Beyond Cultural and Historic Values, Sustainability as a New Kind of Value for Historic Buildings
Abstract
:1. Introduction
1.1. Purpose and Significance of the Work
1.2. Context
1.2.1. Main Obstacles to Achieving Energy Efficiency in Protected Historic Buildings
1.2.2. Intervention Strategies to Improve the Energy Performance of Historic Buildings
Improvement of the Envelope’s Thermal Performance through Insulation
Improvement of the Thermal Behavior of the Envelope through Better Comprehension of Thermal Inertia
Energy Efficiency, Thermal Comfort, and Interior Environmental Comfort
1.2.3. Methods for Establishing Intervention Criteria for Protected Historic Buildings, Achieving a Balance between the Preservation of Cultural Values and Energy Efficiency
2. Materials and Methods
2.1. Case Study
2.2. Method
2.2.1. Preliminary Studies to Obtain General and Detailed Knowledge of the Building
2.2.2. Assessment of Building Performance
2.2.3. Recognition of Cultural Values
2.2.4. Definition of Intervention Criteria
Thermal Insulation
Carpentry Substitution
Ventilation
Thermal Facilities
2.2.5. Analysis of Intervention Effects on Protected Elements of the Building
Envelope
Carpentries
Ventilation
Thermal Facilities
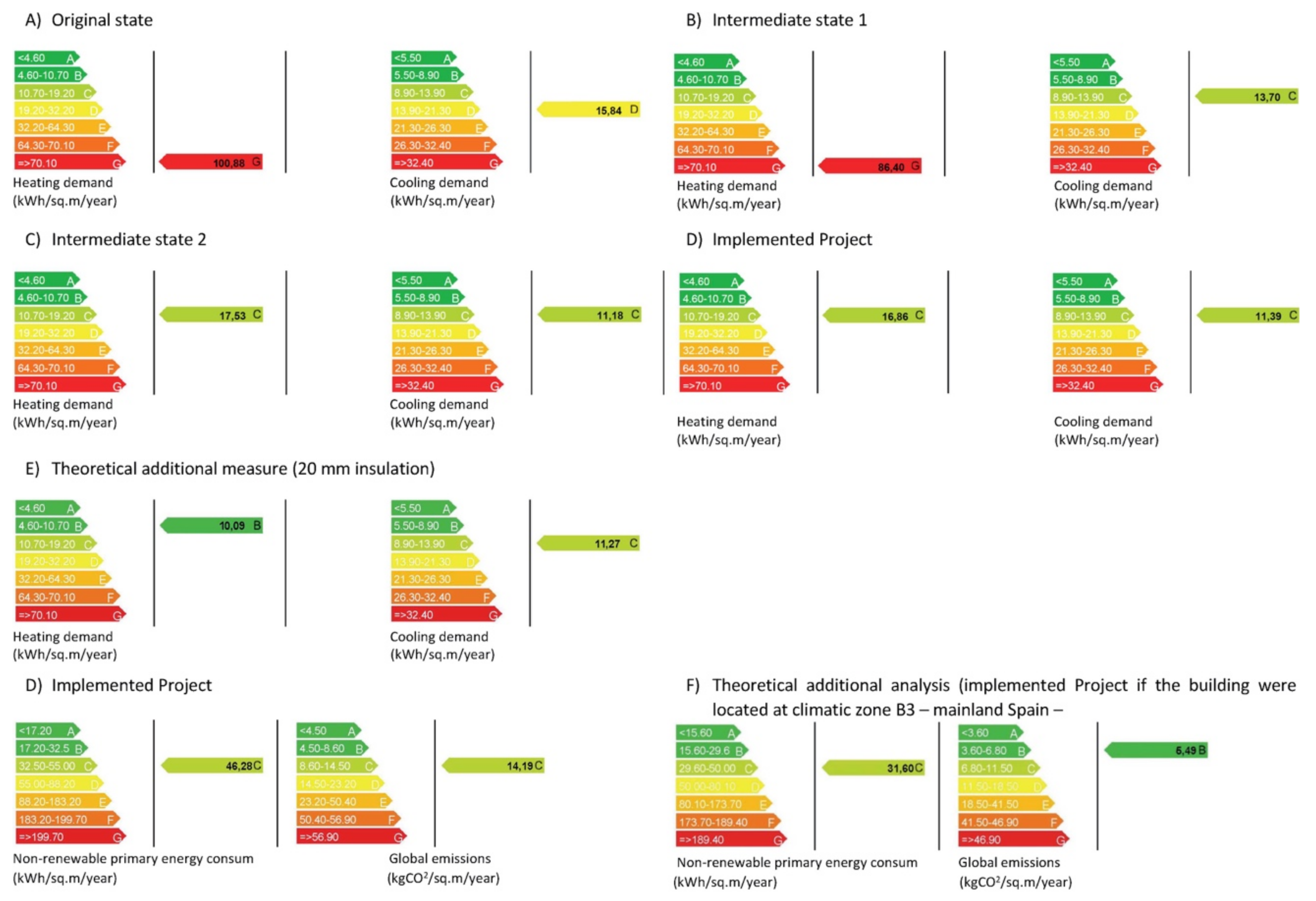
3. Results
- A.
- Original state.
- B.
- Intermediate state 1.
- C.
- Intermediate state 2.
- D.
- Executed state.
- E.
- Hypothetical solution of increasing thermal insulation for the façades.
- F.
- Hypothetical approach considering the building located in the Peninsula.
4. Discussion
4.1. Beyond the Energy Efficiency of Historic Buildings
4.2. A General Approach to Historical Buildings
5. Conclusions
Author Contributions
Funding
Institutional Review Board Statement
Informed Consent Statement
Data Availability Statement
Acknowledgments
Conflicts of Interest
References
- Evangelista, R.; Ramalho, E.A.; Andrade e Silva, J. On the use of hedonic regression models to measure the effect of energy efficiency on residential property transaction prices: Evidence for Portugal and selected data issues. Energy Econ. 2020, 86, 104699. [Google Scholar] [CrossRef] [Green Version]
- Sánchez, E.C.; Berrio, S.S.; Perez, B.O.; Marmolejo-Duarte, C. Perceived Benefits of Energy Efficiency in the Spanish Residential Market and Their Relation to Sociodemographic and Living Conditions. Appl. Sci. 2021, 11, 875. [Google Scholar] [CrossRef]
- Marmolejo-Duarte, C.; García-Hooghuis, A.; García-Masià, A. ¿Cuánto y por qué estamos dispuestos a pagar por hogares con eficiencia energética? Un análisis de preferencias declaradas en Barcelona. ACE 2020. [Google Scholar] [CrossRef]
- Koster, H.R.A.; van Ommeren, J.N.; Rietveld, P. Historic amenities, income and sorting of households. J. Econ. Geogr. 2016, 16, 203–236. [Google Scholar] [CrossRef]
- Onecha, B.; Dotor, A. Simulation Method to Assess Thermal Comfort in Historical Buildings with High-Volume Interior Spaces: The Case of the Gothic Basilica of Sta. Maria del Mar in Barcelona. Sustainability 2021, 13, 2980. [Google Scholar] [CrossRef]
- Chiesa, G. Bioclimatic Approaches in urban and Building Design, 1st ed.; Springer: Berlin/Heidelberg, Germany, 2021. [Google Scholar]
- Available online: https://ec.europa.eu/energy/eu-buildings-database_en (accessed on 6 February 2021).
- RIBuild_D6.2_v0.1. H2020-EE-03-2014. Written Guidelines for Decision Making Concerning the Possible Use of Internal Insulation in Historic Buildings. 2020. Available online: https://www.ribuild.eu/about-ribuild (accessed on 4 July 2021).
- Bottino-Leone, D.; Larcher, M.; Herrera-Avellanosa, D.; Haas, F. Evaluation of natural-based internal insulation systems in historic buildings through a holistic approach. Energy 2019, 181, 521–531. [Google Scholar] [CrossRef]
- Galatioto, A.; Ricciu, R.; Salem, T.; Kinab, E. Energy and economic analysis on retrofit actions for Italian public historic buildings. Energy 2019, 176, 58–66. [Google Scholar] [CrossRef]
- Cornaro, C.; Puggioni, V.A.; Strollo, R.M. Dynamic simulation and on-site measurements for energy retrofit of complex historic buildings: Villa Mondragone case-study. J. Build. Eng. 2016, 6, 17–28. [Google Scholar] [CrossRef]
- Akkurt, G.G.; Aste, N.; Borderon, J.; Buda, A.; Calzolari, M.; Chung, D.; Costanzo, V.; del Pero, C.; Evola, G.; Huerto-Cardenas, H.E.; et al. Dynamic thermal and hygrometric simulation of hitorical buildings: Critical factors and possible solutions. Renew. Sustain. Energy Rev. 2020, 118, 109509. [Google Scholar] [CrossRef]
- Huerto-Cardenas, H.E.; Leonforte, F.; Aste, N.; del Pero, C.; Evola, G.; Costanzo, V.; Lucchi, E. Validation of dynamic hygrothermal simulation models for historical buildings: State of the art, research challenges and recommendations. Build. Environ. 2020, 180, 107081. [Google Scholar] [CrossRef]
- Lucchi, E.; Delera, A.C. Enhancing the Historic Public Social Housing through a User-Centered Design-Driven Approach. Buildings 2020, 10, 159. [Google Scholar] [CrossRef]
- Caro, R.; Sendra, J.J. Are the dwelling of historic Mediterranean cities cold in winter? A field assessment on their door environment and energy performance. Energy Build. 2020, 230, 110567. [Google Scholar] [CrossRef]
- Blázquez, T.; Ferrari, S.; Suárez, R.; Sendra, J.J. Adaptive approach-based assessment of a heritage residential complex in southern Spain for improving comfort and energy efficiency through passive strategies: A study based on a monitored flat. Energy 2019, 181, 504–520. [Google Scholar] [CrossRef]
- Andersen, R.K.; Fabi, V.; Corgnati, S. Predicted and actual indoor environmental quality: Verification of occupants’ behaviour models in residential buildings. Energy Build. 2016, 127, 105–115. [Google Scholar] [CrossRef] [Green Version]
- Webb, A.L. Energy retrofits in historic and traditional buildings: A review of problems and methods. Renew. Sustain. Energy Rev. 2017, 77, 748–759. [Google Scholar] [CrossRef]
- Salem, R.; Bahadori-Jahromi, A.; Mylona, A.; Godfrey, P.; Cook, D. Investigating the potential impact of energy-efficient measures for retrofitting existing UK hotels to reach the nearly zero energy building (nZEB) standard. Energy Effic. 2019, 12, 1577–1594. [Google Scholar] [CrossRef]
- Ciulla, G.; Galatioto, A.; Ricciu, R. Energy and economic analysis and feasibility of retrofit actions in Italian residential historical buildings. Energy Build. 2016, 128, 649–659. [Google Scholar] [CrossRef]
- Kisilewicz, T. On the role of external walls in the reduction of energy demand and the mitigation of human thermal discomfort. Sustainability 2019, 11, 1061. [Google Scholar] [CrossRef] [Green Version]
- Zhou, X.; Carmeliet, J.; Derome, D. Influence of envelope properties on interior insulation solutions for masonry walls. Build. Environ. 2018, 135, 246–256. [Google Scholar] [CrossRef]
- Andreotti, M.; Calzolari, M.; Davoli, P.; Pereira, L.D.; Lucchi, E.; Malaguti, R. Design and Construction of a New Metering Hot Box for the In Situ Hygrothermal Measurement in Dynamic Conditions of Historic Masonries. Energies 2020, 13, 2950. [Google Scholar] [CrossRef]
- Martínez-Molina, A.; Tort-Ausina, I.; Cho, S.; Vivancos, J.L. Energy efficiency and thermal confort in historic buildings: A review. Renew. Sustain. Energy Rev. 2016, 61, 70–85. [Google Scholar] [CrossRef]
- Assem, E.O. Correlating thermal transmittance limits of walls and roofs to orientation and solar absorption. Energy Build. 2011, 43, 3173–3180. [Google Scholar] [CrossRef]
- Asan, H. Investigation of wall’s optimum insulation position from maximum time lag and minimum decrement factor point of view. Energy Build. 2000, 32, 197–203. [Google Scholar] [CrossRef]
- Aste, N.; Angelotti, A.; Buzzettin, M. The influence of external walls thermal inertia on the energy performance of well insulated buildings. Energy Build. 2009, 41, 1181–1187. [Google Scholar] [CrossRef]
- Gagliano, A.; Patania, F.; Nocera, F.; Signorello, C. Assessment of the dynamic thermal performance of massive buildings. Energy Build. 2013, 72, 361–370. [Google Scholar] [CrossRef]
- Roque, E.; Vicente, R.; Almeida, R.; da Silva, J.M.; Ferreira, A.V. Thermal characterization of traditional Wall solution of built heritage using the simple hot box-heat flow meter method: In situ measurements and numerical simulation. Appl. Therm. Eng. 2020, 169, 114935. [Google Scholar] [CrossRef]
- Dotor, A.; González, J.L.; Olona, J.; Onecha, B. Eficiència energética i valors partrimonials: Conflictes i solucions. L´Informatiu 2013, 336, 84–87. [Google Scholar]
- Evola, G.; Marletta, L.; Natarajan, S.; Patanè, E.M. Thermal inertia of heavyweight traditional buildings: Experimental measurements and simulated scenarios. Energy Procedia 2017, 133, 42–52. [Google Scholar] [CrossRef]
- Gagliano, A.; Nocera, F.; Patania, F.; Moschella, A.; Detommasso, M.; Evola, G. Synergic effects of thermal mass and natural ventilation on the thermal behavior of traditional massive buildings. Int. J. Sustain. Energy 2014. [Google Scholar] [CrossRef]
- Piasecki, M.; Radziszewska-Zielina, E.; Czerski, P.; Fedorczak-Cisak, M.; Zielina, M.; Krzysciak, P.; Kwasniewska-Sip, P.; Grzeskowiak, W. Implementation of the Indoor Environmental Quality (IEQ) Model for the Assessment of a Retrofitted Historical Masonry Building. Energies 2020, 13, 6051. [Google Scholar] [CrossRef]
- Ortiz, M.; Itard, L.; Bluyssen, P.M. Indoor environmental quality related risk factors with energy-efficient retrofitting of housing: A literature review. Energy Build. 2020, 221, 110102. [Google Scholar] [CrossRef]
- Magrini, A.; Franco, G. The energy performance improvement of historic buildings and their environmental sustainability assessment. J. Cult. Herit. 2016, 21, 834–841. [Google Scholar] [CrossRef]
- Shrubsole, C.; Hamilton, I.G.; Zimmermann, N.; Papachristos, G.; Broyd, T.; Burman, E.; Mumovic, D.; Zhu, Y.; Lin, B.; Davies, M. Bridging the gap: The need for a system thinking approach in understanding and addressing energy and environmental performance in buildings. Indoor Built Environ. 2019, 18, 100–117. [Google Scholar] [CrossRef] [Green Version]
- Kamaruzzaman, S.N.; Egbu, C.O.; Ahmad, E.M.; Shah, A.; Irfan, A. The effect of indoor environmental quality on occupants perception of performance: A case study of refurbished historic buildings in Malaysia. Energy Build. 2011, 43, 407–413. [Google Scholar] [CrossRef]
- Fabbri, K.; Tronchin, L. Indoor environmental quality in low energy buildings. Energy Procedia 2015, 78, 2778–2783. [Google Scholar] [CrossRef] [Green Version]
- Lucchi, E. Review of preventive conservation in museum buildings. J. Cult. Herit. 2018, 29, 180–193. [Google Scholar] [CrossRef]
- Fabbri, K.; Bonora, A. Two new índices for preventive conservation of the cultural heritage: Predicted risk of damage and heritage microclimate risk. J. Cult. Herit. 2021, 47, 208–217. [Google Scholar] [CrossRef]
- Pereira, L.D.; Tavares, V.; Soares, N. Up-to-Date Challenges for the COnservation, Rehabilitation and Energy Retrofitting of Higher Education Cultural Heritage Buildings. Sustainability 2021, 13, 2061. [Google Scholar] [CrossRef]
- Geng, Y.; Ji, W.; Lin, B.; Zhu, Y. The impact of thermal environment on occupant IEQ perception and productivity. Build. Environ. 2017, 121, 158–167. [Google Scholar] [CrossRef]
- Hobday, R. Indoor Environmental Quality in Refurbishment; Historic Scotland Technical Paper 12; Publishing Historic Environment Scotland: Edinburgh, UK, 2011. [Google Scholar]
- Halliday, S. Indoor Air Quality and Energy Efficiency in Traditional Buildings; Historic Scotland Technical Paper 6; Publishing Historic Environment Scotland: Edinburgh, UK, 2009. [Google Scholar]
- Audenaert, G.L.A.; Braet, J.; Fabbri, K.; Weeren, A. Sybtgetuc Scan and Simultaneous Index aimed at the Indoor Environmental Quality evaluation and certification for people and artworks in heritage buildings. Energy Procedia 2015, 78, 1365–1370. [Google Scholar] [CrossRef] [Green Version]
- Alonso, A.; Patricio, J.; Suárez, R.; Escandón, R. Acoustical retrofit of existing residential buildings: Requirements and recommendations for sound insulation between dwellings in Europe and other countries worldwide. Build. Environ. 2020, 174, 106771. [Google Scholar] [CrossRef]
- Larsen, T.S.; Rohde, L.; Honsson, K.T.; Rasmussen, B.; Jensen, R.L.; Knudsen, H.N.; Witterseh, T.; Bekö, G. IEQ-Compass—A tool for holistic evaluation of potential indoor environmental quality. Build. Environ. 2020, 172, 106707. [Google Scholar] [CrossRef]
- Suk-Kyung, K. Indoor Environmental Quality Assessment of Historic Buildings in the State park: A Case Study in Michigan. J. Sustain. Dev. 2018, 11. [Google Scholar] [CrossRef]
- Boarin, P.; Dotor, A.; Onecha, B. New horizons of sustainability for historic heritage restoration with high cultural values. The case study of Sant Manuel pavilion of Hospital de Sant Pau in Barcelona. Recuperoeconservazione 2014, 112, 22. [Google Scholar]
- Mazzola, E.; Mora, T.D.; Peron, F.; Romagnoni, P. An Integrated Energy and Environmental Audit Process for Historic Buildings. Energies 2019, 12, 3940. [Google Scholar] [CrossRef] [Green Version]
- Boarin, P.; Lucchi, E.; Zuppiroli, M. An Assessement Method for Certified Environmental Sustainability in the Preservation of Historic Buildings. A Focus on Energy Efficiency and Indoor Environmental Quality in the Italina Experience of GBC Historic Building. Restor. Build. Monum. 2019. [Google Scholar] [CrossRef]
- Tadeu, S.; Rodrigues, C.; Tadeu, A.; Freire, F.; Simoes, N. Energy retrofit of historic buildings: Environmental assessment of cost-optimal solutions. J. Build. Eng. 2015, 4, 167–176. [Google Scholar] [CrossRef]
- Mazzarella, L. Energy retrofit of historic and existing buildings. The legislative and regulatory point of view. Energy Build. 2015, 95, 23–31. [Google Scholar] [CrossRef]
- Ruggeri, A.G.; Calzolari, M.; Scarpa, M.; Gabrielli, L.; Davoli, P. Planning energy retrofit on historic building stocks: A score-driven decision support system. Energy Build. 2020, 224, 110066. [Google Scholar] [CrossRef]
- Eriksson, P.; Hrabovszky-Horváth, S.; Hermann, C.; Rodwell, D. EFFESUS Methodology for Assessing the Impacts of Energy-Related Retrofit Measures on Heritage Significance. Hist. Environ. Policy Pract. 2014, 5, 132–149. [Google Scholar] [CrossRef]
- Hermann, C.; Rodwell, D. Heritage significance assessments to evaluate retrofit impacts: From heritage values to character-defining elements in praxis. In How to Assess Built Heritage? Assumptions, Methodologies, Examples of Heritage Assessment Systems; International Scientific Committee for Theory and Philosophy of Conservation and Restoration ICOMOS, Romualdo Del Bianco Foundatione, Lublin University of Technology: Lublin, Poland, 2015; pp. 169–190. ISBN 978-83-940280-3-9. [Google Scholar]
- European Standard EN16883:2017 Conservation of Cultural Heritage. In Guidelines for Improving the Energy Performance of Historic Buildings, Provides a Holistic Approach to Energy Efficiency in Historic Buildings; Official Spanish Version: UNE-EN 16883; Pub. AENOR: Madrid, Spain, 2018.
- Buda, A.; de Place Hansen, E.J.; Rieser, A.; Giancola, E.; Pracchi, V.N.; Mauri, S.; Marincioni, V.; Gori, V.; Fouseki, K.; López, C.S.P.; et al. Conservation-Compatible Retrofit Solutions in Historic Buildings: An Integrated Approach. Sustainability 2021, 13, 2927. [Google Scholar] [CrossRef]
- LIDER-CALENER (HULC) v.2.0.2203.1160. Available online: https://www.codigotecnico.org/Programas/HerramientaUnificadaLIDERCALENER.html (accessed on 4 July 2021).
- Onecha, B.; Genís, M.; González, J.L.; Casals, A.; Portal, J.; Morros, J. Las Claves de la Rehabilitación y Restauración Arquitectónica. Volumen 1: El Método Sistémico Aplicado a la Intervención en Edificios Existentes; Universitat Politecnica de Catalunya: Barcelona, Spain, 2018; ISBN 978-84-09-04305-7. [Google Scholar]
- Mora, T.D.; Cappelletti, F.; Peron, F.; Romagnoni, F.; Bauman, F. Retrofit of an historical building toward NZEB. Energy Procedia 2015, 78, 1359–1364. [Google Scholar] [CrossRef] [Green Version]
- Wilson, C.; Dowlatabadi, H. Models of Decision Making and Residential Energy Use. Annu. Rev. Environ. Resour. 2007, 32, 169–203. [Google Scholar] [CrossRef]









| Element | Configuration | Theoretical Thermal Transmittance |
|---|---|---|
| Inclined roofs | Wooden beam floor + Marès stone beam filling + Arabic tiles | 2.01 W/m2K |
| Terraced roofs | Wooden beam floor + Marès stone beam filling + slope-providing layer + waterproofing + pavement | 1.4 W/m2K |
| Slabs to ground | Compacted earth + mortar layer + pavement | 1.04 W/m2K |
| Floor to air, 1 | Stone vault + rubble filling + pavement | 2.07–2.12 W/m2K |
| Floor to air, 2 | Wooden or iron beam floor + Marès stone beam filling + pavement | 1.86–1.92 W/m2K |
| Façades, opaque part | Masonry walls with blocks of Marès stone, t = 20–55 cm. Outside layer of lime mortar; inside plaster | 2.33–3.21 W/m2K |
| Configuration | Theoretical Thermal Transmittance | Solar Factor | Absorptivity | Permeability | |
|---|---|---|---|---|---|
| Windows | Wood frame + single glass | Glass = 5.7 Frame = 2.0 | 0.85 | 0.7 | 50 m3/hm2 at 100 Pa |
| Construction Element | Insulation Thickness | Total Thermal Transmittance |
|---|---|---|
| Ground floor slab | 90 mm | 0.28 W/m2K |
| Outer slabs | 30 mm | 0.42 W/m2K |
| Sloping roofs | 100 mm | 0.28 W/m2K |
| Terrace roofs | 100 mm | 0.22 W/m2K |
| Façades | 75 mm | 0.35 W/m2K |
| Theoretical Thermal Transmittance | Solar Factor | Permeability | |
|---|---|---|---|
| Windows Low e glass | Glass = 1.4 Frame = 2.0 | 0.45 | 3 m3/hm2 |
Publisher’s Note: MDPI stays neutral with regard to jurisdictional claims in published maps and institutional affiliations. |
© 2021 by the authors. Licensee MDPI, Basel, Switzerland. This article is an open access article distributed under the terms and conditions of the Creative Commons Attribution (CC BY) license (https://creativecommons.org/licenses/by/4.0/).
Share and Cite
Onecha, B.; Dotor, A.; Marmolejo-Duarte, C. Beyond Cultural and Historic Values, Sustainability as a New Kind of Value for Historic Buildings. Sustainability 2021, 13, 8248. https://doi.org/10.3390/su13158248
Onecha B, Dotor A, Marmolejo-Duarte C. Beyond Cultural and Historic Values, Sustainability as a New Kind of Value for Historic Buildings. Sustainability. 2021; 13(15):8248. https://doi.org/10.3390/su13158248
Chicago/Turabian StyleOnecha, Belén, Alicia Dotor, and Carlos Marmolejo-Duarte. 2021. "Beyond Cultural and Historic Values, Sustainability as a New Kind of Value for Historic Buildings" Sustainability 13, no. 15: 8248. https://doi.org/10.3390/su13158248
APA StyleOnecha, B., Dotor, A., & Marmolejo-Duarte, C. (2021). Beyond Cultural and Historic Values, Sustainability as a New Kind of Value for Historic Buildings. Sustainability, 13(15), 8248. https://doi.org/10.3390/su13158248

