAF Steel Slag
3. Results and Discussion
3.1. EAF Steel Slag Characterisation
Leaching Behavior
3.2. EAF Slag Concrete Characterisation
3.2.1. Workability
3.2.2. Compression Strength
3.2.3. Indirect Tensile Strength
3.2.4. Hygrometric Shrinkage
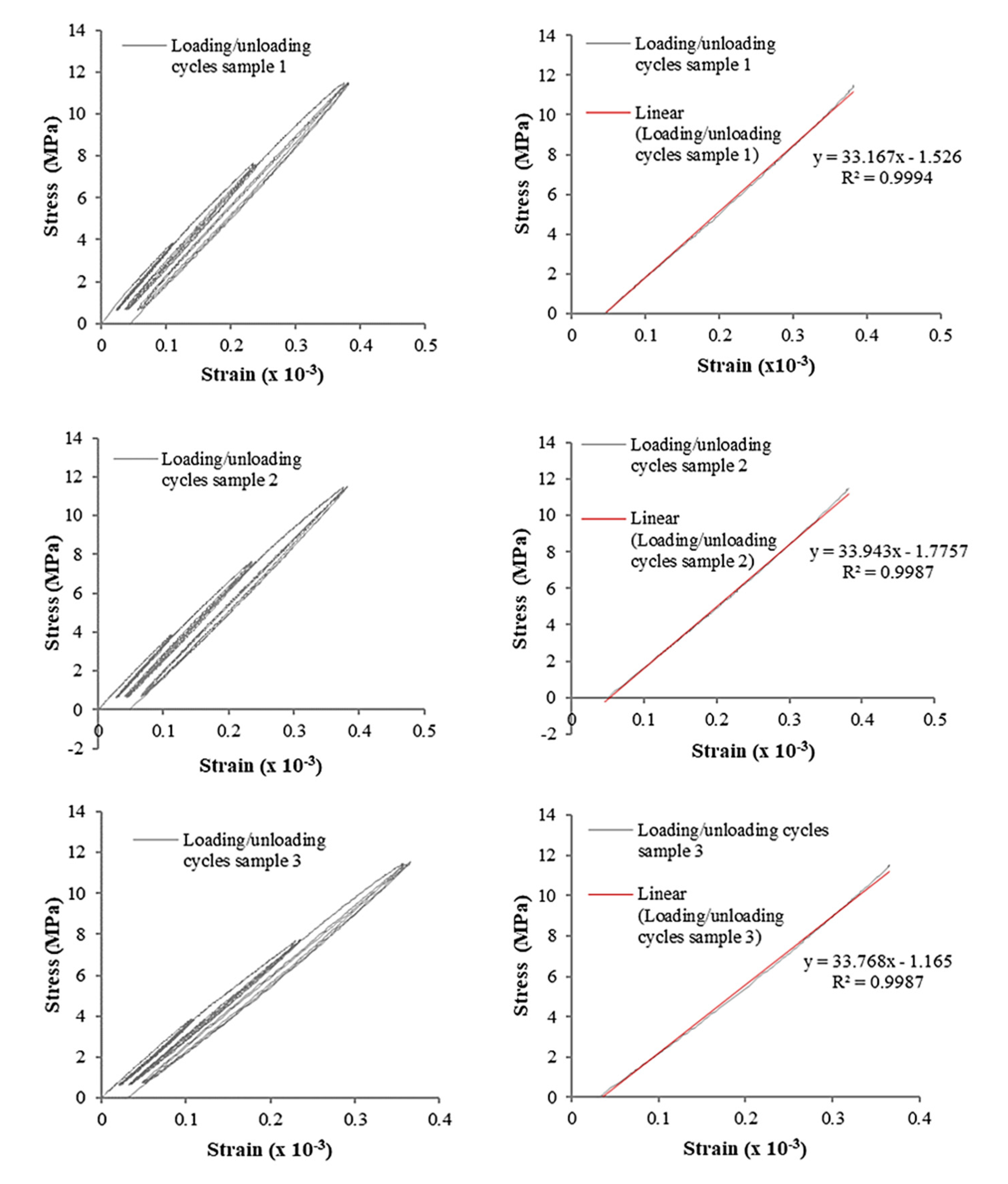
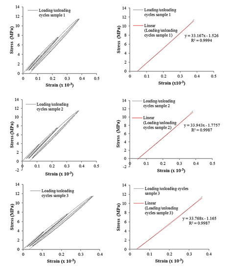
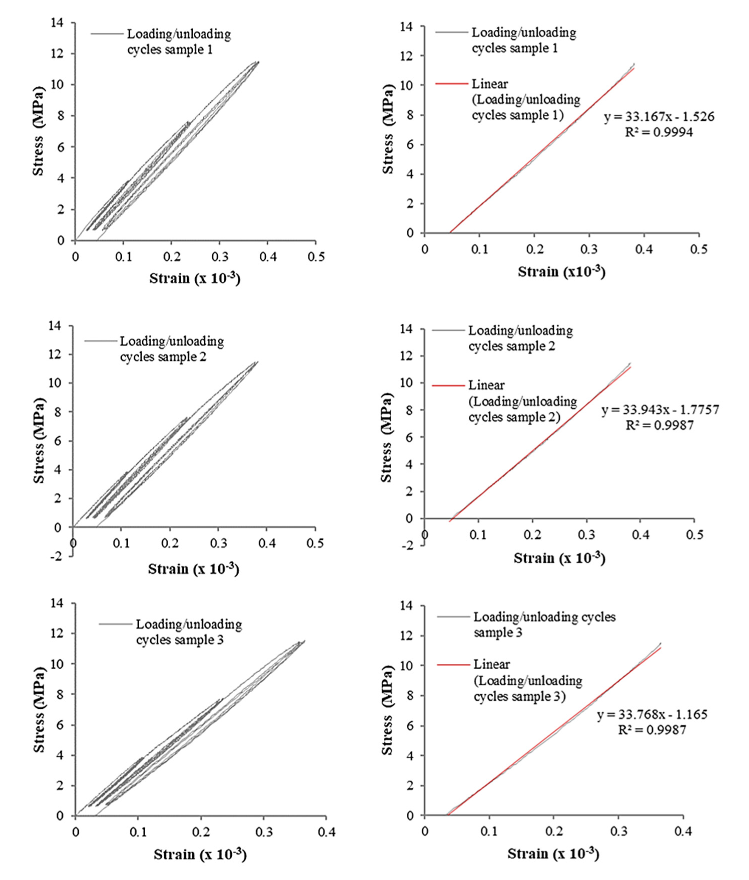
3.2.5. Elastic Modulus
4. Recycled Concrete as a Sustainable Building Material
5. Conclusions
- The release of pollutants from steel slag was acceptable. The eluates produced widely respected all the standard limits established by M.D. 186/2006 [31]. Only vanadium showed a concentration value close to the limit (220 µg/L).
- The use of steel slag with a maximum diameter higher than 20 mm had an undesired impact on concrete workability (steel slag segregation). In light of this, it is recommended to use this maximum grain size to prevent any difficulties in the subsequent concrete mixing.
- The average compressive strength of concrete mixtures made with EAF steel slags increased up to 53 MPa at 90 days of curing. This can be ascribed to the strong bond between cement/mortar particles and EAF steel slags, as well as to the porous and rough surface of the steel slag. However, tests up to 1 year of curing are foreseen to prevent any unexpected decrease in load bearing capacity. Based on the results obtained, the concrete could be classified as C32/40.
- The concrete density was about 2470 kg/m3, which is comparable to the traditional concrete density.
- Samples subjected to wetting–drying cycles showed a significant compressive strength reduction due to the consecutive thermal variations. In particular, after 28 days of curing, the tested samples exhibit a loss of strength of about 25% (range from 51 MPa to 38 MPa).
- The concrete mixtures showed an average indirect tensile strength of 3.62 MPa, which represented about 7% of the relative compressive strength.
- Hygrometric shrinkage of steel slag concrete developed quickly during the first days due to the effect of the high water absorption of EAF steel slag, and slowly in the following days, until reaching a horizontal asymptote of about 500 μm/m.
- The elastic modulus of concrete mixtures was about 34 GPa. Although steel slag has internal pores, the elastic modulus of the concrete made with EAF steel slag was closer to that of traditional concrete. Therefore, the effect of the aggregate type on these coefficients was negligible and these results agree with those obtained by most authors.
Author Contributions
Funding
Institutional Review Board Statement
Informed Consent Statement
Data Availability Statement
Acknowledgments
Conflicts of Interest
References
- Vishwakarma, V.; Uthaman, S. Environmental impact of sustainable green concrete. In Smart Nanoconcretes and Cement-Based Materials: Properties, Modelling and Applications; Elsevier Inc.: Amsterdam, The Netherlands, 2019; pp. 241–255. ISBN 9780128178553. [Google Scholar]
- Ferreira, V.J.; Sàez-De-Guinoa Vilaplana, A.; Garcìa-Armingol, T.; Aranda-Usòn, A.; Lausìn-Gonzàlez, C.; Lòpez-Sabiròn, A.M.; Ferreira, G. Evaluation of the steel slag incorporation as coarse aggregate for road construction: Technical requirements and environmental impact assessment. J. Clean. Prod. 2016, 130, 175–186. [Google Scholar] [CrossRef]
- Ahmedzade, P.; Sengoz, B. Evaluation of steel slag coarse aggregate in hot mix asphalt concrete. J. Hazard. Mater. 2009, 165, 300–305. [Google Scholar] [CrossRef] [PubMed]
- Yong-Feng, D.; Tong-Wei, Z.; Yu, Z.; Qian-Wen, L.; Qiong, W. Mechanical behaviour and microstructure of steel slag-based composite and its application for soft clay stabilisation. Eur. J. Environ. Civ. Eng. 2017, 1–16. [Google Scholar] [CrossRef]
- Morfeldt, J.; Nijs, W.; Silveira, S. The impact of climate targets on future steel production—An analysis based on a global energy system model. J. Clean. Prod. 2015. [Google Scholar] [CrossRef]
- World Steel Association Statistics—Crude Steel Production. Available online: https://www.worldsteel.org/en/dam/jcr:5001dac8-0083-46f3-aadd-35aa357acbcc/SSY%25202020_concise%2520version.pdf (accessed on 7 January 2021).
- Federacciai. The Italian Steel Industry Key Statistics; Federacciai: Milan, Italy, 2019. [Google Scholar]
- Liu, C.; Zha, K.; Chen, D. Possibility of concrete prepared with steel slag as fine and coarse aggregates: A preliminary study. Procedia Eng. 2011, 24, 412–416. [Google Scholar]
- Subathra Devi, V.; Gnanavel, B.K. Properties of concrete manufactured using steel slag. Procedia Eng. 2014, 97, 95–104. [Google Scholar] [CrossRef]
- Rondi, L.; Bregoli, G.; Sorlini, S.; Cominoli, L.; Collivignarelli, C.; Plizzari, G. Concrete with EAF steel slag as aggregate: A comprehensive technical and environmental characterisation. Compos. Part B Eng. 2016, 90, 195–202. [Google Scholar] [CrossRef]
- Abu-Eishah, S.I.; El-Dieb, A.S.; Bedir, M.S. Performance of concrete mixtures made with electric arc furnace (EAF) steel slag aggregate produced in the Arabian Gulf region. Constr. Build. Mater. 2012, 34, 249–256. [Google Scholar] [CrossRef]
- Lopez, F.A.; Lopez-Delgado, A.; Balcazar, N. Physico-chemical and mineralogical properties of EAF and AOD slags. Assoc. Ital. Metall. 1997, 53, 417–426. [Google Scholar]
- Yildirim, I.Z.; Prezzi, M. Chemical, mineralogical, and morphological properties of steel slag. Adv. Civ. Eng. 2011, 2011. [Google Scholar] [CrossRef]
- Teo, P.T.; Anasyida, A.S.; Basu, P.; Mohd Sharif, N. Chemical, Thermal and Phase Analysis of Malaysia’s Electric Arc Furnace (EAF) Slag Waste. Mater. Sci. Forum 2016, 840, 399–403. [Google Scholar] [CrossRef]
- Sorlini, S.; Sanzeni, A.; Rondi, L. Reuse of steel slag in bituminous paving mixtures. J. Hazard. Mater. 2012, 209–210, 84–91. [Google Scholar] [CrossRef] [PubMed]
- Mombelli, D.; Mapelli, C.; Barella, S.; Di Cecca, C.; Le Saout, G.; Garcia-Diaz, E. The effect of chemical composition on the leaching behaviour of electric arc furnace (EAF) carbon steel slag during a standard leaching test. J. Environ. Chem. Eng. 2016, 4, 1050–1060. [Google Scholar] [CrossRef]
- Ledesma, E.F.; Lozano-Lunar, A.; Ayuso, J.; Galvín, A.P.; Fernández, J.M.; Jiménez, J.R. The role of pH on leaching of heavy metals and chlorides from electric arc furnace dust in cement-based mortars. Constr. Build. Mater. 2018, 183, 365–375. [Google Scholar] [CrossRef]
- Manso, J.M.; Polanco, J.A.; Losañez, M.; González, J.J. Durability of concrete made with EAF slag as aggregate. Cem. Concr. Compos. 2006, 28, 528–534. [Google Scholar] [CrossRef]
- Barella, S.; Gruttadauria, A.; Magni, F.; Mapelli, C.; Mombelli, D. Survey about Safe and Reliable Use of EAF Slag. ISIJ Int. 2012, 52, 2295–2302. [Google Scholar] [CrossRef]
- Benassi, L.; Alias, C.; Feretti, D.; Gelatti, U.; Piovani, G.; Zerbini, I.; Sorlini, S. Ecotoxicity and Genotoxicity of Steel Slags: Preliminary Results. Detritus 2019. [Google Scholar] [CrossRef]
- Santamaría, A.; Orbe, A.; San José, J.T.; González, J.J. A study on the durability of structural concrete incorporating electric steelmaking slags. Constr. Build. Mater. 2018, 161, 94–111. [Google Scholar] [CrossRef]
- Sekaran, A.; Palaniswamy, M.; Balaraju, S. A Study on Suitability of EAF Oxidizing Slag in Concrete: An Eco-Friendly and Sustainable Replacement for Natural Coarse Aggregate. Sci. World J. 2015, 2015. [Google Scholar] [CrossRef]
- Tarawneh, S.A.; Gharaibeh, E.S.; Saraireh, F.M. Effect of using steel slag aggregate on mechanical properties of concrete. Am. J. Appl. Sci. 2014, 11, 700–706. [Google Scholar] [CrossRef]
- Awoyera, P.O.; Olofinnade, O.M.; Busari, A.A.; Akinwumi, I.I.; Oyefesobi, M.; Ikemefuna, M. Performance of steel slag aggregate concrete with varied water- cement ratio. J. Teknol. 2016, 78, 125–131. [Google Scholar] [CrossRef][Green Version]
- Jiang, Y.; Ling, T.C.; Shi, C.; Pan, S.Y. Characteristics of steel slags and their use in cement and concrete—A review. Resour. Conserv. Recycl. 2018, 136, 187–197. [Google Scholar] [CrossRef]
- Monosi, S.; Ruello, M.L.; Sani, D. Electric arc furnace slag as natural aggregate replacement in concrete production. Cem. Concr. Compos. 2016, 66, 66–72. [Google Scholar] [CrossRef]
- Pellegrino, C.; Gaddo, V. Mechanical and durability characteristics of concrete containing EAF slag as aggregate. Cem. Concr. Compos. 2009, 31, 663–671. [Google Scholar] [CrossRef]
- Wang, Q.; Yan, P.; Yang, J.; Zhang, B. Influence of steel slag on mechanical properties and durability of concrete. Constr. Build. Mater. 2013, 47, 1414–1420. [Google Scholar] [CrossRef]
- San-José, J.T.; Vegas, I.; Arribas, I.; Marcos, I. The performance of steel-making slag concretes in the hardened state. Mater. Des. 2014, 60, 612–619. [Google Scholar] [CrossRef]
- EN 12457-2. Leaching: Compliance Test for Leaching of Granular Waste Materials and Sludges e Part 2: One Stage Batch Test at a Liquid to Solid Ratio of 10 L/kg for Materials with Particle Size below 4 mm; Comité Européen de Normalisation: Brussels, Belgium, 2004. [Google Scholar]
- Ministerial Decree. Regolamento Recante Modifiche al Decreto Ministeriale 5 Febbraio 1998 “Individuazione dei Rifiuti non Pericolosi Sottoposti alle Procedure Semplificate di Recupero, ai Sensi Degli Articoli 31 e 33 del Decreto Legislati; 186/2006 Ministerial Decree 04/05/2006 n.186; Ministry for Environment, Land and Sea Protection: Rome, Italy, 2006.
- EN 12350-2. Testing of Fresh Concrete e Slump Test; Comité Européen de Normalisation: Brussels, Belgium, 2009. [Google Scholar]
- EN 12390-3. Testing Hardened Concrete e Compressive Strength of Test Specimens; Comité Européen de Normalisation: Brussels, Belgium, 2011. [Google Scholar]
- EN 12390-6. Testing Hardened Concrete—Indirect Tensile Strength of Test Specimens; Comité Européen de Normalisation: Brussels, Belgium, 2010. [Google Scholar]
- American Society for Testing and Materials. ASTM C157/C157M—08. Standard Test Method for Length Change of Hardened Hydraulic-Cement Mortar and Concrete; American Society for Testing and Materials: West Conshohocken, PA, USA, 2008. [Google Scholar]
- EN 12390-13. Testing Hardened Concrete e Determination of Secant Modulus of Elasticity in Compression; Comité Européen de Normalisation: Brussels, Belgium, 2014. [Google Scholar]
- EN 206. Concrete: Specification, Performance, Production and Conformity; Comité Européen de Normalisation: Brussels, Belgium, 2016. [Google Scholar]
- Pellegrino, C.; Cavagnis, P.; Faleschini, F.; Brunelli, K. Properties of concretes with black/oxidizing electric arc furnace slag aggregate. Cem. Concr. Compos. 2013, 37, 232–240. [Google Scholar] [CrossRef]
- Van Gijlswijk, R.N.; Pascale, S.; De Vos, S.E.; Urbano, G. Carbon footprint of concrete based on secondary materials. Heron. J. 2015, 60, 113–139. [Google Scholar]
- EN 1992-1-1. Eurocode 2—Design of Concrete Structures—Part 1-1: General Rules and Rules for Buildings; Comité Européen de Normalisation: Brussels, Belgium, 2004. [Google Scholar]
- Ministerial Decree 17/01/2018. Technical Standards of Construction “NTC 2018”; Gazzetta Ufficiale: Rome, Italy, 2018. [Google Scholar]
- Flower, D.J.M.; Sanjayan, J.G. Green house gas emissions due to concrete manufacture. Int. J. Life Cycle Assess. 2007, 12, 282–288. [Google Scholar] [CrossRef]
- De Brito, J.; Agrela, F. New Trends in Eco-Efficient and Recycled Concrete; Elsevier: Amsterdam, The Netherlands, 2018; ISBN 9780081024805. [Google Scholar]






| Component | (kg/m3) | (L/m3) |
|---|---|---|
| Portland cement CEM II/A-LL 42.5R | 400 | 127 |
| Water | 190 | 190 |
| Aggregates | 1879 | 659 |
| Fluidifying additive | 4.0 | 3.7 |
| Mass density | 2470 [kg/m3] | |
| Water/cement ratio (w/c) | 0.48 | |
| Steel slag replacement | 30% | |
| Test | Number and Size of Samples |
|---|---|
| Workability | Cone of Abrams |
| Uniaxial compression | 18 cubic samples (150 × 150 × 150 mm) |
| Indirect tensile strength | 3 cylindrical samples (∅100 mm; h = 200 mm) |
| Hygrometric shrinkage | 2 prismatic beams (80 × 80 × 285 mm) |
| Elastic modulus | 3 cylindrical samples (∅100 mm; h = 200 mm) |
| Parameter | Unit | EAF Steel Slag | Natural Aggregate | Limits of M.D. 186/2006 |
|---|---|---|---|---|
| pH | - | 10.4 | 8.4 | 5.5–12 |
| Nitrates | mg/L | <1 | 1.1 | 50 |
| Fluorides | mg/L | 0.15 | <0.1 | 1.5 |
| Sulphates | mg/L | 5.7 | 0.86 | 250 |
| Chloride | mg/L | 1.6 | 1.6 | 100 |
| Cyanide | µg/L | <5 | <10 | 50 |
| Barium | mg/L | 0.29 | 0.021 | 1 |
| Copper | mg/L | <0.01 | <0.01 | 0.05 |
| Zinc | mg/L | <0.01 | <0.01 | 3 |
| Berillium | µg/L | <0.01 | <10 | 10 |
| Cobalt | µg/L | <10 | <10 | 250 |
| Nickel | µg/L | <5 | <10 | 10 |
| Vanadium | µg/L | 220 | 23 | 250 |
| Arsenic | µg/L | <10 | 18 | 50 |
| Cadmium | µg/L | <1 | <4 | 5 |
| Total chromium | µg/L | 5 | <10 | 50 |
| Lead | µg/L | 12 | <10 | 50 |
| Selenium | µg/L | <5 | <10 | 10 |
| Mercury | µg/L | <1 | <1 | 1 |
| Asbestos | mg/L | n.d (1) | n.d (1) | 30 |
| COD | mg/L | <15 | <15 | 30 |
| Curing Days | Average Value (MPa) | |
|---|---|---|
| Monotonic Loads | Wet-Dry Cyclic Loads | |
| 3 | 40.5 | - |
| 7 | 45.3 | - |
| 14 | 48.0 | - |
| 21 | 46.3 | - |
| 28 | 50.6 | 37.8 |
| 70 | 52.8 | - |
| 90 | 52.3 | 34.5 |
| Sample | Failure Load (kN) | Indirect Tensile Strength at 28 Days (MPa) |
|---|---|---|
| 1 | 76.5 | 2.43 |
| 2 | 121.6 | 3.87 |
| 3 | 105.9 | 3.37 |
Publisher’s Note: MDPI stays neutral with regard to jurisdictional claims in published maps and institutional affiliations. |
© 2021 by the authors. Licensee MDPI, Basel, Switzerland. This article is an open access article distributed under the terms and conditions of the Creative Commons Attribution (CC BY) license (http://creativecommons.org/licenses/by/4.0/).
Share and Cite
Diotti, A.; Cominoli, L.; Galvin, A.P.; Sorlini, S.; Plizzari, G. Sustainable Recycling of Electric Arc Furnace Steel Slag as Aggregate in Concrete: Effects on the Environmental and Technical Performance. Sustainability 2021, 13, 521. https://doi.org/10.3390/su13020521
Diotti A, Cominoli L, Galvin AP, Sorlini S, Plizzari G. Sustainable Recycling of Electric Arc Furnace Steel Slag as Aggregate in Concrete: Effects on the Environmental and Technical Performance. Sustainability. 2021; 13(2):521. https://doi.org/10.3390/su13020521
Chicago/Turabian StyleDiotti, Alessandra, Luca Cominoli, Adela Perèz Galvin, Sabrina Sorlini, and Giovanni Plizzari. 2021. "Sustainable Recycling of Electric Arc Furnace Steel Slag as Aggregate in Concrete: Effects on the Environmental and Technical Performance" Sustainability 13, no. 2: 521. https://doi.org/10.3390/su13020521
APA StyleDiotti, A., Cominoli, L., Galvin, A. P., Sorlini, S., & Plizzari, G. (2021). Sustainable Recycling of Electric Arc Furnace Steel Slag as Aggregate in Concrete: Effects on the Environmental and Technical Performance. Sustainability, 13(2), 521. https://doi.org/10.3390/su13020521

