Assessing the Plant Phytoremediation Efficacy for Azolla filiculoides in the Treatment of Textile Effluent and Redemption of Congo Red Dye onto Azolla Biomass
Abstract
:1. Introduction
2. Materials and Methods
2.1. Chemicals and Reagents
2.2. Physiochemical Methodology for Estimation of Properties
2.2.1. Estimation of Phosphate and Sulfates
2.2.2. Estimation of TDS and TSS
2.2.3. Estimation of Chlorides
2.2.4. Estimation of Oil and Greases
2.2.5. Estimation of BOD and COD
2.2.6. Total Metal Analysis
2.3. Phytoremediation
2.4. Batch Experiments
3. Results and Discussion
3.1. Phytoremediation Studies
3.2. Adsorption Studies
3.2.1. Sorbent Characterization
3.2.2. Effect of Process Variables
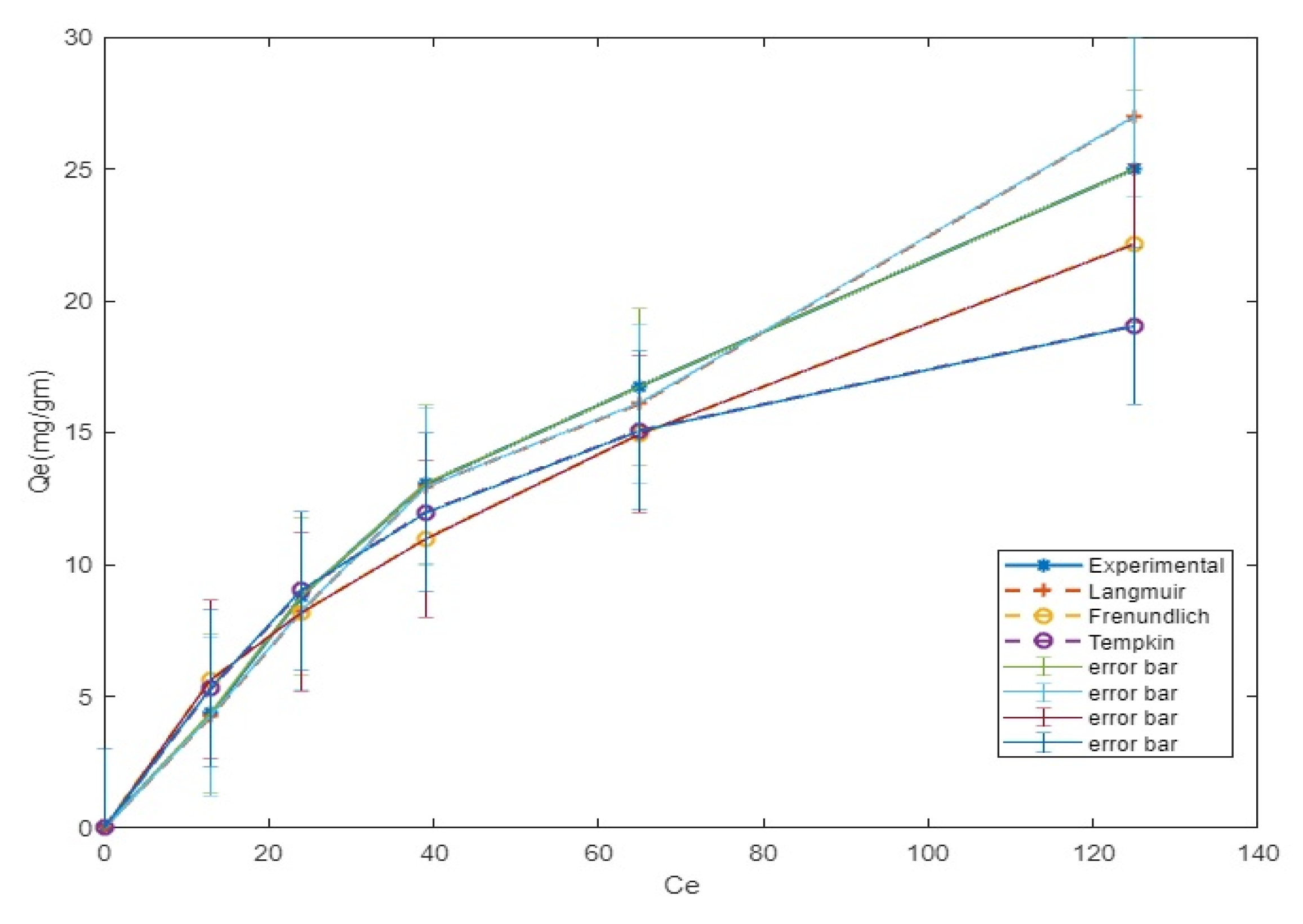
3.3. Adsorption Isotherms
3.4. Adsorption Kinetics
3.4.1. Weber and Morris Model
3.4.2. Boyd Plot
3.4.3. Transport Number and Dumwald–Wagner (DW) Model
3.5. Thermodynamic Parameters
3.6. Mechanism of Adsorption
3.7. FT-IR
3.8. Energy-Dispersive X-ray Spectroscopy (EDX)
3.9. Regeneration Studies for CR Dye Desorption
4. Conclusions
Author Contributions
Funding
Institutional Review Board Statement
Informed Consent Statement
Data Availability Statement
Acknowledgments
Conflicts of Interest
References
- Ho, Y.S.; McKay, G. Kinetic models for the sorption of dye from aqueous solution by wood. Process. Saf. Environ. Prot. 1998, 76, 183–191. [Google Scholar] [CrossRef] [Green Version]
- Fakhri, A.; Behrouz, S. Assessment of SnS2 nanoparticles properties for photocatalytic and antibacterial applications. Sol. Energy 2015, 117, 187–191. [Google Scholar] [CrossRef]
- Gupta, V.K.; Mittal, A.; Krishnan, L.; Gajbe, V. Adsorption kinetics and column operations for the removal and recovery of malachite green from wastewater using bottom ash. Sep. Purif. Technol. 2004, 40, 87–96. [Google Scholar] [CrossRef]
- Hameed, B.H.; El-Khaiary, M.I. Malachite green adsorption by rattan sawdust: Isotherm, kinetic and mechanism modeling. J. Hazard. Mater. 2008, 159, 574–579. [Google Scholar] [CrossRef]
- Elgarahy, A.M.; Elwakeel, K.Z.; Akhdhar, A.; Hamza, M.F. Recent advances in greenly synthesized nanoengineered materials for water/wastewater remediation: An overview. Nanotechnol. Environ. Eng. 2021, 6, 1–24. [Google Scholar] [CrossRef]
- Bahadar, A.; Khan, M.B. Progress in energy from microalgae: A review. Renew. Sustain. Energy Rev. 2013, 27, 128–148. [Google Scholar] [CrossRef]
- Anastasakis, K.; Ross, A.B. Hydrothermal liquefaction of the brown macro-alga Laminaria saccharina: Effect of reaction conditions on product distribution and composition. Bioresour. Technol. 2011, 102, 4876–4883. [Google Scholar] [CrossRef]
- Kumar, J.A.; Amarnath, D.J.; Sathish, S.; Jabasingh, S.A.; Saravanan, A.; Hemavathy, R.V.; Anand, K.V.; Yaashikaa, P.R. Enhanced PAHs removal using pyrolysis-assisted potassium hydroxide induced palm shell activated carbon: Batch and column investigation. J. Mol. Liq. 2019, 279, 77–87. [Google Scholar] [CrossRef]
- Elwakeel, K.Z.; Shahat, A.; Khan, Z.A.; Alshitari, W.; Guibal, E. Magnetic metal oxide-organic framework material for ultrasonic-assisted sorption of Titan Yellow and Rose Bengal from aqueous solutions. Chem. Eng. J. 2019, 392, 123635. [Google Scholar] [CrossRef]
- Bhatnagar, A.; Sillanpää, M. Utilization of agro-industrial and municipal waste materials as potential adsorbents for water treatment—A review. Chem. Eng. J. 2010, 157, 277–296. [Google Scholar] [CrossRef]
- Bulut, E.; Özacar, M.; Şengil, İ.A. Adsorption of malachite green onto bentonite: Equilibrium and kinetic studies and process design. Microporous Mesoporous Mater. 2008, 115, 234–246. [Google Scholar] [CrossRef]
- Elgarahy, A.M.; Elwakeel, K.Z.; Mohammad, S.H.; Elshoubaky, G.A. Multifunctional eco-friendly sorbent based on marine brown algae and bivalve shells for subsequent uptake of Congo red dye and copper(II) ions. J. Environ. Chem. Eng. 2020, 8, 103915. [Google Scholar] [CrossRef]
- Al-Degs, Y.S.; El-Barghouthi, M.I.; El-Sheikh, A.H.; Walker, G.M. Effect of solution pH, ionic strength, and temperature on adsorption behavior of reactive dyes on activated carbon. Dye. Pigment. 2008, 77, 16–23. [Google Scholar] [CrossRef]
- Aniyikaiye, T.E.; Oluseyi, T.; Odiyo, J.O.; Edokpayi, J.N. Physico-Chemical Analysis of wastewater Discharge from Selected Paint Industries in Lagos, Nigeria. Int. J. Environ. Res. Public Health 2019, 16, 1235. [Google Scholar] [CrossRef] [PubMed] [Green Version]
- Preethi, S.; Sivasamy, A.; Sivanesan, S.; Ramamurthi, V.; Swaminathan, G. Removal of safranin basic dye from aqueous solutions by adsorption onto corncob activated carbon. Ind. Eng. Chem. Res. 2006, 45, 7627–7632. [Google Scholar] [CrossRef]
- Fakhri, A.; Nejad, P.A. Antimicrobial, antioxidant and cytotoxic effect of Molybdenum trioxide nanoparticles and application of this for degradation of ketamine under different light illumination. J. Photochem. Photobiol. B Biol. 2016, 159, 211–217. [Google Scholar] [CrossRef]
- Ng, Y.S.; Chan, D.J.C. Phytoremediation capabilities of Spirodelapolyrhiza, Salvinia molesta and Lemna sp. in synthetic wastewater: A comparative study. Int. J. Phytoremediation 2018, 20, 1179–1186. [Google Scholar] [CrossRef]
- Mohammadi, S.; Sohrabi, M.; Golikand, A.N.; Fakhri, A. Preparation and characterization of zinc and copper co-doped WO3 nanoparticles: Application in photocatalysis and photobiology. J. Photochem. Photobiol. B Biol. 2016, 161, 217–221. [Google Scholar] [CrossRef]
- Sulthana, R.; Taqui, S.N.; Zameer, F.; Syed, U.T.; Syed, A.A. Adsorption of ethidium bromide from aqueous solution onto nutraceutical industrial fennel seed spent: Kinetics and thermodynamics modeling studies. Int. J. Phytoremediation 2018, 20, 1075–1086. [Google Scholar] [CrossRef]
- Sundararaman, S.; Deivasigamani, P.; Gopakumaran, N.; Kumar, J.A.; Balasubramaniam, J.S.; Kumar, N.M. Amalgamation and application of nano chitosan cross-linked with fish scales based activated carbon as an adsorbent for the removal of reactive dye (RB9). IET Nanobiotechnol. 2020, 14, 289–299. [Google Scholar] [CrossRef]
- Suganya, T.; Renganathan, S. Optimization and kinetic studies on algal oil extraction from marine macroalgae Ulva lactuca. Bioresour. Technol. 2012, 107, 319–326. [Google Scholar] [CrossRef] [PubMed]
- Nachiyar, C.V.; Rajkumar, G.S. Degradation of a tannery and textile dye, Navitan Fast Blue S5R by Pseudomonas aeruginosa. World J. Microbiol. Biotechnol. 2003, 19, 609–614. [Google Scholar] [CrossRef]
- Fakhri, A.; Rashidi, S.; Tyagi, I.; Agarwal, S.; Gupta, V.K. Photodegradation of Erythromycin antibiotic by γ-Fe2O3/SiO2 nanocomposite: Response surface methodology modeling and optimization. J. Mol. Liq. 2016, 214, 378–383. [Google Scholar] [CrossRef]
- Munagapati, V.S.; Kim, D.S. Adsorption of anionic azo dye Congo red from aqueous solution by cationic modified orange peel powder. J. Mol. Liq. 2016, 220, 540–548. [Google Scholar] [CrossRef]
- Ganesan, P.; Kamaraj, R.; Vasudevan, S. Application of isotherm, kinetic and thermodynamic models for the adsorption of nitrate ions on graphene from aqueous solution. J. Taiwan Inst. Chem. Eng. 2013, 44, 808–814. [Google Scholar] [CrossRef]
- Fakhri, A.; Behrouz, S. Photocatalytic properties of tungsten trioxide (WO3) nanoparticles for degradation of Lidocaine under visible and sunlight irradiation. Sol. Energy 2015, 112, 163–168. [Google Scholar] [CrossRef]
- Nethaji, S.; Sivasamy, A.; Mandal, A.B. Adsorption isotherms, kinetics and mechanism for the adsorption of cationic and anionic dyes onto carbonaceous particles prepared from Juglans regia shell biomass. Int. J. Environ. Sci. Technol. 2013, 10, 231–242. [Google Scholar] [CrossRef] [Green Version]
- Ravi, T.; Sundararaman, S. Synthesis and characterization of chicken eggshell powder coated magnetic nano adsorbent by an ultrasonic bath assisted co-precipitation for Cr(VI) removal from its aqueous mixture. J. Environ. Chem. Eng. 2020, 8, 103877–103889. [Google Scholar]
- Neveux, N.; Yuen, A.K.L.; Jazrawi, C.; Magnusson, M.; Haynes, B.S.; Masters, A.F.; Montoya, A.; Paul, N.A.; Maschmeyer, T.; De Nys, R. Biocrude yield and productivity from the hydrothermal liquefaction of marine and freshwater green macroalgae. Bioresour. Technol. 2014, 155, 334–341. [Google Scholar] [CrossRef]
- Arasteh, R.; Masoumi, M.; Rashidi, A.M.; Moradi, L.; Samimi, V.; Mostafavi, S.T. Adsorption of 2-nitrophenol by multi-wall carbon nanotubes from aqueous solutions. Appl. Surf. Sci. 2010, 256, 4447–4455. [Google Scholar] [CrossRef]
- Garg, V.K.; Amita, M.; Kumar, R.; Gupta, R. Basic dye (methylene blue) removal from simulated wastewater by adsorption using Indian Rosewood sawdust: A timber industry waste. Dye. Pigment. 2004, 63, 243–250. [Google Scholar] [CrossRef]
- Sundararaman, S.; Narendrakumar, G. Stabilization of bacterial cells culture on immobilized alginate beads and optimization of congo red decolorization. Indian J. Chem. Technol. 2019, 26, 544–552. [Google Scholar]
- Elwakeel, K.; Elgarahy, A.M.; Guibal, E. A biogenic tunable sorbent produced from upcycling of aquatic biota-based materials functionalized with methylene blue dye for the removal of chromium(VI) ions. J. Environ. Chem. Eng. 2021, 9, 104767–104772. [Google Scholar] [CrossRef]
- Cheung, W.H.; Szeto, Y.S.; McKay, G. Intraparticle diffusion processes during acid dye adsorption onto chitosan. Bioresour. Technol. 2007, 98, 2897–2904. [Google Scholar] [CrossRef] [PubMed]
- Fakhri, A.; Naji, M. Degradation photocatalysis of tetrodotoxin as a poison by gold doped PdO nanoparticles supported on reduced graphene oxide nanocomposites and evaluation of its antibacterial activity. J. Photochem. Photobiol. B Biol. 2017, 167, 58–63. [Google Scholar] [CrossRef] [PubMed]
- Salvestrini, S.; Leone, V.; Iovino, P.; Canzano, S.; Capasso, S. Considerations about the correct evaluation of sorption thermodynamic parameters from equilibrium isotherms. J. Chem. Thermodyn. 2014, 68, 310–316. [Google Scholar] [CrossRef]
- Eder, C.L.; Hosseini-Bandegharaei, A.; Moreno-Pirajánd, J.C.; Anastopoulos, I. A critical review of the estimation of the thermodynamic parameters on adsorption equilibria. Wrong use of equilibrium constant in the Van’t Hoof equation for calculation of thermodynamic parameters of adsorption. J. Mol. Liq. 2019, 273, 425–434. [Google Scholar]
- Fenti, A.; Iovino, P.; Salvestrini, S. Cr(VI) Sorption from Aqueous Solution: A Review. Appl. Sci. 2020, 10, 6477. [Google Scholar] [CrossRef]
- Patil, S.; Renukdas, S.; Patel, N. Removal of methylene blue, a basic dye from aqueous solutions by adsorption using teak tree (Tectona grandis) bark powder. Int. J. Environ. Sci. 2011, 1, 711–726. [Google Scholar]
- Tejada-Tovar, C.; Villabona-Ortíz, A.; Gonzalez-Delgado, A.D. Adsorption of Azo-Anionic Dyes in a Solution Using Modified Coconut (Cocos nucifera) Mesocarp: Kinetic and Equilibrium Study. Water 2021, 13, 1382. [Google Scholar] [CrossRef]
- Khoshsang, H.; Ghaffarinejad, A.; Kazemi, H.; Wang, Y.; Arandiyan, H. One-pot synthesis of S-doped Fe2O3/C magnetic nanocomposite as an adsorbent for anionic dye removal: Equilibrium and kinetic studies. J. Nanostruct. Chem. 2017, 8, 23–32. [Google Scholar] [CrossRef] [Green Version]
- Litefti, K.; Freire, M.S.; Stitou, M.; Gonzalez-Alvarez, J. Adsorption of an anionic dye (Congo red) from aqueous solutions by pine bark. Sci. Rep. 2019, 9, 16530–16540. [Google Scholar] [CrossRef] [Green Version]
- Chen, H.; Zhao, J. Adsorption study for removal of Congo red anionic dye using organo-attapulgite. Adsorption 2009, 15, 381–389. [Google Scholar] [CrossRef]
- Cheng, Z.; Zhang, L.; Guo, X.; Jiang, X.; Li, T. Adsorption behavior of direct red 80 and Congo red onto activated carbon/surfactant: Process optimization, kinetics and equilibrium. Spectrochim. Acta Part A Mol. Biomol. Spectrosc. 2015, 137, 1126–1143. [Google Scholar] [CrossRef] [PubMed]
- Dawood, S.; KantiSen, T. Removal of anionic dye Congo red from aqueous solution by raw pine and acid-treated pine cone powder as adsorbent: Equilibrium, thermodynamic, kinetics, mechanism and process design. Water Res. 2012, 46, 1933–1946. [Google Scholar] [CrossRef] [PubMed]
- Wanyonyi, W.C.; Onyari, J.M.; Shiundu, P.M. Adsorption of Congo Red Dye from Aqueous Solutions Using Roots of Eichhornia Crassipes: Kinetic and Equilibrium Studies. Energy Procedia 2014, 50, 862–869. [Google Scholar] [CrossRef] [Green Version]
- Hu, Z.; Chen, H.; Ji, F.; Yuan, S. Removal of Congo red from aqueous solution using cattail roots. J. Hazard. Mater. 2010, 173, 292–297. [Google Scholar] [CrossRef] [PubMed]
- Wang, L.; Wang, A. Adsorption properties of Congo red from aqueous solution onto N,O-carboxymethyl-chitosan. Bioresour. Technol. 2008, 99, 1403–1408. [Google Scholar] [CrossRef] [PubMed]
- Elgarahy, A.M.; Elwakeel, K.Z.; Elshoubaky, G.A.; Mohammad, S.H. Microwave-accelerated sorption of cationic dyes onto green marine algal biomass. Environ. Sci. Pollut. Res. 2019, 26, 22704–22722. [Google Scholar] [CrossRef]
- Mahmood, Z.; Zahra, S.; Iqbal, M. Comparative study of natural and modified biomass of Sargassum sp. for removal of Cd2+ and Zn2+ from wastewater. Appl. Water Sci. 2017, 7, 3469–3481. [Google Scholar] [CrossRef] [Green Version]

















| Components | Before Treatment | After Treatment | Permissible Limits 1 |
|---|---|---|---|
| TDS (mg/L) | 134 | 13 | |
| TSS (mg/L) | 7030 | 2450 | 100 |
| Chlorides (mg/L) | 912.5 | 527.3 | 1000 |
| Sulfates (mg/L) | 1354 | 221.1 | 1000 |
| Magnesium (mg/L) | 26.4 | 20.4 | |
| Total alkalinity (mg/L) | 827.7 | 364.9 | 600 |
| Total hardness (mg/L) | 283.5 | 194.3 | 300 |
| Total iron (mg/L) | 0.34 | 0.17 | 3 |
| COD (mg/L) | 1361 | 24.1 | 250 |
| BOD (mg/L) | 167.5 | 3.0 | 30 |
| Oil and grease | 22.0 | 6.0 | 10 |
| Total phosphates (mg/L) | 12.3 | 2.51 | 5 |
| Sodium (mg/L) | 873 | 594 | |
| Potassium (mg/L) | 45 | 39 |
| Model | Parameters | Values | R2 |
|---|---|---|---|
| Langmuir | Maximum adsorption capacity (mg/g) | 243.9 | 0.98 |
| Langmuir adsorption constant (L/mg) | 0.0016 | ||
| RSME | 0.8812 | ||
| R2 error | 0.7343 | ||
| Χ2 (chi-square) | 0.2219 | ||
| Freundlich | Adsorbent capacity ((mg/g)(L/mg)(1/n)) | 1.04 | 0.95 |
| Freundlich constant (g/L) | 1.656 | ||
| RSME | 1.7185 | ||
| R2 error | 1.3608 | ||
| Χ2 (chi-square) | 1.2813 | ||
| Temkin | Equilibrium binding constant (L/g) | 0.18406 | 0.941 |
| Heat of adsorption constant (J/mol) | 6.074 | ||
| RSME | 2.5934 | ||
| R2 error | 1.7574 | ||
| Χ2 (chi-square) | 1.8867 |
| Kinetics | Parameters | Initial Concentration (mg/L) | |||
|---|---|---|---|---|---|
| 100 | 200 | 400 | 500 | ||
| Pseudo-first order | k1 (min−1) | 0.02 | 0.013 | 0.008 | 0.003 |
| qe, (mg/g) | 3.521 | 3.884 | 14.86 | 136.317 | |
| R2 | 0.9372 | 0.90927 | 0.9662 | 0.79823 | |
| Pseudo-second order | k2 (g/mg·min) | 0.0216 | 0.0099 | 0.0059 | 0.0034 |
| qe, (mg/g) | 10.012 | 19.782 | 29.425 | 45.127 | |
| R2 | 0.983 | 0.98 | 0.906 | 0.84 | |
| Concentration (mg/L) | Slope | Intercept | R2 |
|---|---|---|---|
| 100 | 0.238 | −0.527 | 0.909 |
| 200 | 0.298 | −0.681 | 0.913 |
| 300 | 0.298 | −0.681 | 0.913 |
| 400 | 0.457 | −1.041 | 0.914 |
| 500 | 0.607 | −1.372 | 0.919 |
| Initial Concentration (mg/L) | Weber–Morris Model | Dumwald-Wagner Model | ||
|---|---|---|---|---|
| ki (mg/g min0.5) | R2 | k (min−1) | R2 | |
| 100 | 0.282 | 0.865 | 0.008 | 0.851 |
| 200 | 0.575 | 0.884 | 0.002 | 0.811 |
| 300 | 0.857 | 0.914 | 0.007 | 0.789 |
| 400 | 1.195 | 0.929 | 0.001 | 0.651 |
| 500 | 1.353 | 0.899 | 0.002 | 0.853 |
| Initial Concentration Co (mg/L) | ||||
|---|---|---|---|---|
| 100 | 0.87 | −0.13926 | 6.6931 | 1.9009 |
| 200 | 0.88 | −0.12783 | 7.3333 | 1.9924 |
| 300 | 0.87 | −0.13926 | 6.6923 | 1.9009 |
| 400 | 0.84 | −0.17733 | 5.1538 | 1.6397 |
| 500 | 0.82 | −0.19845 | 4.0100 | 1.3863 |
| Temperature K | ln Kc | ΔG° kJ/mol | ln KL | ln KD | ||||
|---|---|---|---|---|---|---|---|---|
| 303 | −0.139 | 350.1607 | 6.62 | −16.677 | 6.9 | −17.384 | 6.9077 | −17.401 |
| 313 | −0.125 | 325.2853 | 7.3 | −18.997 | 6.5 | −16.917 | 7.256 | −18.882 |
| 323 | −0.177 | 475.3197 | 5.6 | −15.034 | 6.2 | −16.652 | 6.25 | −16.784 |
| 333 | −0.198 | 548.1753 | 4.9 | −13.566 | 6.1 | −16.885 | 5.2 | −14.397 |
| Properties | Kc | KD | KL | |
|---|---|---|---|---|
| ΔH° (J/mol) | −1900.91 | −56,768 | −50,640.6 | −22,793.7 |
| ΔS° (J/mol) | −7.31299 | −127.977 | −106.203 | −18.3507 |
| R2 | 0.7557 | 0.6737 | 0.7431 | 0.953 |
| Element Line | Before Treatment | After Treatment | ||
|---|---|---|---|---|
| Weight% | Error | Weight% | Error | |
| C | 25.21 | ±1.22 | 33.75 | ±0.98 |
| O | 71.16 | 63.13 | ||
| Si | 1.42 | ±0.21 | 1.10 | ±0.15 |
| K | 1.43 | ±0.19 | ||
| Al | 0.95 | ±0.10 | ||
| Ca | -- | 1.07 | ±0.09 | |
| Adsorbate | Adsorbent | Maximum Capacity of Adsorption (mg/g) | Reference |
|---|---|---|---|
| Congo red (CR9) | Azolla filiculoides biomass | 243.9 | This study |
| Congo red | Fe2O3/C magnetic nanocomposite | 270 | [41] |
| Congo red | Pine bark | 0.3–1.6 | [42] |
| Congo red | Organo-attapulgite | 189.39 | [43] |
| Congo red | Activated carbon/surfactant | 769.48 | [44] |
| Congo red | Raw pine | 32.65 | [45] |
| Congo red | Acid-treated pine | 40.19 | [45] |
| Congo red | Roots of Eichhornia crassipes | 4.8 | [46] |
| Congo red | Cattail root | 38.79 | [47] |
| Congo red | N,O-carboxymethyl-chitosan | 330.62 | [48] |
Publisher’s Note: MDPI stays neutral with regard to jurisdictional claims in published maps and institutional affiliations. |
© 2021 by the authors. Licensee MDPI, Basel, Switzerland. This article is an open access article distributed under the terms and conditions of the Creative Commons Attribution (CC BY) license (https://creativecommons.org/licenses/by/4.0/).
Share and Cite
Sundararaman, S.; Senthil Kumar, P.; Deivasigamani, P.; Jagadeesan, A.K.; Devaerakkam, M.; Al-Hashimi, A.; Choi, D. Assessing the Plant Phytoremediation Efficacy for Azolla filiculoides in the Treatment of Textile Effluent and Redemption of Congo Red Dye onto Azolla Biomass. Sustainability 2021, 13, 9588. https://doi.org/10.3390/su13179588
Sundararaman S, Senthil Kumar P, Deivasigamani P, Jagadeesan AK, Devaerakkam M, Al-Hashimi A, Choi D. Assessing the Plant Phytoremediation Efficacy for Azolla filiculoides in the Treatment of Textile Effluent and Redemption of Congo Red Dye onto Azolla Biomass. Sustainability. 2021; 13(17):9588. https://doi.org/10.3390/su13179588
Chicago/Turabian StyleSundararaman, Sathish, Ponnusamy Senthil Kumar, Prabu Deivasigamani, Aravind Kumar Jagadeesan, Marshiana Devaerakkam, Abdulrahman Al-Hashimi, and Dongjin Choi. 2021. "Assessing the Plant Phytoremediation Efficacy for Azolla filiculoides in the Treatment of Textile Effluent and Redemption of Congo Red Dye onto Azolla Biomass" Sustainability 13, no. 17: 9588. https://doi.org/10.3390/su13179588
APA StyleSundararaman, S., Senthil Kumar, P., Deivasigamani, P., Jagadeesan, A. K., Devaerakkam, M., Al-Hashimi, A., & Choi, D. (2021). Assessing the Plant Phytoremediation Efficacy for Azolla filiculoides in the Treatment of Textile Effluent and Redemption of Congo Red Dye onto Azolla Biomass. Sustainability, 13(17), 9588. https://doi.org/10.3390/su13179588

