Constructed Wetlands in South Korea: Current Status and Performance Assessment
Abstract
:1. Introduction
2. Materials and Methods
2.1. Site Location
2.2. Monitoring, Sample Collection, and Water Quality Analysis
2.3. Statistical Analyses
2.4. Development of Multi-Criteria Performance Index
3. Results and Discussion
3.1. EMC of Pollutants in Constructed Wetland Influent and Effluent
3.2. Characteristics and Pollutant Removal Performance of Different Constructed Wetland Types
3.3. Influence of Constructed Wetland Design on Pollutant Removal Performance
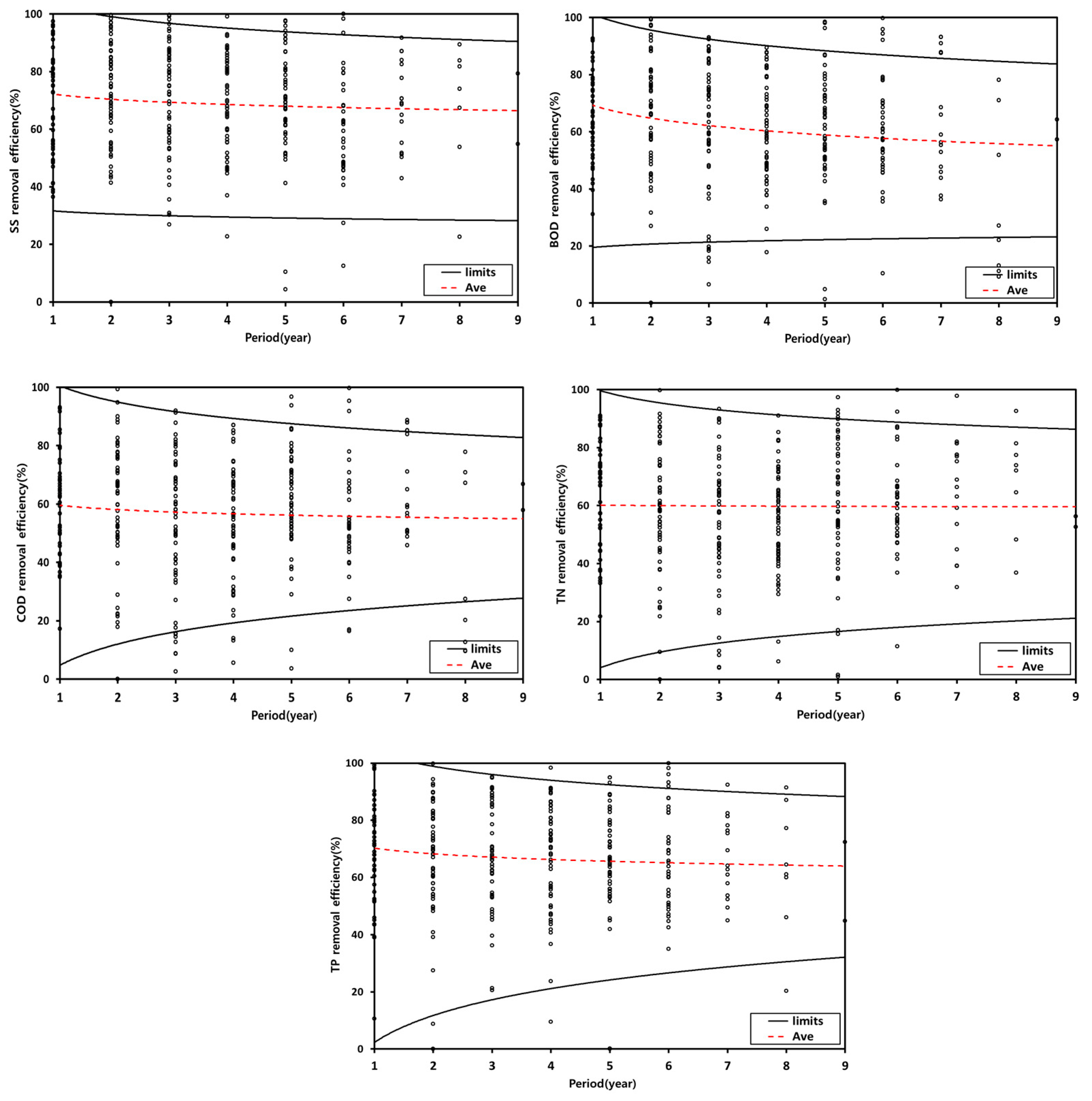
3.3.1. Pollutant Removal Performance of Constructed Wetlands with Respect to the Period of Operation
3.3.2. Effects of Facility Size in Pollutant Removal
3.4. Development and Application of Comprehensive Evaluation Index for Constructed Wetlands
3.4.1. Assessment of Index Weights
3.4.2. Application of the Developed Comprehensive Evaluation Indices to the Monitored Constructed Wetlands
4. Conclusions
Supplementary Materials
Author Contributions
Funding
Institutional Review Board Statement
Informed Consent Statement
Data Availability Statement
Conflicts of Interest
References
- Findell, K.L.; Berg, A.; Gentine, P.; Krasting, J.P.; Lintner, B.R.; Malyshev, S.; Santanello, J.A.; Shevliakova, E. The impact of anthropogenic land use and land cover change on regional climate extremes. Nat. Commun. 2017, 8, 1–10. [Google Scholar] [CrossRef] [PubMed]
- Hasan, S.S.; Zhen, L.; Miah, M.G.; Ahamed, T.; Samie, A. Impact of land use change on ecosystem services: A review. Environ. Dev. 2020, 34, 100527. [Google Scholar] [CrossRef]
- Hennings, N.; Becker, J.N.; Guillaume, T.; Damris, M.; Dippold, M.A.; Kuzyakov, Y. Riparian wetland properties counter the effect of land-use change on soil carbon stocks after rainforest conversion to plantations. Catena 2021, 196, 104941. [Google Scholar] [CrossRef]
- Borrelli, P.; Robinson, D.A.; Panagos, P.; Lugato, E.; Yang, J.E.; Alewell, C.; Wuepper, D.; Montanarella, L.; Ballabio, C. Land use and climate change impacts on global soil erosion by water (2015–2070). Proc. Natl. Acad. Sci. USA 2020, 117, 21994–22001. [Google Scholar] [CrossRef]
- Wang, M.; Wang, S.; Zhao, J.; Ju, W.; Hao, Z. Global positive gross primary productivity extremes and climate contributions during 1982–2016. Sci. Total Environ. 2021, 774, 145703. [Google Scholar] [CrossRef]
- Hansen, M.C.; Potapov, P.V.; Moore, R.; Hancher, M.; Turubanova, S.A.; Tyukavina, A.; Thau, D.; Stehman, S.V.; Goetz, S.J.; Loveland, T.R.; et al. High-resolution global maps of 21st-century forest cover change. Science 2013, 342, 850–853. [Google Scholar] [CrossRef] [Green Version]
- De Rosa, M. Land use and land-use changes in life cycle assessment: Green modelling or black boxing? Ecol. Econ. 2018, 144, 73–81. [Google Scholar] [CrossRef]
- Lillesund, V.F.; Hagen, D.; Michelsen, O.; Foldvik, A.; Barton, D.N. Comparing land use impacts using ecosystem quality, biogenic carbon emissions, and restoration costs in a case study of hydropower plants in Norway. Int. J. Life Cycle Assess. 2017, 22, 1384–1396. [Google Scholar] [CrossRef]
- World Economic Forum (WEF). The Global Risks Report. 2020. Available online: http://www3.weforum.org/docs/WEF_Global_Risk_Report_2020.pdf (accessed on 20 June 2021).
- Bexell, M.; Jönsson, K. Responsibility and the United Nations’ sustainable development goals. In Forum for Development Studies; Routledge: London, UK, 2017; Volume 44, pp. 13–29. [Google Scholar]
- Ait-Kadi, M. Water for development and development for water: Realizing the sustainable development goals (SDGs) vision. Aquat. Procedia 2016, 6, 106–110. [Google Scholar] [CrossRef]
- Alcamo, J. Water quality and its interlinkages with the Sustainable Development Goals. Curr. Opin. Environ. Sustain. 2019, 36, 126–140. [Google Scholar] [CrossRef]
- Gain, A.K.; Giupponi, C.; Wada, Y. Measuring global water security towards sustainable development goals. Environ. Res. Lett. 2016, 11, 124015. [Google Scholar] [CrossRef]
- Lim, T.; Park, J. Koreas Experiences with Development: Revisiting MDGs from a Time Perspective. Korean J. Policy Stud. 2010, 25, 125–145. [Google Scholar]
- Cha, Y.J.; Shim, M.; Kim, S.K.; River, N. The Four Major Rivers Restoration Project. In Proceedings of the UN-Water International Conference, Zaragoza, Spain, 3–5 October 2011. [Google Scholar]
- Ministry of Environment (MOE). The 3rd Phase of the Comprehensive Non-Point Source Pollution Management Measures. Available online: https://www.environment.gov.rw/ (accessed on 20 June 2021).
- Kennedy, G.; Mayer, T. Natural and constructed wetlands in Canada: An overview. Water Qual. Res. J. 2002, 37, 295–325. [Google Scholar] [CrossRef]
- Simon, J.A.; Snodgrass, J.W.; Casey, R.E.; Sparling, D.W. Spatial correlates of amphibian use of constructed wetlands in an urban landscape. Landsc. Ecol. 2009, 24, 361–373. [Google Scholar] [CrossRef]
- Harrington, R.; Carroll, P.; Cook, S.; Harrington, C.; Scholz, M.; McInnes, R.J. Integrated constructed wetlands: Water management as a land-use issue, implementing the ‘Ecosystem Approach’. Water Sci. Technol. 2011, 63, 2929–2937. [Google Scholar] [CrossRef]
- Vymazal, J. Removal of nutrients in various types of constructed wetlands. Sci. Total Environ. 2007, 380, 48–65. [Google Scholar] [CrossRef]
- Vymazal, J.; Kröpfelová, L. Types of constructed wetlands for wastewater treatment. Wastewater Treat. Constr. Wetl. Horiz. Sub-Surf. Flow 2008, 14, 121–202. [Google Scholar]
- Zhuang, L.L.; Yang, T.; Zhang, J.; Li, X. The configuration, purification effect and mechanism of intensified constructed wetland for wastewater treatment from the aspect of nitrogen removal: A review. Bioresour. Technol. 2019, 293, 122086. [Google Scholar] [CrossRef] [PubMed]
- Giraud, F.; Guiraud, P.; Kadri, M.; Blake, G.; Steiman, R. Biodegradation of anthracene and fluoranthene by fungi isolated from an experimental constructed wetland for wastewater treatment. Water Res. 2001, 35, 4126–4136. [Google Scholar] [CrossRef]
- Sakadevan, K.; Bavor, H.J. Nutrient removal mechanisms in constructed wetlands and sustainable water management. Water Sci. Technol. 1999, 40, 121–128. [Google Scholar] [CrossRef]
- Jinren, J.G.N. Mechanisms of constructed wetland wastewater ecological treatment systems. Tech. Equip. Environ. Pollut. Control. 2004, 6. Available online: https://en.cnki.com.cn/Article_en/CJFDTotal-HJJZ200406017.htm (accessed on 20 June 2021).
- Snyder, B.F. The inclusion of ecosystem service valuations in bioenergy cost analysis: A case study of constructed wetlands in the neotropics. Ecol. Econ. 2019, 156, 196–201. [Google Scholar] [CrossRef]
- Pedersen, E.; Weisner, S.E.; Johansson, M. Wetland areas’ direct contributions to residents’ well-being entitle them to high cultural ecosystem values. Sci. Total Environ. 2019, 646, 1315–1326. [Google Scholar] [CrossRef]
- McInnes, R.J.; Everard, M. Rapid assessment of wetland ecosystem services (RAWES): An example from Colombo, Sri Lanka. Ecosyst. Serv. 2017, 25, 89–105. [Google Scholar] [CrossRef]
- Saaltink, R.M.; Dekker, S.C.; Griffioen, J.; Wassen, M.J. Vegetation growth and sediment dynamics in a created freshwater wetland. Ecol. Eng. 2018, 111, 11–21. [Google Scholar] [CrossRef]
- Ministry of Environment (MOE). Installation and Management Operation Manual for Non-Point Pollution Reduction Facilities. 2016. Available online: https://www.me.go.kr/home/web/policy_data/read.do?menuId=10259&seq=4070 (accessed on 20 June 2021).
- Reyes, N.J.; Geronimo, F.K.; Kim, L.H. Evaluation of the factors influencing the treatment performance of a livestock constructed wetland. Ecol. Eng. 2020, 149, 105811. [Google Scholar] [CrossRef]
- Park, J.H.; Wang, J.J.; Kim, S.H.; Cho, J.S.; Kang, S.W.; Delaune, R.D.; Seo, D.C. Phosphate removal in constructed wetland with rapid cooled basic oxygen furnace slag. Chem. Eng. J. 2017, 327, 713–724. [Google Scholar] [CrossRef]
- Seo, D.C.; DeLaune, R.D.; Park, W.Y.; Lim, J.S.; Seo, J.Y.; Cho, J.S.; Heo, J.S. Evaluation of a hybrid constructed wetland for treating domestic sewage from individual housing units surrounding agricultural villages in South Korea. J. Environ. Monit. 2009, 11, 134–144. [Google Scholar] [CrossRef]
- Youngchul, K.; Gilson, H.; Jin-Woo, L.; Je-Chul, P.; Dong-Sup, K.; Min-Gi, K.; In-Soung, C. Experiences with con-structed wetland systems in Korea. J. Ocean Univ. China 2006, 5, 345–350. [Google Scholar] [CrossRef]
- Lee, S.W.; Kim, J.H.; Cha, S.M. Analysis of the relation between pollutant loading and water depth flowrate changes in a constructed wetland for agricultural nonpoint source pollution management. Ecol. Eng. 2020, 152, 105841. [Google Scholar] [CrossRef]
- Shen, X.; Huang, D.; Zhang, C.; Hu, K. Performance evaluation of constructed wetlands treating wastewater treatment plant effluent in Taihu Lake, China. CLEAN–Soil Air Water 2018, 46, 1600442. [Google Scholar] [CrossRef] [Green Version]
- Maniquiz, M.C.; Lee, S.Y.; Choi, J.Y.; Jeong, S.M.; Kim, L.H. Treatment performance of a constructed wetland during storm and non-storm events in Korea. Water Sci. Technol. 2012, 65, 119–126. [Google Scholar] [CrossRef] [PubMed]
- Cheema, P.P.S.; Reddy, A.S.; Kaur, S. Characterization and prediction of stormwater runoff quality in sub-tropical rural catchments. Water Resour. 2017, 44, 331–341. [Google Scholar] [CrossRef]
- American Public Health Association. Standard Methods for the Examination of Water and Wastewater; American Public Health Association: Washington, DC, USA, 1915. [Google Scholar]
- Kim, L.H.; Lee, S. Characteristics of washed-off pollutants and dynamic EMCs in a parking lot and a bridge during storms. J. Korean Soc. Water Environ. 2005, 21, 248–255. [Google Scholar] [CrossRef] [PubMed]
- Maniquiz, M.C.; Lee, S.Y.; Kim, L.H. Long-term monitoring of infiltration trench for nonpoint source pollution control. Water Air Soil Pollut. 2010, 212, 13–26. [Google Scholar] [CrossRef]
- Clarkson, B.R.; Ausseil, A.G.E.; Gerbeaux, P. Wetland ecosystem services. In Ecosystem Services in New Zealand: Conditions and Trends; Manaaki Whenua Press: Lincoln, NE, USA, 2013; pp. 192–202. [Google Scholar]
- Handoko, D.; Mesran, M.; Nasution, S.D.; Yuhandri, Y.; Nurdiyanto, H. Application of Weight Sum Model (WSM) in Determining Special Allocation Funds Recipients. Int. J. Inform. Comput. Sci. 2017, 1, 31–35. [Google Scholar]
- Perdana, M.C.; Hadisusanto, S.; Purnama, I.L.S. Implementation of a full-scale constructed wetland to treat grey-water from tourism in Suluban Uluwatu Beach, Bali, Indonesia. Heliyon 2020, 6, e05038. [Google Scholar] [CrossRef]
- Land, M.; Granéli, W.; Grimvall, A.; Hoffmann, C.C.; Mitsch, W.J.; Tonderski, K.S.; Verhoeven, J.T. How effective are created or restored freshwater wetlands for nitrogen and phosphorus removal? A systematic review. Environ. Evid. 2016, 5, 1–26. [Google Scholar] [CrossRef] [Green Version]
- Hsueh, M.L.; Yang, L.; Hsieh, L.Y.; Lin, H.J. Nitrogen removal along the treatment cells of a free-water surface constructed wetland in subtropical Taiwan. Ecol. Eng. 2014, 73, 579–587. [Google Scholar] [CrossRef]
- Alias, N.; Liu, A.; Egodawatta, P.; Goonetilleke, A. Sectional analysis of the pollutant wash-off process based on runoff hydrograph. J. Environ. Manag. 2014, 134, 63–69. [Google Scholar] [CrossRef] [PubMed] [Green Version]
- Lee, S.; Maniquiz, M.C.; Kim, L.H. Characteristics of contaminants in water and sediment of a constructed wetland treating piggery wastewater effluent. J. Environ. Sci. 2010, 22, 940–945. [Google Scholar] [CrossRef]
- Choi, J.; Maniquiz, M.C.; Lee, B.; Jeong, S.; Kim, L.H. Characteristics of contaminant and phosphorus existence types in sediment of a constructed wetland. Desalination Water Treat. 2012, 38, 285–291. [Google Scholar] [CrossRef]
- Liu, A.; Egodawatta, P.; Guan, Y.; Goonetilleke, A. Influence of rainfall and catchment characteristics on urban stormwater quality. Sci. Total Environ. 2013, 444, 255–262. [Google Scholar] [CrossRef] [PubMed] [Green Version]
- Brix, H. Wastewater treatment in constructed wetlands: System design, removal processes, and treatment performance. In Constructed Wetlands for Water Quality Improvement; CRC Press: Boca Raton, FL, USA, 2020; pp. 9–22. [Google Scholar]
- Zheng, X.; Jin, M.; Zhou, X.; Chen, W.; Lu, D.; Zhang, Y.; Shao, X. Enhanced removal mechanism of iron carbon micro-electrolysis constructed wetland on C, N, and P in salty permitted effluent of wastewater treatment plant. Sci. Total Environ. 2019, 649, 21–30. [Google Scholar] [CrossRef] [PubMed]
- Molle, P.; Prost-Boucle, S.; Lienard, A. Potential for total nitrogen removal by combining vertical flow and horizontal flow constructed wetlands: A full-scale experiment study. Ecol. Eng. 2008, 34, 23–29. [Google Scholar] [CrossRef]
- Bang, W.H.; Jung, Y.; Park, J.W.; Lee, S.; Maeng, S.K. Effects of hydraulic loading rate and organic load on the performance of a pilot-scale hybrid VF-HF constructed wetland in treating secondary effluent. Chemosphere 2019, 218, 232–240. [Google Scholar] [CrossRef] [PubMed]
- Vymazal, J.; Březinová, T.D. Treatment of a small stream impacted by agricultural drainage in a semi-constructed wetland. Sci. Total Environ. 2018, 643, 52–62. [Google Scholar] [CrossRef] [PubMed]
- Slak, A.S.; Bulc, T.G.; Vrhovsek, D. Comparison of nutrient cycling in a surface-flow constructed wetland and in a facultative pond treating secondary effluent. Water Sci. Technol. 2005, 51, 291–298. [Google Scholar] [CrossRef]
- Liang, Y.; Zhu, H.; Bañuelos, G.; Yan, B.; Shutes, B.; Cheng, X.; Chen, X. Removal of nutrients in saline wastewater using constructed wetlands: Plant species, influent loads and salinity levels as influencing factors. Chemosphere 2017, 187, 52–61. [Google Scholar] [CrossRef]
- Bolton, L.; Joseph, S.; Greenway, M.; Donne, S.; Munroe, P.; Marjo, C.E. Phosphorus adsorption onto an enriched biochar substrate in constructed wetlands treating wastewater. Ecol. Eng. 2019, 1, 100005. [Google Scholar] [CrossRef]
- Baldovi, A.A.; de Barros Aguiar, A.R.; Benassi, R.F.; Vymazal, J.; de Jesus, T.A. Phosphorus removal in a pilot scale free water surface constructed wetland: Hydraulic retention time, seasonality and standing stock evaluation. Chemosphere 2021, 266, 128939. [Google Scholar] [CrossRef] [PubMed]
- Zhao, D.; Chen, C.; Lu, Q.; Zhang, M.; Zhang, H.; An, S. Combined use of cold-season and warm-season macrophytes in floating constructed wetlands to increase nitrogen removal in the early cold season. J. Clean. Prod. 2020, 254, 120054. [Google Scholar] [CrossRef]
- Roseen, R.M.; Ballestero, T.P.; Houle, J.J.; Avelleneda, P.; Wildey, R.; Briggs, J. Storm water low-impact development, conventional structural, and manufactured treatment strategies for parking lot runoff: Performance evaluations under varied mass loading conditions. Transp. Res. Rec. 2006, 1984, 135–147. [Google Scholar] [CrossRef]
- Choi, J.; Geronimo, F.K.F.; Park, B.; Hong, J.; Kim, L. Formulation of design guidelines for the cost-effectiveness of constructed wetlands in improving water quality. Desalination Water Treat. 2018, 101, 108–115. [Google Scholar] [CrossRef]
- Hsu, C.B.; Hsieh, H.L.; Yang, L.; Wu, S.H.; Chang, J.S.; Hsiao, S.C.; Lin, H.J. Biodiversity of constructed wetlands for wastewater treatment. Ecol. Eng. 2011, 37, 1533–1545. [Google Scholar] [CrossRef]








| Code | Region | Land use | Catchment Area (CA), ha | Surface Area (SA), ha | Volume Capacity, m3 | SA/CA (%) | Type | Year Constructed |
|---|---|---|---|---|---|---|---|---|
| NYJ-W1 | Namyangju | Urban | 161 | 0.81 | 8200 | 0.5 | Flow-FWS | 2011 |
| NYJ-W2 | Namyangju | Commercial | 123.4 | 0.62 | 6200 | 0.5 | Cell-FWS | 2012 |
| NYJ-W3 | Namyangju | Agricultural | 8.1 | 0.05 | 487 | 0.6 | Flow-FWS | 2011 |
| NYJ-W4 | Namyangju | Agricultural | 6.1 | 0.13 | 1300 | 2.1 | Flow-FWS | 2011 |
| WJ-W1 | Wonju | Livestock | 45.6 | 0.46 | 4430 | 1.0 | Flow-FWS | 2016 |
| AS-W1 | Anseong | Livestock | 83.7 | 0.42 | 4180 | 0.5 | Flow-FWS | 2017 |
| AS-W2 | Anseong | Livestock | 125.7 | 1.01 | 9690 | 0.8 | Flow-FWS | 2017 |
| AS-W3 | Anseong | Urban | 87.87 | 0.53 | 5000 | 0.6 | Cell-FWS | 2017 |
| UW-W1 | Uiwang | Urban | 666 | 1.33 | 14,789 | 0.2 | Flow-FWS | 2013 |
| GS-W1 | Goesan | Agricultural | 5 | 0.58 | 5732 | 11.5 | Flow-FWS | 2015 |
| DY-W1 | Danyang | Agricultural | 614 | 0.61 | 7200 | 0.1 | Hybrid-FWS | 2010 |
| CJ-W1 | Chungju | Agricultural | 18.19 | 0.09 | 960 | 0.5 | Flow-FWS | 2013 |
| CJ-W2 | Chungju | Agricultural | 322.1 | 0.64 | 5905 | 0.2 | Flow-FWS | 2013 |
| TB-W1 | Taeback | Agricultural | 6005 | 1.2 | 15,000 | 0.02 | Flow-FWS | 2014 |
| GC-W1 | Geochang | Urban | 154 | 0.77 | 7862 | 0.5 | Flow-FWS | 2014 |
| UR-W1 | Uiryeong | Livestock | 16.5 | 0.31 | 3182 | 1.9 | Flow-FWS | 2014 |
| BS-W1 | Busan | Urban | 588 | 0.59 | 6540 | 0.1 | Flow-FWS | 2015 |
| BS-W2 | Busan | Industrial | 4.73 | 0.37 | 3700 | 7.8 | Flow-FWS | 2016 |
| BS-W3 | Busan | Agricultural | 15.91 | 0.45 | 4500 | 2.8 | Cell-FWS | 2017 |
| GR-W1 | Goryeong | Livestock | 43.7 | 0.22 | 2185 | 0.5 | Flow-FWS | 2014 |
| YC-W1 | Yeongcheon | Agricultural | 640 | 3.20 | 33,000 | 0.5 | Flow-FWS | 2013 |
| YC-W2 | Yeongcheon | Livestock | 109.4 | 0.33 | 3516 | 0.3 | Hybrid-FWS | 2013 |
| YC-W3 | Yeongcheon | Agricultural | 96.8 | 0.39 | 4080 | 0.4 | Hybrid-FWS | 2017 |
| YC-W4 | Yeongcheon | Agricultural | 63.7 | 1.08 | 10,616 | 1.7 | Cell-FWS | 2017 |
| PH-W1 | Pohang | Urban | 626 | 3.13 | 31,300 | 0.5 | Cell-FWS | 2015 |
| SJ-W1 | Seongju | Urban | 35 | 0.25 | 2400 | 0.7 | Hybrid-FWS | 2016 |
| CN-W1 | Changnyeong | Agricultural | 46 | 0.18 | 2060 | 0.4 | Flow-FWS | 2017 |
| YCG-W1 | Yecheon | Agricultural | 11.1 | 0.06 | 555 | 0.5 | Hybrid-FWS | 2017 |
| HA-W1 | Haman | Agricultural | 454.86 | 1.36 | 13,475 | 0.3 | Cell-FWS | 2017 |
| YS-W1 | Yangsan | Agricultural | 145.6 | 2.33 | 23,500 | 1.6 | Cell-FWS | 2018 |
| YS-W2 | Yangsan | Agricultural | 53.32 | 0.48 | 4540 | 0.9 | Hybrid-SSF | 2018 |
| HC-W1 | Hapcheon | Livestock | 47.2 | 0.24 | 2440 | 0.5 | Cell-FWS | 2018 |
| HD-W1 | Hadong | Agricultural | 29.1 | 0.26 | 2740 | 0.9 | Cell-FWS | 2017 |
| SC-W1 | Seocheon | Urban | 23 | 1.86 | 18,722 | 8.1 | Flow-FWS | 2012 |
| DJ-W1 | Daejeon | Agricultural | 55.2 | 0.72 | 7002 | 1.3 | Flow-FWS | 2013 |
| DJ-W2 | Daejeon | Agricultural | 66 | 0.33 | 3340 | 0.5 | Flow-FWS | 2013 |
| JP-W1 | Jeungpyeong | Urban | 205.8 | 1.03 | 10,500 | 0.5 | Flow-FWS | 2013 |
| WJU-W1 | Wanju | Commercial | 75 | 0.75 | 7450 | 1.0 | Flow-FWS | 2013 |
| JA-W1 | Jinan | Urban | 215 | 1.08 | 10,750 | 0.5 | Flow-FWS | 2016 |
| DY-W1 | Damyang | Urban | 50.5 | 0.25 | 2485 | 0.5 | Cell-FWS | 2014 |
| DY-W2 | Damyang | Urban | 20.044 | 1.00 | 100 | 0.05 | Flow-FWS | 2014 |
| JS-W1 | Jangseong | Urban | 31.9441 | 0.16 | 1600 | 0.5 | Hybrid-SSF | 2014 |
| JS-W2 | Jangseong | Agricultural | 55.9609 | 0.28 | 2800 | 0.5 | Hybrid-SSF | 2014 |
| HS-W1 | Hwasun | Livestock | 59.4 | 0.30 | 3200 | 0.5 | Flow-FWS | 2013 |
| HS-W2 | Hwasun | Agricultural | 577 | 2.89 | 29,000 | 0.5 | Flow-FWS | 2015 |
| HS-W3 | Hwasun | Industrial | 15.6 | 0.19 | 1800 | 1.2 | Hybrid-FWS | 2013 |
| IS-W1 | Imsil | Industrial | 96.2 | 0.48 | 4800 | 0.5 | Cell-FWS | 2013 |
| IS-W2 | Imsil | Livestock | 22 | 0.11 | 1100 | 0.5 | Cell-FWS | 2017 |
| BSG-W1 | Boseong | Agricultural | 26 | 0.08 | 795 | 0.3 | Flow-FWS | 2013 |
| NJ-W1 | Naju | Commercial | 87 | 0.61 | 6403 | 0.7 | Cell-FWS | 2017 |
| NJ-W2 | Naju | Agricultural | 87 | 0.44 | 4184 | 0.5 | Cell-FWS | 2017 |
| JJ-W1 | Jeju | Livestock | 22 | 0.15 | 1595 | 0.7 | Cell-FWS | 2013 |
| SS-W1 | Seosan | Agricultural | 248.5 | 0.25 | 2484 | 0.1 | Cell-FWS | 2017 |
| SS-W2 | Seosan | Agricultural | 1614 | 1.61 | 9600 | 0.1 | Flow-FWS | 2018 |
| Index | Item | Sub-Indices | Number of Parameters |
|---|---|---|---|
| Treatment function (2 items) | Water purification, α1 | SS, BOD, COD, TN, TP | 5 |
| Flow regulation, α2 | Ease of inflow and outflow, stagnation | 2 | |
| Cultural function (2 items) | Accessibility to the public, β1 | Adequate parking lots, proximity to roads, proximity to cities and residential areas | 3 |
| Social benefits, β2 | Trails, utilities, and recreational facilities (i.e., rest areas, sports facilities, restrooms, etc.) | 2 | |
| Ecological function (3 items) | Algal bloom, γ1 | Status of green algae occurrence | 1 |
| Aquatic habitat, γ2 | Fish habitat, other living organisms (i.e., plants, benthic organisms, etc.) | 2 | |
| Terrestrial ecosystem, γ3 | Plants, terrestrial, and aerial animals | 2 | |
| Operation and landscape management status (5 items) | Slope Protection, δ1 | Slope erosion, embankment protection | 2 |
| Plant Management, δ2 | Removal of dead plants, landscaping and water management, weed control. | 3 | |
| Sediment/waste management, δ3 | Sediment management, soil dredging, waste management | 3 | |
| Facility maintenance, δ4 | Deck management, trail maintenance, amusement facilities management, etc. | 3 | |
| Odor control, δ5 | Occurrence of foul odor | 1 |
| WS value | 0–19 | 20–39 | 40–59 | 60–79 | 80–100 |
|---|---|---|---|---|---|
| Evaluation | Very Bad | Bad | Normal | Good | Very Good |
| |||||
| Index | Weight | Item | Weight | Parameters |
|---|---|---|---|---|
| Treatment Function (TFi) | (0.5) | Water purification | (0.4) | SS, BOD, COD, TN, TP, etc. |
| Flow regulation | (0.1) | Ease of inflow and outflow, stagnation, etc. | ||
| Cultural Function (CFi) | (0.1) | Accessibility to the public | (0.05) | Adequate parking lots, proximity to roads, proximity to cities and residential areas |
| Social benefits | (0.05) | Trails, utilities, and recreational facilities (i.e., rest areas, sports facilities, restrooms, etc.) | ||
| Ecological Function (EFi) | 0.2 () | Algal bloom | (0.05) | Status of green algae occurrence |
| Aquatic habitat | (0.1) | Fish habitat, other living organisms (i.e., plants, benthic organisms, etc.) | ||
| Terrestrial ecosystem | (0.05) | Plants, terrestrial, and aerial animals | ||
| Operation and landscape management Status (OMi) | 0.2 ( | Slope protection | (0.04) | Slope erosion, embankment protection, etc. |
| Plant management | (0.05) | Removal of dead plants, landscaping and water management, weed control, etc. | ||
| Sediment/waste management | (0.05) | Sediment management, soil dredging, waste management | ||
| Facility maintenance | (0.04) | Deck management, trail maintenance, amusement facilities management, etc. | ||
| Odor control | (0.02) | Occurrence of foul odor |
Publisher’s Note: MDPI stays neutral with regard to jurisdictional claims in published maps and institutional affiliations. |
© 2021 by the authors. Licensee MDPI, Basel, Switzerland. This article is an open access article distributed under the terms and conditions of the Creative Commons Attribution (CC BY) license (https://creativecommons.org/licenses/by/4.0/).
Share and Cite
Choi, H.; Reyes, N.J.D.; Jeon, M.; Kim, L.-H. Constructed Wetlands in South Korea: Current Status and Performance Assessment. Sustainability 2021, 13, 10410. https://doi.org/10.3390/su131810410
Choi H, Reyes NJD, Jeon M, Kim L-H. Constructed Wetlands in South Korea: Current Status and Performance Assessment. Sustainability. 2021; 13(18):10410. https://doi.org/10.3390/su131810410
Chicago/Turabian StyleChoi, Hyeseon, Nash Jett DG. Reyes, Minsu Jeon, and Lee-Hyung Kim. 2021. "Constructed Wetlands in South Korea: Current Status and Performance Assessment" Sustainability 13, no. 18: 10410. https://doi.org/10.3390/su131810410
APA StyleChoi, H., Reyes, N. J. D., Jeon, M., & Kim, L.-H. (2021). Constructed Wetlands in South Korea: Current Status and Performance Assessment. Sustainability, 13(18), 10410. https://doi.org/10.3390/su131810410
