Effectiveness of a Cool Bed Linen for Thermal Comfort and Sleep Quality in Air-Conditioned Bedroom under Hot-Humid Climate
Abstract
:1. Introduction
2. Materials and Methods
2.1. Field Survey
2.2. Indoor Thermal Variables
2.3. Objective Sleep Assessment
2.4. Subjective Sleep Assessment through Questionnaire
3. Results
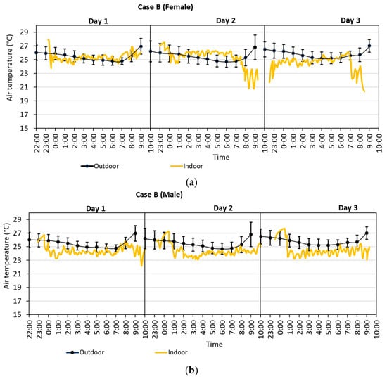
3.1. Outdoor and Indoor Thermal Conditions
3.2. Correlation between AC Power Consumption and Ta
3.3. Subjective Evaluations
3.3.1. Distribution of Votes
3.3.2. TSV and TP
3.4. Comfort Temperature Using Griffiths’ Method
3.5. Clothing and Bedding Insulation
3.6. Sleep Quality
3.6.1. Sleep Quality Evaluations
3.6.2. Sleep Efficiency Index (SEI)
3.7. Study Limitations
4. Conclusions
- The average of observed indoor temperature during the sleep period in Case B was about 2 °C higher than that in Case A. On the other hand, the subjective evaluations by respondents showed that 94.9% of the respondents provided votes within the comfortable range in Case B, while 81.6% did so in Case A, indicating that they were satisfied with the thermal conditions in the rooms.
- By installing the cool bed linen and setting the AC temperature at 3 °C higher, the electricity consumption of the air conditioning unit was reduced, leading to energy savings of up to 39%. The cool bed linen usage compensates the higher setpoint temperature while maintaining the similar comfort level as in Case A (the original setpoint temperature).
- The estimated comfort temperature in Case B was about 1 °C higher than in Case A. This result implies that in both cases, the comfort level was maintained, demonstrating that the cool bed linen installed in Case B compensated the increase in the setpoint temperature from that of Case A.
- Based on the clothing insulation during sleeping hours, the respondents could tolerate the indoor thermal conditions in Case B. Thus, the use of the cool bed linen in Case B provided comfortable sleeping conditions to the respondents.
- From the sleep quality survey, most of the respondents experienced calmness while sleeping and were satisfied with their sleep; this was evidenced by the collected data of sleep calmness ratings of “4—fairly calm” and “5—very calm” and sleep satisfaction ratings of “4—fairly” and “5—fully”, both of which received the highest percentages of votes for Cases A and B. Furthermore, the respondents were found to wake up at least once at night regardless of the sleep conditions. In fact, the respondents’ reasons for waking up were unrelated to the ambient temperature. In addition, the Sleep Efficiency Index of each respondent was higher for Case B than that for Case A. This result indicates that the settings of Case B led to a slightly better sleep quality of the respondents. Thus, the higher temperature settings in Case B with the added cool bed linen maintained the sleep quality of the respondents relative to Case A.
Author Contributions
Funding
Data Availability Statement
Conflicts of Interest
References
- Samson, D.R.; Crittenden, A.N.; Mabulla, I.A.; Mabulla, A.Z. The evolution of human sleep: Technological and cultural innovation associated with sleep-wake regulation among Hadza hunter-gatherers. J. Hum. Evolution. 2017, 113, 91–102. [Google Scholar] [CrossRef]
- Nik Hassin, N.S.F.; Misni, A. Assessing the Thermal Performance of Negeri Sembilan Traditional Malay House towards Sustainable Practice. Environ. Behav. Proc. J. 2019, 4, 289–295. [Google Scholar] [CrossRef]
- Department of Statistics. Report on Characteristics of Household 2010; Department of Statistics: Kuala Lumpur, Malaysia, 2014.
- Kubota, T.; Chyee, D.T.H.; Ahmad, S. The effects of night ventilation technique on indoor thermal environment for residential buildings in hot-humid climate of Malaysia. Energy Build. 2009, 41, 829–839. [Google Scholar] [CrossRef]
- Zaki, S.A.; Hagishima, A.; Fukami, R.; Fadhilah, N. Development of a model for generating air-conditioner operation schedules in Malaysia. Build. Environ. 2017, 122, 354–362. [Google Scholar] [CrossRef]
- Ranjbar, N.; Zaki, S.A.; Yusoff, N.M.; Yakub, F.; Hagishima, A. Short-term measurements of household electricity demand during hot weather in Kuala Lumpur. Int. J. Elect. Comput. Eng. 2017, 7, 1436–1443. [Google Scholar] [CrossRef]
- Mekhilef, S.; Saidur, R.; Said, S.M.; Hong, P.H.; Islam, M.R. Techno-economic evaluation of energy efficiency measures in high rise residential buildings in Malaysia. Clean Tech. Environ. Pol. 2014, 16, 23–35. [Google Scholar] [CrossRef]
- Kubota, T.; Jeong, S.; Toe, D.H.C.; Ossen, D.R. Energy consumption and air-conditioning usage in residential buildings of Malaysia. J. Int. Dev. Coop. 2011, 17, 61–69. [Google Scholar]
- Ono, T.; Hagishima, A.; Tanimoto, J.; Sheikh, A.Z.; Naja, A.H. Statistical analysis of air conditioning peak loads of multiple dwellings. In E3S Web of Conferences; EDP Sciences: Ulis, France, 2019; Volume 111. [Google Scholar]
- Lan, L.; Tsuzuki, K.; Liu, Y.F.; Lian, Z.W. Thermal environment and sleep quality: A review. Energy Build. 2017, 149, 101–113. [Google Scholar] [CrossRef]
- Sekhar, S.C. Thermal comfort in air-conditioned buildings in hot and humid climates–why are we not getting it right? Indoor Air 2016, 26, 138–152. [Google Scholar] [CrossRef]
- Ekasiwi, S.N.N.; Majid, N.H.A.; Hokoi, S.; Oka, D.; Takagi, N.; Uno, T. Field survey of air conditioner temperature settings in hot, humid climates, part 1: Questionnaire results on use of air conditioners in houses during sleep. J. Asian Archit. Build. Eng. 2013, 12, 141–148. [Google Scholar] [CrossRef] [Green Version]
- Department of Standard Malaysia. Energy Efficiency and Use of Renewable Energy for Residential Buildings—Code of Practice; MS2680: 2017; Malaysia Standard: Cyberjaya, Malaysia, 2017.
- Muro, K. Questionnaire Surveys on Heating/Cooling Equipment Use And Clothing Worn Within Homes. Tech. Rep. Archit. Inst. Jpn. 2018, 24, 253–258. [Google Scholar] [CrossRef]
- Lin, Z.; Deng, S. Aquestionnaire survey on sleeping thermal environment and bedroom air conditioning in high-rise residences in Hong Kong. Energy Build. 2006, 38, 1302–1307. [Google Scholar] [CrossRef]
- Haskell, E.H.; Palca, J.W.; Walker, J.M.; Berger, R.J.; Heller, H.C. The effects of high and low ambient temperatures on human sleep stages. Electroencephalogr. Clin. Neurophysiol. 1981, 51, 494–501. [Google Scholar] [CrossRef]
- Candas, V.; Libert, J.P.; Muzet, A. Heating and cooling stimulations during SWS and REM sleep in man. J. Therm. Biology. 1982, 7, 155–158. [Google Scholar] [CrossRef]
- Palca, J.W.; Walker, J.M.; Berger, R.J. Thermoregulation, metabolism, and stages of sleep in cold-exposed men. J. Appl. Physiol. 1986, 61, 940–947. [Google Scholar] [CrossRef] [PubMed]
- Sagot, J.C.; Amoros, C.; Candas, V.; Libert, J.P. Sweating responses and body temperatures during nocturnal sleep in humans. Am. J. Physiol.-Regul. Integr. Comp. Physiol. 1987, 252, R462–R470. [Google Scholar] [CrossRef] [PubMed]
- Lin, Z.; Deng, S. A study on the thermal comfort in sleeping environments in the subtropics-Measuring the total insulation values for the bedding systems commonly used in the subtropics. Build. Environ. 2008, 43, 905–916. [Google Scholar] [CrossRef]
- Lin, Z.; Deng, S. A study on the thermal comfort in sleeping environments in the subtropics-developing a thermal comfort model for sleeping environments. Build. Environ. 2008, 43, 70–81. [Google Scholar] [CrossRef]
- Jaafar, M.F.Z.B.; Croxford, B. Adapting to technology: The case of air conditioning use in Malaysian homes. In Proceedings of the Conference: Adapting to Change: New Thinking on Comfort, WINDSOR 2010. Network for Comfort and Energy Use in Buildings, Windsor, UK, 9–11 April 2010. [Google Scholar]
- Jaafar, M.F.Z.B. Domestic Air Conditioning in Malaysia: Night Time Thermal Comfort and Occupants Adaptive Behaviour. Doctoral Dissertation, University of London, London, UK, 2008. [Google Scholar]
- Shin, M.; Halaki, M.; Swan, P.; Ireland, A.H.; Chow, C.M. The effects of fabric for sleepwear and bedding on sleep at ambient temperatures of 17 c and 22 c. Nat. Sci. Sleep 2016, 8, 121. [Google Scholar] [CrossRef] [PubMed] [Green Version]
- Okamoto-Mizuno, K.; Mizuno, K.; Matsuura, N.; Matsuo, A.; Iwata, A.; Jojima, E.; Shirakawa, S. Effects of Bed Pad and Bed Sheet on Sleep Onset Period During Napping Under Mild Humid Heat Exposure. J. Jpn. Res. Assoc. Text. End-Uses 2013, 54, 218–225. [Google Scholar] [CrossRef]
- ASHRAE. ANSI/ASHRAE Standard 55-2017: Thermal Environmental Conditions for Human Occupancy, American Society of Heating; Refrigerating and Air-Conditioning Engineers, Inc.: Atlanta, GA, USA, 2017. [Google Scholar]
- Zhang, N.; Cao, B.; Zhu, Y. Indoor environment and sleep quality: A research based on online survey and field study. Build. Environ. 2018, 137, 198–207. [Google Scholar] [CrossRef]
- Imagawa, H.; Rijal, H.B. Field survey of the thermal comfort, quality of sleep and typical occupant behaviour in the bedrooms of Japanese houses during the hot and humid season. Archit. Sci. Rev. 2014, 58, 11–23. [Google Scholar] [CrossRef]
- Kim, D.G.; Kum, J.S. Evaluation of thermal comfort during sleeping in summer-part I: On results of questionnaire before and after sleep. Korean J. Air-Cond. Refrig. Eng. 2005, 17, 404–409. [Google Scholar]
- Liu, Y.; Song, C.; Wang, Y.; Wang, D.; Liu, J. Experimental study and evaluation of the thermal environment for sleeping. Build. Environ. 2014, 82, 546–555. [Google Scholar] [CrossRef]
- Wang, Y.; Liu, Y.; Song, C.; Liu, J. Appropriate indoor operative temperature and bedding micro climate temperature that satisfies the requirements of sleep thermal comfort. Build. Environ. 2015, 92, 20–29. [Google Scholar] [CrossRef]
- Lan, L.; Lian, Z. Ten questions concerning thermal environment and sleep quality. Build. Environ. 2016, 99, 252–259. [Google Scholar] [CrossRef]
- Lan, L.; Pan, L.; Lian, Z.; Huang, H.; Lin, Y. Experimental study on thermal comfort of sleeping people at different air temperatures. Build. Environ. 2014, 73, 24–31. [Google Scholar] [CrossRef]
- Pan, L.; Lian, Z.; Lan, L. Investigation of sleep quality under different temperatures based on subjective and physiological measurements. HVACR Res. 2012, 18, 1030–1043. [Google Scholar]
- Tsuzuki, K.; Mori, I. Indoor thermal environment of bedroom during sleep in Malaysia. AIP Conf. Proc. 2017, 1892, 160004. [Google Scholar]
- Brooke, S.M.; An, H.S.; Kang, S.K.; Noble, J.M.; Berg, K.E.; Lee, J.M. Concurrent validity of wearable activity trackers under free-living conditions. J. Strength Cond. Res. 2017, 31, 1097–1106. [Google Scholar] [CrossRef]
- Lee, J.M.; Byun, W.; Keill, A.; Dinkel, D.; Seo, Y. Comparison of wearable trackers’ ability to estimate sleep. Int. J. Environ. Res. Public Health. 2018, 15, 1265. [Google Scholar] [CrossRef] [PubMed] [Green Version]
- Spielmanns, M.; Bost, D.; Windisch, W.; Alter, P.; Greulich, T.; Nell, C.; Storre, J.H.; Koczulla, A.R.; Boeselt, T. Measuring sleep quality and efficiency with an activity monitoring device in comparison to polysomnography. J. Clin. Med. Res. 2019, 11, 825. [Google Scholar] [CrossRef] [Green Version]
- Crawshaw, L.I.; Nadel, E.R.; Stolwijk, J.A.J.; Stamford, B.A. Effect of local cooling on sweating rate and cold sensation. Pflügers Archiv. 1975, 354, 19–27. [Google Scholar] [CrossRef]
- Tsuzuki, K.; Okamoto-Mizuno, K.; Mizuno, K.; Iwaki, T. Effects of airflow on body temperatures and sleep stages in a warm humid climate. Int. J. Biometeorol. 2008, 52, 261–270. [Google Scholar] [CrossRef] [PubMed]
- Lan, L.; Lian, Z.W.; Qian, X.L.; Dai, C.Z. The effects of programmed air temperature changes on sleep quality and energy saving in bedroom. Energy Build. 2016, 129, 207–214. [Google Scholar] [CrossRef]
- Tsuzuki, K.; Mochizuki, Y.; Maeda, K.; Nabeshima, Y.; Ohata, T.; Draganova, V. The effect of a cold environment on sleep and thermoregulation with insufficient bedding assuming an emergency evacuation. Energy Build. 2020, 207, 109562. [Google Scholar] [CrossRef]
- American Society of Heating, Refrigerating and Air-Conditioning Engineers. ASHRAE Handbook: Fundamentals, SI; ASHRAE, Inc.: Atlanta, GA, USA, 2005. [Google Scholar]
- Swarno, H.A.; Zaki, S.A.; Yusup, Y.; Ali, M.S.M.; Ahmad, N.H. Observation of diurnal variation of urban microclimate in Kuala Lumpur, Malaysia. Chem. Eng. Trans. 2017, 56, 523–528. [Google Scholar]
- Swarno, H.A.; Zaki, S.A.; Hagishima, A.; Yusup, Y. Characteristics of wind speed during rainfall event in the tropical urban city. Urban Clim. 2020, 32, 100620. [Google Scholar] [CrossRef]
- Damiati, S.A.; Zaki, S.A.; Rijal, H.B.; Wonorahardjo, S. Field study on adaptive thermal comfort in office buildings in Malaysia, Indonesia, Singapore, and Japan during hot and humid season. Build. Environ. 2016, 109, 208–223. [Google Scholar] [CrossRef]
- Zaki, S.A.; Damiati, S.A.; Rijal, H.B.; Hagishima, A.; Razak, A.A. Adaptive thermal comfort in university classrooms in Malaysia and Japan. Build. Environ. 2017, 122, 294–306. [Google Scholar] [CrossRef]
- Mustapa, M.S.; Zaki, S.A.; Rijal, H.B.; Hagishima, A.; Ali, M.S.M. Thermal comfort and occupant adaptive behaviour in Japanese university buildings with free running and cooling mode offices during summer. Build. Environ. 2016, 105, 332–342. [Google Scholar] [CrossRef]
- Khalid, W.; Zaki, S.A.; Rijal, H.B.; Yakub, F. Investigation of comfort temperature and thermal adaptation for patients and visitors in Malaysian hospitals. Energy Build. 2019, 183, 484–499. [Google Scholar] [CrossRef]
- Åkerstedt, T.; Hume, K.E.N.; Minors, D.; Waterhouse, J.I.M. Good sleep—Its timing and physiological sleep characteristics. J. Sleep Res. 1997, 6, 221–229. [Google Scholar] [CrossRef]
- Morito, N.; Tsuzuki, K.; Mori, I.; Nishimiya, H. Effects of two kinds of air conditioner airflow on human sleep and thermoregulation. Energy Build. 2017, 138, 490–498. [Google Scholar] [CrossRef]
- McCullough, E.A.; Zbikowski, P.J.; Jones, B.W. Measurement and prediction of the insulation provided by bedding system. ASHRAE Trans. 1987, 93, 1055–1068. [Google Scholar]
- The Cool Choice for Room AC. (n.d.). ENERGY STAR. Available online: https://www.energystar.gov/products/heating_cooling/air_conditioning_room (accessed on 25 March 2021).
- Tsang, T.W.; Mui, K.W.; Wong, L.T. Investigation of thermal comfort in sleeping environment and its association with sleep quality. Build. Environ. 2021, 187, 107406. [Google Scholar] [CrossRef]
- Rijal, H.B.; Humphreys, M.; Nicol, F. Adaptive thermal comfort in Japanese houses during the summer season: Behavioral adaptation and the effect of humidity. Buildings 2015, 5, 1037–1054. [Google Scholar] [CrossRef]
- Akiyama, Y.; Miyake, E.; Matsuzaki, R.; Ogata, M.; Tsuzuki, K.; Tanabe, S.I. Effect of thermal environment on sleep quality in actual bedroom in summer by sleep stages analysis. Jpn. Archit. Rev. 2021, 4, 211–221. [Google Scholar] [CrossRef]
- Lan, L.; Xia, L.; Tang, J.; Zhang, X.; Lin, Y.; Wang, Z. Elevated airflow can maintain sleep quality and thermal comfort of the elderly in a hot environment. Indoor Air 2019, 29, 1040–1049. [Google Scholar] [CrossRef]
- Shahzad, S.; Rijal, H.B. Preferred vs neutral temperatures and their implications on thermal comfort and energy use: Workplaces in Japan, Norway and the UK. Energy Procedia 2019, 158, 3113–3118. [Google Scholar] [CrossRef]
- Griffiths, I. Thermal Comfort in Buildings with Passive Solar Features: Field Studies. Report to the Commission of the European Communities; EN3S-090 UK; University of Surrey: Guildford, UK, 1990. [Google Scholar]
- Rijal, H.B.; Humphreys, M.A.; Nicol, J.F. Towards an adaptive model for thermal comfort in Japanese offices. Build. Res. Inf. 2017, 45, 717–729. [Google Scholar] [CrossRef]
- Humphreys, M.A.; Rijal, H.B.; Nicol, J.F. Updating the adaptive relation between climate and comfort indoors; new insights and an extended database. Build. Environ. 2013, 63, 40–55. [Google Scholar] [CrossRef]
- Nicol, F.; Humphreys, M. Derivation of the adaptive equations for thermal comfort in free-running buildings in European Standard EN15251. Build. Environ. 2010, 45, 11–17. [Google Scholar]
- Rijal, H.B. Investigation of comfort temperature and occupant behavior in Japanese houses during the hot and humid season. Buildings 2014, 4, 437–452. [Google Scholar] [CrossRef]
- Mui, K.W.H.; Chan, W.T.D. Adaptive comfort temperature model of air-conditioned building in Hong Kong. Build. Environ. 2013, 38, 837–852. [Google Scholar] [CrossRef]
- Nicol, F.; Roaf, S. Pioneering new indoor temperature standards: The Pakistan project. Energy Build. 1996, 23, 169–174. [Google Scholar] [CrossRef]
- Pan, L.; Lian, Z.; Lan, L. Investigation of gender differences in sleeping comfort at different environmental temperatures. Build. Environ. 2012, 21, 811–820. [Google Scholar] [CrossRef]















| Case | Night | Description | Temperature Setpoint | Remarks |
|---|---|---|---|---|
| Case A Case A Case A | 1 | Adjustment Night for Case A | As desired | All respondents completed Case A nights before starting Case B |
| 2 | Case A Night 1 | As desired | ||
| 3 | Case A Night 2 | Similar to Night 2 | ||
| Case B Case B | 4 | Adjustment Night for Case B | 3 °C higher than Night 2 | |
| 5 | Case B Night 1 | 3 °C higher than Night 2 | ||
| Case B | 6 | Case B Night 2 | 3 °C higher than Night 2 |
| Instrument (Model) | Parameter | Sensor Type | Resolution | Accuracy and Tolerance |
|---|---|---|---|---|
| ONSET HOBO (U12-013) | Air temperature Globe temperature Relative humidity | External sensor TMC1-HDExternal sensor TMC1-HD + 40 mm black sphere Internal sensor | 0.03 °C | ±0.35 °C (from 0 °C to 50 °C) ±2.5% RH (from 10% to 90%) |
| KANOMAX Climomaster Hot-Wire Anemometer | Air velocity | Needle probe 6542-2G | 0.03% RH | ±2% of reading ± 0.0125 m/s (from 0.10 to 30.0 m/s) |
| Power Quality Analyser (KE6315-03) | AC electricity consumption | Load current clamp sensor | 0.01 m/s | ±0.3%rdg ± 0.2%f.s. + accuracy of clamp sensor (power factor 1, sine wave, 40–70 Hz) ±0.2%rdg ± 0.2%f.s.+ accuracy of clamp sensor (sine wave, 40–70 Hz) ±0.2%rdg ± 0.2%f.s. (sine wave, 40–70 Hz) |
| Garmin Wristwatch | Sleep monitoring | Pulse oximeter (pulse OX) |
| Scale | OC | TSV | TA | TP | AMS | AMA | SMS | SMP |
|---|---|---|---|---|---|---|---|---|
| 6 | Very comfortable | |||||||
| 5 | Comfortable | |||||||
| 4 | Slightly comfortable | Strong airflow | ||||||
| 3 | Slightly uncomfortable | Hot | Moderate airflow | |||||
| 2 | Uncomfortable | Warm | Prefer much cooler | Weak airflow | Very sticky | Prefer much drier | ||
| 1 | Very uncomfortable | Slightly warm | Yes | Prefer slightly cooler | No airflow | Yes | Sticky | Prefer slightly drier |
| 0 | Neutral | No | No change | No | Neutral | Neutral | ||
| −1 | Slightly cool | Prefer slightly warmer | Dry | Prefer slightly moister | ||||
| −2 | Cool | Prefer much warmer | Very dry | Prefer much moister | ||||
| −3 | Cold |
| Scale | Sleep Calmness | Sleep Satisfaction | Sufficiency of Sleep | Total Number of Times Waking Up at Night | Reason for Waking Up |
|---|---|---|---|---|---|
| 0 | No | Never | |||
| 1 | Very restless | Not at all | Yes | Once | Feeling hot |
| 2 | Quite restless | Not much | Twice | Feeling cold | |
| 3 | Neither calm nor restless | Moderately | Three times | Noises | |
| 4 | Fairly calm | Fairly | More than three times | Urgent urination | |
| 5 | Very calm | Fully | The bed was uncomfortable | ||
| 6 | Other |
| (a) | |||||||||||
| Respondent ID | F1 | F2 | F3 | F4 | F5 | F6 | F7 | F8 | F9 | F10 | Average |
| Case A Setting Temperature (°C) | 26.00 | 25.00 | 21.00 | 26.00 | 25.00 | 24.00 | 23.00 | 20.00 | 27.00 | 21.00 | 23.80 |
| Case B Setting Temperature (°C) | 29.00 | 28.00 | 24.00 | 29.00 | 28.00 | 27.00 | 26.00 | 23.00 | 30.00 | 24.00 | 26.80 |
| (b) | |||||||||||
| Respondent ID | M1 | M2 | M3 | M4 | M5 | M6 | M7 | M8 | M9 | M10 | Average |
| Case A Setting Temperature (°C) | 19.00 | 21.00 | 20.00 | 26.00 | 26.00 | 16.00 | 21.00 | 23.00 | 22.00 | 23.00 | 21.70 |
| Case B Setting Temperature (°C) | 22.00 | 24.00 | 23.00 | 29.00 | 29.00 | 19.00 | 24.00 | 26.00 | 25.00 | 26.00 | 24.70 |
| Case | N | Var. | Outdoor Air Temperature, To (°C) | Indoor Air Temperature, Ta (°C) | Globe Temperature, Tg (°C) | ||
|---|---|---|---|---|---|---|---|
| F.L.: 2.0 m | F.L.: 0.7 m, Bed Height | F.L.: 0.4 m | |||||
| Case A | 40 | Mean | 25.8 | 24.5 | 23.0 | 23.0 | 23.2 |
| S.D. | 1.0 | 2.2 | 3.0 | 3.0 | 2.9 | ||
| Case B | 40 | Mean | 25.6 | 25.3 | 24.7 | 24.7 | 24.7 |
| S.D. | 0.7 | 2.0 | 2.5 | 2.6 | 2.4 | ||
| Case | N | Var. | Relative Humidity, RH (%) | Absolute Humidity, AH (g/kg (DA)) | Air Velocity, Va (m/s) | Mean Radiant Temperature, Tmrt (°C) | Operative Temperature, Top (°C) |
|---|---|---|---|---|---|---|---|
| Case A | 40 | Mean | 68 | 12.5 | 0.10 | 23.3 | 23.1 |
| S.D. | 11 | 4.0 | 0.03 | 2.7 | 2.9 | ||
| Case B | 40 | Mean | 74 | 14.8 | 0.11 | 24.8 | 24.7 |
| S.D. | 9 | 3.5 | 0.04 | 2.3 | 2.4 |
| Case | N | Var. | TSV | OC | TA | TP | AMS | AMA | SMS | SMP |
|---|---|---|---|---|---|---|---|---|---|---|
| Case A | 40 | Mean | −0.8 | 4.8 | 1.0 | 0.2 | 2.1 | 0.9 | −0.3 | −0.2 |
| S.D. | 0.9 | 0.7 | 0.2 | 0.6 | 0.6 | 0.3 | 0.5 | 0.5 | ||
| Case B | 40 | Mean | −0.2 | 5.0 | 1.0 | 0.0 | 2.3 | 0.9 | −0.1 | −0.1 |
| S.D. | 0.6 | 0.6 | 0.2 | 0.6 | 0.7 | 0.2 | 0.3 | 0.4 |
| Case | Thermal Preference, TP | Thermal Sensation Vote, TSV (%) | |||||
|---|---|---|---|---|---|---|---|
| −3 | −2 | −1 | 0 | 1 | 2 | ||
| Case A | −1 | 1.7 | 3.3 | 2.5 | |||
| 0 | 5.8 | 25.8 | 30.8 | 1.7 | |||
| 1 | 1.7 | 8.3 | 15.0 | 0.8 | 1.7 | ||
| 2 | 1.7 | 0.8 | 1.7 | ||||
| Case B | −2 | 0.8 | 0.8 | 0.8 | |||
| −1 | 3.3 | 3.3 | 5.0 | ||||
| 0 | 16.7 | 57.5 | 0.8 | ||||
| 1 | 0.8 | 7.5 | 0.8 | ||||
| 2 | 1.7 | ||||||
| Case | α | Tca (°C) | Tcg (°C) | Tcop (°C) | |||
|---|---|---|---|---|---|---|---|
| Mean | S.D. | Mean | S.D. | Mean | S.D. | ||
| Case A (N = 40) | 0.25 | 26.1 | 4.2 | 26.3 | 4.1 | 26.2 | 4.1 |
| 0.33 | 25.3 | 3.7 | 25.5 | 3.6 | 25.5 | 3.5 | |
| 0.50 | 24.5 | 3.2 | 24.7 | 3.1 | 24.7 | 3.1 | |
| Case B (N = 40) | 0.25 | 25.6 | 3.5 | 25.7 | 3.4 | 25.7 | 3.4 |
| 0.33 | 25.3 | 3.1 | 25.5 | 3.0 | 25.4 | 3.0 | |
| 0.50 | 25.1 | 2.8 | 25.2 | 2.7 | 25.2 | 2.7 |
| Case | Tcop (°C) | Top (°C) | ||||||||
|---|---|---|---|---|---|---|---|---|---|---|
| Griffiths’ Method | TSV = 0 | OC = 5 or 6 | ||||||||
| N | Mean | S.D. | N | Mean | S.D. | N | Mean | S.D. | Mean | |
| Case A | 40 | 24.7 | 3.1 | 42 | 23.8 | 2.8 | 99 | 24.5 | 2.9 | 23.1 |
| Case B | 40 | 25.2 | 2.7 | 75 | 24.7 | 2.6 | 101 | 25.0 | 2.7 | 24.7 |
| Case | N | Sleep Calmness | Sleep Satisfaction | Sufficiency of Sleep | Total Number of Times Waking Up during the Night | Reason for Waking Up | ||||||||||
|---|---|---|---|---|---|---|---|---|---|---|---|---|---|---|---|---|
| Mean | S.D. | p-Value | Mean | S.D. | p-Value | Mean | S.D. | p-Value | Mean | S.D. | p-Value | Mean | S.D. | p-Value | ||
| Case A | 40 | 4.1 | 0.6 | 0.297 | 4.0 | 0.8 | 0.825 | 0.9 | 0.3 | 0.754 | 1.2 | 1.2 | 0.585 | 3.9 | 1.7 | 0.863 |
| Case B | 40 | 4.2 | 0.7 | 4.1 | 0.7 | 0.9 | 0.3 | 1.1 | 1.2 | 4.2 | 1.7 | |||||
| Case | N | Scale | Sleep Calmness (%) | Sleep Satisfaction (%) | Sufficiency of Sleep (%) | Total Number of Times of Waking Up at Night (%) | Reason for Waking Up (%) |
|---|---|---|---|---|---|---|---|
| Case A | 40 | 0 | 7.6 | 32.5 | |||
| 1 | 92.5 | 32.5 | 2.5 | ||||
| 2 | 2.5 | 7.5 | 22.5 | 17.5 | |||
| 3 | 10.0 | 10.0 | 5.0 | 7.5 | |||
| 4 | 67.5 | 55.0 | 7.5 | 17.5 | |||
| 5 | 20.0 | 27.5 | 2.5 | ||||
| 6 | 20.0 | ||||||
| Case B | 40 | 0 | 10.0 | ||||
| 1 | 90.0 | 42.5 | 2.5 | ||||
| 2 | 20.0 | 5.0 | |||||
| 3 | 15.0 | 25.0 | 25.0 | 17.5 | |||
| 4 | 52.5 | 45.0 | 10.0 | 7.5 | |||
| 5 | 32.5 | 30.0 | 2.5 | 2.5 | |||
| 6 | 22.5 |
| Case | N | Var. | TIB (h:min) (p = 0.032) | SPT (h:min) (p = 0.05) | WASO (min) (p < 0.001) | SEI (%) (p = 0.002) |
|---|---|---|---|---|---|---|
| Case A | 40 | Mean | 6:57 | 6:35 | 12 | 96 |
| S.D. | 1:25 | 1:27 | 12 | 4 | ||
| Case B | 40 | Mean | 6:29 | 6:07 | 7 | 98 |
| S.D. | 1:15 | 1:12 | 6 | 2 |
Publisher’s Note: MDPI stays neutral with regard to jurisdictional claims in published maps and institutional affiliations. |
© 2021 by the authors. Licensee MDPI, Basel, Switzerland. This article is an open access article distributed under the terms and conditions of the Creative Commons Attribution (CC BY) license (https://creativecommons.org/licenses/by/4.0/).
Share and Cite
Zaki, S.A.; Rosli, M.F.; Rijal, H.B.; Sadzli, F.N.H.; Hagishima, A.; Yakub, F. Effectiveness of a Cool Bed Linen for Thermal Comfort and Sleep Quality in Air-Conditioned Bedroom under Hot-Humid Climate. Sustainability 2021, 13, 9099. https://doi.org/10.3390/su13169099
Zaki SA, Rosli MF, Rijal HB, Sadzli FNH, Hagishima A, Yakub F. Effectiveness of a Cool Bed Linen for Thermal Comfort and Sleep Quality in Air-Conditioned Bedroom under Hot-Humid Climate. Sustainability. 2021; 13(16):9099. https://doi.org/10.3390/su13169099
Chicago/Turabian StyleZaki, Sheikh Ahmad, Mohamad Faizal Rosli, Hom Bahadur Rijal, Farah Nurhanis Hassan Sadzli, Aya Hagishima, and Fitri Yakub. 2021. "Effectiveness of a Cool Bed Linen for Thermal Comfort and Sleep Quality in Air-Conditioned Bedroom under Hot-Humid Climate" Sustainability 13, no. 16: 9099. https://doi.org/10.3390/su13169099
APA StyleZaki, S. A., Rosli, M. F., Rijal, H. B., Sadzli, F. N. H., Hagishima, A., & Yakub, F. (2021). Effectiveness of a Cool Bed Linen for Thermal Comfort and Sleep Quality in Air-Conditioned Bedroom under Hot-Humid Climate. Sustainability, 13(16), 9099. https://doi.org/10.3390/su13169099

