Experimental Study of Thermal Response of Vertically Loaded Energy Pipe Pile
Abstract
:1. Introduction
2. Field Test Details
2.1. Geological Conditions
2.2. Energy Pile and Instrumentation
3. Results and Discussion
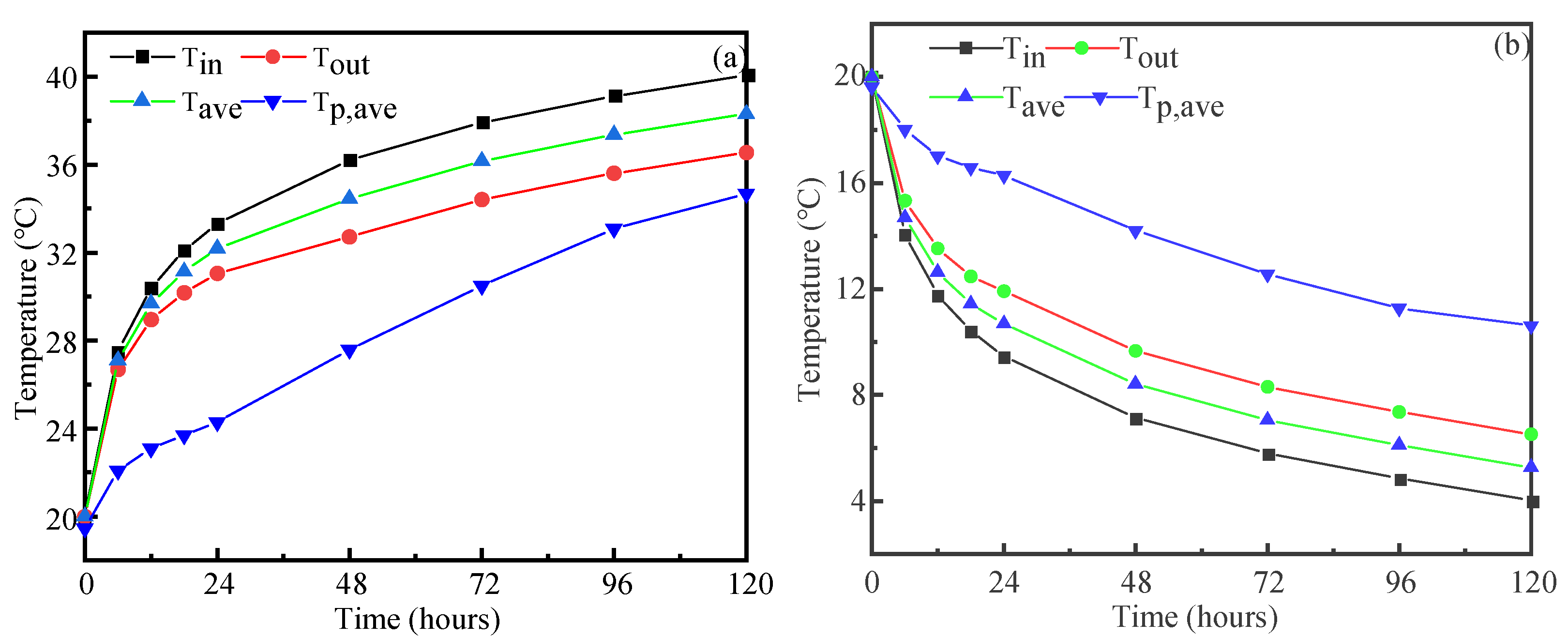
3.1. Temperature Profiles along with Test Pile
3.2. Thermo-Mechanical Strain Profiles along with Test Pile
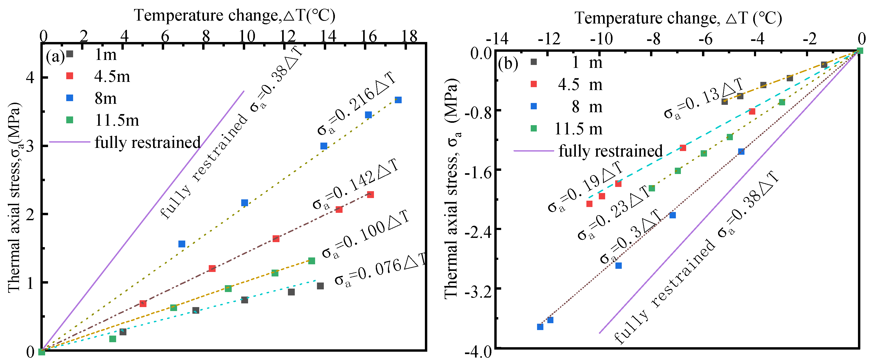
3.3. Thermo-Mechanical Stress Profiles along with Test Pile
3.4. Assessment of Mobilized Side Shear Stresses
3.5. Assessment of Thermo-Mechanical Displacement Profiles
4. Conclusions
- (1)
- During the operation of the PHC energy pile in the summer and winter, the temperature of the pile gradually changed. The temperature in the initial stage changed rapidly; as the test progressed, the temperature increment gradually decreased. In short, the temperature was low at the two ends and high in the middle;
- (2)
- Under both the summer and winter conditions, the thermal stress gradually increased with the pile’s temperature, due to the joint constraints of the soil around the pile and the soil at the pile top; the thermal stress was small at both ends and large in the middle, and this is probably because the pile top is located at the dense sand layer and the restraint rigidity is relatively large. At the end of the summer test, the maximum compressive stress at 8 m of the pile was 3.446 MPa; in the winter, the maximum tensile stress at 8 m of the pile was 2.69 MPa. The thermal stress has a linear relationship with the temperature increment. The relationship between the maximum compressive stress and the temperature difference is ; the relationship between the maximum temperature tensile stress and the temperature difference is . The results showed that the temperature stress generated under the dual temperature cycle conditions would not affect the safety of the pile foundation and the superstructure;
- (3)
- The pile is constrained by the soil around during the temperature cycle and cannot be deformed freely, leading to side friction resistance. In the summer, the soil around the upper part of the pile produced negative side friction resistance, and the soil around the lower part of the pile produced positive side friction resistance; the situation is the opposite in the winter. The neutral point is about 10.75 m away from the pile top, and it did not move during the whole test, indicating that the neutral point of the pile is close to the end of the pile with a higher degree of restraint. The side friction resistance of the pile increased with the increase in the temperature difference and increased along with the neutral point to the two ends of the pile, and the absolute value of the soil friction resistance of the upper part of the pile was larger than the that of the lower part. Under the winter condition, the side friction resistance degraded from 4.5 to 11.5 m during the test. In addition, the results show that the position of the neutral point of the pile is affected by the pile end restraint condition, and it is always close to the end of the pile with stronger restraint;
- (4)
- During the test, the displacement of the pile top and other measuring points had been increasing, and the displacement of the point above the neutral point was greater than the displacement of the point below the neutral point. The test results show that at the end of the summer test, the displacement of the pile top was 0.7 mm, about 0.175%D. In the winter, as the temperature of the pile gradually decreased, the displacement of the pile top gradually increased. At the end of the test, the displacement of pile top gradually increased, and the maximum displacement was 0.4 mm, about 0.1%D.
Author Contributions
Funding
Acknowledgments
Conflicts of Interest
References
- Jiang, Q.Q.; Jiao, Y.Y.; Luo, J.; Wang, H. Review and prospect on heat transfer and bearing performance of energy piles. Rock Soil Mech. 2019, 40, 3351–3362. [Google Scholar]
- Cui, Y.L.; Zhu, J.; Meng, F.R. Techno-economic evaluation of multiple energy piles for a ground-coupled heat pump system. Energy Convers. Manag. 2018, 178, 200–216. [Google Scholar] [CrossRef]
- Brandl, H. Energy foundations and other thermo-active groundstructures. Géotechnique 2006, 56, 81–122. [Google Scholar] [CrossRef]
- Liu, H.W.; Maghoul, P.; Bahari, A.; Kavgic, M. Feasibility study of snow melting system for bridge decks using geothermal energy piles integrated with heat pump in Canada. Renew. Energy 2019, 136, 1266–1280. [Google Scholar] [CrossRef]
- Laloui, L.; Nuth, M.; Vulliet, L. Experimental and numerical investigations of the behaviour of a heat exchanger pile. Int. J. Numer. Anal. Methods Geomech. 2006, 30, 763–781. [Google Scholar] [CrossRef]
- Bourne-Webb, P.J.; Amatya, B.; Soga, K.; Amis, T.; Davidson, C.; Payne, P. Energy pile test at LambethCollege, London: Geotechnical and thermodynamic aspects of pile response to heat cycles. Géotechnique 2009, 59, 237–248. [Google Scholar] [CrossRef]
- Guo, Y.M.; Zhang, G.Z.; Liu, S.Y. Investigation on the thermal response of full-scale PHC energy pile and ground temperature in multi-layer strata. Appl. Therm. Eng. 2018, 143, 836–848. [Google Scholar] [CrossRef]
- Murphy, K.D.; McCartney, J.S.; Henry, K.S. Evaluation of thermo-mechanical and thermal behavior offull-scale energy foundations. Acta Geotech. 2014, 10, 179–195. [Google Scholar] [CrossRef]
- Chen, Y.H.; Xu, J.; Li, H.; Chen, L. Performance of a Prestressed Concrete Pipe Energy Pile during Heating and Cooling. J. Perform. Constr. Facil. 2017, 31, 1–7. [Google Scholar] [CrossRef]
- Murphy, K.D.; McCartney, J.S. Seasonal Response of Energy Foundations During Building Operation. Geotech. Geol. Eng. 2015, 33, 343–356. [Google Scholar] [CrossRef]
- Wang, B.; Bouazza, A.; Singh, R.M.; Haberfield, C.; Barry-Macaulay, D.; Baycan, S. Posttemperature Effects on Shaft Capacity of a Full-Scale Geothermal Energy Pile. J. Geotech. Geoenviron. Eng. 2015, 141. [Google Scholar] [CrossRef] [Green Version]
- McCartney, J.S.; Murphy, K.D. Investigation of potential dragdown/uplift effects on energy piles. Geomech. Energy Environ. 2017, 10, 21–28. [Google Scholar] [CrossRef] [Green Version]
- Sung, C.; Park, S.; Lee, S.; Oh, K.; Choi, H. Thermo-mechanical behavior of cast-in-place energy piles. Energy 2018, 161, 920–938. [Google Scholar] [CrossRef]
- Faizal, M.; Bouazza, A.; Haberfield, C.; McCartney, J.S. Axial and Radial Thermal Responses of a Field-Scale Energy Pile under Monotonic and Cyclic Temperature Changes. J. Geotech. Geoenviron. Eng. 2018, 144. [Google Scholar] [CrossRef] [Green Version]
- Faizal, M.; Bouazza, A.; McCartney, J.S.; Haberfield, C. Effects of Cyclic Temperature Variations on Thermal Response of an Energy Pile under a Residential Building. J. Geotech. Geoenviron. Eng. 2019, 145. [Google Scholar] [CrossRef] [Green Version]
- Sutman, M.; Brettmann, T.; Olgun, C.G. Full-scale in-situ tests on energy piles: Head and base-restrainingeffects on the structural behaviour of three energy piles. Geomech. Energy Environ. 2019, 18, 56–68. [Google Scholar] [CrossRef]
- Arzanfudi, M.M.; Al-Khoury, R.; Sluys, L.J.; Schreppers, G.M.A. A thermo-hydro-mechanical model for energy piles under cyclic thermal loading. Comput. Geotech. 2020, 125, 103560. [Google Scholar] [CrossRef]
- Ng, C.W.W.; Ma, Q.J.; Gunawan, A. Horizontalstress change of energy piles subjected to thermal cycles in sand. Comput. Geotech. 2016, 78, 54–61. [Google Scholar] [CrossRef] [Green Version]
- Ng, C.W.W.; Ma, Q.J. Energy pile group subjected to non-symmetrical cyclic thermal loading in centrifuge. Geotech. Lett. 2019, 9, 173–177. [Google Scholar] [CrossRef]
- Ng, C.W.W.; Zhang, C.; Farivar, A.; Gomaa, S.M.M.H. Scaling effects on the centrifuge modelling of energy piles in saturated sand. Géotech. Lett. 2020, 10, 57–62. [Google Scholar] [CrossRef]
- Yavari, N.; Tang, A.M.; Pereira, J.M.; Hassen, G. Mechanical behaviour of a small-scale energy pile in saturated clay. Géotechnique 2016, 66, 878–887. [Google Scholar] [CrossRef]
- Goode, J.C.; McCartney, J.S. Centrifuge Modeling of End-Restraint Effects in Energy Foundations. J. Geotech. Geoenviron. Eng. 2015, 141. [Google Scholar] [CrossRef] [Green Version]
- Adi, D.; Ferrari, A.; Laloui, L. Experimental investigations of the soil-concrete interface: Physical mechanisms, cyclic mobilization, and behaviour at different temperatures. Can. Geotech. J. 2016, 53, 659–672. [Google Scholar]
- Li, Q.; Chen, L.; Qiao, L. Thermal Effect on Structural Interaction between Energy Pile and Its Host Soil. Adv. Mater. Sci. Eng. 2017, 2017, 7121785. [Google Scholar] [CrossRef] [Green Version]
- Olgun, C.G.; Ozudogru, T.Y.; Arson, C.F. Thermo-mechanical radial expansion of heat exchanger piles and possible effects on contact pressures at pile-soil interface. Géotech. Lett. 2014, 4, 170–178. [Google Scholar] [CrossRef] [Green Version]
- Yavari, N.; Tang, A.M.; Pereira, J.-M.; Hassen, G. Effect of temperature on the shear strength of soils and soil/structure interface. Can. Geotech. J. 2016, 53, 1186–1194. [Google Scholar] [CrossRef]
- Guo, H.R.; Qiao, L.; Li, Y. Research on the bearing performance of energy piles using an improved load-transfer model on pile-soil interface. Rock Soil Mech. 2018, 39, 4042–4052. [Google Scholar]
- Fei, K.; Dai, D.; Hong, W. A simplified method for working performance analysis of single energy piles. Rock Soil Mech. 2019, 40, 70–80. [Google Scholar]
- Fei, K.; Zhu, Z.H.; Shi, Y.H.; Zhou, Y. A simplified method for geotechnical analysis of energy pile groups. Rock Soil Mech. 2020, 41, 1–10. [Google Scholar]
- Sutman, M.; Olgun, C.G.; Laloui, L. Cyclic Load–Transfer Approach for the Analysis of Energy Piles. J. Geotech. Geoenviron. Eng. 2019, 145. [Google Scholar] [CrossRef]
- Ministry of Housing and Urban-Rural Development of People’s Republic of China. GB50010-2010: CODE for Design of Concrete Structures; China Architecture & Building Press: Beijing, China, 2010.
- Sun, Y.T.; Li, G.C.; Zhang, N.; Chang, Q.L.; Xu, J.S.; Zhang, J.F. Development of ensemble learning models to evaluate the strength of coal-grout materials. Int. J. Min. Sci. Technol. 2021, 31, 153–162. [Google Scholar] [CrossRef]
- Zhang, Y.G.; Zhang, Z.; Xue, S. Stability analysis of a typical landslide mass in the Three Gorges Reservoir under varying reservoir water levels. Environ. Earth Sci. 2020, 79. [Google Scholar] [CrossRef]
- Lawal, A.I.; Kwon, S.; Hammed, O.S.; Idris, M.A. Blast-induced ground vibration prediction in granite quarries: An application of gene expression programming, ANFIS, and sine cosine algorithm optimized ANN. Int. J. Min. Sci. Technol. 2021, 31, 265–277. [Google Scholar] [CrossRef]
- Zhang, Y.G.; Yang, L.N. A novel dynamic predictive method of water inrush from coal floor based on gated recurrent unit model. Nat. Hazards 2020, 16. [Google Scholar] [CrossRef]
- Wang, G.; Qin, X.J.; Han, D.Y.; Liu, Z.Y. Study on seepage and deformation characteristics of coal microstructure by 3D reconstruction of CT images at high temperatures. Int. J. Min. Sci. Technol. 2021, 31, 175–185. [Google Scholar] [CrossRef]
- Zhang, Y.G.; Tang, J.; He, Z.Y.; Tan, J.K.; Li, C. A novel displacement prediction method using gated recurrent unit model with time series analysis in the Erdaohe landslide. Nat. Hazards 2020, 18. [Google Scholar] [CrossRef]
- Hou, W.T.; Wang, H.P.; Yuan, L.; Wang, W.; Xue, Y.; Ma, Z.W. Experimental research into the effect of gas pressure, particle size and nozzle area on initial gas-release energy during gas desorption. Int. J. Min. Sci. Technol. 2021, 31, 253–263. [Google Scholar] [CrossRef]
- Zhang, Y.G.; Xie, Y.L.; Zhang, Y.; Qiu, J.B.; Wu, S.X. The adoption of deep neural network (DNN) to the prediction of soil liquefaction based on shear wave velocity. Bull. Eng. Geol. Environ. 2021, 16. [Google Scholar] [CrossRef]
- Shao, S.H.; Wu, C.L.; Hao, M.; Song, X.L.; Su, X.Y.; Wang, W.H.; Li, G.S.; Shi, B.B. A novel coating technology for fast sealing of air leakage in underground coal mines. Int. J. Min. Sci. Technol. 2021, 31, 313–320. [Google Scholar] [CrossRef]
- Zhang, Y.G.; Qiu, J.; Zhang, Y.; Wei, Y. The adoption of ELM to the prediction of soil liquefaction based on CPT. Nat. Hazards 2021, 15. [Google Scholar] [CrossRef]









| Layer | Soil Type | Gravimetric Water Content (%) | Void Ratio | Cohesion/(KPa) | Internal Angel (°) |
|---|---|---|---|---|---|
| 2-1 | Silt | 22.3 | 0.605 | 10.2 | 18.6 |
| 2-2 | Silty clay | 26.9 | 0.737 | 17.2 | 10.8 |
| 2-3 | Silty sand | 20.0 | 0.616 | 10.2 | 18.6 |
| Instrument | Datalogger | Strain gauges | Circulating pump | Digital thermometer | Dial gauge |
| Model | XHY-ZHX | XHX-115 | 1WZB-25 | XMZ-131 | UPM50 |
| Measurement | Record data | Strain in the pile | Circulating the water | The inlet/outlet water temperature | Pile top displacement |
Publisher’s Note: MDPI stays neutral with regard to jurisdictional claims in published maps and institutional affiliations. |
© 2021 by the authors. Licensee MDPI, Basel, Switzerland. This article is an open access article distributed under the terms and conditions of the Creative Commons Attribution (CC BY) license (https://creativecommons.org/licenses/by/4.0/).
Share and Cite
Wang, J.; Li, Z. Experimental Study of Thermal Response of Vertically Loaded Energy Pipe Pile. Sustainability 2021, 13, 7411. https://doi.org/10.3390/su13137411
Wang J, Li Z. Experimental Study of Thermal Response of Vertically Loaded Energy Pipe Pile. Sustainability. 2021; 13(13):7411. https://doi.org/10.3390/su13137411
Chicago/Turabian StyleWang, Junlin, and Zhao Li. 2021. "Experimental Study of Thermal Response of Vertically Loaded Energy Pipe Pile" Sustainability 13, no. 13: 7411. https://doi.org/10.3390/su13137411
APA StyleWang, J., & Li, Z. (2021). Experimental Study of Thermal Response of Vertically Loaded Energy Pipe Pile. Sustainability, 13(13), 7411. https://doi.org/10.3390/su13137411
