Bacteria Isolated from Wastewater Irrigated Agricultural Soils Adapt to Heavy Metal Toxicity While Maintaining Their Plant Growth Promoting Traits
Abstract
1. Introduction
2. Materials and Methods
2.1. Soil Sampling
2.2. Isolation of Bacteria
2.3. Screening of Heavy Metal Tolerant Plant Growth Promoting Bacteria
2.4. Detection of Plant Growth Promoting Traits
2.4.1. Nutrient Solubilization
2.4.2. Detection of Nitrogen Fixation Potential
2.4.3. Siderophore and Protease Production
2.5. Heavy Metal Tolerance Assay
2.5.1. Preparation of Stock Solutions
2.5.2. Determination of Minimum Inhibitory Concentration
2.6. In Vitro Heavy Metal Removal Assay
- Ci = initial concentration of heavy metal (control).
- C = concentration of heavy metal in the supernatant after incubation.
2.7. Molecular Identification of Bacterial Strains
2.8. Detection of Nitrogen Fixing (nif) Genes in Putative Nitrogen Fixing Bacteria
2.9. Statistical Analysis
3. Results
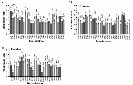
3.1. Nutrient Solubilization
3.2. Nitrogen Fixation Potential by Plate Assay
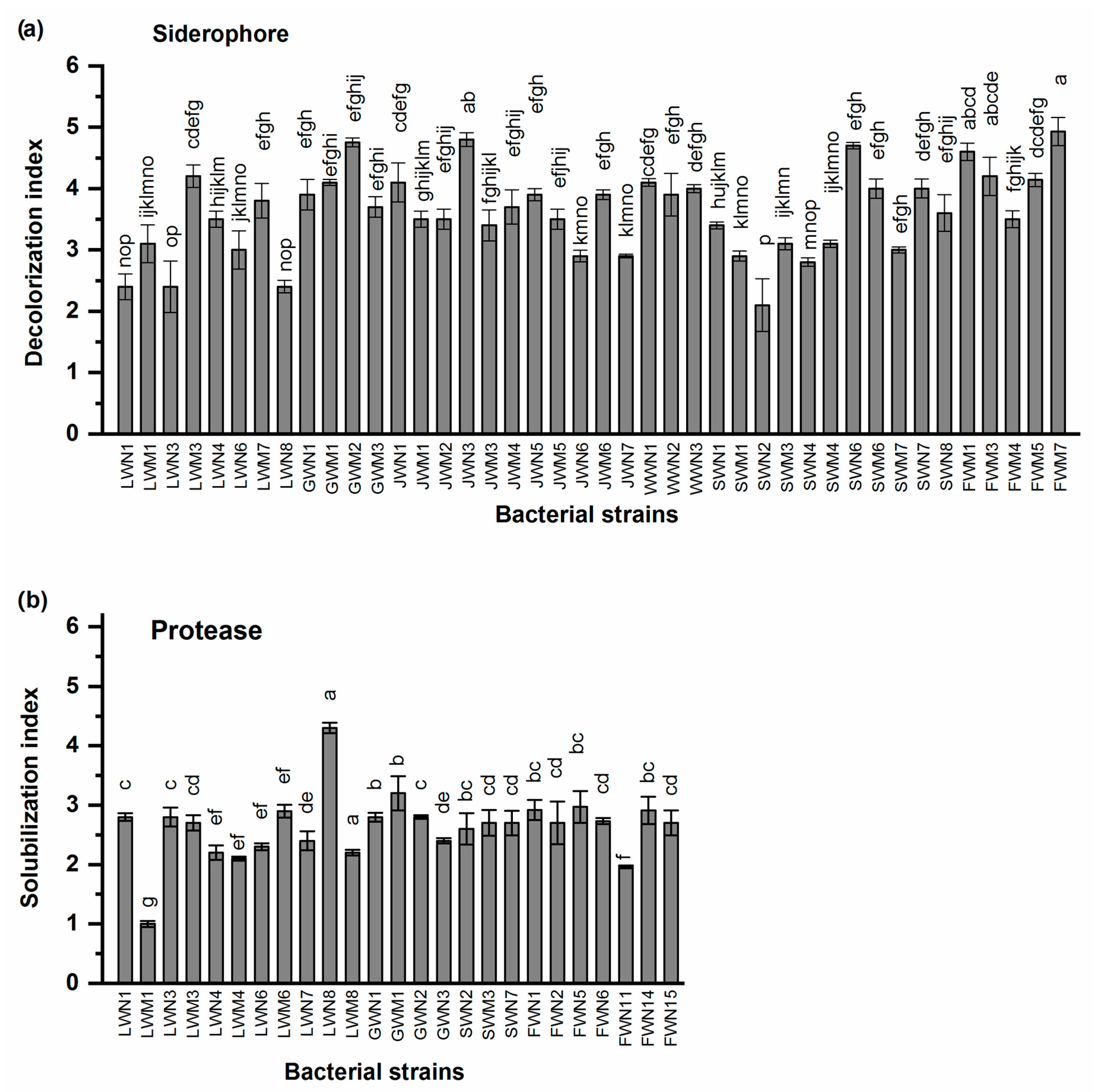
3.3. Siderophore and Protease Production
3.4. Minimum Inhibitory Concentration of Tested Heavy Metals
3.5. In Vitro Heavy Metal Removal by Bacterial Strains
3.6. Molecular Identification of Bacterial Isolates
3.7. Amplification of Nitrogen Fixing (nif) Gene
4. Discussion
5. Conclusions
Supplementary Materials
Author Contributions
Funding
Institutional Review Board Statement
Informed Consent Statement
Data Availability Statement
Acknowledgments
Conflicts of Interest
References
- Vallino, E.; Ridolfi, L.; Laio, F. Measuring economic water scarcity in agriculture: A cross-country empirical investigation. Environ. Sci. Policy 2020, 114, 73–85. [Google Scholar] [CrossRef]
- Valipour, M.; Singh, V.P. Global experiences on wastewater irrigation: Challenges and prospects. In Balanced Urban Development: Options and Strategies for Liveable Cities; Springer: Berlin/Heidelberg, Germany, 2016; pp. 289–327. [Google Scholar]
- Anwar, S.; Nawaz, M.F.; Gul, S.; Rizwan, M.; Ali, S.; Kareem, A. Uptake and distribution of minerals and heavy metals in commonly grown leafy vegetable species irrigated with sewage water. Environ. Monit. Assess. 2016, 188, 541. [Google Scholar] [CrossRef] [PubMed]
- Jiang, J.; Pan, C.; Xiao, A.; Yang, X.; Zhang, G. Isolation, identification, and environmental adaptability of heavy-metal-resistant bacteria from ramie rhizosphere soil around mine refinery. 3 Biotech 2017, 7, 5. [Google Scholar] [CrossRef]
- Ayangbenro, A.S.; Babalola, O.O. A new strategy for heavy metal polluted environments: A review of microbial biosorbents. Int. J. Environ. Res. Public Health 2017, 14, 94. [Google Scholar] [CrossRef] [PubMed]
- Khalid, S.; Shahid, M.; Bibi, I.; Sarwar, T.; Shah, A.H.; Niazi, N.K. A review of environmental contamination and health risk assessment of wastewater use for crop irrigation with a focus on low and high-income countries. Int. J. Environ. Res. Public Health 2018, 15, 895. [Google Scholar] [CrossRef]
- Yadav, B.K.; Sidhu, A.S. Dynamics of potassium and their bioavailability for plant nutrition. In Potassium Solubilizing Microorganisms for Sustainable Agriculture; Springer: Berlin/Heidelberg, Germany, 2016; pp. 187–201. [Google Scholar]
- Krishnamoorthy, R.; Venkateswaran, V.; Senthilkumar, M.; Anandham, R.; Selvakumar, G.; Kim, K.; Kang, Y.; Sa, T. Potential Microbiological Approaches for the Remediation of Heavy Metal-Contaminated Soils. In Plant-Microbe Interactions in Agro-Ecological Perspectives; Springer: Berlin/Heidelberg, Germany, 2017; pp. 341–366. [Google Scholar]
- Sharma, S.; Tiwari, S.; Hasan, A.; Saxena, V.; Pandey, L.M. Recent advances in conventional and contemporary methods for remediation of heavy metal-contaminated soils. 3 Biotech 2018, 8, 216. [Google Scholar] [CrossRef]
- Wang, T.; Sun, H.; Ren, X.; Li, B.; Mao, H. Evaluation of biochars from different stock materials as carriers of bacterial strain for remediation of heavy metal-contaminated soil. Sci. Rep. 2017, 7, 12114. [Google Scholar] [CrossRef]
- Beškoski, V.P.; Gojgić-Cvijović, G.; Milić, J.; Ilić, M.; Miletić, S.; Šolević, T.; Vrvić, M.M. Ex situ bioremediation of a soil contaminated by mazut (heavy residual fuel oil)–A field experiment. Chemosphere 2011, 83, 34–40. [Google Scholar] [CrossRef]
- Ajao, A.; Adebayo, G.; Yakubu, S. Bioremediation of Textile Industrial Effluent using mixed culture of Pseudomonas aeruginosa and Bacillus subtilis immobilized on agaragar in a Bioreactor. J. Microbiol. Biotechnol. 2017, 1, 50–56. [Google Scholar]
- Reitz, T.; Merroun, M.L.; Selenska-Pobell, S. Interactions of Paenibacillus sp. and Sulfolobus acidocaldarius strains with U (VI). In Uranium, Mining and Hydrogeology; Springer: Berlin/Heidelberg, Germany, 2008; pp. 703–710. [Google Scholar]
- Ahemad, M.; Malik, A. Bioaccumulation of heavy metals by zinc resistant bacteria isolated from agricultural soils irrigated with wastewater. Bacteriol. J. 2011, 2, 12–21. [Google Scholar] [CrossRef]
- Llorens, I.; Untereiner, G.; Jaillard, D.; Gouget, B.; Chapon, V.; Carriere, M. Uranium interaction with two multi-resistant environmental bacteria: Cupriavidus metallidurans CH34 and Rhodopseudomonas palustris. PLoS ONE 2012, 7, e51783. [Google Scholar] [CrossRef] [PubMed]
- Etesami, H. Bacterial mediated alleviation of heavy metal stress and decreased accumulation of metals in plant tissues: Mechanisms and future prospects. Ecotoxicol. Environ. Saf. 2018, 147, 175–191. [Google Scholar] [CrossRef] [PubMed]
- Kidd, P.S.; Alvarez-Lopez, V.; Becerra-Castro, C.; Cabello-Conejo, M.; Prieto-Fernandez, A. Potential role of plant-associated bacteria in plant metal uptake and implications in phytotechnologies. Adv. Bot. Res. 2017, 83, 87–126. [Google Scholar] [CrossRef]
- Ullah, A.; Heng, S.; Munis, M.F.H.; Fahad, S.; Yang, X. Phytoremediation of heavy metals assisted by plant growth promoting (PGP) bacteria: A review. Environ. Exp. Bot. 2015, 117, 28–40. [Google Scholar] [CrossRef]
- Okalebo, J.R.; Gathua, K.W.; Woomer, P.L. Laboratory Methods of Soil and Plant Analysis: A Working Manual Second Edition. Available online: https://www.google.com.hk/url?sa=t&rct=j&q=&esrc=s&source=web&cd=&ved=2ahUKEwintMessNLxAhUQvpQKHfqKD18QFjABegQIAxAD&url=https%3A%2F%2Fwww.researchgate.net%2Ffile.PostFileLoader.html%3Fid%3D5882f0c8ed99e15dce797d03%26assetKey%3DAS%253A452837697167361%25401484976328229&usg=AOvVaw34bHXsDqOXDYvlj2ICtI0M (accessed on 1 May 2021).
- Hassan, M.N.; Afghan, S.; Hafeez, F.Y. Suppression of red rot caused by Colletotrichum falcatum on sugarcane plants using plant growth-promoting rhizobacteria. BioControl 2010, 55, 531–542. [Google Scholar] [CrossRef]
- Bunt, J.; Rovira, A. Microbiological studies of some subantarctic soils. J. Soil Sci. 1955, 6, 119–128. [Google Scholar] [CrossRef]
- Aleksandrov, V.; Blagodyr, R.; Ilev, I. Liberation of phosphoric acid from apatite by silicate bacteria. Mikrobiol. Z. 1967, 29, 1. [Google Scholar] [CrossRef]
- Pikovskaya, R. Mobilization of phosphorus in soil in connection with vital activity of some microbial species. Mikrobiologiya 1948, 17, 362–370. [Google Scholar]
- Rashid, M.; Khalil, S.; Ayub, N.; Alam, S.; Latif, F. Organic acids production and phosphate solubilization by phosphate solubilizing microorganisms (PSM) under in vitro conditions. Pak. J. Biol. Sci. 2004, 7, 187–196. [Google Scholar] [CrossRef]
- Putrie, R.F.W.; Widowati, T.; Lekatompessy, S.J.; Sukiman, H. Nitrogen Fixing Potential of Endophytic Bacteria Isolated from Aloe barbadensis Miller and Aloe sp. Microbiol. Indones. 2016, 10, 2. [Google Scholar] [CrossRef][Green Version]
- Denizci, A.; Kazan, D.; Abeln, E.; Erarslan, A. Newly isolated Bacillus clausii GMBAE 42: An alkaline protease producer capable to grow under higly alkaline conditions. J. Appl. Microbiol. 2004, 96, 320–327. [Google Scholar] [CrossRef] [PubMed]
- Schwyn, B.; Neilands, J. Universal chemical assay for the detection and determination of siderophores. Anal. Biochem. 1987, 160, 47–56. [Google Scholar] [CrossRef]
- Ezzouhri, L.; Castro, E.; Moya, M.; Espinola, F.; Lairini, K. Heavy metal tolerance of filamentous fungi isolated from polluted sites in Tangier, Morocco. Afr. J. Microbiol. Res. 2009, 3, 35–48. [Google Scholar]
- Tan, Z.-Y.; Xu, X.-D.; Wang, E.-T.; Gao, J.-L.; Martinez-Romero, E.; Chen, W.-X. Phylogenetic and genetic relationships of Mesorhizobium tianshanense and related rhizobia. Int. J. Syst. Evol. Microbiol. 1997, 47, 874–879. [Google Scholar] [CrossRef] [PubMed]
- Li, K.; Ramakrishna, W. Effect of multiple metal resistant bacteria from contaminated lake sediments on metal accumulation and plant growth. J. Hazard. Mater. 2011, 189, 531–539. [Google Scholar] [CrossRef] [PubMed]
- Kumar, S.; Prasad, S.; Yadav, K.K.; Shrivastava, M.; Gupta, N.; Nagar, S.; Bach, Q.-V.; Kamyab, H.; Khan, S.A.; Yadav, S. Hazardous heavy metals contamination of vegetables and food chain: Role of sustainable remediation approaches—A review. Environ. Res. 2019, 179, 108792. [Google Scholar] [CrossRef] [PubMed]
- Saravanan, V.; Madhaiyan, M.; Thangaraju, M. Solubilization of zinc compounds by the diazotrophic, plant growth promoting bacterium Gluconacetobacter diazotrophicus. Chemosphere 2007, 66, 1794–1798. [Google Scholar] [CrossRef]
- Chang, H.-B.; Lin, C.-W.; Huang, H.-J. Zinc-induced cell death in rice (Oryza sativa L.) roots. Plant Growth Regul. 2005, 46, 261–266. [Google Scholar] [CrossRef]
- Meena, V.S.; Maurya, B.R.; Verma, J.P.; Aeron, A.; Kumar, A.; Kim, K.; Bajpai, V.K. Potassium solubilizing rhizobacteria (KSR): Isolation, identification, and K-release dynamics from waste mica. Ecol. Eng. 2015, 81, 340–347. [Google Scholar] [CrossRef]
- Halstead, R.; Finn, B.; MacLean, A. Extractability of nickel added to soils and its concentration in plants. Can. J. Soil Sci. 1969, 49, 335–342. [Google Scholar] [CrossRef]
- Zaidi, S.; Usmani, S.; Singh, B.R.; Musarrat, J. Significance of Bacillus subtilis strain SJ-101 as a bioinoculant for concurrent plant growth promotion and nickel accumulation in Brassica juncea. Chemosphere 2006, 64, 991–997. [Google Scholar] [CrossRef]
- Khan, M.S.; Zaidi, A.; Wani, P.A. Role of phosphate-solubilizing microorganisms in sustainable agriculture—A review. Agron. Sustain. Dev. Agron. Sustain. Dev. 2007, 27, 29–43. [Google Scholar] [CrossRef]
- Golovan, S.; Wang, G.; Zhang, J.; Forsberg, C.W. Characterization and overproduction of the Escherichia coli appA encoded bifunctional enzyme that exhibits both phytase and acid phosphatase activities. Can. J. Microbiol. 1999, 46, 59–71. [Google Scholar] [CrossRef]
- Dai, Z.; Guo, X.; Yin, H.; Liang, Y.; Cong, J.; Liu, X. Identification of nitrogen-fixing genes and gene clusters from metagenomic library of acid mine drainage. PLoS ONE 2014, 9, e87976. [Google Scholar] [CrossRef]
- Dadook, M.; Mehrabian, S.; Irian, S. Identification of ten N2-fixing bacteria using 16S rRNA and their response to various zinc concentrations. Int. J. Cell. Mol. Biol. 2013, 2013, 1–8. [Google Scholar] [CrossRef]
- Muthukumarasamy, R.; Kang, U.; Park, K.; Jeon, W.T.; Park, C.; Cho, Y.; Kwon, S.W.; Song, J.; Roh, D.H.; Revathi, G. Enumeration, isolation and identification of diazotrophs from Korean wetland rice varieties grown with long-term application of N and compost and their short-term inoculation effect on rice plants. J. Appl. Microbiol. 2007, 102, 981–991. [Google Scholar] [CrossRef]
- Väsänen, O.; Haahtela, K.; Bask, L.; Kari, K.; Salkinoja-Salonen, M.; Sundman, V. Diversity of nif gene location and nitrogen fixation among root-associated Enterobacter and Klebsiella strains. Arch. Microbiol. 1985, 141, 123–127. [Google Scholar] [CrossRef]
- Herrera-Quiterio, A.; Toledo-Hernández, E.; Aguirre-Noyola, J.L.; Romero, Y.; Ramos, J.; Palemón-Alberto, F.; Toribio-Jiménez, J. Antagonic and plant growth-promoting effects of bacteria isolated from mine tailings at El Fraile, Mexico. Rev. Argent. Microbiol. 2020. [Google Scholar] [CrossRef]
- Sinha, S.; Mukherjee, S.K. Cadmium–induced siderophore production by a high Cd-resistant bacterial strain relieved Cd toxicity in plants through root colonization. Curr. Microbiol. 2008, 56, 55–60. [Google Scholar] [CrossRef]
- Zheng, Y.; Xue, Q.-Y.; Xu, L.-L.; Xu, Q.; Lu, S.; Gu, C.; Guo, J.-H. A screening strategy of fungal biocontrol agents towards Verticillium wilt of cotton. Biol. Control. 2011, 56, 209–216. [Google Scholar] [CrossRef]
- Yu, Z.; Gunn, L.; Wall, P.; Fanning, S. Antimicrobial resistance and its association with tolerance to heavy metals in agriculture production. Food Microbiol. 2017, 64, 23–32. [Google Scholar] [CrossRef]
- Aleem, A.; Isar, J.; Malik, A. Impact of long-term application of industrial wastewater on the emergence of resistance traits in Azotobacter chroococcum isolated from rhizospheric soil. Bioresour. Technol. 2003, 86, 7–13. [Google Scholar] [CrossRef]
- Nadeem, S.M.; Zahir, Z.A.; Naveed, M.; Asghar, H.N.; Arshad, M. Rhizobacteria capable of producing ACC-deaminase may mitigate salt stress in wheat. Soil Sci. Soc. Am. J. 2010, 74, 533–542. [Google Scholar] [CrossRef]
- Zhang, Y.-F.; He, L.-Y.; Chen, Z.-J.; Zhang, W.-H.; Wang, Q.-Y.; Qian, M.; Sheng, X.-F. Characterization of lead-resistant and ACC deaminase-producing endophytic bacteria and their potential in promoting lead accumulation of rape. J. Hazard. Mater. 2011, 186, 1720–1725. [Google Scholar] [CrossRef] [PubMed]
- Tobin, J.M.; Cooper, D.; Neufeld, R. Uptake of metal ions by Rhizopus arrhizus biomass. Appl. Environ. Microbiol. 1984, 47, 821–824. [Google Scholar] [CrossRef] [PubMed]
- Ansari, M.I.; Malik, A. Biosorption of nickel and cadmium by metal resistant bacterial isolates from agricultural soil irrigated with industrial wastewater. Bioresour. Technol. 2007, 98, 3149–3153. [Google Scholar] [CrossRef] [PubMed]
- Pradhan, S.; Rai, L. Biotechnological potential of Microcystis sp. in Cu, Zn and Cd biosorption from single and multimetallic systems. BioMetals 2001, 14, 67–74. [Google Scholar] [CrossRef] [PubMed]
- Shan, S.; Guo, Z.; Lei, P.; Li, Y.; Wang, Y.; Zhang, M.; Cheng, W.; Wu, S.; Wu, M.; Du, D. Increased biomass and reduced tissue cadmium accumulation in rice via indigenous Citrobacter sp. XT1-2-2 and its mechanisms. Sci. Total Environ. 2020, 708, 135224. [Google Scholar] [CrossRef]
- Habib, S.; Kausar, H.; Saud, H.; Ismail, M.; Othman, R. Molecular characterization of stress tolerant plant growth promoting rhizobacteria (PGPR) for growth enhancement of rice. Int. J. Agric. Biol. 2016, 18, 184–191. [Google Scholar] [CrossRef]
- Pramanik, K.; Mitra, S.; Sarkar, A.; Maiti, T.K. Alleviation of phytotoxic effects of cadmium on rice seedlings by cadmium resistant PGPR strain Enterobacter aerogenes MCC 3092. J. Hazard. Mater. 2018, 351, 317–329. [Google Scholar] [CrossRef]
- Pramanik, K.; Mitra, S.; Sarkar, A.; Soren, T.; Maiti, T.K. Characterization of a Cd2+-resistant plant growth promoting rhizobacterium (Enterobacter sp.) and its effects on rice seedling growth promotion under Cd2+-stress in vitro. Agric. Nat. Resour. 2018, 52, 215–221. [Google Scholar] [CrossRef]
- Qamar, N.; Rehman, Y.; Hasnain, S. Arsenic-resistant and plant growth-promoting Firmicutes and γ-Proteobacteria species from industrially polluted irrigation water and corresponding cropland. J. Appl. Microbiol. 2017, 123, 748–758. [Google Scholar] [CrossRef] [PubMed]
- Gontia-Mishra, I.; Sapre, S.; Kachare, S.; Tiwari, S. Molecular diversity of 1-aminocyclopropane-1-carboxylate (ACC) deaminase producing PGPR from wheat (Triticum aestivum L.) rhizosphere. Plant Soil 2017, 414, 213–227. [Google Scholar] [CrossRef]
- Morozzi, G.; Cenci, G.; Scardazza, F.; Pitzurra, M. Cadmium uptake by growing cells of gram-positive and gram-negative bacteria. Microbios 1986, 48, 27–35. [Google Scholar]






| City/Code | Coordinates | Possible Sources of Irrigated Wastewater for the Soils | Cropping Pattern |
|---|---|---|---|
| Lahore (LHE) | 31°36′49.8″ N 74°19′07.4″ E | Steel, pharmaceutical and auto industrial waste and municipal waste | Maize/Wheat (Zea mays/Triticum aestivum) |
| Gujranwala (GRN) | 32°12′10.7″ N 74°13′51.2″ E | Rubber, metal, plastic, electric, auto industrial waste and municipal waste | Rice/Wheat (Oryza sativa/Triticum aestivum) |
| Gujrat (GJT) | 32°31′37.6″ N 74°06′06.6″ E | Electrical, leather and auto industrial wastes and municipal waste | Rice/Wheat (Oryza sativa/Triticum aestivum) |
| Sialkot (SKT) | 32°13′19.6″ N 74°31′05.3″ E | Leather, surgical, textile and sports goods industrial waste and municipal waste | Rice/Wheat (Oryza sativa/Triticum. aestivum) |
| Faisalabad (FSD) | 31°29′31.6″ N 73°13′39.3″ E | Pharmaceutical, textile industries and municipal waste | Rice/Wheat (Oryza sativa/Triticum aestivum) |
| Wazirabad (WZB) | 32°27′15.4″ N 74°07′14.0″ E | Steel, surgical and culinary products industrial wastes and municipal waste | Rice/Wheat (Oryza sativa/Triticum aestivum) |
| Primer | Sequence | Gene | Amplicon Size | Annealing Temperature | Melting Temperature |
|---|---|---|---|---|---|
| Forward | ATGACCATGCGTCAATGCGC | nifH | 818 | 54 °C | Forward 58 °C |
| Reverse | CCGAACTCCATCAGCAGC | Reverse 57 °C | |||
| Forward | ATGAGCAATGCAACAGGCGAAC | nifD | 1340 | 56 °C | Forward 59 °C |
| Reverse | CGGAGTAATCCCAGGAGTGC | Reverse 60 °C | |||
| Forward | TGCCAACACCCTGCCCTATG | nifK | 1065 | 60 °C | Forward 60 °C |
| Reverse | GGCTGACGGGTGAACATCAG | Reverse 60 °C |
| Strain Code | Homology % | Closest Organism | Identified Species | Accession Number |
|---|---|---|---|---|
| GWN3 | 99.4 | Acinetobacter johnsonii APON01000005 | Acinetobacter sp. | MT941417 |
| LWN6 | 99.4 | Acinetobacter johnsonii APON01000005 | Acinetobacter sp. | MT956946 |
| GWM1 | 97.3 | Acinetobacter junii APPX01000010 | Acinetobacter sp. | MW055677 |
| SWN4 | 99.8 | Bacillus paranthracis Mn5 | Bacillus sp. | MT941420 |
| GWN1 | 98.1 | Bacillus licheniformis AE017333 | Bacillus sp. | MW052616 |
| SWN7 | 99.5 | Citrobacter freundii AJ233408 | Citrobacter sp. | MT941404 |
| JWN8 | 99.6 | Citrobacter freundii AJ233408 | Citrobacter sp. | MT941409 |
| WWN1 | 98.9 | Citrobacter werkmanii BBMW01000025 | Citrobacter sp. | MT941418 |
| LWN7 | 99.5 | Citrobacter freundii DSM 30039 | Citrobacter sp. | MT941421 |
| JWN3 | 98.7 | Enterobacter sichuanensis POVL01000141 | Enterobacter sp. | MT941408 |
| JWN5 | 99.71 | Enterobacter cloacae CP001918 | Enterobacter sp. | MT941411 |
| JWM6 | 99.9 | Enterobacter cloacae LMG 2683 | Enterobacter sp. | MT941425 |
| FWN9 | 100 | Enterococcus faecalis ASDA01000001 | Enterococcus sp. | MT941416 |
| SWM3 | 96.9 | Escherichia coli X80725 | Escherichia sp. | MT941405 |
| SWN2 | 99.5 | Escherichia coli X80725 | Escherichia sp. | MT941423 |
| JWM5 | 98 | Escherichia coli ATCC 11775 | Escherichia sp. | MT941424 |
| JWM2 | 99.84 | Klebsiella quasivariicola CP022823 | Klebsiella sp. | MT941412 |
| FWM1 | 99.5 | Klebsiella pneumoniae DSM 30104 | Klebsiella sp. | MT941419 |
| FWM2 | 99.5 | Pseudomonas putida AP013070 | Pseudomonas sp. | MT941413 |
| FWM4 | 99.71 | Pseudomonas guariconensis FMYX01000029 | Pseudomonas sp. | MT941414 |
| SWM4 | 99.4 | Serratia marcescens JMPQ01000005 | Serratia sp. | MT941406 |
| GWM3 | 98.8 | Serratia marcescens JMPQ01000005 | Serratia sp. | MT941407 |
| LWN4 | 98.9 | Serratia marcescens JMPQ01000005 | Serratia sp. | MT941415 |
| GWN2 | 99.72 | Serratia marcescens JMPQ01000005 | Serratia sp. | MT941422 |
Publisher’s Note: MDPI stays neutral with regard to jurisdictional claims in published maps and institutional affiliations. |
© 2021 by the authors. Licensee MDPI, Basel, Switzerland. This article is an open access article distributed under the terms and conditions of the Creative Commons Attribution (CC BY) license (https://creativecommons.org/licenses/by/4.0/).
Share and Cite
Ajmal, A.W.; Saroosh, S.; Mulk, S.; Hassan, M.N.; Yasmin, H.; Jabeen, Z.; Nosheen, A.; Shah, S.M.U.; Naz, R.; Hasnain, Z.; et al. Bacteria Isolated from Wastewater Irrigated Agricultural Soils Adapt to Heavy Metal Toxicity While Maintaining Their Plant Growth Promoting Traits. Sustainability 2021, 13, 7792. https://doi.org/10.3390/su13147792
Ajmal AW, Saroosh S, Mulk S, Hassan MN, Yasmin H, Jabeen Z, Nosheen A, Shah SMU, Naz R, Hasnain Z, et al. Bacteria Isolated from Wastewater Irrigated Agricultural Soils Adapt to Heavy Metal Toxicity While Maintaining Their Plant Growth Promoting Traits. Sustainability. 2021; 13(14):7792. https://doi.org/10.3390/su13147792
Chicago/Turabian StyleAjmal, Abdul Wahab, Saleha Saroosh, Shah Mulk, Muhammad Nadeem Hassan, Humaira Yasmin, Zahra Jabeen, Asia Nosheen, Syed Muhammad Usman Shah, Rabia Naz, Zuhair Hasnain, and et al. 2021. "Bacteria Isolated from Wastewater Irrigated Agricultural Soils Adapt to Heavy Metal Toxicity While Maintaining Their Plant Growth Promoting Traits" Sustainability 13, no. 14: 7792. https://doi.org/10.3390/su13147792
APA StyleAjmal, A. W., Saroosh, S., Mulk, S., Hassan, M. N., Yasmin, H., Jabeen, Z., Nosheen, A., Shah, S. M. U., Naz, R., Hasnain, Z., Qureshi, T. M., Waheed, A., & Mumtaz, S. (2021). Bacteria Isolated from Wastewater Irrigated Agricultural Soils Adapt to Heavy Metal Toxicity While Maintaining Their Plant Growth Promoting Traits. Sustainability, 13(14), 7792. https://doi.org/10.3390/su13147792

