Analysis of Big Game Fishing Catches of Blue Marlin (Makaira nigricans) in the Madeira Archipelago (Eastern Atlantic) and Factors that Affect Its Presence
Abstract
1. Introduction
2. Materials and Methods
2.1. Data Acquisition
2.2. Big Game Fishing in Madeira
2.3. Relationship between CPUE of Blue Marlin and Environmental Variables
3. Results
3.1. Effort and CPUE
3.2. Other Species
3.3. Seasonal and Annual Variation in Blue Marlin Catches
3.4. Estimated Weight Analysis
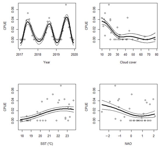
3.5. Relationship between CPUE of Blue Marlin and Environmental Variables
4. Discussion
Author Contributions
Funding
Data Availability Statement
Acknowledgments
Conflicts of Interest
References
- Carlisle, A.B.; Kochevar, R.E.; Arostegui, M.C.; Ganong, J.E.; Castleton, M.; Schratwieser, J.; Block, B.A. Influence of temperature and oxygen on the distribution of blue marlin (Makaira nigricans) in the Central Pacific. Fish. Oceanogr. 2017, 26, 34–48. [Google Scholar] [CrossRef]
- Abitia-Cardenas, L.A.; Galvan-Magaña, F.; Gutierrez-Sanchez, F.J.; Rodriguez-Romero, J.; Aguilar-Palomino, B.; Moehl-Hitz, A. Diet of blue marlin Makaira mazara off the coast of Cabo San Lucas, Baja California Sur, Mexico. Fish. Res. 1999, 44, 95–100. [Google Scholar] [CrossRef]
- Rivas, L.R. Synopsis of biological data on blue marlin, Makaira nigricans Lacepede, 1802. In International Billfish Symposium; Shomura, R.S., Williams, F., Eds.; University of Hawaii Press: Kailua Kona, HI, USA, 1972; pp. 1–16. [Google Scholar]
- Block, B.A.; Booth, D.T.; Carey, F.G. Depth and temperature of the blue marlin, Makaira nigricans, observed by acoustic telemetry. Mar. Biol. 1992, 114, 175–183. [Google Scholar] [CrossRef]
- Nakamura, I. FAO species catalogue. Billfishes of the World. An annotated and illustrated catalogue of marlins, sailfishes, spearfishes and swordfishes known to date. In FAO Fisheries Synopsis; FAO: Rome, Italy, 1985; Volume 5, 65p. [Google Scholar]
- Kerstetter, D.W.; Luckhurst, B.E.; Prince, E.; Graves, J.E. Use of pop-up satellite archival tags to demonstrate survival of blue marlin (Makaira nigricans) released from pelagic longline gear. Fish. Bull. 2003, 101, 939. [Google Scholar]
- Saito, H.; Takeuchi, Y.; Yokawa, K. Vertical distribution of Atlantic blue marlin obtained from pop-up archival tags in the tropical Atlantic Ocean. Collect. Vol. Sci. Pap. ICCAT 2004, 56, 201–211. [Google Scholar]
- Su, N.J.; Sun, C.L.; Punt, A.E.; Yeh, S.Z.; DiNardo, G. Modelling the impacts of environmental variation on the distribution of blue marlin, Makaira nigricans, in the Pacific Ocean. ICES J. Mar. Sci. 2011, 68, 1072–1080. [Google Scholar] [CrossRef]
- Restrepo, V.; Prince, E.D.; Scott, G.P.; Uozumi, Y. ICCAT stock assessments of Atlantic billfish. Mar. Freshwater Res. 2003, 54, 361–367. [Google Scholar] [CrossRef]
- Ehrhardt, N.; Fitchett, M.; FAO. Status of billfish resources and billfish fisheries in the Western Central Atlantic. In FAO Fisheries and Aquaculture Circular No. 1127; FAO: Bridgetown, Barbados, 2016. [Google Scholar]
- Maguire, J.-J.; Sissenwine, M.; Csirke, J.; Grainger, R. The State of the World Highly Migratory, Straddling and other High Seas Fish Stocks, and Associated species; FAO Fisheries Technical Paper, No. 495; FAO: Rome, Italy, 2006. [Google Scholar]
- Graves, J.E.; Luckhurst, B.E.; Prince, E.D. An evaluation of pop-up satellite tags for estimating postrelease survival of blue marlin (Makaira nigricans) from a recreational fishery. Fish. Bull. 2002, 100, 134–142. [Google Scholar]
- Graça, M.J.D. Caracterização da Pesca Grossa na Ilha da Madeira. Ph.D. Thesis, Universidade do Algarve, Faro, Portugal, 2009. [Google Scholar]
- Arlinghaus, R.; Cooke, S.J.; Lyman, J.; Policansky, D.; Schwab, A.; Suski, C.; Sutton, G.; Thorstad, E.B. Understanding the complexity of catch-and-release in recreational fishing: An integrative synthesis of global knowledge from historical, ethical, social, and biological perspectives. Rev. Fish. Sci. 2007, 15, 75–167. [Google Scholar] [CrossRef]
- Vieira, J.C.; Antunes, M.C. Touristic big-game fishing in Saint Michael Island (Azores) Evaluating anglers’ profiles, perceptions about the destination and business revenues. Tour. Econ. 2017, 23, 1362–1368. [Google Scholar] [CrossRef]
- León, C.J.; Araña, J.E.; Melián, A. Tourist use and preservation benefits from big-game fishing in the Canary Islands. Tour. Econ. 2003, 9, 53–65. [Google Scholar] [CrossRef]
- Cacutt, L. The Big-Game Fishing Handbook; Stackpole Books, New Holland Publishers: London, UK, 2000; 160p. [Google Scholar]
- Alvares, D.; Lourenço, J. Modelo de ciclo de vida do turismo: Uma ferramenta para a gestão do turismo rural aplicada à Ilha da Madeira. In Proceedings of the 6 Congresso Brasileiro de Turismo Rural, Cultura no Turismo Rural, Piracicaba, Brasil, 8–11 October 2007; p. 6. [Google Scholar]
- Ortega-García, S.; Klett-Traulsen, A.; Ponce-Díaz, G. Analysis of sport fishing catch rates of striped marlin (Tetrapturus audax) at Cabo San Lucas, Baja California Sur, Mexico, and their relation to sea surface temperature. Mar. Freshwater Res. 2003, 54, 483–488. [Google Scholar] [CrossRef]
- Pollock, K.H.; Hoenig, J.M.; Jones, C.M.; Robson, D.S.; Greene, C.J. Catch rate estimation for roving and access point surveys. N. Am. J. Fish. Manag. 1997, 17, 11–19. [Google Scholar] [CrossRef]
- Hastie, T.J.; Tibshirani, R.J. Generalized Additive Models; Chapman and Hall: London, UK, 1990; 335p. [Google Scholar]
- Wood, S.N. Generalized Additive Models: An Introduction with R; Chapman & Hall/CRC: Boca Raton, FL, USA, 2006; 392p. [Google Scholar]
- Wood, S.N. Modelling and smoothing parameter estimation with multiple quadratic penalties. J. R. Stat. Soc. Ser. B Stat. Methodol. 2000, 62, 413–428. [Google Scholar] [CrossRef]
- R Core Team. R: A Language and Environment For Statistical Computing; R Foundation for Statistical Computing: Vienna, Austria, 2019. [Google Scholar]
- Wood, S.N. Thin plate regression splines. J. R. Stat. Soc. Ser. B Stat. Methodol. 2003, 65, 95–114. [Google Scholar] [CrossRef]
- Akaike, H. Information theory and an extension of the maximum likelihood principle, [w:]. In Proceedings of the 2nd International Symposium on Information theory, Budapest, Hungary, 2–8 September 1971. [Google Scholar] [CrossRef]
- Cooke, S.J.; Cowx, I.G. Contrasting recreational and commercial fishing: Searching for common issues to promote unified conservation of fisheries resources and aquatic environments. Biol. Conserv. 2006, 128, 93–108. [Google Scholar] [CrossRef]
- Pereira, J.G. Note sur la pêche sportive du makaire bleu aux Açores. Collect. Vol. Sci. Pap. ICCAT 1988, 28, 300–301. [Google Scholar]
- Graves, J. Mid-Atlantic $ 500000. Billfish Research and Management News; Virginia Institute of Marine Science: Gloucester Point, VA, USA, 2011. [Google Scholar]
- Avrigian, A.M.; Venizelos, A. Big Game Fishing in the Northern Gulf of Mexico During 1996–2000—NOAA Technical Memorandum NMFS-SEFSC#495; NOAA Fisheries: Miami, FL, USA, 2003. [Google Scholar]
- Venizelos, A. Big Game Tournament Fishing in the Northwestern Atlantic Ocean from 1972–2002—NOAA Technical Memorandum NMFS-SEFSC#512; NOAA Fisheries: Miami, FL, USA, 2003. [Google Scholar]
- Ortega-García, S.; Klett-Traulsen, A.; Rodríguez-Sánchez, R. Some biological aspects of blue marlin (Makaira nigricans) in the recreational fishery at Cabo San Lucas, Baja California Sur, Mexico. Bull. Mar. Sci. 2006, 79, 739–746. [Google Scholar]
- Diaz, G.A.; Ortiz, M. Updated white marlin (Tetrapturus albidus) and blue marlin (Makaira nigricans) catch rates from the US pelagic longline in the northwest Atlantic and Gulf of Mexico 1986–2005. Collect. Vol. Sci. Pap. ICCAT 2007, 60, 1663–1677. [Google Scholar]
- Frédou, T.; Frédou, F.L.; Hazin, F.H.V.; Travassos, P. Length composition and spatio-temporal distribution of blue marlin (Makaira nigricans) in the South Atlantic Ocean. Collect. Vol. Sci. Pap. ICCAT 2012, 68, 1524–1530. [Google Scholar]
- Amorim, A.; Arfelli, C.; Hazin, F.; Antero-Silva, J.; Lessa, R.; Arraes, R. Blue marlin (Makaira nigricans) fisheries off Brazilian coast by national and leased longliners (1971–1991). Collect. Vol. Sci. Pap. ICCAT 1994, 41, 208–213. [Google Scholar]
- Crespo, O. Utilização de habitat e movimentos migratórios do Agulhão Negro (Makaira nigricans) no oceano Atlântico Sul. Master’s Thesis, Universidade Federal de Pernambuco, Recife, Brazil, 2016. [Google Scholar]
- Hinton, M.G. Status of blue marlin in the Pacific Ocean. In Status of Tuna and Billfish Stocks in 1999; Inter-American Tropical Tuna Commission: La Jolla, CA, USA, 2001; pp. 284–319. [Google Scholar]
- Veiga, P.; Xavier, J.C.; Assis, C.A.; Erzini, K. Diet of the blue marlin, Makaira nigricans, off the south coast of Portugal. Mar. Biol. Res. 2011, 7, 820–825. [Google Scholar] [CrossRef]
- Zischke, M.T.; Griffiths, S.P.; Tibbetts, I.R. Catch and effort from a specialised recreational pelagic sport fishery off eastern Australia. Fish. Res. 2012, 127, 61–72. [Google Scholar] [CrossRef]
- Hazin, F.H.; Hazin, H.G.; Travassos, P.; Da Mata Oliveira, I. Standardized catch per unit of effort of white marlin, Tetrapturus albidus, and blue marlin, Makaira nigricans, caught by Brazilian tuna longline fleet. Collect. Vol. Sci. Pap. ICCAT 2007, 60, 1652–1662. [Google Scholar]
- Lehodey, P.; Bertignac, M.; Hampton, J.; Lewis, A.; Picaut, J. El Niño Southern Oscillation and tuna in the western Pacific. Nature. 1997, 389, 715–718. [Google Scholar] [CrossRef]
- Howell, E.A.; Kobayashi, D.R. El Nino effects in the Palmyra Atoll region: Oceanographic changes and bigeye tuna (Thunnus obesus) catch rate variability. Fish. Ocenogr. 2006, 15, 477–489. [Google Scholar] [CrossRef]
- Hurrell, J.W. Decadal trends in the North Atlantic Oscillation: Regional temperatures and precipitation. Science 1995, 269, 676–679. [Google Scholar] [CrossRef]
- Visbeck, M.H.; Hurrell, J.W.; Polvani, L.; Cullen, H.M. The North Atlantic Oscillation: Past, present, and future. Proc. Natl. Acad. Sci. USA 2001, 98, 12876–12877. [Google Scholar] [CrossRef]
- Rubio, C.J.; Macías, D.; Camiñas, J.A.; Fernández, I.L.; Báez, J.C. Effects of the North Atlantic Oscillation on Spanish catches of albacore, Thunnus alalunga, and yellowfin tuna, Thunnus albacares, in the North–east Atlantic Ocean. Anim. Biodivers. Conserv. 2016, 39, 195–198. [Google Scholar] [CrossRef]
- Drinkwater, K.F.; Belgrano, A.; Borja, A.; Conversi, A.; Edwards, M.; Greene, C.H.; Walker, H. The response of marine ecosystems to climate variability associated with the North Atlantic Oscillation. Geophys. Monogr. Am. Geophys. Union. 2003, 134, 211–234. [Google Scholar] [CrossRef]
- Dutton, D.J. Habitat Utilization and Dive Characterization of Blue Marlin (Makaira nigricans) and White Marlin (Kajikia albida) in the Western Atlantic Ocean. Master’s Thesis, Virginia Institute of Marine Science, Gloucester Point, VA, USA, July 2020. [Google Scholar] [CrossRef]
- Skomal, G.B. Evaluating the physiological and physical consequences of capture on post-release survivorship in large pelagic fishes. Fish. Manag. Ecol. 2007, 14, 81–89. [Google Scholar] [CrossRef]
- Cooke, S.J.; Donaldson, M.R.; O’Connor, C.M.; Raby, G.D.; Arlinghaus, R.; Danylchuk, A.J.; Hanson, K.C.; Hinch, S.G.; Clark, T.; Patterson, D.A.; et al. The physiological consequences of catch-and-release angling: Perspectives on experimental design, interpretation, extrapolation and relevance to stakeholders. Fish. Manag. Ecol. 2013, 20, 268–287. [Google Scholar] [CrossRef]
- Musyl, M.K.; Moyes, C.D.; Brill, R.W.; Mourato, B.L.; West, A.; McNaughton, L.M.; Wei Chuan, C.; Chi Lu, S. Postrelease mortality in istiophorid billfish. Can. Spec. Publ. Fish. Aquat. Sci. 2015, 72, 538–556. [Google Scholar] [CrossRef]
- Gaertner, D. Bilan des connaissances sur la pêche des poisons porte-épée (Istiophoridés) dans l’Atlantique nord-ouest. Peche Maritime 1993, 1371, 36–41. [Google Scholar]
- Goodyear, C.P.; Luo, J.; Prince, E.D.; Hoolihan, J.P.; Snodgrass, D.; Orbesen, E.S.; Serafy, J.E. Vertical habitat use of Atlantic blue marlin Makaira nigricans: Interaction with pelagic longline gear. Mar. Ecol. Prog. Ser. 2008, 365, 233–245. [Google Scholar] [CrossRef][Green Version]
- Bordalo-Machado, P.; Fernandes, A.C.; Figueiredo, I.; Moura, O.; Reis, S.; Pestana, G.; Gordo, L.S. The black scabbardfish (Aphanopus carbo Lowe, 1839) fisheries from the Portuguese mainland and Madeira Island. Sci. Mar. 2009, 73, 63–76. [Google Scholar] [CrossRef]
- Pajuelo, J.G.; González, J.A.; Santana, J.I. Bycatch and incidental catch of the black scabbardfish (Aphanopus spp.) fishery off the Canary Islands. Fish. Res. 2010, 106, 448–453. [Google Scholar] [CrossRef]
- Ghosn, D.L.; Collins, D.P.; Gould, A.P. The NSW Game Fish Tournament Monitoring Program 1994–2013: Data Summary and Assessment of Program Role and Design; NSW Department of Primary Industries: Nelson Bay, NSW, Australia, 2015. [Google Scholar]
- Collette, B.B. Coryphaenidae. Dorados. In Guia FAO para Identificación de Especies para los Fines de la Pesca. Pacífico Centro-Oriental; Fischer, W., Krupp, F., Schneider, W., Sommer, C., Carpenter, K.E., Niem, V., Eds.; FAO: Rome, Italy, 1995; Volume 3, pp. 1036–1038. [Google Scholar]
- Cooke, S.J.; Dunlop, W.I.; Macclennan, D.; Power, G. Applications and characteristics of angler diary programmes in Ontario, Canada. Fish. Manag. Ecol. 2000, 7, 473–487. [Google Scholar] [CrossRef]
- Mosindy, T.E.; Duffy, M.J. The use of angler diary surveys to evaluate long-term changes in muskellunge populations on Lake of the Woods, Ontario. Environ. Biol. Fishes 2007, 79, 71–83. [Google Scholar] [CrossRef]
- Goodyear, C.P.; Die, D.; Kerstetter, D.W.; Olson, D.; Prince, E.; Scott, G.P. Habitat standardization of CPUE indices: Research needs. Collect. Vol. Sci. Pap. ICCAT 2003, 55, 613–623. [Google Scholar]





| 2017 | 2018 | 2019 | ||
|---|---|---|---|---|
| Funchal | Private | 3 | 5 | 5 |
| Charter | 9 | 9 | 9 | |
| Calheta | Private | 8 | 8 | 8 |
| Charter | 11 | 12 | 9 |
| 2017 | 2018 | 2019 | |||||||||||||
|---|---|---|---|---|---|---|---|---|---|---|---|---|---|---|---|
| Trips | CPUE | BM CPUE | Trips | CPUE | BM CPUE | Trips | CPUE | BM CPUE | |||||||
| Numbers | Hours | Total (h) | Numbers | Hours | Total (h) | Numbers | Hours | Total (h) | |||||||
| Calheta | 61.7 | 7.1 | 440.9 | 0.057 | 0.033 | 44.6 | 6.9 | 314.9 | 0.033 | 0.015 | 52.8 | 7.2 | 381.8 | 0.08 | 0.048 |
| Funchal | 75.3 | 5.5 | 416.6 | 0.034 | 0.018 | 53.1 | 6 | 321.8 | 0.08 | 0.014 | 39.3 | 6.2 | 235,2 | 0.062 | 0.051 |
| Charter | 67 | 6 | 398.9 | 0.051 | 0.027 | 53 | 6.4 | 331.5 | 0.069 | 0.015 | 48.9 | 6.4 | 314.8 | 0.082 | 0.056 |
| Private | 69.6 | 8 | 556.8 | 0.044 | 0.028 | 39.9 | 7.1 | 306.8 | 0.026 | 0.017 | 47,8 | 7.8 | 375.8 | 0.053 | 0.036 |
| Total | 1192 | 6.5 | 7790.4 | 0.048 | 0.027 | 1048 | 7 | 6983.5 | 0.04 | 0.015 | 857 | 7 | 5760 | 0.07 | 0.05 |
| 2017 | 2018 | 2019 | |
|---|---|---|---|
| White marlin | 18 | 8 | 10 |
| Big eye tuna | 40 | 26 | 18 |
| Wahoo | 32 | 8 | 17 |
| Dolphinfish | 14 | 111 | 35 |
| Year | Average Weight (kg) | SD | n | Min | Max |
|---|---|---|---|---|---|
| 2011 | 322.6 | 61.9 | 9 | 226.8 | 385.6 |
| 2012 | 274.8 | 79.1 | 47 | 100 | 430.9 |
| 2013 | 285.1 | 98.8 | 130 | 112.9 | 476.3 |
| 2014 | 295.8 | 76.9 | 53 | 99.8 | 453.6 |
| 2015 | 319.5 | 74.8 | 130 | 113.4 | 499 |
| 2016 | 301.7 | 72.5 | 59 | 63.5 | 445.9 |
| 2017 | 285.3 | 75 | 168 | 68 | 437.7 |
| 2018 | 287.5 | 70.1 | 84 | 45.4 | 408.2 |
| 2019 | 273.6 | 80.6 | 206 | 90.7 | 453.6 |
| 2011–2019 | 290.4 | 77.3 | 886 | 45.4 | 499 |
| Region | Average Weight (kg) | SD | n | Number of Boats |
|---|---|---|---|---|
| Madeira | 307.79 | 58.57 | 419 | 31 |
| Cape Verde | 290.13 | 60.24 | 825 | 29 |
| Azores | 300.52 | 62.05 | 365 | 17 |
| Canary Islands | 276.94 | 51.77 | 350 | 38 |
| Response | Explanatory | p-Value | Deviance Explained | AIC |
|---|---|---|---|---|
| CPUE | Month | <0.0001 | 78.00 | −218 |
| CPUE | Cloud cover | 0.0002 | 47.40 | −195 |
| CPUE | SST | 0.0007 | 30.90 | −189 |
| CPUE | NAO | 0.0221 | 18.70 | −183 |
| CPUE | Month | 0.0008 | 92.50 | −246 |
| Cloud cover | <0.0001 | |||
| SST | 0.0002 | |||
| Month*Cloud cover | 0.0074 | |||
| Month*SST | 0.0036 |
Publisher’s Note: MDPI stays neutral with regard to jurisdictional claims in published maps and institutional affiliations. |
© 2021 by the authors. Licensee MDPI, Basel, Switzerland. This article is an open access article distributed under the terms and conditions of the Creative Commons Attribution (CC BY) license (https://creativecommons.org/licenses/by/4.0/).
Share and Cite
Martinez-Escauriaza, R.; Pita, P.; de Gouveia, M.L.F.; Gouveia, N.M.A.; Teixeira, E.; de Freitas, M.; Hermida, M. Analysis of Big Game Fishing Catches of Blue Marlin (Makaira nigricans) in the Madeira Archipelago (Eastern Atlantic) and Factors that Affect Its Presence. Sustainability 2021, 13, 8975. https://doi.org/10.3390/su13168975
Martinez-Escauriaza R, Pita P, de Gouveia MLF, Gouveia NMA, Teixeira E, de Freitas M, Hermida M. Analysis of Big Game Fishing Catches of Blue Marlin (Makaira nigricans) in the Madeira Archipelago (Eastern Atlantic) and Factors that Affect Its Presence. Sustainability. 2021; 13(16):8975. https://doi.org/10.3390/su13168975
Chicago/Turabian StyleMartinez-Escauriaza, Roi, Pablo Pita, Maria Lídia Ferreira de Gouveia, Nuno Manuel Abreu Gouveia, Eduardo Teixeira, Mafalda de Freitas, and Margarida Hermida. 2021. "Analysis of Big Game Fishing Catches of Blue Marlin (Makaira nigricans) in the Madeira Archipelago (Eastern Atlantic) and Factors that Affect Its Presence" Sustainability 13, no. 16: 8975. https://doi.org/10.3390/su13168975
APA StyleMartinez-Escauriaza, R., Pita, P., de Gouveia, M. L. F., Gouveia, N. M. A., Teixeira, E., de Freitas, M., & Hermida, M. (2021). Analysis of Big Game Fishing Catches of Blue Marlin (Makaira nigricans) in the Madeira Archipelago (Eastern Atlantic) and Factors that Affect Its Presence. Sustainability, 13(16), 8975. https://doi.org/10.3390/su13168975

