PV/Wind-Integrated Low-Inertia System Frequency Control: PSO-Optimized Fractional-Order PI-Based SMES Approach
Abstract
:1. Introduction
2. High-Level PV/Wind-Integrated System Modeling
3. SMES Model with FOPI Controller
3.1. Controller Design
3.2. Description of Cost Function
3.3. Solution Approach with PSO
- Since the PSO uses a numerical valued cost function, it is suitable for any nonderivative cost function optimization.
- The PSO facilitates more flexible and robust control frameworks as it uses probability rules.
- It does not fall into premature convergence.
- It has great flexibility for use in online optimization.
- It requires less time compared to other algorithms.
- It provides accurate results with very simple operations.
- Step 2: Selection of the PSO initial parameters including , , maximum iteration, population size, etc.
- Step 3: Generation of the initial population within the limits.
- Step 4: Running the time domain simulation and determining the value of the objective function described by Equation (13).
- Step 5: Storing the local best, the best of the current population, and the global best, the best of the total population.
- Step 6: Updating the velocity of all populations using Equation (16).
- Step 7: Generating a new population based on the updated particle position calculated by Equation (17).
- Step 8: Stopping the optimization if the termination criteria are met. Otherwise, returning to step 4.
4. Results and Discussion
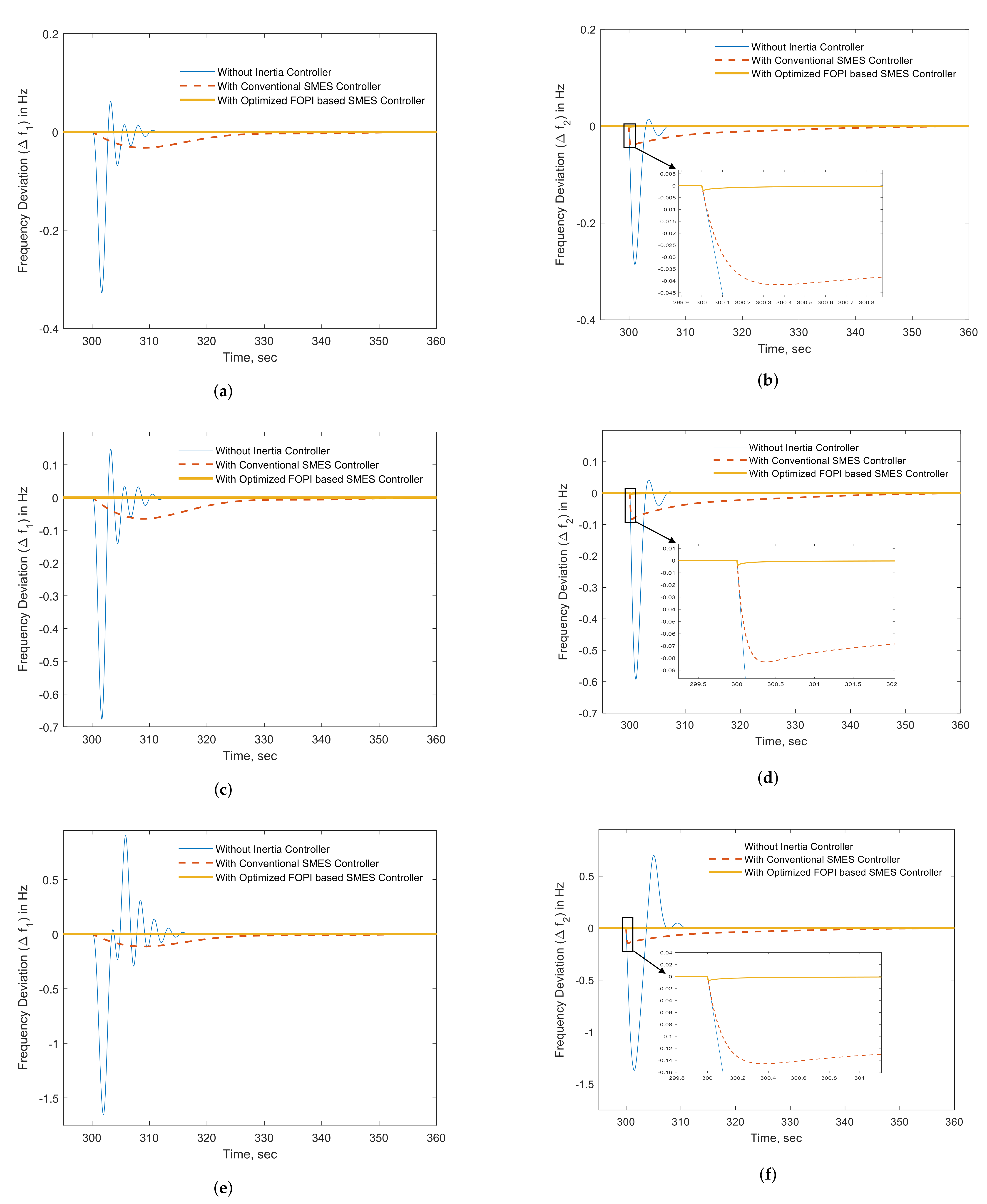
4.1. Frequency Response Study for Step Load Change in Area 1
4.2. Frequency Response Study for Step Load Change in Area 2
4.3. Controller Performance with Solar PV and Wind Power Fluctuations
4.4. Frequency Response Analysis for Multiple Load Changes
4.5. The Robust Performance of the Proposed Controller with the Reduced System Inertia
5. Conclusions
Author Contributions
Funding
Institutional Review Board Statement
Informed Consent Statement
Data Availability Statement
Acknowledgments
Conflicts of Interest
Abbreviations
| RESs | Renewable energy sources |
| RoCoF | Rate of change of frequency |
| FOPI | Fractional-order proportional integral |
| SMES | Superconducting magnetic energy storage |
| PV | Photovoltaic |
| RE | Renewable Energy |
| PI | Proportional integral |
| PID | Proportional integral derivative |
| DFIG | Doubly fed induction generator |
| CCFC | Capacity constrained frequency control |
| LFC | Load frequency control |
| AEC | Area control error |
| PSO | Particle swarm optimization |
| GDB | Governor dead band |
| ANFIS | Adaptive neuro fuzzy system |
| TCPS | Thyristor controlled phase shifter |
| ABC | Ant bee colony |
| SOA | Seeker optimization algorithm |
| HS | Harmony search |
| WF | Wind farm |
| GRC | Generation rate constraint |
| PCS | Power conversion system |
| SA | Solar array |
| ISE | Integral squared error |
References
- Yongning, C.; Yan, L.; Zhen, W.; Zhen, L.; Hongzhi, L.; Zhankui, Z. The Characteristics and Challenge on Large-Scale Renewable Energy Grid Integration. In Proceedings of the 2019 IEEE Innovative Smart Grid Technologies-Asia (ISGT Asia), Chengdu, China, 21–24 May 2019; pp. 1393–1398. [Google Scholar]
- Kumar, K.P.; Saravanan, B. Recent techniques to model uncertainties in power generation from renewable energy sources and loads in microgrids—A review. Renew. Sustain. Energy Rev. 2017, 71, 348–358. [Google Scholar] [CrossRef]
- Samani, A.E.; D’Amicis, A.; De Kooning, J.D.; Bozalakov, D.; Silva, P.; Vandevelde, L. Grid balancing with a large-scale electrolyser providing primary reserve. IET Renew. Power Gener. 2020, 14, 3070–3078. [Google Scholar] [CrossRef]
- Dadkhah, A.; Bozalakov, D.; De Kooning, J.D.; Vandevelde, L. On the optimal planning of a hydrogen refuelling station participating in the electricity and balancing markets. Int. J. Hydrog. Energy 2021, 46, 1488–1500. [Google Scholar] [CrossRef]
- Alam, M.S.; Al-Ismail, F.S.; Salem, A.; Abido, M.A. High-Level Penetration of Renewable Energy Sources Into Grid Utility: Challenges and Solutions. IEEE Access 2020, 8, 190277–190299. [Google Scholar] [CrossRef]
- Morren, J.; De Haan, S.W.; Kling, W.L.; Ferreira, J. Wind turbines emulating inertia and supporting primary frequency control. IEEE Trans. Power Syst. 2006, 21, 433–434. [Google Scholar] [CrossRef]
- Fini, M.H.; Golshan, M.E.H. Frequency control using loads and generators capacity in power systems with a high penetration of renewables. Electr. Power Syst. Res. 2019, 166, 43–51. [Google Scholar] [CrossRef]
- Ulbig, A.; Borsche, T.S.; Andersson, G. Impact of low rotational inertia on power system stability and operation. IFAC Proc. Vol. 2014, 47, 7290–7297. [Google Scholar] [CrossRef] [Green Version]
- Saxena, P.; Singh, N.; Pandey, A.K. Enhancing the dynamic performance of microgrid using derivative controlled solar and energy storage based virtual inertia system. J. Energy Storage 2020, 31, 101613. [Google Scholar] [CrossRef]
- Pradhan, C.; Bhende, C. Enhancement in primary frequency contribution using dynamic deloading of wind turbines. IFAC-PapersOnLine 2015, 48, 13–18. [Google Scholar] [CrossRef]
- Ma, H.; Chowdhury, B. Working towards frequency regulation with wind plants: Combined control approaches. IET Renew. Power Gener. 2010, 4, 308–316. [Google Scholar] [CrossRef]
- Khooban, M.H.; Niknam, T. A new intelligent online fuzzy tuning approach for multi-area load frequency control: Self Adaptive Modified Bat Algorithm. Int. J. Electr. Power Energy Syst. 2015, 71, 254–261. [Google Scholar] [CrossRef]
- Magdy, G.; Mohamed, E.A.; Shabib, G.; Elbaset, A.A.; Mitani, Y. SMES based a new PID controller for frequency stability of a real hybrid power system considering high wind power penetration. IET Renew. Power Gener. 2018, 12, 1304–1313. [Google Scholar] [CrossRef]
- Cominos, P.; Munro, N. PID controllers: Recent tuning methods and design to specification. IEE Proc. Control Theory Appl. 2002, 149, 46–53. [Google Scholar] [CrossRef]
- Yang, L.; Hu, Z.; Xie, S.; Kong, S.; Lin, W. Adjustable virtual inertia control of supercapacitors in PV-based AC microgrid cluster. Electr. Power Syst. Res. 2019, 173, 71–85. [Google Scholar] [CrossRef]
- Magdy, G.; Shabib, G.; Elbaset, A.A.; Mitani, Y. A novel coordination scheme of virtual inertia control and digital protection for microgrid dynamic security considering high renewable energy penetration. IET Renew. Power Gener. 2018, 13, 462–474. [Google Scholar] [CrossRef]
- Kerdphol, T.; Watanabe, M.; Mitani, Y.; Phunpeng, V. Applying Virtual Inertia Control Topology to SMES System for Frequency Stability Improvement of Low-Inertia Microgrids Driven by High Renewables. Energies 2019, 12, 3902. [Google Scholar] [CrossRef] [Green Version]
- Gomez, L.; Grilo, A.P.; Salles, M.; Sguarezi Filho, A. Combined Control of DFIG-Based Wind Turbine and Battery Energy Storage System for Frequency Response in Microgrids. Energies 2020, 13, 894. [Google Scholar] [CrossRef] [Green Version]
- Kerdphol, T.; Watanabe, M.; Hongesombut, K.; Mitani, Y. Self-Adaptive Virtual Inertia Control-Based Fuzzy Logic to Improve Frequency Stability of Microgrid With High Renewable Penetration. IEEE Access 2019, 7, 76071–76083. [Google Scholar] [CrossRef]
- Kim, J.; Muljadi, E.; Gevorgian, V.; Mohanpurkar, M.; Luo, Y.; Hovsapian, R.; Koritarov, V. Capability-coordinated frequency control scheme of a virtual power plant with renewable energy sources. IET Gener. Transm. Distrib. 2019, 13, 3642–3648. [Google Scholar] [CrossRef]
- Abo-Elyousr, F.K.; Abdelaziz, A.Y. A Novel Modified Robust Load Frequency Control for Mass-Less Inertia Photovoltaics Penetrations via Hybrid PSO-WOA Approach. Electr. Power Compon. Syst. 2019, 47, 1744–1758. [Google Scholar] [CrossRef]
- Yap, K.Y.; Sarimuthu, C.R.; Lim, J.M.Y. Grid Integration of Solar Photovoltaic System Using Machine Learning-Based Virtual Inertia Synthetization in Synchronverter. IEEE Access 2020, 8, 49961–49976. [Google Scholar] [CrossRef]
- Rahman, F.S.; Kerdphol, T.; Watanabe, M.; Mitani, Y. Optimization of virtual inertia considering system frequency protection scheme. Electr. Power Syst. Res. 2019, 170, 294–302. [Google Scholar] [CrossRef]
- Zhang, X.; Zhu, Z.; Fu, Y.; Li, L. Optimized virtual inertia of wind turbine for rotor angle stability in interconnected power systems. Electr. Power Syst. Res. 2020, 180, 106157. [Google Scholar] [CrossRef]
- Pappachen, A.; Fathima, A.P. Load frequency control in deregulated power system integrated with SMES–TCPS combination using ANFIS controller. Int. J. Electr. Power Energy Syst. 2016, 82, 519–534. [Google Scholar] [CrossRef]
- Ali, M.H.; Wu, B.; Dougal, R.A. An overview of SMES applications in power and energy systems. IEEE Trans. Sustain. Energy 2010, 1, 38–47. [Google Scholar] [CrossRef]
- Shayeghi, H.; Jalili, A.; Shayanfar, H. A robust mixed H2/Hinf based LFC of a deregulated power system including SMES. Energy Convers. Manag. 2008, 49, 2656–2668. [Google Scholar] [CrossRef]
- Ngamroo, I.; Karaipoom, T. Cooperative control of SFCL and SMES for enhancing fault ride through capability and smoothing power fluctuation of DFIG wind farm. IEEE Trans. Appl. Supercond. 2014, 24, 1–4. [Google Scholar] [CrossRef]
- Ali, M.H.; Park, M.; Yu, I.K.; Murata, T.; Tamura, J.; Wu, B. Enhancement of transient stability by fuzzy logic-controlled SMES considering communication delay. Int. J. Electr. Power Energy Syst. 2009, 31, 402–408. [Google Scholar] [CrossRef]
- Chen, L.; Chen, H.; Yang, J.; Yu, Y.; Zhen, K.; Liu, Y.; Ren, L. Coordinated control of superconducting fault current limiter and superconducting magnetic energy storage for transient performance enhancement of grid-connected photovoltaic generation system. Energies 2017, 10, 56. [Google Scholar] [CrossRef] [Green Version]
- Abu-Siada, A.; Islam, S. Application of SMES unit in improving the performance of an AC/DC power system. IEEE Trans. Sustain. Energy 2010, 2, 109–121. [Google Scholar] [CrossRef]
- Podlubny, I. Fractional-order systems and PIλDμ controllers. IEEE Trans. Autom. Control 1999, 44, 208–214. [Google Scholar] [CrossRef]
- Li, H.; Luo, Y.; Chen, Y. A fractional order proportional and derivative (FOPD) motion controller: Tuning rule and experiments. IEEE Trans. Control Syst. Technol. 2009, 18, 516–520. [Google Scholar] [CrossRef]
- Komathi, C.; Umamaheswari, M. Design of Gray Wolf Optimizer Algorithm-Based Fractional Order PI Controller for Power Factor Correction in SMPS Applications. IEEE Trans. Power Electron. 2019, 35, 2100–2118. [Google Scholar] [CrossRef]
- Kesarkar, A.A.; Selvaganesan, N. Tuning of optimal fractional-order PID controller using an artificial bee colony algorithm. Syst. Sci. Control Eng. 2015, 3, 99–105. [Google Scholar] [CrossRef] [Green Version]
- Kumar, M.R.; Deepak, V.; Ghosh, S. Fractional-order controller design in frequency domain using an improved nonlinear adaptive seeker optimization algorithm. Turk. J. Electr. Eng. Comput. Sci. 2017, 25, 4299–4310. [Google Scholar] [CrossRef]
- Mosaad, M.I. Direct power control of SRG-based WECSs using optimised fractional-order PI controller. IET Electr. Power Appl. 2020, 14, 409–417. [Google Scholar] [CrossRef]
- Alam, M.; Alotaibi, M.A.; Alam, M.A.; Hossain, M.; Shafiullah, M.; Al-Ismail, F.S.; Rashid, M.; Ur, M.; Abido, M.A. High-Level Renewable Energy Integrated System Frequency Control with SMES-Based Optimized Fractional Order Controller. Electronics 2021, 10, 511. [Google Scholar] [CrossRef]
- Lee, D.J.; Wang, L. Small-signal stability analysis of an autonomous hybrid renewable energy power generation/energy storage system part I: Time-domain simulations. IEEE Trans. Energy Convers. 2008, 23, 311–320. [Google Scholar] [CrossRef]
- Bevrani, H.; Habibi, F.; Babahajyani, P.; Watanabe, M.; Mitani, Y. Intelligent frequency control in an AC microgrid: Online PSO-based fuzzy tuning approach. IEEE Trans. Smart Grid 2012, 3, 1935–1944. [Google Scholar] [CrossRef]
- Bevrani, H. Robust Power System Frequency Control; Springer: Boston, MA, USA, 2009; Volume 85. [Google Scholar]
- Tripathy, S.; Balasubramanian, R.; Nair, P. Effect of superconducting magnetic energy storage on automatic generation control considering governor deadband and boiler dynamics. IEEE Trans. Power Syst. 1992, 7, 1266–1273. [Google Scholar] [CrossRef]
- Eberhart, R.; Kennedy, J. A new optimizer using particle swarm theory. In Proceedings of the MHS’95, Sixth International Symposium on Micro Machine and Human Science, Nagoya, Japan, 4–6 October 1995; pp. 39–43. [Google Scholar]
- Tasgetiren, M.F.; Sevkli, M.; Liang, Y.C.; Gencyilmaz, G. Particle swarm optimization algorithm for permutation flowshop sequencing problem. In Proceedings of the International Workshop on Ant Colony Optimization and Swarm Intelligence, Brussels, Belgium, 5–8 September 2004; pp. 382–389. [Google Scholar]
- Engelbretch, A. Fundamentals of Computational Swarm Intelligence; John Wiley & Sons Ltd.: Oxford, UK, 2005; pp. 5–129. [Google Scholar]
- Abdel-Magid, Y.L.; Abido, M.A. AGC tuning of interconnected reheat thermal systems with particle swarm optimization. In Proceedings of the 10th IEEE International Conference on Electronics, Circuits and Systems, Sharjah, United Arab Emirates, 14–17 December 2003; Volume 1, pp. 376–379. [Google Scholar]
- Hossain, M.A.; Pota, H.R.; Squartini, S.; Zaman, F.; Guerrero, J.M. Energy scheduling of community microgrid with battery cost using particle swarm optimisation. Appl. Energy 2019, 254, 113723. [Google Scholar] [CrossRef]
- Aguilar, M.E.B.; Coury, D.V.; Reginatto, R.; Monaro, R.M. Multi-objective PSO applied to PI control of DFIG wind turbine under electrical fault conditions. Electr. Power Syst. Res. 2020, 180, 106081. [Google Scholar] [CrossRef]
- Kanwar, N.; Gupta, N.; Niazi, K.; Swarnkar, A.; Bansal, R. Simultaneous allocation of distributed energy resource using improved particle swarm optimization. Appl. Energy 2017, 185, 1684–1693. [Google Scholar] [CrossRef]
- Obaid, Z.A.; Cipcigan, L.M.; Abrahim, L.; Muhssin, M.T. Frequency control of future power systems: Reviewing and evaluating challenges and new control methods. J. Mod. Power Syst. Clean Energy 2019, 7, 9–25. [Google Scholar] [CrossRef]














| Parameters | Value | |
|---|---|---|
| Area-1 | Area-2 | |
| Inertia (p.u. MW s) | 0.079 | 0.11 |
| Damping constant (p.u. MW/Hz) | 0.016 | 0.017 |
| Time constant of solar system (s) | 1.2 | 1.2 |
| Time constant of wind system (s) | 1.4 | 1.4 |
| Frequency bias factor (p.u. MW/Hz) | 0.3585 | 0.3928 |
| Valve gate maximum limit (p.u. MW) | 0.5 | 0.5 |
| Valve gate minimum limit (p.u. MW) | −0.5 | −0.5 |
| Synchronizing coefficient (p.u. MW/Hz) | 0.09 | 0.09 |
| Area capacity ratio | −0.055 | −0.055 |
| Generation rate constraint (GRC) | 0.3 | 0.3 |
| Thermal generator (MW) | 12 | 15 |
| Wind generator (MW) | 8 | 8 |
| PV generator (MW) | 6 | 6 |
| Energy storage power rating (MW) | 3 | 3 |
| Energy storage inductor (H) | 2.65 | 2.65 |
| Energy storage time constant (s) | 0.05 | 0.05 |
| Energy storage reference current (kA) | 4.5 | 4.5 |
| Optimzed Parameters | |||
|---|---|---|---|
| Name | Value | Name | Value |
| 6.8650 | 0.1931 | ||
| 117.60 | 0.5000 | ||
| 0.9603 | 2.9782 | ||
| 21.660 | 0.1300 | ||
| 78.820 | 2.4879 | ||
| 0.6855 | 0.0410 | ||
| Frequency Deviation | |||||||
|---|---|---|---|---|---|---|---|
| (Hz) | (Hz) | ||||||
| Area | Step Load Change in p.u. | without Inertia Controller | Conventional SMES Controller | FOPI Based SMES | without Inertia Controller | Conventional SMES Controller | FOPI Based SMES |
| Area-1 | 0.1 | 0.420 | 0.035 | 0.005 | 0.020 | 0.004 | 4.0 |
| 0.2 | 0.850 | 0.080 | 0.010 | 0.040 | 0.008 | 3.2 | |
| 0.35 | unstable | 0.120 | 0.040 | unstable | 0.030 | 2.1 | |
| Area-2 | 0.1 | 0.395 | 0.025 | 1.9 | 0.320 | 0.030 | 0.010 |
| 0.2 | 0.840 | 0.060 | 1.2 | 0.630 | 0.090 | 0.012 | |
| 0.35 | 2.650 | 0.150 | 1.0 | 2.125 | 0.106 | 0.025 | |
| Performance Indices | without Inertia Controller | Conventional SMES | Optimized FOPI Based SMES |
|---|---|---|---|
| Maximum Overshoot, Hz | 0.39 | 0.05 | 0.0100 |
| Maximum Undershoot, Hz | 0.25 | 0.01 | 0.0001 |
| Settling Time, Sec | inf | 50 | 2 |
Publisher’s Note: MDPI stays neutral with regard to jurisdictional claims in published maps and institutional affiliations. |
© 2021 by the authors. Licensee MDPI, Basel, Switzerland. This article is an open access article distributed under the terms and conditions of the Creative Commons Attribution (CC BY) license (https://creativecommons.org/licenses/by/4.0/).
Share and Cite
Alam, M.S.; Al-Ismail, F.S.; Abido, M.A. PV/Wind-Integrated Low-Inertia System Frequency Control: PSO-Optimized Fractional-Order PI-Based SMES Approach. Sustainability 2021, 13, 7622. https://doi.org/10.3390/su13147622
Alam MS, Al-Ismail FS, Abido MA. PV/Wind-Integrated Low-Inertia System Frequency Control: PSO-Optimized Fractional-Order PI-Based SMES Approach. Sustainability. 2021; 13(14):7622. https://doi.org/10.3390/su13147622
Chicago/Turabian StyleAlam, Md Shafiul, Fahad Saleh Al-Ismail, and Mohammad Ali Abido. 2021. "PV/Wind-Integrated Low-Inertia System Frequency Control: PSO-Optimized Fractional-Order PI-Based SMES Approach" Sustainability 13, no. 14: 7622. https://doi.org/10.3390/su13147622
APA StyleAlam, M. S., Al-Ismail, F. S., & Abido, M. A. (2021). PV/Wind-Integrated Low-Inertia System Frequency Control: PSO-Optimized Fractional-Order PI-Based SMES Approach. Sustainability, 13(14), 7622. https://doi.org/10.3390/su13147622

