Sustainability Understanding and Behaviors across Urban Areas: A Case Study on Istanbul City
Abstract
:1. Introduction
2. Methodology
2.1. Conceptual Approach
- Limitations and the lack of harmony about sustainability dimensions;
- Lack of lucidity and the dominance of top-down approaches;
- Insufficient consideration of context-sensitive subjects;
- Lack of flexibility in design stages;
- Lack of compliance among various methodologies; and
- The complexity of the instrument.
2.2. Research Aim and Objectives
- To assess the urban sustainability understanding and behavior of individuals, and determine how they are related
- To analyze the relationship between this urban sustainability understanding and behavior and both influencing factors and personality traits
- To develop policies that can improve urban sustainability understanding and the behavior of individuals
2.3. Methods
2.3.1. Study Location and Sample
2.3.2. Measures
- General socio-demographic information (12 questions)
- Understanding, i.e., determinants of awareness, perception, and attitudes (14 questions)
- Behavior (18 questions)
- Influencing factors (19 questions)
- Personality traits (5 questions)
2.3.3. Data Analysis
3. Descriptive Analyses and Results
3.1. Understanding
3.1.1. Determinants of Understanding
Determinant 1: Awareness
Determinant 2: Perception
Determinant 3: Attitude
3.1.2. Data Preparation
Factor Analysis
Scale Construction
3.2. Behavior
3.2.1. Items of Behavior
- Personal (Q1.1 to 1.3)
- Social (Q2.1 to 2.3)
- Environmental (Q3.1 to 3.3)
- Economic (Q4.1 to 4.3)
- Governance (Q5.1 to 5.2)
- Infrastructural (Q6.1 to 6.2)
- Technological (Q7.1 to 7.2)
3.2.2. Data Preparation
Factor Analysis
- Factor 1: Socio-Environmental (Responsibility)—Behavior I
- Factor 2: Personal (Effort)—Behavior II
- Factor 3: Economic-Policy (Concerns)—Behavior III
- Factor 4: Infrastructural and Technological (Endeavors)—Behavior IV
Scale Construction
3.3. Personality Traits
- Surgency (P1)
- Agreeableness (P2)
- Conscientiousness (P3)
- Emotional Stability (P4)
- Intellect (P5)
3.4. Influencing Factors
4. Bivariate Analyses and Results
4.1. Determinants of Understanding
4.2. Determinants and Behavior
4.3. Personality Traits
4.3.1. Personality Traits and Determinants
4.3.2. Personality Traits and Behavior
4.4. Socio-Demographics and Influencing Factors
4.4.1. Socio-Demographics and Determinants and Behavior
4.4.2. Influencing Factors (IF) and Determinants
4.4.3. Influencing Factors (IF) and Behavior
5. Multivariate Analyses and Results
5.1. Preparation for the Analysis
5.2. Determinants and Behavior
- i.
- Awareness was included in the linear regression test of perception;
- ii.
- Awareness and perception were included in the linear regression test of attitude; and
- iii.
- Awareness, perception, and attitude were included in the linear regression test of behavior.
5.2.1. Awareness
5.2.2. Perception
5.2.3. Attitude
5.2.4. Behavior
6. Discussion
6.1. Urban Sustainability Understanding and Behavior
6.1.1. Determinants of Understanding
6.1.2. Determinants and Behavior
6.2. Personality Traits
6.2.1. Personality Traits and Determinants
6.2.2. Personality Traits and Behavior
6.3. Socio-Demographics and Influencing Factors
6.3.1. Socio-Demographics and Determinants and Behavior
Age
Gender
Education
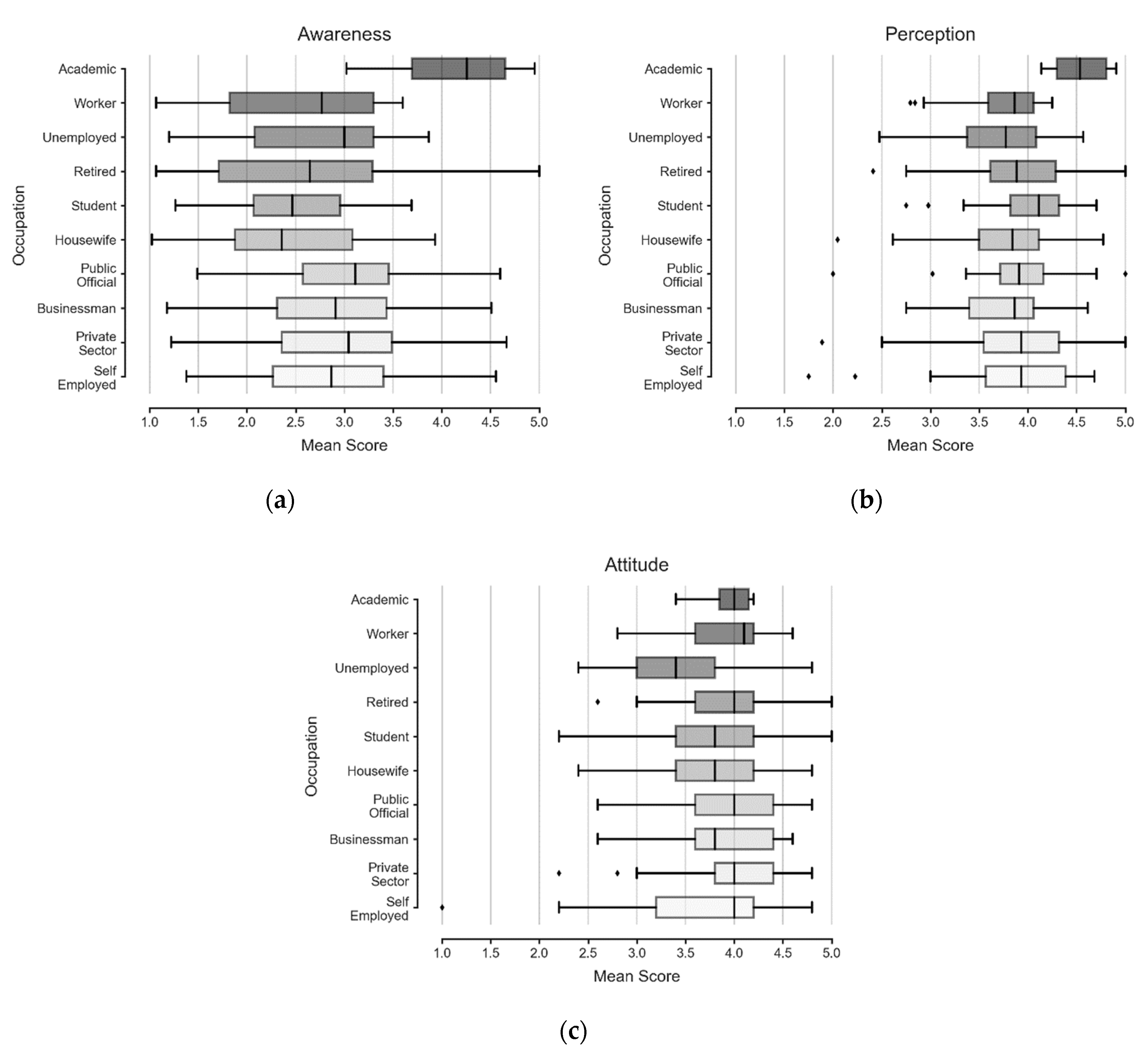
Occupation
Income
County of Residence
Household Number
Length of Residency in Istanbul
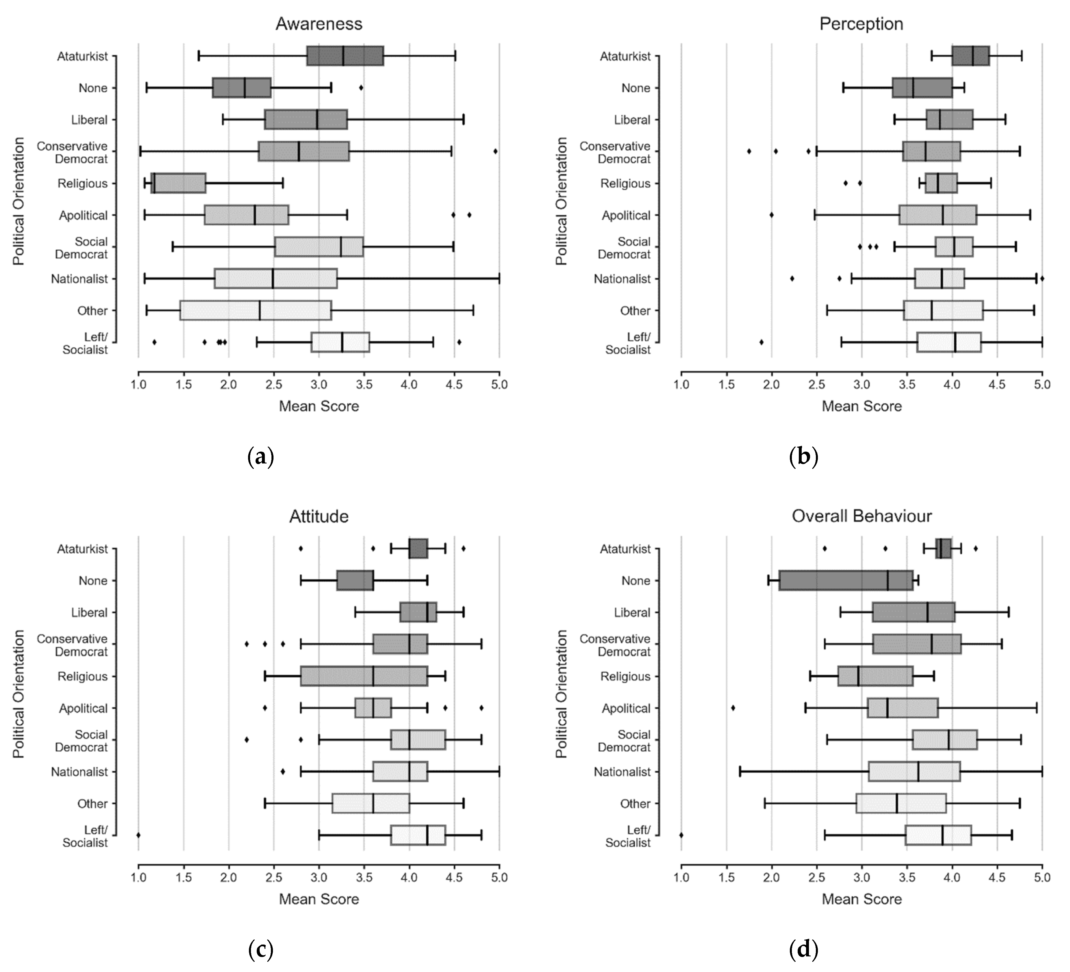
Political Orientation
Residential Status
Size of House
6.3.2. Influencing Factors and Determinants and Behavior
Awareness of Consequences
Habit
Trust in Society
Social Appraisement
National Identity
World Mindedness
Place Attachment
Health and Safety Concerns
Willingness to Pay
Trust in Actors
Satisfaction with Built Environment
Availability of Public Facilities
Locus of Control
Trust in Science and Technology
Human Priority
Prosperity Perception
Perception of Economic Growth
Willingness to Sacrifice
Ascription of Responsibility
6.3.3. Summary
6.4. Recommendations
7. Conclusions
7.1. Key Findings
- Determinants: the statistical analysis on the 535 responses to sets of detailed questions on urban sustainability showed that the average awareness score of respondents was lower than perception and attitude scores. While respondents were found to be more aware of local sustainability issues than anticipated, they readily identified that educational opportunities needed improvement. Although sustainability was perceived as more of an environmental issue, respondents were able to distinguish between the importance of sustainability and the appropriateness of their behavior to advancing the cause of sustainability. Respondents were also found to hold positive attitudes in relation to taking responsibility for and contributing to urban sustainability. Bivariate analysis showed that although the correlations between awareness–perception and perception–attitude were broadly similar, the correlation between awareness–attitude was found to be stronger. Regarding the predictive power revealed by the multivariate linear regression analysis, awareness was found to impact upon both perception and attitude, yet there was no significant association between perception and attitude.
- Behavior: the overall behavior scores of the respondents produced a promising mean value (3.63). Furthermore, the bivariate analysis showed strong correlations with both awareness and attitude. The multivariate linear regression analysis demonstrated that all three determinants (awareness, perception, and attitude) had significant predictive power on behavior.
- Personality traits: the respondents as a whole were found to have both agreeable and conscientious natures. Surgency and intellect personality types were found to be highly correlated with awareness, while agreeableness and conscientiousness had strong correlations with awareness and perception. Similarly, behavior was found to have the strongest correlation with conscientiousness, closely followed by agreeableness and intellect. Additionally, people who had more intellectual personality traits resulted in them having better (sustainability) awareness and behavior. Likewise, an agreeable and conscientious personality was found to have positive impacts on sustainability behavior.
- Influencing factors: it was noticeable that while the factors of awareness of consequences, social appraisement, national identity, world mindedness, willingness to pay and trust in science and technology had the strongest correlations with the three determinants and behavior, having a human priority mindset and favoring personal prosperity resulted in strong negative correlations with attitude. Additionally, place attachment was strongly correlated with behavior. In terms of predictive associations, awareness of consequences, social appraisement, world mindedness, willingness to pay, locus of control, trust in science and technology, willingness to sacrifice, and ascription of responsibility were observed to be the most influential factors on the determinants of awareness, perception, and attitude. Furthermore, attitude was the most easily predicted determinant by influencing factors. In terms of behavior, it was found that habit, trust in society, social appraisement, world mindedness, willingness to pay, and trust in science and technology had the most predictive power.
- Socio-demographic factors: while males were more aware of urban sustainability, age was negatively correlated with awareness. Interestingly, education and income were positively correlated with all of the determinants, yet behavior had no correlation with income and a positive correlation with education. In terms of occupation, housewives and unemployed people had weaker awareness and attitudes than those in other occupations. Moreover, people who live in socio-economically more deprived areas produced higher scores for the determinants and behavior. Similarly, both apolitical and religious people were found to have weaker urban sustainability understanding and behavior than Ataturkist, left/socialist, and social democrats. In terms of predictive power, older ages and being female were found to have negative impact on awareness. However, while age had a positive impact on behavior, being female had a positive impact on perception. Moreover, landlords were found to be more aware while inhabitants of bigger houses had better attitudes.
7.2. Recommendations for Future Research
- The understanding and behavior of urban sustainability have been explored according to the main determinants specified in the conceptual framework. However, there are several sub-determinants that could be considered for deeper investigation, such as knowledge, concern, value–belief, and personal norms [35]. Moreover, further investigation into the different urban sustainability behavior types (such as economic, environmental, and social urban sustainability behaviors) would provide valuable insights and a customized approach.
- Although quantitative approaches provide ease, accuracy, and generalizability of analysis, it can be valuable to explore urban sustainability understanding and behavior of individuals in qualitative ways. For instance, in-depth interviews, focus group discussions, or even observations, could provide alternative insights.
- The scope of the current study was the macro-scale, which concentrates on the whole city. However, the conceptual framework could be applied to local contexts and at micro-scales, such as the district, county, or even neighborhood level. This would have the potential to enable local authorities to better identify local needs and problems.
- There would be a benefit in conducting further intra- and international comparisons among urban areas in order to identify different urban characteristics and particular differences among various geographical regions and cultures. Therein, it would be interesting to see how developed and developing countries differ, and to interrogate those distinguishing characteristics that are most influential on urban sustainability behavior within each setting.
- The proposed conceptual framework provides a flexible and adaptable option for different case study areas due to the wide range of influencing factors that interact with determinants and behavior. Although an extensive list of factors has been tested within this research, it is possible to customize the influencing factors for different regions.
Author Contributions
Funding
Institutional Review Board Statement
Informed Consent Statement
Data Availability Statement
Conflicts of Interest
Appendix A
Appendix A.1. General Information
Appendix A.2. Sustainability Understanding
Appendix A.3. Sustainability Behavior
Appendix A.4. Influencing Factors
Appendix A.5. Personality Traits
References
- Brundtland, G.H. Report of the World Commission on Environment and Development: Our Common Future; United Nations: New York, NY, USA, 1987. [Google Scholar]
- Mensah, J. Sustainable development: Meaning, history, principles, pillars, and implications for human action: Literature review. Cogent Soc. Sci. 2019, 5. [Google Scholar] [CrossRef]
- Morelli, J. Environmental Sustainability: A Definition for Environmental Professionals. JES 2011, 1. [Google Scholar] [CrossRef] [Green Version]
- United Nations. World Population Prospects: The 2017 Revision; United Nations Department of Economic and Social Affairs: New York, NY, USA, 2017; Volume 33, pp. 1–66. [Google Scholar]
- United Nations Department of Economic and Social Affairs. Population Division World Urbanization Prospects: The 2014 Revision; United Nations Department of Economic and Social Affairs: New York, NY, USA, 2015. [Google Scholar]
- United Nations Department of Economic and Social Affairs. Population Division World Urbanization Prospects: The 2018 Revision; United Nations Department of Economic and Social Affairs: New York, NY, USA, 2019; ISBN 978-92-1-148319-2. [Google Scholar]
- Turkiye Istatistik Kurumu (TUIK) Adrese Dayali Nufus Kayit Sistemi. Available online: https://data.tuik.gov.tr/Bulten/Index?p=Adrese-Dayal%C4%B1-N%C3%BCfus-Kay%C4%B1t-Sistemi-Sonu%C3%A7lar%C4%B1-2020-37210&dil=1 (accessed on 13 April 2021).
- World Bank. Turkey—Sustainable Cities Project: Environmental and Social Management Framework (English); World Bank Group: Washington, DC, USA, 2016. [Google Scholar]
- Sari, V.İ.; Kindap, A. Türkiye’de Kentsel Yaşam Kalitesi Göstergelerinin Analizi; Ankara University: Ankara, Turkey, 2018. [Google Scholar]
- Candas, E.; Flacke, J.; Yomralioglu, T. Understanding Urban Regeneration in Turkey. ISPRS Int. Arch. Photogramm. Remote Sens. Spat. Inf. Sci. 2016, XLI-B4, 669–675. [Google Scholar] [CrossRef] [Green Version]
- Strateji ve Bütçe Başkanlığı, Türkiye Cumhuriyeti Cumhurbaşkanlığı, National Development Plans. Available online: https://www.sbb.gov.tr/kalkinma-planlari/ (accessed on 2 June 2021).
- Istanbul Development Agency. 2014–2023 Istanbul Regional Plan; Istanbul Development Agency: Istanbul, Turkey, 2014; p. 90. [Google Scholar]
- Blake, J. Overcoming the ‘value-action gap’ in environmental policy: Tensions between national policy and local experience. Local Environ. 1999, 4, 257–278. [Google Scholar] [CrossRef]
- Huijts, N.M.A.; Molin, E.J.E.; Steg, L. Psychological factors influencing sustainable energy technology acceptance: A review-based comprehensive framework. Renew. Sustain. Energy Rev. 2012, 16, 525–531. [Google Scholar] [CrossRef]
- Steg, L.; Vlek, C. Encouraging pro-environmental behaviour: An integrative review and research agenda. J. Environ. Psychol. 2009, 29, 309–317. [Google Scholar] [CrossRef]
- Stern, P.C. New environmental theories: Toward a coherent theory of environmentally significant behavior. J. Soc. Issues 2000, 56, 407–424. [Google Scholar] [CrossRef]
- Kollmuss, A.; Agyeman, J. Mind the Gap: Why do people act environmentally and what are the barriers to pro-environmental behavior? Environ. Educ. Res. 2002, 8, 239–260. [Google Scholar] [CrossRef] [Green Version]
- Turaga, R.M.R.; Howarth, R.B.; Borsuk, M.E. Pro-environmental behavior: Rational choice meets moral motivation. Ann. N. Y. Acad. Sci. 2010, 1185, 211–224. [Google Scholar] [CrossRef]
- Abrahamse, W.; Steg, L.; Vlek, C.; Rothengatter, T. A review of intervention studies aimed at household energy conservation. J. Environ. Psychol. 2005, 25, 273–291. [Google Scholar] [CrossRef]
- Barr, S. Factors Influencing Environmental Attitudes and Behaviors: A U.K. Case Study of Household Waste Management. Environ. Behav. 2007, 39, 435–473. [Google Scholar] [CrossRef]
- Gifford, R. The Dragons of Inaction: Psychological Barriers That Limit Climate Change Mitigation and Adaptation. Am. Psychol. 2011, 66, 290–302. [Google Scholar] [CrossRef]
- Bamberg, S. How does environmental concern influence specific environmentally related behaviors? A new answer to an old question. J. Environ. Psychol. 2003, 23, 21–32. [Google Scholar] [CrossRef]
- Stern, P.C.; Dietz, T. The value basis of environmental concern. J. Soc. Issues 1994, 50, 65–84. [Google Scholar] [CrossRef]
- Batur, İ.; Koç, M. Travel Demand Management (TDM) case study for social behavioral change towards sustainable urban transportation in Istanbul. Cities 2017, 69, 20–35. [Google Scholar] [CrossRef]
- Balaban, O. A Matter of Capacity: Climate Change and the Urban Challenges for Turkey; Cambridge University Press: Cambridge, UK, 2017; Volume 56. [Google Scholar]
- Kaygusuz, K.; Toklu, E. Energy issues and sustainable development in Turkey. J. Eng. Res. Appl. Sci. 2012, 1, 25. [Google Scholar]
- Yalçıntaş, M.; Bulu, M.; Küçükvar, M.; Samadi, H. A Framework for Sustainable Urban Water Management through Demand and Supply Forecasting: The Case of Istanbul. Sustainability 2015, 7, 11050–11067. [Google Scholar] [CrossRef] [Green Version]
- Egercioğlu, Y. Urban Transformation Processes in Illegal Housing Areas in Turkey. Procedia Soc. Behav. Sci. 2016, 223, 119–125. [Google Scholar] [CrossRef] [Green Version]
- Okumuş, G. A Geographical Information System Based Urban Sustainability Evaluation Model Proposal in Neighbourhood Scale. J. Plan. 2017, 27, 193–204. [Google Scholar] [CrossRef]
- Yurttaş, A.; Çağlar, A. The attitudes of governmental officialin terms of sustainable environment. Int. Electron. J. Environ. Educ. 2019, 9, 142–156. [Google Scholar]
- Topal, H.F.; Hunt, D.V.L.; Rogers, C.D.F. Urban Sustainability and Smartness Understanding (USSU)—Identifying Influencing Factors: A Systematic Review. Sustainability 2020, 12, 4682. [Google Scholar] [CrossRef]
- Sharifi, A.; Dawodu, A.; Cheshmehzangi, A. Limitations in assessment methodologies of neighborhood sustainability assessment tools: A literature review. Sustain. Cities Soc. 2021, 67, 102739. [Google Scholar] [CrossRef]
- Bayulken, B.; Huisingh, D.; Fisher, P.M.J. How are nature based solutions helping in the greening of cities in the context of crises such as climate change and pandemics? A comprehensive review. J. Clean. Prod. 2021, 288, 125569. [Google Scholar] [CrossRef]
- Morano, P.; Tajani, F.; Anelli, D. Urban planning decisions: An evaluation support model for natural soil surface saving policies and the enhancement of properties in disuse. Prop. Manag. 2020, 38, 699–723. [Google Scholar] [CrossRef]
- Topal, H.F.; Hunt, D.V.L.; Rogers, C.D.F. Exploring Urban Sustainability Understanding and Behaviour: A Systematic Review towards a Conceptual Framework. Sustainability 2021, 13, 1139. [Google Scholar] [CrossRef]
- Lynch, A.J.; Mosbah, S.M. Improving local measures of sustainability: A study of built-environment indicators in the United States. Cities 2017, 60, 301–313. [Google Scholar] [CrossRef]
- Wakita, T.; Ueshima, N.; Noguchi, H. Psychological Distance Between Categories in the Likert Scale: Comparing Different Numbers of Options. Educ. Psychol. Meas. 2012, 72, 533–546. [Google Scholar] [CrossRef]
- Johnson, R.B.; Christensen, L. Educational Research: Quantitative, Qualitative, and Mixed Approaches; SAGE Publications Inc.: New York, NY, USA, 2019; ISBN 1-5443-3785-X. [Google Scholar]
- Field, A.P.; Miles, J.; Field, Z. Discovering Statistics Using R; Sage: London, UK; Thousand Oaks, CA, USA, 2012; ISBN 978-1-4462-0046-9. [Google Scholar]
- Cordano, M.; Welcomer, S.A.; Scherer, R.F. An analysis of the predictive validity of the new ecological paradigm scale. J. Environ. Educ. 2003, 34, 22–28. [Google Scholar] [CrossRef]
- Hair, J.F. (Ed.) Multivariate Data Analysis, 7th ed.; Pearson: Harlow, UK, 2014; ISBN 978-1-292-02190-4. [Google Scholar]
- Goldberg, L.R. The development of markers for the Big-Five factor structure. Psychol. Assess. 1992, 4, 26. [Google Scholar] [CrossRef]
- Guo, D.; Cao, Z.; DeFrancia, K.; Yeo, J.W.G.; Hardadi, G.; Chai, S. Awareness, perceptions and determinants of urban sustainable development concerns—Evidence from a central province in China. Sustain. Dev. 2018, 26, 652–662. [Google Scholar] [CrossRef]
- Tran, K.C. Public perception of development issues: Public awareness can contribute to sustainable development of a small island. Ocean Coast. Manag. 2006, 49, 367–383. [Google Scholar] [CrossRef]
- Buerke, A.; Straatmann, T.; Lin-Hi, N.; Müller, K. Consumer awareness and sustainability-focused value orientation as motivating factors of responsible consumer behavior. Rev. Manag. Sci. 2017, 11, 959–991. [Google Scholar] [CrossRef]
- Cagáňová, D.; Stareček, A.; Horňáková, N.; Hlásniková, P. The Analysis of the Slovak Citizens’ Awareness about the Smart City Concept. Mob. Netw. Appl. 2019, 2050–2058. [Google Scholar] [CrossRef]
- Guagnano, G.A.; Stern, P.C.; Dietz, T. Influences on attitude-behavior relationships: A natural experiment with curbside recycling. Environ. Behav. 1995, 27, 699–718. [Google Scholar] [CrossRef]
- Peng, G.C.A.; Nunes, M.B.; Zheng, L. Impacts of low citizen awareness and usage in smart city services: The case of London’s smart parking system. Inf. Syst. e-Bus. Manag. 2017, 15, 845–876. [Google Scholar] [CrossRef]
- Himmel, S.; Zaunbrecher, B.S.; Wilkowska, W.; Ziefle, M. The Youth of Today Designing the Smart City of Tomorrow. In Human-Computer Interaction. Applications and Services; Kurosu, M., Ed.; Springer International Publishing: Cham, Switzherland, 2014; Volume 8512, pp. 389–400. ISBN 978-3-319-07226-5. [Google Scholar]
- Ajzen, I. Attitudes, Personality, and Behavior; McGraw-Hill Education: London, UK, 2005; ISBN 0-335-22400-8. [Google Scholar]
- Kang, S. Communicating sustainable development in the digital age: The relationship between citizens’ storytelling and engagement intention. Sustain. Dev. 2019, 27, 337–348. [Google Scholar] [CrossRef]
- Pavalache-Ilie, M.; Cazan, A.-M. Personality correlates of pro-environmental attitudes. Int. J. Environ. Health Res. 2018, 28, 71–78. [Google Scholar] [CrossRef]
- Busic-Sontic, A.; Czap, N.V.; Fuerst, F. The role of personality traits in green decision-making. J. Econ. Psychol. 2017, 62, 313–328. [Google Scholar] [CrossRef]
- Grob, A. A structural model of environmental attitudes and behaviour. J. Environ. Psychol. 1995, 15, 209–220. [Google Scholar] [CrossRef]
- Klöckner, C.A. A comprehensive model of the psychology of environmental behaviour—A meta-analysis. Glob. Environ. Chang. 2013, 23, 1028–1038. [Google Scholar] [CrossRef] [Green Version]
- He, G.; Boas, I.; Mol, A.P.J.; Lu, Y. E-participation for environmental sustainability in transitional urban China. Sustain. Sci. 2017, 12, 187–202. [Google Scholar] [CrossRef] [Green Version]
- Tononi, M.; Pietta, A.; Bonati, S. Alternative spaces of urban sustainability: Results of a first integrative approach in the Italian city of Brescia. Geogr. J. 2017, 183, 187–200. [Google Scholar] [CrossRef]
- Hsu, J.L.; Feng, C.-H. Evaluating environmental behaviour of the general public in Taiwan: Implications for environmental education. IJCED 2019, 21, 179–189. [Google Scholar] [CrossRef]
- Rajapaksa, D.; Gifford, R.; Torgler, B.; Garcia-Valiñas, M.; Athukorala, W.; Managi, S.; Wilson, C. Do monetary and non-monetary incentives influence environmental attitudes and behavior? Evidence from an experimental analysis. Resour. Conserv. Recycl. 2019, 149, 168–176. [Google Scholar] [CrossRef]
- Wong, T.K.; Wan, P. Perceptions and determinants of environmental concern: The case of Hong Kong and its implications for sustainable development. Sustian. Dev. 2011, 19, 235–249. [Google Scholar] [CrossRef]
- Waitt, G.; Caputi, P.; Gibson, C.; Farbotko, C.; Head, L.; Gill, N.; Stanes, E. Sustainable Household Capability: Which households are doing the work of environmental sustainability? Aust. Geogr. 2012, 43, 51–74. [Google Scholar] [CrossRef]
- Branchini, S.; Meschini, M.; Covi, C.; Piccinetti, C.; Zaccanti, F.; Goffredo, S. Participating in a Citizen Science Monitoring Program: Implications for Environmental Education. PLoS ONE 2015, 10, e0131812. [Google Scholar] [CrossRef]
- Drews, S.; van den Bergh, J.C.J.M. Public views on economic growth, the environment and prosperity: Results of a questionnaire survey. Glob. Environ. Chang. 2016, 39. [Google Scholar] [CrossRef]
- Newton, P.; Meyer, D. Exploring the Attitudes-Action Gap in Household Resource Consumption: Does “Environmental Lifestyle” Segmentation Align with Consumer Behaviour? Sustainability 2013, 5, 1211–1233. [Google Scholar] [CrossRef] [Green Version]
- Rajapaksa, D.; Islam, M.; Managi, S. Pro-Environmental Behavior: The Role of Public Perception in Infrastructure and the Social Factors for Sustainable Development. Sustainability 2018, 10, 937. [Google Scholar] [CrossRef] [Green Version]
- Barau, A.S. Perceptions and contributions of households towards sustainable urban green infrastructure in Malaysia. Habitat Int. 2015, 47, 285–297. [Google Scholar] [CrossRef]
- Harlan, S.L.; Yabiku, S.T.; Larsen, L.; Brazel, A.J. Household Water Consumption in an Arid City: Affluence, Affordance, and Attitudes. Soc. Nat. Resour. 2009, 22, 691–709. [Google Scholar] [CrossRef]
- Maiello, A.; Battaglia, M.; Daddi, T.; Frey, M. Urban sustainability and knowledge: Theoretical heterogeneity and the need of a transdisciplinary framework. A tale of four towns. Futures 2011, 43, 1164–1174. [Google Scholar] [CrossRef]
- Rogers, Z.; Bragg, E. The Power of Connection: Sustainable Lifestyles and Sense of Place. Ecopsychology 2012, 4, 307–318. [Google Scholar] [CrossRef] [Green Version]
- Schwartz, S.H.; Howard, J.A. A normative decision-making model of altruism. In Altruism Help. Behav; Rushton, J.P., Sorrentino, R.M., Eds.; 1981; pp. 189–211, ISBN-10: 0898591554. [Google Scholar]
- Bamberg, S.; Möser, G. Twenty years after Hines, Hungerford, and Tomera: A new meta-analysis of psycho-social determinants of pro-environmental behaviour. J. Environ. Psychol. 2007, 27, 14–25. [Google Scholar] [CrossRef]
- Uren, H.V.; Dzidic, P.L.; Roberts, L.D.; Leviston, Z.; Bishop, B.J. Green-Tinted Glasses: How Do Pro-Environmental Citizens Conceptualize Environmental Sustainability? Environ. Commun. 2019, 13, 395–411. [Google Scholar] [CrossRef] [Green Version]
- Fransson, N.; Gärling, T. Environmental concern: Conceptual definitions, measurement methods, and research findings. J. Environ. Psychol. 1999, 19, 369–382. [Google Scholar] [CrossRef]
- Macke, J.; Casagrande, R.M.; Sarate, J.A.R.; Silva, K.A. Smart city and quality of life: Citizens’ perception in a Brazilian case study. J. Clean. Prod. 2018, 182, 717–726. [Google Scholar] [CrossRef]
- Zhang, L.; Chen, L.; Wu, Z.; Xue, H.; Dong, W. Key Factors Affecting Informed Consumers’ Willingness to Pay for Green Housing: A Case Study of Jinan, China. Sustainability 2018, 10, 1711. [Google Scholar] [CrossRef] [Green Version]
- Polese, F.; Barile, S.; Caputo, F.; Carrubbo, L.; Waletzky, L. Determinants for Value Cocreation and Collaborative Paths in Complex Service Systems: A Focus on (Smart) Cities. Serv. Sci. 2018, 10, 397–407. [Google Scholar] [CrossRef]
- Der-Karabetian, A.; Cao, Y.; Alfaro, M. Sustainable Behavior, Perceived Globalization Impact, World-Mindedness, Identity, and Perceived Risk in College Samples from the United States, China, and Taiwan. Ecopsychology 2014, 6, 218–233. [Google Scholar] [CrossRef] [Green Version]
- Noonan, D.; Zhou, S.; Kirkman, R. Making Smart and Sustainable Infrastructure Projects Viable: Private Choices, Public Support, and Systems Constraints. Urban Plan. 2017, 2, 18–32. [Google Scholar] [CrossRef]
- Granier, B.; Kudo, H. How are citizens involved in smart cities? Analysing citizen participation in Japanese “Smart Communities”. Inf. Polity 2016, 21, 61–76. [Google Scholar] [CrossRef]
- Holdsworth, S.; Kenny, D.; Cooke, J.; Matfin, S. Are We Living with Our Heads in the Clouds? Perceptions of Liveability in the Melbourne High-Rise Apartment Market. In Energy Performance in the Australian Built Environment; Rajagopalan, P., Andamon, M.M., Moore, T., Eds.; Springer: Singapore, 2019; pp. 181–198. ISBN 978-981-10-7879-8. [Google Scholar]
- Norouzian-Maleki, S.; Bell, S.; Hosseini, S.-B.; Faizi, M.; Saleh-Sedghpour, B. A comparison of neighbourhood liveability as perceived by two groups of residents: Tehran, Iran and Tartu, Estonia. Urban For. Urban Green. 2018, 35, 8–20. [Google Scholar] [CrossRef] [Green Version]
- Karp, D.G. Values and their effect on pro-environmental behavior. Environ. Behav. 1996, 28, 111–133. [Google Scholar] [CrossRef]
- Norman, G. Likert scales, levels of measurement and the “laws” of statistics. Adv. Health Sci. Educ. 2010, 15, 625–632. [Google Scholar] [CrossRef]
- Norman, W.T. Toward an adequate taxonomy of personality attributes: Replicated factor structure in peer nomination personality ratings. J. Abnorm. Soc. Psychol. 1963, 66, 574. [Google Scholar] [CrossRef] [PubMed]









| Variable | Factor 1 | Factor 2 | Factor 3 | Communality | Cronbach’s Alpha |
|---|---|---|---|---|---|
| Aw1 | 0.804 | 0.112 | 0.280 | 0.738 | 0.87 |
| Aw2 | 0.784 | 0.068 | 0.314 | 0.718 | |
| Aw3 | 0.659 | 0.240 | −0.016 | 0.492 | |
| Aw4 | 0.694 | 0.070 | 0.294 | 0.573 | |
| Aw5 | 0.671 | 0.306 | 0.175 | 0.574 | |
| Per1 | 0.186 | 0.427 | 0.098 | 0.227 | 0.62 |
| Per2 | 0.302 | 0.464 | −0.067 | 0.311 | |
| Per3 | 0.032 | 0.606 | 0.231 | 0.421 | |
| Per4 | 0.064 | 0.558 | 0.126 | 0.331 | |
| Att1 | 0.092 | −0.098 | 0.451 | 0.222 | 0.68 |
| Att2 | 0.334 | 0.328 | 0.520 | 0.489 | |
| Att3 | 0.243 | 0.269 | 0.460 | 0.343 | |
| Att4 | 0.188 | 0.179 | 0.585 | 0.409 | |
| Att5 | 0.057 | 0.288 | 0.501 | 0.337 | |
| % Variance | 0.213 | 0.118 | 0.111 | 0.442 |
| Variable | Factor 1 | Factor 2 | Factor 3 | Factor 4 | Communality | Cronbach’s Alpha |
|---|---|---|---|---|---|---|
| Behavior 2.1 | 0.550 | 0.412 | 0.128 | 0.162 | 0.515 | 0.83 |
| Behavior 2.3 | 0.698 | 0.314 | 0.187 | 0.064 | 0.625 | |
| Behavior 3.3 | 0.730 | 0.097 | 0.152 | 0.289 | 0.649 | |
| Behavior 4.1 | 0.527 | 0.022 | 0.428 | 0.278 | 0.538 | |
| Behavior 5.2 | 0.524 | 0.177 | 0.318 | 0.321 | 0.510 | |
| Behavior 1.1 | 0.304 | 0.537 | 0.245 | 0.289 | 0.525 | 0.80 |
| Behavior 1.2 | 0.048 | 0.671 | 0.130 | 0.240 | 0.526 | |
| Behavior 1.3 | 0.246 | 0.718 | 0.149 | 0.187 | 0.632 | |
| Behavior 2.2 | 0.432 | 0.491 | 0.252 | 0.158 | 0.516 | |
| Behavior 3.1 | 0.292 | 0.500 | 0.518 | 0.151 | 0.627 | 0.80 |
| Behavior 3.2 | 0.289 | 0.054 | 0.367 | 0.191 | 0.258 | |
| Behavior 4.2 | 0.258 | 0.287 | 0.694 | 0.195 | 0.669 | |
| Behavior 4.3 | 0.129 | 0.333 | 0.474 | 0.394 | 0.507 | |
| Behavior 5.1 | 0.124 | 0.461 | 0.473 | 0.236 | 0.507 | |
| Behavior 6.1 | 0.171 | 0.248 | 0.192 | 0.475 | 0.353 | 0.75 |
| Behavior 6.2 | 0.361 | 0.227 | 0.236 | 0.467 | 0.456 | |
| Behavior 7.1 | 0.216 | 0.305 | 0.216 | 0.482 | 0.418 | |
| Behavior 7.2 | 0.415 | 0.242 | 0.177 | 0.445 | 0.460 | |
| % Variance | 0.159 | 0.152 | 0.112 | 0.093 | 0.516 |
| Awareness | Perception | |
|---|---|---|
| Awareness | 1 | |
| Perception | 0.37 * | 1 |
| Attitude | 0.49 * | 0.35 * |
| Awareness | Perception | Attitude | |
|---|---|---|---|
| Behavior | 0.57 * | 0.44 * | 0.57 * |
| Personality I(P1) | Personality II(P2) | Personality III(P3) | Personality IV(P4) | Personality V(P5) | |
|---|---|---|---|---|---|
| Awareness | 0.33 * | 0.33 * | 0.31 * | 0.16 * | 0.43 * |
| Perception | 0.26 * | 0.20 * | 0.22 * | 0.12 * | 0.27 * |
| Attitude | 0.21 * | 0.33 * | 0.29 * | 0.03 | 0.26 * |
| Personality I(P1) | Personality II(P2) | Personality III(P3) | Personality IV(P4) | Personality V(P5) | |
|---|---|---|---|---|---|
| Behavior | 0.30 * | 0.43 * | 0.46 * | 0.20 * | 0.43 * |
| Social Demographics (SD) | Awareness | Perception | Attitude | Behavior |
|---|---|---|---|---|
| SD1—Age | −0.14 * | −0.06 | −0.02 | 0.07 |
| SD2—Education | 0.44 * | 0.21 * | 0.16 * | 0.22 * |
| SD3—Income | 0.21 * | 0.13 * | 0.24 * | 0.09 |
| SD4—Household | 0.04 | 0.04 | −0.06 | −0.15 * |
| SD5—Year living in Istanbul | 0.00 | 0.03 | 0.18 * | 0.17 * |
| SD6—Size of home | 0.10 * | 0.06 | 0.20 * | 0.03 |
| Bahcelievler | G.Pasa | K.Cekmece | Sultanbeyli | Umraniye | Uskudar | |
|---|---|---|---|---|---|---|
| Avcilar | −0.95 | −0.90 | −0.94 | −1.50 | −0.71 | |
| Bakirkoy | −1.37 | |||||
| Bagcilar | −0.80 | −0.74 | −0.78 | −1.35 | −0.51 | −0.56 |
| Beykoz | −0.82 | −1.03 | ||||
| Beyoglu | −0.76 | −0.80 | −1.37 | −0.58 | ||
| Besiktas | −0.91 | −0.85 | −0.89 | −1.46 | −0.67 | |
| Cekmekoy | −1.28 | |||||
| Esenler | −0.88 | −0.82 | −0.86 | −1.43 | ||
| Fatih | −0.95 | −0.90 | −0.94 | −1.50 | −0.67 | −0.71 |
| Gungoren | −1.36 | |||||
| Sariyer | −0.79 | 0.74 | −0.78 | −1.34 | −0.55 | |
| Sisli | −0.68 | −0.66 | −1.23 |
| Fatih | Sariyer | Sultanbeyli | |
|---|---|---|---|
| Avcilar | −1.30 | ||
| Bahcelievler | 1.02 | 0.91 | |
| Bakirkoy | |||
| Bagcilar | 0.67 | 0.56 | |
| Beykoz | 0.56 | ||
| Beyoglu | −1.21 | ||
| Besiktas | −1.27 | ||
| Esenler | 0.91 | 0.80 | |
| G.Pasa | 0.96 | 0.85 | |
| Gungoren | 0.99 | 0.88 | |
| K.cekmece | 0.97 | 0.86 | |
| Sultanbeyli | 1.75 | 1.64 | |
| Umraniye | 1.06 | ||
| Uskudar | 0.72 | 0.61 | |
| Zeytinburnu | 0.99 | 0.88 |
| Influencing Factors (IF) | Awareness | Perception | Attitude |
|---|---|---|---|
| IF 1—Awareness of Consequences | 0.30 * | 0.22 * | 0.51 * |
| IF 2—Habit | 0.10 * | 0.09 | 0.13 * |
| IF 3—Trust in Society | 0.08 | −0.03 | −0.12 * |
| IF 4—Social Appraisement | 0.42 * | 0.29 * | 0.54 * |
| IF 5—National Identity | 0.18 * | 0.21 * | 0.39 * |
| IF 6—World Mindedness | 0.28 * | 0.33 * | 0.37 * |
| IF 7—Place Attachment | 0.12 * | 0.10 * | 0.29 * |
| IF 8—Health and Safety Concerns | 0.07 | −0.04 | 0.15 * |
| IF 9—Willingness to Pay | 0.33 * | 0.20 * | 0.31 * |
| IF 10—Trust in Actors | −0.04 | −0.16 * | 0.11 * |
| IF 11—Satisfaction with Built Environment | 0.12 * | −0.04 | 0.11 * |
| IF 12—Availability of Public Facilities | 0.11 * | −0.01 | 0.16 * |
| IF 13—Locus of Control | −0.03 | −0.22 * | −0.01 |
| IF 14—Trust in Science and Technology | 0.25 * | 0.27 * | 0.36 * |
| IF 15—Human Priority | −0.09 | −0.07 | −0.40 * |
| IF 16—Prosperity Perception | −0.07 | −0.05 | −0.32 * |
| IF 17—Perception of Economic Growth | −0.11 * | −0.02 | −0.38 * |
| IF 18—Willingness to Sacrifice | −0.13 * | −0.15 * | −0.16 * |
| IF 19—Ascription of Responsibility | 0.00 | 0.15 * | 0.07 |
| Influencing Factors (IF) | Behavior |
|---|---|
| IF 1—Awareness of Consequences | 0.43 * |
| IF 2—Habit | 0.23 * |
| IF 3—Trust in Society | 0.21 * |
| IF 4—Social Appraisement | 0.49 * |
| IF 5—National Identity | 0.22 * |
| IF 6—World Mindedness | 0.42 * |
| IF 7—Place Attachment | 0.29 * |
| IF 8—Health and Safety Concerns | −0.01 |
| IF 9—Willingness to Pay | 0.47 * |
| IF 10—Trust in Actors | 0.11 * |
| IF 11—Satisfaction with Built Environment | 0.15 * |
| IF 12—Availability of Public Facilities | 0.15 * |
| IF 13—Locus of Control | −0.03 |
| IF 14—Trust in Science and Technology | 0.29 * |
| IF 15—Human Priority | −0.16 * |
| IF 16—Prosperity Perception | −0.16 * |
| IF 17—Perception of Economic Growth | −0.15 * |
| IF 18—Willingness to Sacrifice | −0.17 * |
| IF 19—Ascription of Responsibility | 0.17 * |
| Awareness | Perception | Attitude | Behavior | |
|---|---|---|---|---|
| Awareness | 0.176 * | 0.153 * | 0.218 * | |
| Perception | 0.060 | 0.128 * | ||
| Attitude | 0.190 * | |||
| Influencing Factors (IF) | ||||
| IF 1—Awareness of Consequences | 0.164 * | 0.002 | 0.209 * | 0.079 |
| IF 2—Habit | 0.029 | 0.053 | 0.028 | 0.017 |
| IF 3—Trust in Society | 0.040 | −0.061 | −0.102 * | 0.111 * |
| IF 4—Social Appraisement | 0.172 * | 0.082 | 0.167 * | 0.092 * |
| IF 5—National Identity | 0.031 | 0.089 | 0.181 * | 0.063 |
| IF 6—World Mindedness | 0.005 | 0.171 * | 0.136 * | 0.087 * |
| IF 7—Place Attachment | −0.042 | 0.052 | 0.047 | −0.023 |
| IF 8—Health and Safety Concerns | 0.035 | −0.091 * | 0.083 * | −0.031 |
| IF 9—Willingness to Pay | 0.144 * | 0.085 | 0.141 * | 0.144 * |
| IF 10—Trust in Actors | −0.075 | −0.062 | 0.094 * | 0.066 |
| IF 11—Satisfaction with Built Environment | 0.085 | −0.057 | −0.015 | −0.003 |
| IF 12—Availability of Public Facilities | 0.051 | −0.042 | −0.016 | −0.025 |
| IF 13—Locus of Control | 0.028 | −0.151 * | 0.101 * | −0.001 |
| IF 14—Trust in Science and Technology | 0.071 | 0.173 * | 0.081 * | −0.073 |
| IF 15—Human Priority | −0.020 | 0.009 | −0.051 | 0.065 |
| IF 16—Prosperity Perception | 0.044 | 0.109 | 0.025 | −0.027 |
| IF 17—Perception of Economic Growth | −0.017 | 0.060 | −0.116 * | 0.014 |
| IF 18—Willingness to Sacrifice | −0.119 * | −0.151 * | −0.040 | −0.012 |
| IF 19—Ascription of Responsibility | −0.105 * | 0.167 * | 0.077 * | 0.059 |
| Personality Traits (P) | ||||
| P1—Surgency | 0.022 | 0.037 | 0.035 | −0.020 |
| P2—Agreeableness | 0.078 | −0.032 | 0.000 | 0.085 * |
| P3—Conscientiousness | 0.022 | 0.067 | −0.006 | 0.131 * |
| P4—Emotional Stability | 0.021 | 0.014 | −0.050 | 0.048 |
| P5—Intellect | 0.149 * | −0.042 | −0.017 | 0.084 * |
| Social Demographics (SD) | ||||
| SD 1—Age | −0.086 * | 0.014 | −0.062 | 0.095 * |
| SD 2—Gender | −0.074 * | 0.101 * | −0.034 | 0.001 |
| SD 4—Education | 0.323 * | 0.038 | −0.033 | 0.023 |
| SD 6—Income | 0.000 | 0.028 | 0.046 | −0.045 |
| SD 8—Household number | 0.047 | 0.110 * | −0.011 | −0.069 |
| SD 9—Year living in Istanbul | −0.088 | −0.051 | 0.063 | 0.012 |
| SD 10—Future residency | −0.006 | 0.020 | 0.024 | −0.001 |
| SD 12—Residential Status | 0.127 * | 0.043 | −0.031 | 0.006 |
| SD 13—Size of House | 0.006 | −0.010 | 0.090 * | −0.014 |
| R2—Model Fit | 0.539 | 0.369 | 0.669 | 0.650 |
| F | 13.31 | 6.428 | 21.58 | 19.19 |
| Error | 0.67 | 0.79 | 0.57 | 0.59 |
| Model Significance | p< 0.01 | p< 0.01 | p< 0.01 | p< 0.01 |
Publisher’s Note: MDPI stays neutral with regard to jurisdictional claims in published maps and institutional affiliations. |
© 2021 by the authors. Licensee MDPI, Basel, Switzerland. This article is an open access article distributed under the terms and conditions of the Creative Commons Attribution (CC BY) license (https://creativecommons.org/licenses/by/4.0/).
Share and Cite
Topal, H.F.; Hunt, D.V.L.; Rogers, C.D.F. Sustainability Understanding and Behaviors across Urban Areas: A Case Study on Istanbul City. Sustainability 2021, 13, 7711. https://doi.org/10.3390/su13147711
Topal HF, Hunt DVL, Rogers CDF. Sustainability Understanding and Behaviors across Urban Areas: A Case Study on Istanbul City. Sustainability. 2021; 13(14):7711. https://doi.org/10.3390/su13147711
Chicago/Turabian StyleTopal, Hasan Fehmi, Dexter V. L. Hunt, and Christopher D. F. Rogers. 2021. "Sustainability Understanding and Behaviors across Urban Areas: A Case Study on Istanbul City" Sustainability 13, no. 14: 7711. https://doi.org/10.3390/su13147711
APA StyleTopal, H. F., Hunt, D. V. L., & Rogers, C. D. F. (2021). Sustainability Understanding and Behaviors across Urban Areas: A Case Study on Istanbul City. Sustainability, 13(14), 7711. https://doi.org/10.3390/su13147711
