Experimental and Dynamic Analysis of a Small-Scale Double-Acting Four-Cylinder α-Type Stirling Engine
Abstract
:1. Introduction
2. Numerical Model
2.1. Thermodynamic Model
2.2. Dynamic Model
2.3. Performance Assessment
3. Experimental Setup and Methodology
3.1. Stirling Engine Prototype
3.2. Experimental Setup and Methodology
4. Results and Discussions
4.1. Model Validation
4.2. Baseline Case Simulation Results
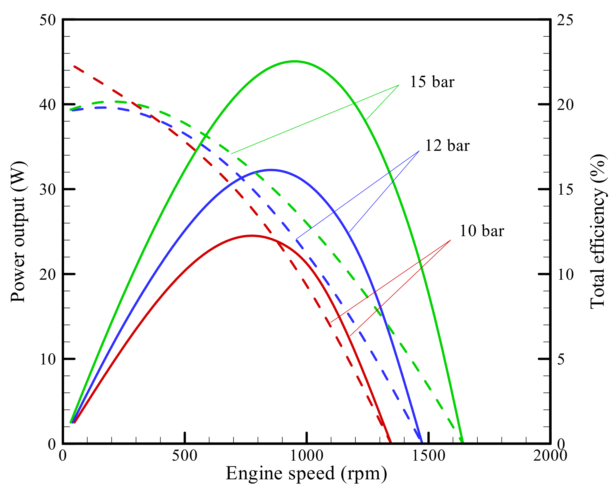
4.3. Parametric Analysis
5. Conclusions
Author Contributions
Funding
Institutional Review Board Statement
Informed Consent Statement
Data Availability Statement
Conflicts of Interest
Nomenclature
| Acceleration vector (m/s2) | |
| Point on wobble yoke mechanism | |
| Point on wobble yoke mechanism | |
| Point on wobble yoke mechanism | |
| Friction loss coefficient (kg·m2/rad) | |
| Friction loss coefficient (kgm2s/rad2) | |
| Constant pressure specific heat (J/kg·K) | |
| Constant volume specific heat (J/kg·K) | |
| Point on wobble yoke mechanism | |
| Change in enthalpy (J) | |
| Mass variation (kg) | |
| Pressure variation (Pa) | |
| Change in heat transfer (J) | |
| Change in internal energy (J) | |
| Volume variation (m3) | |
| Change in pressure work (J) | |
| Point on wobble yoke mechanism | |
| Force vector (N) | |
| Gravitational acceleration (m/s2) | |
| Moment of inertia (kg·m2) | |
| Vector in y direction | |
| Vector in z direction | |
| Mass (kg) | |
| Node number of regenerator | |
| Maximum node number of regenerator | |
| Origin point of wobble yoke mechanism | |
| Average pressure (Pa) | |
| Position vector (m) | |
| Gas constant | |
| Temperature (K) | |
| Volume (m3) | |
| Supercripts and subscripts | |
| Bounce chamber | |
| Compression chamber | |
| Expansion chamber | |
| Friction loss | |
| Working gas | |
| Heater | |
| Time step | |
| Input | |
| Indicated power | |
| Cooler | |
| Loading | |
| Mean value | |
| Piston | |
| Regenerator | |
| Wire mesh of regenerator | |
| Shaft work | |
| Total | |
| Greek letters | |
| Angular acceleration (rad/s2) | |
| Torque (N·m) | |
| Engine speed (rad/s) | |
| Specific ratio (J/kg·K) |
References
- Singh, U.R.; Kumar, A. Review on solar Stirling engine: Development and performance. Therm. Sci. Eng. Prog. 2018, 8, 244–256. [Google Scholar] [CrossRef]
- Ansarinasab, H.; Hajabdollahi, H. Multi-objective optimization of a geothermal-based multigeneration system for heating, power and purified water production purpose using evolutionary algorithm. Energy Convers. Manag. 2020, 223, 113476. [Google Scholar] [CrossRef]
- Hou, M.; Wu, Z.; Yu, G.; Hu, J.; Luo, E. A thermoacoustic Stirling electrical generator for cold exergy recovery of liquefied nature gas. Appl. Energy 2018, 226, 389–396. [Google Scholar] [CrossRef]
- Féniès, G.; Formosa, F.; Ramousse, J.; Badel, A. Double acting Stirling engine: Modeling, experiments and optimization. Appl. Energy 2015, 159, 350–361. [Google Scholar] [CrossRef]
- Wu, Z.; Yu, G.; Zhang, L.; Dai, W.; Luo, E. Development of a 3 kW double-acting thermoacoustic Stirling electric generator. Appl. Energy 2014, 136, 866–872. [Google Scholar] [CrossRef]
- Huo, J.; Wu, H.; Sun, W.; Chen, J.; Wang, L. Improved design of the transmission mechanism of the of 4-cylinder double-acting Stirling engine. J. Vibroengineering 2015, 17, 643–654. [Google Scholar]
- Campos, M.C.; Vargas, J.V.C.; Ordonez, J.C. Thermodynamic optimization of a Stirling engine. Energy 2012, 44, 902–910. [Google Scholar] [CrossRef]
- Carlqvist, S.G.; Gothberg, Y. New concept, hermetically sealed 4-cylinder, double-acting Stirling engine. In Proceedings of the 24th Intersociety Energy Conversion Engineering Conference, Washington, DC, USA, 6–11 August 1989; pp. 2265–2270. [Google Scholar]
- Clucas, D.M. Development of a Stirling Engine Battery Charger Based on a Low Cost Wobble Mechanism. Ph.D. Thesis, University of Canterbury, Christchurch, New Zealand, 1993. [Google Scholar]
- Kojima, H.; Hashimoto, K.; Isshiki, N. Development of Five Cylinder Double Acting Stirling Engine. In Proceedings of the 22nd Intersociety Energy Conversion Engineering Conference, Philadelphia, PA, USA, 10–14 August 1987; American Institute of Aeronautics and Astronautics: Washington, DC, USA, 1987; p. 9160. [Google Scholar]
- Haywood, D.; Raine, J.K.; Gschwendtner, M.A. Investigation of seal performance in a 4-α double-acting Stirling cycle heat-pump/refrigerator. In Proceedings of the 10th International Stirling Engine Conference, Osnabruck, Germany; International Stirling Engine, Universita de Roma: Rome, Italy, 2001; Available online: http://orapp.aut.ac.nz/handle/10292/4941 (accessed on 1 June 2021).
- Daoud, J.M.; Friedrich, D. Design of the multi-cylinder Stirling engine arrangement with self-start capability and reduced vibrations. Appl. Therm. Eng. 2019, 151, 134–145. [Google Scholar] [CrossRef] [Green Version]
- Cheng, C.H.; Tan, Y.H. Numerical optimization of a four-cylinder double-acting stirling engine based on non-ideal adiabatic thermodynamic model and scgm method. Energies 2020, 13, 2008. [Google Scholar] [CrossRef] [Green Version]
- Formosa, F.; Badel, A.; Lottin, J. Equivalent electrical network model approach applied to a double acting low temperature differential Stirling engine. Energy Convers. Manag. 2014, 78, 753–764. [Google Scholar] [CrossRef]
- Korlu, M.; Pirkandi, J.; Maroufi, A. Thermodynamic analysis of a gas turbine cycle equipped with a non-ideal adiabatic model for a double acting Stirling engine. Energy Convers. Manag. 2017, 147, 120–134. [Google Scholar] [CrossRef]
- Cheng, C.H.; Yang, H.S.; Tan, Y.H.; Li, J.H. Modeling of the dynamic characteristics and performance of a four-cylinder double-acting Stirling engine. Int. J. Energy Res. 2021, 45, 4197–4213. [Google Scholar] [CrossRef]
- García-Canseco, E.; Alvarez-Aguirre, A.; Scherpen, J.M. Modeling for control of a kinematic wobble-yoke Stirling engine. Renew. Energy 2015, 75, 808–817. [Google Scholar] [CrossRef]
- Almajri, A.K.; Mahmoud, S.; Al-Dadah, R. Modelling and parametric study of an efficient Alpha type Stirling engine performance based on 3D CFD analysis. Energy Convers. Manag. 2017, 145, 93–106. [Google Scholar] [CrossRef]
- Haikarainen, C.; Tveit, T.M.; Saxén, H.; Zevenhoven, R. Simulation of pressure imbalance phenomena in a double-acting α-cycle Stirling engine. Energy Convers. Manag. 2020, 221, 113172. [Google Scholar] [CrossRef]
- Hachem, H.; Gheith, R.; Aloui, F.; Delprat, S.; Paganelli, S. Energetic and exergetic investigations of an innovative heat recovery exhaust system using a double acting type Stirling engine based on theoretical analysis. Int. J. Exergy 2019, 28, 273–300. [Google Scholar] [CrossRef]
- Pradip, P.K. Commissioning and Performance Analysis of WhisperGen Stirling Engine. Master’s Thesis, University of Windsor, Windsor, ON, Canada, 2016. [Google Scholar]
- Kuehl, H.D. Numerically efficient modelling of non-ideal gases and their transport properties in stirling cycle simulation. In Proceedings of the 17th International Stirling Engine Conference and Exhibition (ISEC), Newcastle upon Tyne, UK, 24–26 August 2016; pp. 572–579. [Google Scholar]
- Ackermann, R.A. Cryogenic Regenerative Heat Exchangers; Springer Science & Business Media: Berlin/Heidelberg, Germany, 2013. [Google Scholar]
- Rohsenow, W.M.; Hartnett, J.P.; Cho, Y.I. Handbook of Heat Transfer; McGraw-Hill: New York, NY, USA, 1998; Volume 3. [Google Scholar]
- Barron, R.F.; Nellis, G.F. Cryogenic Heat Transfer; CRC Press: Boca Raton, FL, USA, 2017. [Google Scholar]
- Johnson, R.W. Handbook of Fluid Dynamics; CRC Press: Boca Raton, FL, USA, 2016. [Google Scholar]















| Working Fluid | Helium | Heater Volume | 9.5 c.c./cylinder |
| Charged Pressure | 10 bar | Regenerator Volume | 11.8 c.c./cylinder |
| Heating Temperature | 1000 K | Cooler Volume | 7.2 c.c./cylinder |
| Cooling Temperature | 315 K | Compression Ratio | 1.4 |
| Cylinder Diameter | 2.5 cm | Stroke | 1.9 cm |
| Engine Speed | 462 rpm–962 rpm | Engine Shaft Power | 16 W–26 W |
Publisher’s Note: MDPI stays neutral with regard to jurisdictional claims in published maps and institutional affiliations. |
© 2021 by the authors. Licensee MDPI, Basel, Switzerland. This article is an open access article distributed under the terms and conditions of the Creative Commons Attribution (CC BY) license (https://creativecommons.org/licenses/by/4.0/).
Share and Cite
Cheng, C.-H.; Tan, Y.-H.; Liu, T.-S. Experimental and Dynamic Analysis of a Small-Scale Double-Acting Four-Cylinder α-Type Stirling Engine. Sustainability 2021, 13, 8442. https://doi.org/10.3390/su13158442
Cheng C-H, Tan Y-H, Liu T-S. Experimental and Dynamic Analysis of a Small-Scale Double-Acting Four-Cylinder α-Type Stirling Engine. Sustainability. 2021; 13(15):8442. https://doi.org/10.3390/su13158442
Chicago/Turabian StyleCheng, Chin-Hsiang, Yi-Han Tan, and Tzu-Sung Liu. 2021. "Experimental and Dynamic Analysis of a Small-Scale Double-Acting Four-Cylinder α-Type Stirling Engine" Sustainability 13, no. 15: 8442. https://doi.org/10.3390/su13158442
APA StyleCheng, C.-H., Tan, Y.-H., & Liu, T.-S. (2021). Experimental and Dynamic Analysis of a Small-Scale Double-Acting Four-Cylinder α-Type Stirling Engine. Sustainability, 13(15), 8442. https://doi.org/10.3390/su13158442

