Debt Overhang, Gazelles’ Growth, and Fiscal Policy: A Note from the Quantile Regression Approach
Abstract
1. Introduction
2. Literature Review
3. Data and Empirical Methodology
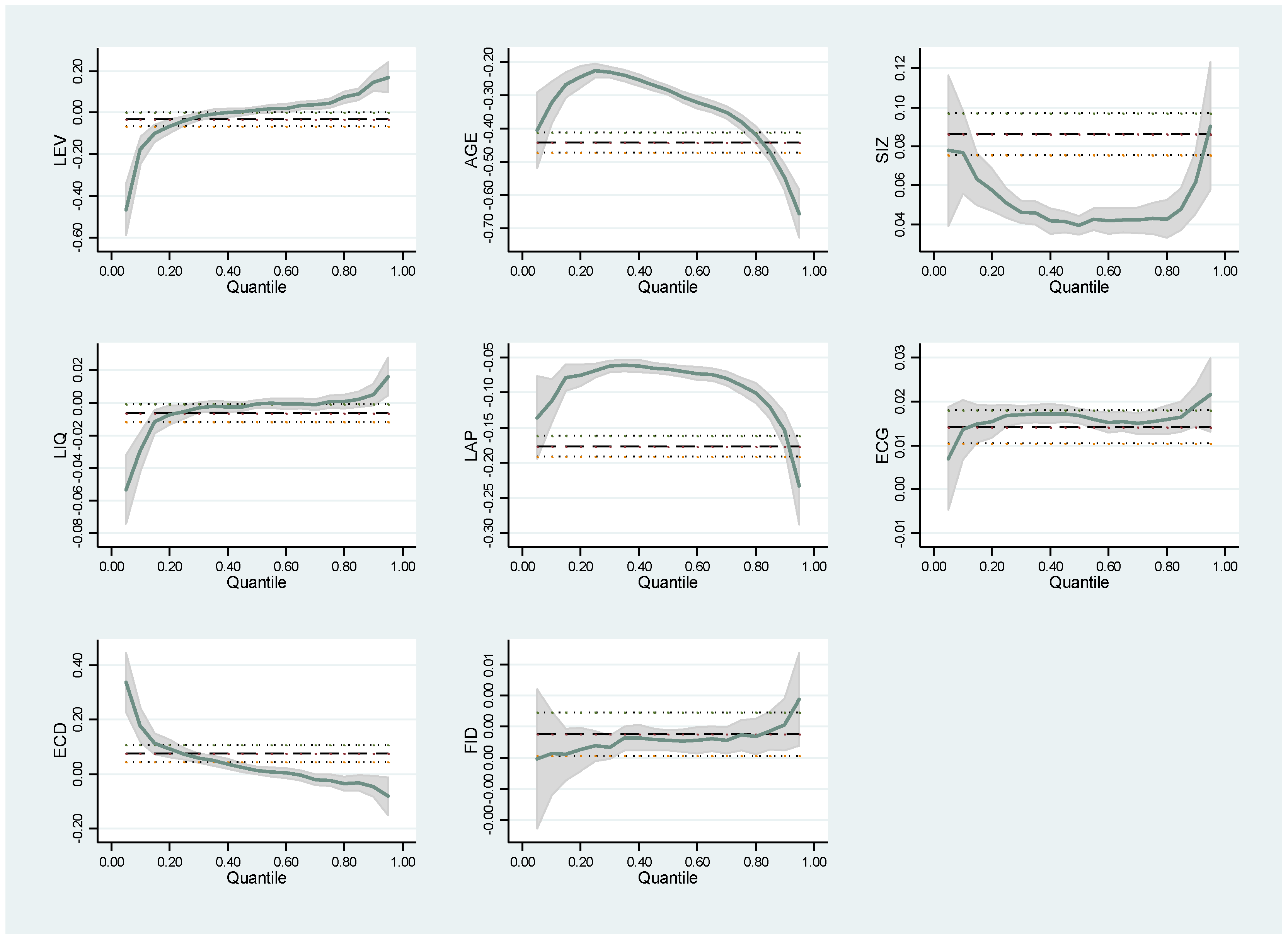
4. Empirical Results
5. Conclusions
Author Contributions
Funding
Institutional Review Board Statement
Informed Consent Statement
Data Availability Statement
Conflicts of Interest
Appendix A. Robustness Check
| OLS | 10th Q | 20th Q | 30th Q | 40th Q | 50th Q | 60th Q | 70th Q | 80th Q | 90th Q | |
|---|---|---|---|---|---|---|---|---|---|---|
| LEV | −0.031 * | −0.177 *** | −0.064 *** | −0.017 | 0.000 | 0.011 | 0.021 | 0.037 | 0.075 *** | 0.148 *** |
| (0.017) | (0.058) | (0.021) | (0.015) | (0.010) | (0.013) | (0.015) | (0.024) | (0.022) | (0.044) | |
| AGE | −0.442 *** | −0.321 *** | −0.244 *** | −0.231 *** | −0.255 *** | −0.285 *** | −0.321 *** | −0.351 *** | −0.419 *** | −0.547 *** |
| (0.016) | (0.030) | (0.014) | (0.006) | (0.016) | (0.013) | (0.012) | (0.008) | (0.020) | (0.017) | |
| SIZ | 0.086 *** | 0.077 *** | 0.058 *** | 0.046 *** | 0.042 *** | 0.039 *** | 0.042 *** | 0.042 *** | 0.043 *** | 0.062 *** |
| (0.006) | (0.017) | (0.005) | (0.003) | (0.004) | (0.003) | (0.005) | (0.003) | (0.006) | (0.008) | |
| LIQ | −0.006 ** | −0.030 *** | −0.008 ** | −0.003 | −0.002 | −0.001 | −0.001 | −0.001 | 0.001 | 0.005 |
| (0.003) | (0.010) | (0.004) | (0.003) | (0.001) | (0.002) | (0.002) | (0.002) | (0.002) | (0.005) | |
| LAP | −0.176 *** | −0.112 *** | −0.075 *** | −0.063 *** | −0.062 *** | −0.067 *** | −0.073 *** | −0.080 *** | −0.100 *** | −0.153 *** |
| (0.008) | (0.020) | (0.009) | (0.005) | (0.005) | (0.005) | (0.007) | (0.006) | (0.008) | (0.014) | |
| ECG | 0.014 *** | 0.014 *** | 0.015 *** | 0.017 *** | 0.017 *** | 0.017 *** | 0.015 *** | 0.015 *** | 0.016 *** | 0.019 *** |
| (0.002) | (0.005) | (0.002) | (0.001) | (0.001) | (0.001) | (0.001) | (0.001) | (0.002) | (0.003) | |
| ECD | 0.075 *** | 0.177 *** | 0.094 *** | 0.058 *** | 0.037 *** | 0.014 | 0.004 | −0.020 ** | −0.035 *** | −0.045 ** |
| (0.016) | (0.023) | (0.015) | (0.007) | (0.010) | (0.010) | (0.012) | (0.009) | (0.010) | (0.021) | |
| FID | 0.002 ** | 0.000 | 0.001 | 0.001 | 0.001 *** | 0.001 *** | 0.001 *** | 0.001 *** | 0.001 *** | 0.002 *** |
| (0.001) | (0.002) | (0.001) | (0.000) | (0.000) | (0.000) | (0.000) | (0.000) | (0.000) | (0.001) | |
| Constant | 0.622 *** | −1.348 *** | −0.692 *** | −0.272 *** | 0.059 | 0.483 *** | 0.724 *** | 1.144 *** | 1.663 *** | 2.366 *** |
| (0.169) | (0.363) | (0.165) | (0.066) | (0.087) | (0.114) | (0.125) | (0.100) | (0.112) | (0.285) | |
| R2/Pseudo R2 | 0.1580 | 0.0543 | 0.0582 | 0.0594 | 0.0669 | 0.0815 | 0.0983 | 0.1196 | 0.1433 | 0.1845 |
| N. of cases | 7730 | 7730 | 7730 | 7730 | 7730 | 7730 | 7730 | 7730 | 7730 | 7730 |
References
- European Union. Europe 2020: A Strategy for Smart, Sustainable and Inclusive Growth—Communication from the Commission. European Union. 2010. Available online: http://eur-lex.europa.eu/legalcontent/en/ALL/?uri=CELEX%3A52010DC2020 (accessed on 20 June 2020).
- OECD. An International Benchmarking Analysis of Public Programmes for High Growth Firms; OECD: Paris, France, 2013; Available online: http://www.oecd.org/cfe/leed/OECDDBA%20HGF%20PROGRAMME%20REPORT_SECOND%20FINAL%20DRAFT%20(2).pdf (accessed on 8 May 2020).
- Goswami, A.G.; Medvedev, D.; Olafsen, E. High-Growth Firms. Facts, Fiction, and Policy Options for Emerging Economies, The World Bank, Washington; World Bank: Washington, DC, USA, 2018. [Google Scholar] [CrossRef]
- Eurostat-OECD. Eurostat-OECD Manual on Business Demography Statistics. 2007. Available online: http://www.oecd.org/std/39974460.pdf (accessed on 16 June 2016).
- Brown, R.; Mawson, S.; Mason, C. Myth-busting and entrepreneurship policy: The case of high growth firms. Entrep. Reg. Dev. 2017, 29, 414–443. [Google Scholar] [CrossRef]
- European Investment Bank. EIB Investment Report 2018/2019: Retooling Europe’s Economy. 2018. Available online: http://www.eib.org/en/infocentre/publications/all/investment-report-2018.htm (accessed on 10 April 2020).
- Henrekson, M.; Johansson, D. Gazelles as job creators: A survey and interpretation of the evidence. Small Bus. Econ. 2010, 35, 227–244. [Google Scholar] [CrossRef]
- Cuaresma, J.C.; Oberhofer, H.; Vincelette, G.A. Institutional barriers and job creation in Central and Eastern Europe. IZA J. Eur. Labor Stud. 2014, 3. [Google Scholar] [CrossRef][Green Version]
- Coad, A. The Growth of Firms: A Survey of Theories and Empirical Evidence; Edward Elgar: Cheltenham, UK, 2009. [Google Scholar]
- Stam, E.; van Stel, A. Types of entrepreneurship and economic growth. In Innovation, Entrepreneurship and Economic Development; Goedhuys, M., Naude, W., Szirmai, E., Eds.; Oxford University Press: Oxford, UK, 2011; pp. 78–95. [Google Scholar]
- Demir, R.; Wennberg, K.; McKelvie, A. The strategic management of high-growth firms: A review and theoretical conceptualization. Long Range Plan. 2017, 50, 431–456. [Google Scholar] [CrossRef]
- Yan, D.; Kong, Y.; Ren, X.; Shi, Y.; Chiang, S. The determinants of urban sustainability in Chinese resource-based cities: A panel quantile regression approach. Sci. Total Environ. 2019, 686, 1210–1219. [Google Scholar] [CrossRef] [PubMed]
- Dong, K.; Dong, X.; Ren, X. Can expanding natural gas infrastructure mitigate CO2 emissions? Analysis of heterogeneous and mediation effects for China. Energy Econ. 2020, 90, 104830. [Google Scholar] [CrossRef]
- Yan, D.; Ren, X.; Kong, Y.; Ye, B.; Liao, Z. The heterogeneous effects of socioeconomic determinants on PM2.5 concentrations using a two-step panel quantile regression. Appl. Energy 2020, 272, 115246. [Google Scholar] [CrossRef]
- Cheng, C.; Ren, X.; Dong, K.; Dong, X.; Wang, Z. How does technological innovation mitigate CO2 emissions in OECD countries? Heterogeneous analysis using panel quantile regression. J. Environ. Manag. 2021, 280, 111818. [Google Scholar] [CrossRef]
- Dimelis, S.; Giotopoulos, I.; Louri, H. Can firms grow without credit? A quantile panel analysis in the Euro area. J. Ind. Compet. Trade 2017, 17, 153–183. [Google Scholar] [CrossRef]
- Coricelli, F.; Driffield, N.; Pal, S.; Roland, I. When does leverage hurt productivity growth? A firm-level analysis. J. Int. Money Financ. 2012, 31, 1674–1694. [Google Scholar] [CrossRef]
- Heshmati, H. On the growth of micro and small firms: Evidence from Sweden. Small Bus. Econ. 2001, 17, 213–228. [Google Scholar] [CrossRef]
- Honjo, Y.; Harada, N. SME policy, financial structure and firm growth: Evidence from Japan. Small Bus. Econ. 2006, 27, 289–300. [Google Scholar] [CrossRef]
- Mateev, M.; Anastasov, Y. Determinants of small and medium sized fast growing enterprises in Central and Eastern Europe: A panel data analysis. Financ. Theory Pract. 2010, 34, 269–295. [Google Scholar]
- Lopez-Garcia, P.; Puente, S. What makes a high growth firm? A dynamic probit analysis using Spanish firm-level data. Small Bus. Econ. 2012, 39, 1029–1041. [Google Scholar] [CrossRef]
- Anton, S.G. Leverage and firm growth: An empirical investigation of gazelles from emerging Europe. Int. Entrep. Manag. J. 2019, 15, 209–232. [Google Scholar] [CrossRef]
- Huynh, K.; Petrunia, R. Age effects, leverage, and firm growth. J. Econ. Dyn. Control 2010, 34, 1003–1013. [Google Scholar] [CrossRef]
- Cole, R.A.; Sokolyk, T. Debt financing, survival, and growth of start-up firms. J. Corp. Financ. 2018, 50, 609–625. [Google Scholar] [CrossRef]
- Lang, L.; Ofek, E.; Stulz, R.M. Leverage, investment, and firm growth. J. Financ. Econ. 1996, 40, 3–29. [Google Scholar] [CrossRef]
- Le, T.P.V.; Phan, T.B.N. Capital structure and firm performance: Empirical evidence from a small transition country. Res. Int. Bus. Financ. 2017, 42, 710–726. [Google Scholar] [CrossRef]
- Hashi, I.; Krasniqi, B.A. Entrepreneurship and SME growth: Evidence from advanced and laggard transition economies. Int. J. Entrep. Behav. Res. 2011, 17, 456–487. [Google Scholar] [CrossRef]
- Botrić, V.; Božić, L. Access to finance: Innovative firms’ perceptions in post-transition EU members. Econ. Manag. 2017, 20, 129–143. [Google Scholar] [CrossRef]
- Dinh, H.; Mavridis, D.; Nguyen, H. The Binding Constraint on Firms’ Growth in Developing Countries; The World Bank, Policy Research Working Paper No. 5485; World Bank: Washington, DC, USA, 2010. [Google Scholar]
- Damijan, J. Corporate NPL Portfolios in CESEE Countries: How Corporate Leverage and Debt Spillovers Affect Firm Performance; Working Paper WP 191; European Bank for Reconstruction and Development: London, UK, 2016. [Google Scholar]
- Pirtea, M.; Nicolescu, C.; Boţoc, C. Do Romanian companies follow pecking order financing? Econ. Comput. Econ. Cybern. Stud. Res. 2014, 48, 1–15. [Google Scholar]
- Botta, M. Financial crises, debt overhang, and firm growth in transition economies. Appl. Econ. 2020, 52, 4333–4350. [Google Scholar] [CrossRef]
- Davidsson, P.; Wiklund, J. Conceptual and empirical challenges in the study of firm growth. In Entrepreneurship and the Growth of Firms; Davidsson, P., Delmar, F., Wiklund, J., Eds.; Edward Elgar Publishing: Cheltenham, UK, 2006; pp. 39–61. [Google Scholar]
- Buchinsky, M. Changes in the US wage structure 1963–1987: Application of quantile regression. Econom. J. Econom. Soc. 1994, 62, 405–458. [Google Scholar]
- Coad, A.; Rao, R. Innovation and firm growth in high-tech sectors: A quantile regression approach. Res. Policy 2008, 37, 633–648. [Google Scholar] [CrossRef]
- Ahn, S.; Yoon, J.; Kim, Y. The innovation activities of small and medium-sized enterprises and their growth: Quantile regression analysis and structural equation modelling. J. Technol. Transf. 2018, 43, 316–342. [Google Scholar] [CrossRef]
- Bianchini, S.; Pellegrino, G.; Tamagni, F. Innovation complementarities and firm growth. Ind. Corp. Chang. 2018, 27, 657–676. [Google Scholar] [CrossRef]
- Distante, R.; Petrella, I.; Santoro, E. Gibrat’s law and quantile regressions: An application to firm growth. Econ. Lett. 2018, 164, 5–9. [Google Scholar] [CrossRef]
- Herstad, S.J. Product innovation and employment growth at the firm level: A quantile regression approach to inter-industry differences. Appl. Econ. Lett. 2018, 25, 1062–1065. [Google Scholar] [CrossRef]
- Koenker, R.; Hallock, K. Quantile regression: An introduction. J. Econ. Perspect. 2001, 15, 143–156. [Google Scholar] [CrossRef]
- Hart, O.; Moore, J. Debt and seniority: An analysis of the role of hard claims in constraining management. Am. Econ. Rev. 1995, 85, 567–585. [Google Scholar]
- Myers, S.C. Determinants of corporate borrowing. J. Financ. Econ. 1977, 5, 147–175. [Google Scholar] [CrossRef]

| Dependent Variable | Description |
|---|---|
| Firm growth (GROW) | Log (salesi,t)–log (salesi,t−1) |
| Independent variables | |
| Leverage (LEV) | Total debt/Total assets |
| Age (AGE) | Log of firm age |
| Size (SIZ) | Log of total assets |
| Liquidity (LIQ) | Current assets/Current liabilities |
| Labour productivity (LAP) | Log of (total sales/number of employees) |
| Economic growth (ECG) | GDP growth(annual %) |
| Economic development (ECD) | Log of GDP per capita |
| Financial development (FID) | Private credit to GDP(%) |
| Variable | Mean | Std. Dev. | Min | Max | GROW | LEV | AGE | SIZ | LIQ | LAP | ECG | ECD | FID |
|---|---|---|---|---|---|---|---|---|---|---|---|---|---|
| GROW | 0.120 | 0.856 | −8.364 | 8.893 | 1.00 | ||||||||
| LEV | 0.822 | 0.630 | 0.013 | 4.699 | −0.09 | 1.00 | |||||||
| AGE | 1.518 | 0.612 | 0.000 | 2.303 | −0.36 | 0.00 | 1.00 | ||||||
| SIZ | 13.867 | 2.049 | 3.636 | 20.784 | 0.06 | −0.16 | 0.13 | 1.00 | |||||
| LIQ | 2.094 | 3.435 | 0.060 | 25.630 | −0.06 | −0.31 | 0.06 | −0.05 | 1.00 | ||||
| LAP | 10.385 | 1.455 | 2.593 | 16.934 | 0.19 | −0.09 | 0.00 | 0.57 | −0.08 | 1.00 | |||
| ECG | 1.904 | 5.250 | −14.814 | 11.902 | 0.17 | −0.02 | −0.26 | −0.03 | −0.02 | 0.09 | 1.00 | ||
| ECD | 8.917 | 0.646 | 7.742 | 10.222 | −0.03 | −0.07 | 0.08 | 0.09 | −0.04 | 0.26 | 0.19 | 1.00 | |
| FID | 51.564 | 16.847 | 21.218 | 102.531 | −0.11 | 0.01 | 0.25 | 0.03 | 0.06 | −0.09 | −0.50 | −0.46 | 1.00 |
| OLS | q10 | q20 | q30 | q40 | q50 | q60 | q70 | q80 | q90 | |
|---|---|---|---|---|---|---|---|---|---|---|
| LEV | −0.0308 * | −0.1771 *** | −0.0643 *** | −0.0175 | 0.0001 | 0.0113 | 0.0212 ** | 0.0374 *** | 0.0746 *** | 0.1481 *** |
| (−0.0171) | (−0.0378) | (−0.0164) | (−0.0119) | (−0.0103) | (−0.0088) | (−0.0102) | (−0.0113) | (−0.0156) | (−0.0267) | |
| AGE | −0.4418 *** | −0.3215 *** | −0.2436 *** | −0.2310 *** | −0.2546 *** | −0.2845 *** | −0.3212 *** | −0.3511 *** | −0.4191 *** | −0.5468 *** |
| (−0.0157) | (−0.0348) | (−0.0151) | (−0.0109) | (−0.0095) | (−0.008) | (−0.0093) | (−0.0103) | (−0.0144) | (−0.0245) | |
| SIZ | 0.0864 *** | 0.0769 *** | 0.0579 *** | 0.0463 *** | 0.0416 *** | 0.0394 *** | 0.0417 *** | 0.0421 *** | 0.0428 *** | 0.0616 *** |
| (−0.0055) | (−0.0123) | (−0.0053) | (−0.0039) | (−0.0034) | (−0.0028) | (−0.0033) | (−0.0037) | (−0.0051) | (−0.0087) | |
| LIQ | −0.0062 ** | −0.0297 *** | −0.0075 *** | −0.003 | −0.0024 | −0.0008 | −0.0007 | −0.001 | 0.0009 | 0.0052 |
| (−0.0028) | (−0.0063) | (−0.0027) | (−0.002) | (−0.0017) | (−0.0015) | (−0.0017) | (−0.0019) | (−0.0026) | (−0.0044) | |
| LAP | −0.1761 *** | −0.1116 *** | −0.0749 *** | −0.0625 *** | −0.0617 *** | −0.0670 *** | −0.0726 *** | −0.0798 *** | −0.1005 *** | −0.1532 *** |
| (−0.0077) | (−0.017) | (−0.0074) | (−0.0054) | (−0.0046) | (−0.0039) | (−0.0046) | (−0.0051) | (−0.007) | (−0.012) | |
| ECG | 0.0142 *** | 0.0135 *** | 0.0154 *** | 0.0170 *** | 0.0172 *** | 0.0167 *** | 0.0152 *** | 0.0150 *** | 0.0159 *** | 0.0191 *** |
| (−0.0019) | (−0.0043) | (−0.0019) | (−0.0013) | (−0.0012) | (−0.001) | (−0.0012) | (−0.0013) | (−0.0018) | (−0.003) | |
| ECD | 0.0754 *** | 0.1769 *** | 0.0941 *** | 0.0581 *** | 0.0371 *** | 0.0135 | 0.0037 | −0.0205 * | −0.0346 ** | −0.0452 * |
| (−0.0163) | (−0.0362) | (−0.0157) | (−0.0114) | (−0.0099) | (−0.0084) | (−0.0097) | (−0.0108) | (−0.0149) | (−0.0255) | |
| FID | 0.0015 ** | 0.0003 | 0.0005 | 0.0007 | 0.0013 *** | 0.0011 *** | 0.0011 *** | 0.0011 ** | 0.0014 ** | 0.0021 * |
| (−0.0007) | (−0.0016) | (−0.0007) | (−0.0005) | (−0.0004) | (−0.0004) | (−0.0004) | (−0.0005) | (−0.0007) | (−0.0011) | |
| Constant | 0.6223 *** | −1.3475 *** | −0.6921 *** | −0.2717 ** | 0.0589 | 0.4828 *** | 0.7238 *** | 1.1436 *** | 1.6635 *** | 2.3658 *** |
| (−0.1689) | (−0.3743) | (−0.1626) | (−0.1179) | (−0.1022) | (−0.0866) | (−0.1006) | (−0.1113) | (−0.1545) | (−0.2639) | |
| R2/Pseudo R2 | 0.158 | 0.0543 | 0.0582 | 0.0594 | 0.0669 | 0.0815 | 0.0983 | 0.1196 | 0.1433 | 0.1845 |
| N. of cases | 7730 | 7730 | 7730 | 7730 | 7730 | 7730 | 7730 | 7730 | 7730 | 7730 |
| OLS | q10 | q20 | q30 | q40 | q50 | q60 | q70 | q80 | q90 | |
|---|---|---|---|---|---|---|---|---|---|---|
| LEV | −0.0589 *** | −0.3471 *** | −0.1014 *** | −0.0308 ** | −0.0211 | 0.0084 | 0.0145 | 0.0284 ** | 0.0718 *** | 0.1451 *** |
| (0.0204) | (0.0507) | (0.0227) | (0.0154) | (0.0128) | (0.0118) | (0.0134) | (0.0134) | (0.0198) | (0.0339) | |
| AGE | −0.4128 *** | −0.3574 *** | −0.2556 *** | −0.2343 *** | −0.2536 *** | −0.2823 *** | −0.3069 *** | −0.3275 *** | −0.3783 *** | −0.4810 *** |
| (0.0200) | (0.0497) | (0.0222) | (0.0151) | (0.0126) | (0.0116) | (0.0131) | (0.0131) | (0.0195) | (0.0332) | |
| SIZ | 0.0621 *** | 0.0842 *** | 0.0546 *** | 0.0430 *** | 0.0366 *** | 0.0346 *** | 0.0294 *** | 0.0301 *** | 0.0297 *** | 0.0336 *** |
| (0.0073) | (0.0182) | (0.0081) | (0.0055) | (0.0046) | (0.0042) | (0.0048) | (0.0048) | (0.0071) | (0.0121) | |
| LIQ | −0.0021 | −0.0260 ** | −0.0041 | −0.0024 | −0.0036 | 0.0027 | 0.0022 | 0.0007 | 0.0023 | 0.0035 |
| (0.0042) | (0.0103) | (0.0046) | (0.0031) | (0.0026) | (0.0024) | (0.0027) | (0.0027) | (0.0040) | (0.0069) | |
| LAP | −0.1301 *** | −0.1421 *** | −0.0863 *** | −0.0671 *** | −0.0620 *** | −0.0615 *** | −0.0580 *** | −0.0606 *** | −0.0734 *** | −0.1011 *** |
| (0.0102) | (0.0252) | (0.0113) | (0.0077) | (0.0064) | (0.0059) | (0.0066) | (0.0066) | (0.0099) | (0.0168) | |
| ECG | 0.0135 *** | 0.0140 ** | 0.0149 *** | 0.0170 *** | 0.0168 *** | 0.0169 *** | 0.0153 *** | 0.0141 *** | 0.0140 *** | 0.0194 *** |
| (0.0026) | (0.0065) | (0.0029) | (0.0020) | (0.0016) | (0.0015) | (0.0017) | (0.0017) | (0.0025) | (0.0043) | |
| ECD | 0.0876 *** | 0.1723 ** | 0.0935 ** | 0.0598 ** | 0.0533 ** | 0.0367 * | 0.0161 | 0.0252 | 0.0051 | −0.0026 |
| (0.0336) | (0.0835) | (0.0373) | (0.0254) | (0.0211) | (0.0194) | (0.0220) | (0.0220) | (0.0327) | (0.0558) | |
| FID | 0.0011 | −0.0008 | 0.0005 | 0.0012 * | 0.0011 * | 0.0009 * | 0.0012 ** | 0.0009 * | 0.0013 | 0.0028 ** |
| (0.0009) | (0.0021) | (0.0010) | (0.0007) | (0.0005) | (0.0005) | (0.0006) | (0.0006) | (0.0008) | (0.0014) | |
| Constant | 0.3711 | −0.8437 | −0.4507 | −0.1864 | 0.0256 | 0.2941 * | 0.6170 *** | 0.6728 *** | 1.1257 *** | 1.6624 *** |
| (0.3033) | (0.7532) | (0.3365) | (0.2290) | (0.1905) | (0.1753) | (0.1982) | (0.1984) | (0.2946) | (0.5031) | |
| R2/Pseudo R2 | 0.1324 | 0.0573 | 0.0455 | 0.0473 | 0.0576 | 0.0726 | 0.0888 | 0.1086 | 0.1265 | 0.1507 |
| N. of cases | 7730 | 7730 | 7730 | 7730 | 7730 | 7730 | 7730 | 7730 | 7730 | 7730 |
Publisher’s Note: MDPI stays neutral with regard to jurisdictional claims in published maps and institutional affiliations. |
© 2021 by the authors. Licensee MDPI, Basel, Switzerland. This article is an open access article distributed under the terms and conditions of the Creative Commons Attribution (CC BY) license (https://creativecommons.org/licenses/by/4.0/).
Share and Cite
Anton, S.G.; Onofrei, M.; Gogu, E.; Neculau, B.C.; Mihai, F. Debt Overhang, Gazelles’ Growth, and Fiscal Policy: A Note from the Quantile Regression Approach. Sustainability 2021, 13, 10457. https://doi.org/10.3390/su131810457
Anton SG, Onofrei M, Gogu E, Neculau BC, Mihai F. Debt Overhang, Gazelles’ Growth, and Fiscal Policy: A Note from the Quantile Regression Approach. Sustainability. 2021; 13(18):10457. https://doi.org/10.3390/su131810457
Chicago/Turabian StyleAnton, Sorin Gabriel, Mihaela Onofrei, Emilia Gogu, Bogdan Constantin Neculau, and Florin Mihai. 2021. "Debt Overhang, Gazelles’ Growth, and Fiscal Policy: A Note from the Quantile Regression Approach" Sustainability 13, no. 18: 10457. https://doi.org/10.3390/su131810457
APA StyleAnton, S. G., Onofrei, M., Gogu, E., Neculau, B. C., & Mihai, F. (2021). Debt Overhang, Gazelles’ Growth, and Fiscal Policy: A Note from the Quantile Regression Approach. Sustainability, 13(18), 10457. https://doi.org/10.3390/su131810457

