Factors Affecting Drivers to Participate in a Carpooling to Public Transport Service
Abstract
:1. Introduction
2. Literature Review
3. Methodology
3.1. Data Collection
- The first section included questions on general and sociodemographic characteristics, such as home country, gender, age, income, educational level and professional status.
- The second section provided the definition of carpooling and three more questions relative to carpooling, such as the participant’s area of residence (i.e., urban, semi-urban or rural), ownership of a smartphone and previous experience with carpooling services. Respondents without previous carpooling experience were forwarded directly to the following section, whereas respondents with previous carpooling experience were first directed to answer four additional questions to rate their last carpooling experience, their trip purpose, with whom they travelled and the modes they selected to use together with carpooling in their last journey (if any).
- The third section concerned the participant’s travel habits by focusing on a usual journey of theirs.
- The fourth section was available only to passengers concerned the utilization of carpooling and public transport (e.g., rail, tram or metro). In this section, the respondents were introduced to the hypothetical scenario. The scenario stated: “For this journey you are carpooling as a passenger and you are using a mobile app to plan your journey. Through the app you are able to find a driver and arrange a carpooling to take you to/from the rail/metro/tram station to complete the first/last-mile of your journey.” A set of questions followed for passengers.
- The fifth section was available only to drivers (i.e., driving license holders and car owners), and it concerned the reasons why potential drivers would accept to use their personal vehicle the presented scenario. The section started with the statement: “Now as a driver let’s imagine you can use your car to provide carpooling services to other travelers. If the mobile application could suggest you carpooling passengers; you would accept a journey if…”. Nine questions followed (Table 1) that represented nine potential factors for drivers. These questions represent factors that were identified in the literature as significant for passengers and drivers, including the number of passengers to travel with, travel companion, incentives (i.e., parking offer), travel factors (i.e., maximum number of pickup points, delay, time and cost of trip) and ride security.
- The conversational survey targeted EU-based travelers. The survey link was sent to the participants using multiple dissemination channels, including social media (i.e., LinkedIn, Facebook, Twitter), emails and professional newsletters. Participants included transport research institutions, ministries, educational institutes and companies.
3.2. Statistics and Modelling
4. Results
4.1. Carpooling Drivers
- The maximum number of passengers to offer the journey to did not seem to be equally shared among the three options (one, two and three passengers).
- Drivers preferred to travel with friends (30%), family (29%) and coworkers (28%) compared to strangers (13%). Trust was revealed as an important issue through this question.
- Drivers were reluctant to offer carpooling services during the night and almost equally eager services during the rest of the day.
- The two factors related to parking (“Parking offer” and “Lack of parking”) were both rated with five stars by the majority of drivers, showing that the provision of a parking place is important for the drivers. Discounted parking seems to be a good incentive to convince drivers to join a carpooling application.
- The majority of the drivers preferred to check the passenger’s profile using the carpooling application (45%) and Facebook (40%).
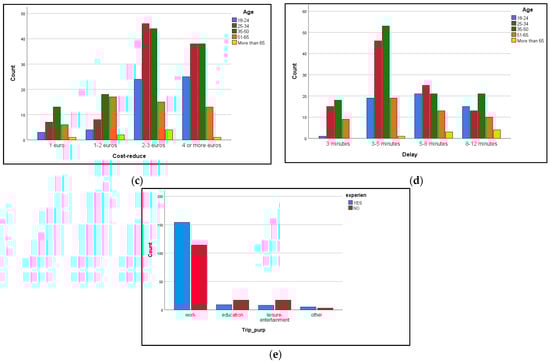
- The majority of the drivers preferred to reduce the cost of their journey by EUR 2–3 (41%), while they were ready to accept an overall delay to their journey of 3–5 min (42%). It seems that the cost reduction should be at least EUR 2 to engage more drivers.
- One pick-up/drop-off point was clearly preferred by 64% of drivers, as it was rated five and four stars.
4.2. Statistics and Exploration
4.3. Statistical Modelling
- A positive coefficient of “Delay” (Number of minutes I would accept to add to my journey) demonstrates that drivers who would accept a longer delay are more likely to use carpooling services to public transport. Most of them would accept a maximum delay of 3–5 min. The overall amount of delay that they would add to their journey is a determining factor that may persuades these drivers to participate in carpooling services. Drivers who would accept a delay of 6 or more minutes are 2.035-times more likely to use carpooling services than drivers who would accept a maximum delay of 5 min or less. Therefore, a carpooling system should attempt to minimize delay to attract more drivers and increase the use of the carpooling service.
- Similarly, the factor “Convenience” (If I could use only one pick-up/drop-off location for all passengers) appeared to be significant. Drivers who answered with four and five stars (i.e., agree and strongly agree) are 2.210-times more likely to join carpooling services than drivers who answered with three or less stars (i.e., strongly disagree, disagree and neutral). Therefore, carpooling is more popular when planning for the minimum number pick-up/drop-off locations for passengers.
- Regarding the location of residence, drivers that answered suburban and rural in the question (Do you live in an urban or a rural/semi-urban area?) are 0.530-times more likely to join carpooling than drivers that answered urban. Therefore, carpooling services with public transport services tend to be more popular among drivers who live in suburban and rural areas, and such services should be initially deployed in these areas.
- For the factor “Security” (ability to check the passengers’ profile), the positive coefficient (1.147) in the question “I could be able to check the passenger’s profile in carpooling application” shows that drivers would prefer to use the carpooling application that they registered with to review the passenger’s profile. Having a carpooling application to check the passengers’ profile is strongly associated (odds ratio = 1.672) with carpooling services.
- The factor “Passenger number” was also found to be significant in the model, showing that drivers who prefer to travel with two or three passengers are 2.175-times more likely to use carpooling services than those that who prefer to travel with one passenger, probably due to security reasons. Therefore, carpooling matching algorithms should be developed to arrange rides with at least two passengers.
5. Discussion and Conclusions
Author Contributions
Funding
Institutional Review Board Statement
Informed Consent Statement
Data Availability Statement
Acknowledgments
Conflicts of Interest
References
- Garling, T.; Steg, L. Threats from Car Traffic to the Quality of Urban Life: Problems, Causes, and Solution; Emerald Group Publishing Limited: Solihull, UK, 2007. [Google Scholar]
- Nikitas, A.; Kougias, I.; Alyavina, E.; Njoya Tchouamou, E. How can autonomous and connected vehicles, electromobility, BRT, hyperloop, shared use mobility and Mobility-as-a-Service shape transport futures for the context of smart cities? Urban Sci. 2017, 1, 36. [Google Scholar] [CrossRef] [Green Version]
- Furuhata, M.; Dessouky, M.; Ordóñezc, F.; Brunet, M.E.; Wang, X.; Koeniga, S. Ridesharing: The state-of-the-art and future directions. Transp. Res. Part B Methodol. 2013, 57, 28–46. [Google Scholar] [CrossRef]
- Gargiulo, E.; Giannantonio, R.; Guercio, E.; Borean, C.; Zenezini, G. Dynamic ride sharing service: Are users ready to adopt it? Procedia Manuf. 2015, 3, 777–778. [Google Scholar] [CrossRef] [Green Version]
- Olsson, L.E.; Maier, R.; Friman, M. Why do they ride with others? Meta-analysis of factors influencing travelers to carpool. Sustainability 2019, 11, 2414. [Google Scholar]
- Wang, Y.; Gu, J.; Wang, S.; Wang, J. Understanding consumers’ willingness to use ride-sharing services: The roles of perceived value and perceived risk. Transp. Res. Part C Emerg. Technol. 2019, 105, 504–519. [Google Scholar] [CrossRef]
- Wang, Z.; Chen, X.; Chen, X. Ridesplitting is shaping young people’s travel behavior: Evidence from comparative survey via ride-sourcing platform. Transp. Res. Part D Transp. Environ. 2019, 75, 57–71. [Google Scholar] [CrossRef]
- Buliung, R.N.; Soltys, K.; Bui, R.; Habel, C.; Lanyon, R. Catching a ride on the information superhighway: Toward an understanding of internet-based carpool formation and use. Transportation 2010, 37, 849–873. [Google Scholar] [CrossRef]
- Neoh, J.G.; Chipulu, M.; Marshall, A. What encourages people to carpool? An evaluation of factors with meta-analysis. Transportation 2017, 44, 423–447. [Google Scholar]
- Kaufman, S. Why people (don’t) carpool and change for the better: A social capital framework for investigating environmental behaviour. In Proceedings of the 2nd National Conference of Sustainable Campuses, RMIT, Melbourne, Australia, 2002. [Google Scholar]
- Bulteau, J.; Feuillet, T.; Dantan, S. Carpooling and carsharing for commuting in the Paris region: A comprehensive exploration of the individual and contextual correlates of their uses. Travel Behav. Soc. 2019, 16, 77–87. [Google Scholar] [CrossRef]
- Tahmasseby, S.; Kattan, L.; Barbour, B. Propensity to participate in a peer-to-peer social-network-based carpooling system. J. Adv. Transp. 2016, 50, 240–254. [Google Scholar] [CrossRef]
- Lee, B.; Aultman-Hall, L.; Coogan, M.; Adler, T. Rideshare mode potential in non-metropolitan areas of the northeastern United States. J. Transp. Land Use 2016, 9, 111–126. [Google Scholar] [CrossRef] [Green Version]
- Ciari, F.; Axhausen, K. Choosing carpooling or car sharing as a mode Swiss stated choice experiments. In Proceedings of the Transportation Research Board, 91st Annual Meeting, Washington, DC, USA, 22–26 January 2012. [Google Scholar]
- Lanzini, P.; Khan, S.A. Shedding light on the psychological and behavioral determinants of travel mode choice: A meta-analysis. Transp. Res. Part F Traffic Psychol. Behav. 2017, 48, 13–27. [Google Scholar] [CrossRef]
- Gardner, B.; Abraham, C. Psychological correlates of car use: A meta-analysis. Transp. Res. Part F Traffic Psychol. Behav. 2008, 11, 300–311. [Google Scholar] [CrossRef]
- Vanoutrive, T.; Van Vijver, E.; Van Malderen, L.; Jourquin, B.; Thomas, I.; Verhetsel, A.; Witlox, F. What determines carpooling to workplaces in Belgium: Location, organisation, or promotion? J. Transp. Geogr. 2017, 22, 77–86. [Google Scholar] [CrossRef] [Green Version]
- Delhomme, P.; Gheorghiu, A. Comparing French carpoolers and non-carpoolers: Which factors contribute the most to carpooling? Transp. Res. Part D Transp. Environ. 2016, 42, 1–15. [Google Scholar] [CrossRef]
- Gheorghiu, A.; Delhomme, P. For which types of trips do French drivers carpool? Motivations underlying carpooling for different types of trips. Transp. Res. Part A Policy 2018, 113, 460–475. [Google Scholar]
- Li, J.; Embry, P.; Mattingly, S.; Sadabadi, K.F.; Rasmidatta, I.; Burris, M.W. Who chooses to carpool and why? Examination of Texas carpoolers. Transp. Res. Rec. J. Transp. Res. Board 2007, 2021, 110–117. [Google Scholar] [CrossRef] [Green Version]
- Hartwig, S.; Buchmann, M. Empty Seats Traveling: Next-Generation Ridesharing and Its Potential to Mitigate Traffic and Emission Problems in the 21st Century; Nokia Research Center: Helsinki, Finland, 2006. [Google Scholar]
- Monchambert, G. Why do (or don’t) people carpool for long distance trips? A discrete choice experiment in France. Transp. Res. Part A Policy Pract. 2017, 132, 911–931. [Google Scholar] [CrossRef]
- Chan, N.; Shaheen, S.A. Ridesharing in North America: Past, present, and future. Transp. Rev. 2012, 32, 93–112. [Google Scholar] [CrossRef]
- Shaheen, S.; Cohen, A. Shared ride services in North America: Definitions, impacts, and the future of pooling. Transp. Rev. 2019, 39, 427–442. [Google Scholar] [CrossRef]
- Correia, G.; Silva, J.A.; Viegas, J.M. Using latent attitudinal variables estimated through a structural equations model for understanding carpooling propensity. Transp. Plan. Technol. 2013, 36, 499–519. [Google Scholar] [CrossRef]
- Levin, I. Measuring tradeoffs in carpool driving arrangement preferences. Transportation 1982, 11, 71–85. [Google Scholar] [CrossRef]
- Oliphant, M. The Native Slugs of Northern Virginia: A Profile of Slugging in the Washington DC. Region. Master of Sciences in Urban and Regional Planning, Urban Affairs and Planning, Virginia Tech. 2008. Available online: www.toolsofchange.com/userfiles/Slugging_Report_Oliphant(2).pdf (accessed on 25 July 2021).
- Tavory, S.S.; Trop, T.; Shiftan, Y. Self-organizes ridesharing: Multiperspective annotated review. Int. J. Sustain. Transp. 2019, 14, 270–279. [Google Scholar] [CrossRef]
- National Academies of Sciences. Ridesharing as a Complement to Transit; The National Academies Press, Engineering, and Medicine: Washington, DC, USA, 2012. [Google Scholar] [CrossRef]
- Mitropoulos, L.; Kortsari, A. Recommendations and Criteria for a Successful Ride Sharing in the IP4 Ecosystem, Deliverable 2.5, Ride2Rail European Union’s Horizon 2020 Research and Innovation Programme. 2020. Available online: https://ride2rail.eu/ (accessed on 29 July 2021).
- Poparide. Available online: https://www.poparide.com (accessed on 29 July 2021).
- Roadsharing. Available online: http://www.roadsharing.com (accessed on 29 July 2021).
- Auto Strade Carpooling. Available online: http://www.autostradecarpooling.it (accessed on 29 July 2021).
- TwoGo. Available online: https://www.twogo.com/en (accessed on 29 July 2021).
- BlablaCar. Available online: https://www.blablacar.com (accessed on 11 August 2021).
- GoCarma. Available online: https://www.gocarma.com (accessed on 31 July 2021).
- Hansen, E.G.; Gomm, M.L.; Bullinger, A.C.; Moslein, K.M. A community–based toolkit for designing ride–sharing services: The case of a virtual network of ride access points in Germany. Int. J. Innov. Sustain. Dev. 2010, 5, 88–99. [Google Scholar] [CrossRef]
- Dorinson, D.; Gay, D.; Minett, P.P.; Shaheen, S. Flexible Carpooling: Exploratory Study; Institute of Transportation Studies UC Davis: Berkeley, CA, USA, 2009. [Google Scholar]
- Javid, A.M.; Mehmood, T.; Asif, A.H.; Vaince, A.U.; Raza, M. Travelers’ attitudes toward carpooling in Lahore: Motives and constraints. J. Mod. Transp. 2017, 25, 268–278. [Google Scholar] [CrossRef] [Green Version]



| Question | Factor | Answer Format |
|---|---|---|
| Max number of passengers I could share the journey with | Passenger number | Single choice |
| Travel preference in terms with whom I would rather travel | Travel companion | Multiple response |
| Time of the day to offer the journey | Daytime | Multiple response |
| I could get a free or discounted parking at my destination | Parking offer | 1–5-star rating * |
| There is a shortage of parking for my car at my destination | Lack of parking | 1–5-star rating |
| Ability to check the passengers’ profile | Security | Multiple response (max. 2) |
| Amount by which I could reduce my journey’s cost | Journey cost | Single choice |
| I could use only one pick up/drop off location for all passengers | Convenience | 1–5-star rating |
| Number of minutes I would accept to add to my journey | Delay | Single choice |
| Variable | Measure | Frequency | Percent |
|---|---|---|---|
| Gender | Male | 195 | 59.6 |
| Female | 129 | 39.4 | |
| Other | 2 | 0.6 | |
| Not say | 1 | 0.3 | |
| Age | Less than 18 | 56 | 17.1 |
| 18–24 | 99 | 30.3 | |
| 25–34 | 113 | 34.6 | |
| 35–50 | 51 | 15.6 | |
| 51–65 | 8 | 2.4 | |
| More than 65 | 56 | 17.1 | |
| Education | Basic education | 1 | 0.3 |
| Higher education | 51 | 15.6 | |
| Bachelor’s degree | 79 | 24.2 | |
| Master’s degree or higher | 191 | 58.4 | |
| Prefer not to say | 5 | 1.5 | |
| Occupation | Employed full time (40-more hours/week) | 208 | 63.6 |
| Employed part time (max 39 h/week) | 15 | 4.6 | |
| Unemployed and looking for a job | 3 | 0.9 | |
| Unemployed and not looking for a job | 4 | 1.2 | |
| Student | 62 | 19.0 | |
| Self-employed | 26 | 8.0 | |
| Unable to work | 3 | 0.9 | |
| Prefer not to say | 6 | 1.8 | |
| Smartphone | Yes | 323 | 98.8 |
| No | 4 | 1.2 | |
| Residence | urban | 231 | 70.6 |
| suburban | 64 | 19.6 | |
| rural | 32 | 9.8 | |
| Past carpooling experience | Yes | 176 | 53.8 |
| No | 151 | 46.2 | |
| Journey purpose | work | 268 | 82.0 |
| education | 26 | 8.0 | |
| leisure-entertainment | 25 | 7.6 | |
| other | 8 | 2.4 | |
| Journey * | Alone | 130 | 13.1 |
| With family members | 279 | 28.0 | |
| With coworkers | 299 | 30.1 | |
| With friends | 287 | 28.8 |
| Factor | Results |
|---|---|
| Passenger number | 1 Passenger: 31% 2 Passengers: 39% 3 Passengers: 30% |
| Travel companion | Strangers: 13% Co-workers: 28% Friends: 30% Family: 29% |
| Daytime | Morning: 36% Afternoon: 32% Evening: 22% Night: 10% |
| Parking offer | 1 star: 5.5% 2 stars: 7% 3 stars: 10.4% 4 stars: 25.4% 5 stars: 51.7% |
| Lack of parking | 1 star: 17.7% 2 stars: 11.6% 3 stars: 22.9% 4 stars: 18% 5 stars: 29.7% |
| Security | Carpooling app: 45% Facebook: 40% Governmental ID: 15% |
| Journey cost | EUR 1: 9.2% EUR 1–2: 15% EUR 2–3: 40.7% EUR 4 or more: 35.2% |
| Convenience | 1 star: 0 2 stars: 8% 3 stars: 27.5% 4 stars: 26.6% 5 stars: 37.9% |
| Delay | 3 min: 13.1% 3–5 min: 42.2% 5–8 min: 25.4% 8–12 min: 19.3% |
| Variable | Description | Fishers’s Exact Test (p-Value) for Carpooling Drivers/Non Drivers |
|---|---|---|
| Security | Dummy: not using an app (0); using an app (1) | 0.000 |
| Delay | Dummy: 0–5 min (0); 6 and more (1) | 0.001 |
| Residence | Dummy: rural and suburban (0); urban (1) | 0.034 |
| Convenience | Dummy: Strongly disagree, disagree, neutral (0); agree, strongly agree (1) | 0.049 * |
| Passenger no. | Dummy: 1 passenger (0); 2 and 3 passengers (1) | 0.000 |
| B | S.E. | Sig. | Odds Ratio | 95% C.I. | ||
|---|---|---|---|---|---|---|
| Lower | Upper | |||||
| Security | 1.147 | 0.385 | 0.003 | 3.150 | 1.672 | 5.932 |
| Delay | 0.710 | 0.254 | 0.005 | 2.035 | 1.339 | 3.092 |
| Residence | −0.636 | 0.266 | 0.017 | 0.530 | 0.342 | 0.820 |
| Convenience | 0.793 | 0.260 | 0.002 | 2.210 | 1.442 | 3.388 |
| Passenger no. | 0.777 | 0.271 | 0.004 | 2.175 | 1.392 | 3.399 |
| Constant | −1.675 | 0.453 | 0.000 | 0.187 | ||
| Summary of statistics | ||||||
| -2LL | 392.525 | |||||
| Model chi-square | 43.437 | |||||
| Cox and Snell’s R2 | 0.124 | |||||
| Nagelkerke value | 0.169 | |||||
| Findings | Recommendations | |
|---|---|---|
| 1 | Trust is revealed as an important issue-drivers prefer to travel with friends (30%), family (29%) and coworkers (28%). | Provide the ability to check the potential passengers’ ID through the application and other means, such as Facebook and other social media profiles and/or governmental ID. |
| 2 | Drivers are reluctant to offer carpooling services during the night, and almost equally eager during the rest of the day. | Drivers should be able to state if they are willing to provide services during night time; if not, no penalty of any kind should be imposed. |
| 3 | Drivers would prefer to check the passenger’s profile by using the carpooling application and Facebook. Having a carpooling application to check the passengers’ profile is strongly associated with carpooling services. | The provided service should be available through a smartphone application. |
| 4 | Expected reduction of travel costs: EUR 2–3. | The provided services should prove in some way that the specific type of travel will ensure the reduction of cost by at least EUR 2–3 compared to the alternative mobility option. Monetization of external costs such as time could be considered to achieve this objective. |
| 5 | Accepted increase in travel time: 3–5 min. | Trip time for carpooling drivers should not be increased more than 3–5 min. Young and older drivers accept higher time increases. |
| 6 | One pick-up/drop-off point is preferred. | Provision of services entailing only one pick-up and drop off point. |
| 7 | Preferred number of passengers is 2. | The same trip should be provided to no more than 2 passengers at the same time, so the maximum number of passengers in the car is 3 including the driver. In the case of a female driver, a special care should be provided to arrange rides optimally with 2 passengers. |
| 8 | Reception of parking discounts or free passes “could do the trick”, especially for middle-aged people. | The application should provide various financial incentives to increase the number of people eager to provide carpooling services. Such incentives include booking of parking spots, parking discounts and/or free passes in parking lots. |
| 9 | Young and older drivers could accept a higher increase in travel time more easily. | The overall ride time should not be more than 15 min. So provided services should be designed and scheduled to minimize in-vehicle time. |
| 10 | Carpooling services with public transport services are more popular to drivers that live in non-urban areas. | Provide alignment of carpooling services with PT schedules. |
Publisher’s Note: MDPI stays neutral with regard to jurisdictional claims in published maps and institutional affiliations. |
© 2021 by the authors. Licensee MDPI, Basel, Switzerland. This article is an open access article distributed under the terms and conditions of the Creative Commons Attribution (CC BY) license (https://creativecommons.org/licenses/by/4.0/).
Share and Cite
Mitropoulos, L.; Kortsari, A.; Ayfantopoulou, G. Factors Affecting Drivers to Participate in a Carpooling to Public Transport Service. Sustainability 2021, 13, 9129. https://doi.org/10.3390/su13169129
Mitropoulos L, Kortsari A, Ayfantopoulou G. Factors Affecting Drivers to Participate in a Carpooling to Public Transport Service. Sustainability. 2021; 13(16):9129. https://doi.org/10.3390/su13169129
Chicago/Turabian StyleMitropoulos, Lambros, Annie Kortsari, and Georgia Ayfantopoulou. 2021. "Factors Affecting Drivers to Participate in a Carpooling to Public Transport Service" Sustainability 13, no. 16: 9129. https://doi.org/10.3390/su13169129
APA StyleMitropoulos, L., Kortsari, A., & Ayfantopoulou, G. (2021). Factors Affecting Drivers to Participate in a Carpooling to Public Transport Service. Sustainability, 13(16), 9129. https://doi.org/10.3390/su13169129

