Sewage Sludge as Inhibitor of the Formation of Persistent Organic Pollutants during Incineration
Abstract
:1. Introduction
2. Inhibition in the Dioxins and Furans Formation by S- and N-Containing Compounds
| Reference | Main Fuel | Inhibitor Used | Main Finding (PCDD/Fs Inhibition Efficiency, %) |
|---|---|---|---|
| Amand et al. [22] | SRF and wood | SS | Important decrease in the gases emission, as well as in the filter and cyclone ashes |
| Ammonium sulphate | |||
| Chen et al. [24,25] | Model samples | SS drying gases | >99%. for some congeners, especially for dioxins versus furans |
| Chen et al. [25] | Model fly ash | SS | 97.6% (similar to TUA) |
| Chen et al. [25] | Model fly ash | SS | 99% of inhibition in terms of toxicity (higher for dioxins than for furans) |
| SO2 and NH3 | SO2 was more effective than NH3 (61.9% and 38.6%, respectively) | ||
| Chen et al. [24] | Model fly ash | SS drying gases | 97.6%, NH3 and SO2 are the most important components of the SS drying gases |
| Chen et al. [26] | Fly ash from MSW | SS | >96% |
| Fu et al. [18] | Model fly ash | sulfur–amine/ammonium compounds | The combination of sulfur and nitrogen compounds provide better inhibition than separately |
| The amino functional group NH2− tends to be more effective than NH4+. | |||
| TUA (99:8%) > ASA (92:4%) > ATS (85:4%) | |||
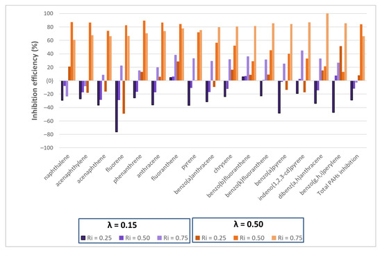
| Gandon-Ros et al. [27] | PVC | SS, low O2 presence | Increased PCDD/Fs emissions, non-inhibition observed due to the high percentage of metals in the SS |
| SS, higher O2 presence | 89.2%, 71.4% and 98.8% for the inhibition ratios 0.25, 0.50 and 0.75, respectively | ||
| Hajizadeh et al. [28] | Model fly ash | SO2 and NH3 | NH3 was more effective at the lower temperature, while the behavior of SO2 was the opposite (reducing a higher proportion of PCDDs than NH3 at the higher temperature) |
| Lin et al. [23] | MSW | 0.1% thiourea | 91% |
| Lin et al. [29] | SS | inorganic flocculants (poly-ferric chloride, poly-aluminum chloride) | Increased PCDD/Fs emission, 30% increase |
| SS | organic flocculants (polyacrylamide) | 30–40% decrease | |
| Lundin et al. [30] | Biomass and MSW | ammonium sulfate | 80% (PCDDs) 50% (PCDFs) 45% (PCBs) |
| Ma et al. [31] | MSW | CaO and S (sulphur) | S (sulphur): HpCDD/Fs inhibition 88.1% CaO: HxCDD/Fs inhibition 85.1% |
| Mi Yan et al. [32] | Fly ash | ammonium sulfate and urea | both inhibitors had a higher inhibition efficiency at high temperature (650 °C) than at low temperature (350 ℃) |
| greater reduction in furan emissions (PDCFs) | |||
| Moreno et al. [33] | PVC containing waste | PUF | PCDD/Fs 85.7% dl-PCBs 81.2% |
| Ogawa et al. [34] | Wood with PVC | Coal with S (sulphur) | significant reduction in PCDD/Fs, being somewhat more important for PCDFs |
| Pandelova et al. [15] | 1% by weight of sulfamic or sulfamidic acid | 96% | |
| Ruokojarvi et al. [14] | Liquid fuel | sulfur dioxide, ammonia, dimethylamine, and methyl mercaptan | 98% |
| Samaras et al. [16,17] | RDF | Sulphur compounds | >98% |
| Urea | Slightly lower than 98% | ||
| Soler et al. [35] | Model fly ash | TUA, TSA, ASA | the presence of the inhibitors accelerated the decomposition of the model fly ash Reactivity: TSA TUA > ASA |
| Wang et al. [36] | De novo runs | Different nitrogen containing compounds | NH4H2PO4 > NH4HF2 > (NH4)2SO4 > NH4Br |
| Xiao et al. [37] | Sawdust | SS | 62.9% for pellets with 10% SS 35.4% for pellets with 30% SS |
| Xiao et al. [37] | Wood sawdust | SS | there is a predominance of furans (PCDFs) over dioxins (PCDDs) |
| Zhang et al. [38] | Coal | SS | PCDD/F emissions increased from 7.00 to 32.72 pg I-TEQ/Nm3 as the amount of SS increased from 5 to 20% |
| Zhan et al. [39] | Model fly ash | SS, high temperature (not de-novo synthesis) | >90% |
| Zhan et al. [40] | MSW | SS and TUA | >90% both |
| Zhong et al. [41] | MSW | 5% SS | 32% |
3. Use of Other Sulphur and Nitrogen Containing Wastes to Reduce Emissions
Inhibition by Using Thermal Decomposition Products from Sewage Sludge
4. Conclusions
Funding
Institutional Review Board Statement
Informed Consent Statement
Conflicts of Interest
References
- EUROSTAT-Statistics Explained Municipal Waste Statistics—Statistics Explained. 2020; ISSN 2443-8219. Available online: https://ec.europa.eu/eurostat/statistics-explained/index.php/Municipal_waste_statistics#Municipal_waste_generation (accessed on 29 September 2021).
- Lerda, D. Polycyclic Aromatic Hydrocarbons (PAHs) Factsheet, 4th ed.; European Commision, Institute for Reference of Materials and Measurements: Geel, Belgium, 2011; Available online: https://ec.europa.eu/jrc/sites/default/files/Factsheet%20PAH_0.pdf (accessed on 29 September 2021).
- Martínez, J.D.; Puy, N.; Murillo, R.; García, T.; Navarro, M.V.; Mastral, A.M. Waste tyre pyrolysis—A review. Renew. Sustain. Energy Rev. 2013, 23, 179–213. [Google Scholar] [CrossRef]
- Richter, H.; Benish, T.G.; Mazyar, O.A.; Green, W.H.; Howard, J.B. Formation of polycyclic aromatic hydrocarbons and their radicals in a nearly sooting premixed benzene flame. Symp. Combust. 2000, 28, 2609–2618. [Google Scholar] [CrossRef]
- Sánchez, N.E.; Salafranca, J.; Callejas, A.; Millera, Á.; Bilbao, R.; Alzueta, M.U. Quantification of polycyclic aromatic hydrocarbons (PAHs) found in gas and particle phases from pyrolytic processes using gas chromatography-mass spectrometry (GC-MS). Fuel 2013, 107, 246–253. [Google Scholar] [CrossRef] [Green Version]
- Conesa, J.A.; Nuñez, S.S.; Ortuño, N.; Moltó, J. PAH and POP Presence in Plastic Waste and Recyclates: State of the Art. Energies 2021, 14, 3451. [Google Scholar] [CrossRef]
- Stockholm Convention—Home Page. Available online: http://chm.pops.int/Home/tabid/2121/Default.aspx (accessed on 10 May 2021).
- Conesa, J.A. Dioxins from Agro Waste Combustion. In Byproducts from Agriculture and Fisheries; Wiley: Hoboken, NJ, USA, 2019; pp. 629–640. [Google Scholar]
- McKay, G. Dioxin characterisation, formation and minimisation during municipal solid waste (MSW) incineration: Review. Chem. Eng. J. 2002, 86, 343–368. [Google Scholar] [CrossRef]
- Fiedler, H.; Lau, C.; Eduljee, G. Statistical analysis of patterns of PCDDs and PCDFs in stack emission samples and identification of a marker congener. Waste Manag. Res. 2000, 18, 283–292. [Google Scholar] [CrossRef]
- Conesa, J.A.; Fullana, A.; Font, R. De novo synthesis of PCDD/F by thermogravimetry. Environ. Sci. Technol. 2002, 36, 263–269. [Google Scholar] [CrossRef]
- Palmer, D.; Pou, J.O.; Díaz-Ferrero, J.; Conesa, J.A.; Ortuño, N. Kinetics of the formation and destruction of PCDD/Fs in a laboratory tubular furnace. Chemosphere 2021, 276, 130175. [Google Scholar] [CrossRef]
- Conesa, J.A.; Font, R.; Fullana, A.; Martín-Gullón, I.; Aracil, I.; Gálvez, A.; Moltó, J.; Gómez-Rico, M.F. Comparison between emissions from the pyrolysis and combustion of different wastes. J. Anal. Appl. Pyrolysis 2009, 84, 95–102. [Google Scholar] [CrossRef] [Green Version]
- Ruokojärvi, P.H.; Halonen, I.A.; Tuppurainen, K.A.; Tarhanen, J.; Ruuskanen, J. Effect of Gaseous Inhibitors on PCDD/F Formation. Environ. Sci. Technol. 1998, 32, 3099–3103. [Google Scholar] [CrossRef]
- Pandelova, M.E.; Lenoir, D.; Kettrup, A.; Schramm, K.-W. Primary Measures for Reduction of PCDD/F in Co-Combustion of Lignite Coal and Waste: Effect of Various Inhibitors. Environ. Sci. Technol. 2005, 39, 3345–3350. [Google Scholar] [CrossRef]
- Samaras, P.; Blumenstock, M.; Lenoir, D.; Schramm, K.W.; Kettrup, A. PCDD/F prevention by novel inhibitors: Addition of inorganic S- and N-compounds in the fuel before combustion. Environ. Sci. Technol. 2000, 34, 5092–5096. [Google Scholar] [CrossRef]
- Samaras, P.; Blumenstock, M.; Lenoir, D.; Schramm, K.W.; Kettrup, A. PCDD/F inhibition by prior addition of urea to the solid fuel in laboratory experiments and results statistical evaluation. Chemosphere 2001, 42, 737–743. [Google Scholar] [CrossRef]
- Fu, J.-Y.; Li, X.-D.; Chen, T.; Lin, X.-Q.; Buekens, A.; Lu, S.-Y.; Yan, J.-H.; Cen, K.-F. PCDD/Fs’ suppression by sulfur–amine/ammonium compounds. Chemosphere 2015, 123, 9–16. [Google Scholar] [CrossRef] [PubMed]
- Zhan, M.-X.X.; Chen, T.; Fu, J.-Y.Y.; Lin, X.-Q.Q.; Lu, S.-Y.Y.; Li, X.-D.D.; Yan, J.-H.H.; Buekens, A. High temperature suppression of dioxins. Chemosphere 2016, 146, 182–188. [Google Scholar] [CrossRef] [PubMed]
- Skodras, G.; Grammelis, P.; Samaras, P.; Vourliotis, P.; Kakaras, E.; Sakellaropoulos, G.P. Emissions monitoring during coal waste wood co-combustion in an industrial steam boiler. Fuel 2002, 81, 547–554. [Google Scholar] [CrossRef]
- Wu, H.-L.; Lu, S.-Y.; Li, X.-D.; Jiang, X.-G.; Yan, J.-H.; Zhou, M.-S.; Wang, H. Inhibition of PCDD/F by adding sulphur compounds to the feed of a hazardous waste incinerator. Chemosphere 2012, 86, 361–367. [Google Scholar] [CrossRef]
- Åmand, L.-E.; Kassman, H. Decreased PCDD/F formation when co-firing a waste fuel and biomass in a CFB boiler by addition of sulphates or municipal sewage sludge. Waste Manag. 2013, 33, 1729–1739. [Google Scholar] [CrossRef] [Green Version]
- Lin, X.; Yan, M.; Dai, A.; Zhan, M.; Fu, J.; Li, X.; Chen, T.; Lu, S.; Buekens, A.; Yan, J. Simultaneous suppression of PCDD/F and NOx during municipal solid waste incineration. Chemosphere 2015, 126, 60–66. [Google Scholar] [CrossRef]
- Chen, T.; Zhan, M.-X.X.; Lin, X.-Q.Q.; Li, X.-D.D.; Lu, S.-Y.Y.; Yan, J.-H.H.; Buekens, A.; Cen, K.-F.F. Inhibition of the de novo synthesis of PCDD/Fs on model fly ash by sludge drying gases. Chemosphere 2014, 114, 226–232. [Google Scholar] [CrossRef]
- Chen, T.; Zhan, M.-X.X.; Lin, X.-Q.Q.; Fu, J.-Y.Y.; Lu, S.-Y.Y.; Li, X.-D.D.; Buekens, A.; Yan, J.-H.H. PCDD/Fs inhibition by sludge decomposition gases: Effects of sludge dosage, treatment temperature and oxygen content. Aerosol Air Qual. Res. 2015, 15, 702–711. [Google Scholar] [CrossRef] [Green Version]
- Chen, Z.; Lin, X.; Zhang, S.; Xiangbo, Z.; Li, X.; Lu, S.; Yan, J. Thermal cotreatment of municipal solid waste incineration fly ash with sewage sludge for PCDD/Fs decomposition and reformation suppression. J. Hazard. Mater. 2021, 416, 126216. [Google Scholar] [CrossRef]
- Gandon-Ros, G.; Nuñez, S.S.; Ortuño, N.; Aracil, I.; Gómez-Rico, M.F.; Conesa, J.A.; Francisca Gómez-Rico, M.; Conesa, J.A. A Win-Win Combination to Inhibit Persistent Organic Pollutant Formation via the Co-Incineration of Polyvinyl Chloride E-Waste and Sewage Sludge. Polymers 2021, 13, 835. [Google Scholar] [CrossRef] [PubMed]
- Hajizadeh, Y.; Onwudili, J.A.; Williams, P.T. PCDD/F formation from oxy-PAH precursors in waste incinerator flyash. Chemosphere 2011, 85, 1672–1681. [Google Scholar] [CrossRef] [PubMed]
- Lin, X.; Li, X.; Lu, S.; Wang, F.; Chen, T.; Yan, J. Influence of organic and inorganic flocculants on the formation of PCDD/Fs during sewage sludge incineration. Environ. Sci. Pollut. Res. 2015, 22, 14629–14636. [Google Scholar] [CrossRef] [PubMed]
- Lundin, L.; Gomez-Rico, M.F.; Forsberg, C.; Nordenskjöld, C.; Jansson, S. Reduction of PCDD, PCDF and PCB during co-combustion of biomass with waste products from pulp and paper industry. Chemosphere 2013, 91, 797–801. [Google Scholar] [CrossRef] [PubMed]
- Ma, H.; Du, N.; Lin, X.; Liu, C.; Zhang, J.; Miao, Z. Inhibition of element sulfur and calcium oxide on the formation of PCDD/Fs during co-combustion experiment of municipal solid waste. Sci. Total Environ. 2018, 633, 1263–1271. [Google Scholar] [CrossRef]
- Yan, M.; Yang, J.; Li, X.; Hu, Y.; Yan, J.; Mi, Y.; Xiaodong, L.; Yanjun, H.; Jianhua, Y.; Jie, Y. Inhibition of PCDD/Fs formation from fly ash by ammonium sulfate and urea. CIESC J. 2013, 64, 4196–4202. [Google Scholar] [CrossRef]
- Moreno, A.I.; Font, R.; Gomez-Rico, M.F. Inhibition effect of polyurethane foam waste in dioxin formation. Waste Manag. 2019, 97, 19–26. [Google Scholar] [CrossRef] [Green Version]
- Ogawa, H.; Orita, N.; Horaguchi, M.; Suzuki, T.; Okada, M.; Yasuda, S. Dioxin reduction by sulfur component addition. Chemosphere 1996, 32, 151–157. [Google Scholar] [CrossRef]
- Soler, A.; Conesa, J.A.; Ortuño, N. Inhibiting fly ash reactivity by adding N- and S- containing compounds. Chemosphere 2018, 211, 294–301. [Google Scholar] [CrossRef] [Green Version]
- Wang, S.-J.; He, P.-J.; Lu, W.-T.; Shao, L.-M.; Zhang, H. Amino Compounds as Inhibitors of De Novo Synthesis of Chlorobenzenes. Sci. Rep. 2016, 6, 23197. [Google Scholar] [CrossRef]
- Xiao, Z.; Yuan, X.; Jiang, L.; Chen, X.; Li, H.; Zeng, G.; Leng, L.; Wang, H.; Huang, H. Energy recovery and secondary pollutant emission from the combustion of co-pelletized fuel from municipal sewage sludge and wood sawdust. Energy 2015, 91, 441–450. [Google Scholar] [CrossRef]
- Zhang, G.; Hai, J.; Ren, M.; Zhang, S.; Cheng, J.; Yang, Z. Emission, mass balance, and distribution characteristics of PCDD/Fs and heavy metals during cocombustion of sewage sludge and coal in power plants. Environ. Sci. Technol. 2013, 47, 2123–2130. [Google Scholar] [CrossRef] [PubMed]
- Zhan, M.X.; Fu, J.Y.; Chen, T.; Lin, X.Q.; Li, X.D.; Yan, J.H.; Buekens, A. Suppression of dioxins by S-N inhibitors in pilot-scale experiments. Environ. Sci. Pollut. Res. 2016, 23, 16463–16477. [Google Scholar] [CrossRef]
- Zhan, M.; Chen, T.; Lin, X.; Fu, J.; Li, X.; Yan, J.; Buekens, A. Suppression of dioxins after the post-combustion zone of MSWIs. Waste Manag. 2016, 54, 153–161. [Google Scholar] [CrossRef] [PubMed]
- Zhong, R.; Wang, C.; Zhang, Z.; Liu, Q.; Cai, Z. PCDD/F levels and phase distributions in a full-scale municipal solid waste incinerator with co-incinerating sewage sludge. Waste Manag. 2020, 106, 110–119. [Google Scholar] [CrossRef]
- Ooi, T.C.; Thompson, D.; Anderson, D.R.; Fisher, R.; Fray, T.; Zandi, M. The effect of charcoal combustion on iron-ore sintering performance and emission of persistent organic pollutants. Combust. Flame 2011, 158, 979–987. [Google Scholar] [CrossRef]
- Fujimori, T.; Nakamura, M.; Takaoka, M.; Shiota, K.; Kitajima, Y. Synergetic inhibition of thermochemical formation of chlorinated aromatics by sulfur and nitrogen derived from thiourea: Multielement characterizations. J. Hazard. Mater. 2016, 311, 43–50. [Google Scholar] [CrossRef]
- Marie-Rose, S.C.; Belin, T.; Mijoin, J.; Fiani, E.; Taralunga, M.; Chaucherie, X.; Nicol, F.; Magnoux, P. Destruction of PAH and dioxin precursors using selective oxidation over zeolite catalysts. Influence of the presence of ammonia in the flue gas. Appl. Catal. B Environ. 2009, 93, 106–111. [Google Scholar] [CrossRef]
- Fullana, A.; Conesa, J.A.; Font, R.; Martin-Gullon, I. Pyrolysis of sewage sludge: Nitrogenated compounds and pretreatment effects. J. Anal. Appl. Pyrolysis 2003, 68–69, 561–575. [Google Scholar] [CrossRef]
- Zhang, Y.; Xia, Z.; Huang, H.; Chen, H. Thermal degradation of polyurethane based on IPDI. J. Anal. Appl. Pyrolysis 2009, 84, 89–94. [Google Scholar] [CrossRef]
- Agency, E.P. Combustion Products from the Incineration of Plastics; Environmental Protection Agency: Cincinnati, OH, USA, 1973; p. 156. [Google Scholar]
- Moreno, A.I.; Font, R. Pyrolysis of furniture wood waste: Decomposition and gases evolved. J. Anal. Appl. Pyrolysis 2015, 113, 464–473. [Google Scholar] [CrossRef] [Green Version]
- Chen, T.; Guo, Y.; Li, X.; Lu, S.; Yan, J. Emissions behavior and distribution of polychlorinated dibenzo-p-dioxins and furans (PCDD/Fs) from cement kilns in China. Environ. Sci. Pollut. Res. 2014, 21, 4245–4253. [Google Scholar] [CrossRef]
- Gomez-Rico, M.F.; Fullana, A.; Font, R. Volatile organic compounds released from thermal drying of sewage sludge. WIT Trans. Ecol. Environ. 2008, 111, 425–433. [Google Scholar] [CrossRef] [Green Version]
- Liu, S.; Wei, M.; Qiao, Y.; Yang, Z.; Gui, B.; Yu, Y.; Xu, M. Release of organic sulfur as sulfur-containing gases during low temperature pyrolysis of sewage sludge. Proc. Combust. Inst. 2015, 35, 2767–2775. [Google Scholar] [CrossRef]
- Tian, K.; Liu, W.J.; Qian, T.T.; Jiang, H.; Yu, H.Q. Investigation on the evolution of N-containing organic compounds during pyrolysis of sewage sludge. Environ. Sci. Technol. 2014, 48, 10888–10896. [Google Scholar] [CrossRef]
- Soler, A.; Conesa, J.A.; Iñiguez, M.E.; Ortuño, N. Pollutant formation in the pyrolysis and combustion of materials combining biomass and e-waste. Sci. Total Environ. 2018, 622–623, 1258–1264. [Google Scholar] [CrossRef] [PubMed] [Green Version]
- Fujimori, T.; Takaoka, M.; Takeda, N. Influence of Cu, Fe, Pb, and Zn Chlorides and Oxides on Formation of Chlorinated Aromatic Compounds in MSWI Fly Ash. Environ. Sci. Technol. 2009, 43, 8053–8059. [Google Scholar] [CrossRef] [PubMed]





Publisher’s Note: MDPI stays neutral with regard to jurisdictional claims in published maps and institutional affiliations. |
© 2021 by the author. Licensee MDPI, Basel, Switzerland. This article is an open access article distributed under the terms and conditions of the Creative Commons Attribution (CC BY) license (https://creativecommons.org/licenses/by/4.0/).
Share and Cite
Conesa, J.A. Sewage Sludge as Inhibitor of the Formation of Persistent Organic Pollutants during Incineration. Sustainability 2021, 13, 10935. https://doi.org/10.3390/su131910935
Conesa JA. Sewage Sludge as Inhibitor of the Formation of Persistent Organic Pollutants during Incineration. Sustainability. 2021; 13(19):10935. https://doi.org/10.3390/su131910935
Chicago/Turabian StyleConesa, Juan A. 2021. "Sewage Sludge as Inhibitor of the Formation of Persistent Organic Pollutants during Incineration" Sustainability 13, no. 19: 10935. https://doi.org/10.3390/su131910935
APA StyleConesa, J. A. (2021). Sewage Sludge as Inhibitor of the Formation of Persistent Organic Pollutants during Incineration. Sustainability, 13(19), 10935. https://doi.org/10.3390/su131910935
