A Continuous Transportation Network Design Problem with the Consideration of Road Congestion Charging
Abstract
:1. Introduction
- (1)
- Different from previous studies, this paper simultaneously considers the optimization of speed limit strategy and congestion pricing strategy under different traffic demand periods. Instead of the independent CNDP solutions, the speed limit strategy and congestion charging strategy are not only combined in this study, but they are also able to play their advantages under different needs, which could better solve the CNDP problem and provide a new idea for CNDP by the combination of multiple strategies.
- (2)
- Secondly, this paper compares the differences between the two allocation models when solving the lower-level problem. In CNDP, the underlying problem is generally defined as UE or SUE traffic allocation [19,20]. This paper compares the results of traffic allocation based on these two methods and finds that the traffic assignment method based on SUE avoids the large sensitivity problem. Although the impedance based on SUE is larger than that based on UE, the traffic flow is more even when using SUE.
- (3)
- Moreover, this research designs an NSGA-II algorithm to solve the biobjective and bilevel programming model. The introduction of the NSGA-II algorithm realizes an innovative solution of the CNDP problem and solves the complex calculation process of CNDP optimization. For the method itself, it not only maintains the diversity and distribution uniformity of the population in the solution process, but it also ensures that the best individuals at all levels will not be lost. Finally, a numerical example is provided to verify the effectiveness and practicability of the model and algorithm.
2. Biobjective Bilevel Programming Model
| set of OD pairs, where denotes an OD pair | |
| set of different times of the day, | |
| set of paths between an OD pair, | |
| a collection of sections with their speed limits | |
| length of section a | |
| travel demand between OD pair during | |
| the r-th path flow between OD pair during | |
| time impedance function of section a during | |
| traffic flow of section a during | |
| free-flow travel time within section a | |
| increased capacity of section a | |
| average driving speed within section a | |
| lowest speed limit of section a | |
| speed limit value of section a | |
| maximum practical capacity of section a | |
| the correlation factor between section a and path k |
2.1. Stochastic User Equilibrium Assignment Problem
2.2. Upper Biobjective Optimization Problem
- (1)
- System Travel Costs
- (2)
- Investment Expenses
- (3)
- Vehicle Emission Cost
- (4)
- Biobjective Optimization Model
3. Solution Algorithm
3.1. Solution of the Lower Level Problem
- (1)
- Initialization. Calculate the path selection probability for the zero-flow network, and complete the flow loading process to obtain the initial section flow . The parameters are set as follows: , and the convergence accuracy is 1.
- (2)
- Calculating the direction of descent. Calculate the descent direction by the above equation.
- (3)
- Determining the search direction. Obtain the step length , where
- (4)
- (5)
- Updating the road traffic. Calculate .
- (6)
- Determining whether the convergence condition is met. If terminate the loop; otherwise, return to the second step, and .
3.2. Multiobjective Genetic Algorithm
- (1)
- Nondominated Sorting of the Population
- (2)
- Crowding Distance
- (3)
- Genetic Strategy
- (a)
- Solution encoding
- (b)
- Generation of the initial population
- (c)
- Fitness evaluation
- (d)
- Genetic manipulation
- (e)
- Elitism selection
- Step 1.
- Initialization. The population size , maximum algebra T, mutation probability , crossover probability , and other genetic parameters are set. The initial parent population is generated with a scale of .
- Step 2.
- The individual fitness of population is evaluated, the individual order value and the crowding distance are obtained, and the individuals with order values of 1 form the initial optimal surface of the Pareto front.
- Step 3.
- Crossover and mutation operations are performed to generate the offspring population , the parent population and the offspring population are combined to form the combined population , and the individual fitness of is evaluated. The fusion of updates the current optimal surface of the Pareto front.
- Step 4.
- Using the method of competitive competition, good individuals are selected from the combined population to form a new parent population .
- Step 5.
- If , the process reverts to Step 3; otherwise, the process advances to Step 6.
- Step 6.
- The optimal Pareto front is output, and the algorithm is terminated.
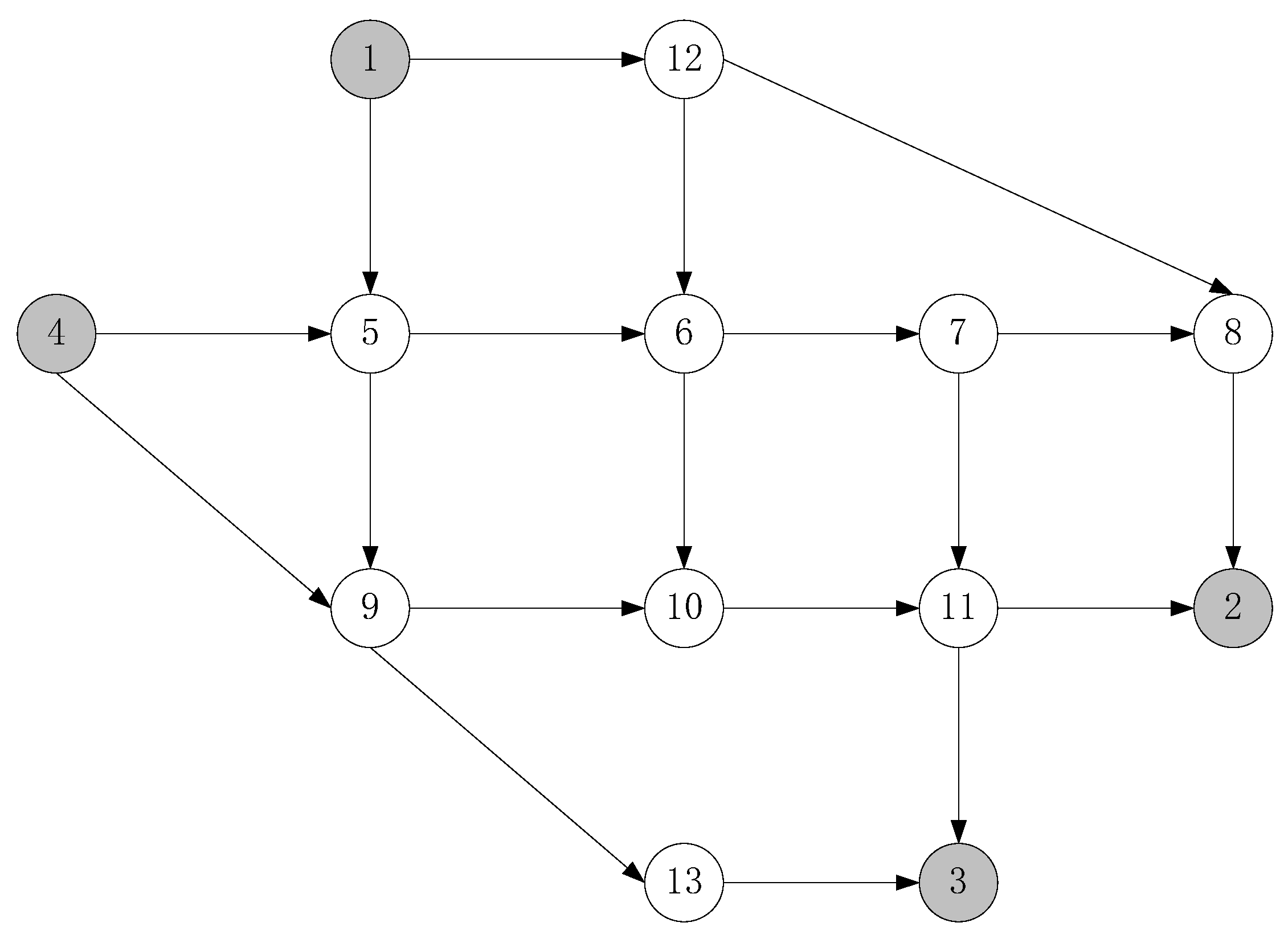
4. Numerical Examples
4.1. Comparison of User Equilibrium Results
4.2. Parametric Analysis
4.3. Speed Limit Control Comparison during Different Periods
4.4. Comparative Effects Analysis Regarding Congestion Pricing
5. Conclusions
Author Contributions
Funding
Conflicts of Interest
References
- Abdulaal, M.; LeBlanc, L. Continuous equilibrium network design models. Transp. Res. Part B 1979, 13, 19–32. [Google Scholar] [CrossRef]
- Yang, H.; Bell, M.G.H. Models and algorithms for road network design: A review and some new developments. Transp. Rev. 1998, 18, 257–278. [Google Scholar] [CrossRef]
- Yang, H.; Bell, M.G.H. Special issue: Transportation bilevel programming problems: Recent methodological advances. Transp. Res. Part B 2001, 35, 1–4. [Google Scholar] [CrossRef]
- Li, C.; Yang, H.; Zhu, D.; Meng, Q. A global optimization method for continuous network design problems. Transp. Res. Part B 2012, 46, 1144–1158. [Google Scholar] [CrossRef]
- Meng, Q.; Yang, H.; Bell, M. An equivalent continuously differentiable model and a locally convergent algorithm for the continuous network design problem. Transp. Res. Part B 2001, 35, 83–105. [Google Scholar] [CrossRef]
- Xu, T.; Wei, H.; Hu, G. Study on continuous network design problem using simulated annealing and genetic algorithm. Expert Syst. Appl. 2009, 36, 1322–1328. [Google Scholar] [CrossRef]
- Mathew, T.; Sharma, S. Capacity expansion problem for large urban transportation networks. J. Transp. Eng. 2009, 135, 406–415. [Google Scholar] [CrossRef]
- Gao, Z.; Sun, H.; Zhang, H. A globally convergent algorithm for transportation continuous network design problem. Optim. Eng. 2007, 8, 241–257. [Google Scholar] [CrossRef]
- Wang, D.; Lo, H. Global optimum of the linearized network design problem with equilibrium flows. Transp. Res. Part B 2010, 44, 482–492. [Google Scholar] [CrossRef]
- Farahani, R.; Miandoabchi, E.; Szeto, W.; Rashidi, H. A review of urban transportation network design problems. European J. Oper. Res. 2013, 229, 281–302. [Google Scholar] [CrossRef] [Green Version]
- Baskan, O. Determining Optimal Link Capacity Expansions in Road Networks Using Cuckoo Search Algorithm with Lévy Flights. J. Appl. Math. 2013, 2013, 1–11. [Google Scholar] [CrossRef]
- Baskan, O. An evaluation of heuristic methods for determining optimal link capacity expansions on road networks. Int. J. Transp. 2013, 2, 77–94. [Google Scholar] [CrossRef]
- Karoonsoontawong, A.; Waller, S. Dynamic continuous network design problem-Linear bilevel programming and metaheuristic approaches. Transp. Res. Rec. 2006, 1964, 104–117. [Google Scholar] [CrossRef]
- Wu, Y.; Yang, H.; Tang, J.; Yu, Y. Multi-objective re-synchronizing of bus timetable: Model, complexity and solution. Transp. Res. Part C 2016, 67, 149–168. [Google Scholar] [CrossRef]
- Lu, J.; Yang, Z.; Timmermans, H.; Wang, W. Optimization of airport bus timetable in cultivation period considering passenger dynamic airport choice under conditions of uncertainty. Transp. Res. Part C 2016, 67, 15–30. [Google Scholar] [CrossRef]
- Davis, G. Exact local solution of the continuous network design problem via stochastic user equilibrium assignment. Transp. Res. Part B 1994, 28, 61–75. [Google Scholar] [CrossRef]
- Liu, H.; Wang, D. Global optimization method for network design problem with stochastic user equilibrium. Transp. Res. Part B 2015, 72, 20–39. [Google Scholar] [CrossRef]
- Du, B.; Wang, D. Solving continuous network design problem with generalized geometric programming approach. Transp. Res. Record. 2016, 2567, 38–46. [Google Scholar] [CrossRef] [Green Version]
- Long, J.; Gao, Z.; Zhang, H.; Szeto, W. A turning restriction design problem in urban road networks. Eur. J. Oper. Res. 2010, 206, 569–578. [Google Scholar] [CrossRef] [Green Version]
- Gallo, M.; D’Acierno, L.; Montella, B. A meta-heuristic approach for solving the Urban Network Design Problem. Eur. J. Oper. Res. 2010, 201, 144–157. [Google Scholar] [CrossRef]
- Zhang, S.; Li, J.; Li, L. Study speed of vehicles for road traffic accident. Commun. Stand. 2006, 8, 1–2. [Google Scholar]
- Lave, C.; Elias, P. Resource allocation in public policy: The effects of the 65-mph speed limit. Econ. Inq. 1997, 35, 614–620. [Google Scholar] [CrossRef]
- Liu, W.; Yin, Y.; Yang, H. Effectiveness of variable speed limits considering commuters’ long-term response. Transp. Res. Part B Methodol. 2015, 81, 498–519. [Google Scholar] [CrossRef]
- Sun, J.; Shen, J.; Liu, Y. Variable speed limits strategy of urban expressway. J. Highw. Transp. Res. Dev. 2012, 29, 98–103. [Google Scholar]
- Yang, H.; Wang, X.; Yin, Y. The impact of speed limits on traffic equilibrium and system performance in networks. Transp. Res. Part B 2012, 46, 1295–1307. [Google Scholar] [CrossRef]
- Madireddy, M.; De Coensel, B.; Can, A.; Degraeuwe, B.; Beusen, B.; De Vlieger, I.; Botteldooren, D. Assessment of the impact of speed limit reduction and traffic signal coordination on vehicle emissions using an integrated approach. Transp. Res. Part D 2011, 16, 504–508. [Google Scholar] [CrossRef] [Green Version]
- Yan, C.Y.; Jiang, R.; Gao, Z.Y.; Shao, H. Effect of speed limits in degradable transport networks. Transp. Res. Part C 2015, 56, 94–119. [Google Scholar] [CrossRef]
- Yang, H.; Ye, H.; Li, X.; Zhao, B. Speed limits, speed selection and network equilibrium. Transp. Res. Part C 2015, 51, 260–273. [Google Scholar] [CrossRef]
- Chen, X.; Wang, Y.; Zhang, Y. A Trial-and-Error Toll Design Method for Traffic Congestion Mitigation on Large River-Crossing Channels in a Megacity. Sustainability 2021, 13, 2749. [Google Scholar] [CrossRef]
- Cheng, Q.; Chen, J.; Zhang, H.; Liu, Z. Optimal Congestion Pricing with Day-to-Day Evolutionary Flow Dynamics: A Mean–Variance Optimization Approach. Sustainability 2021, 13, 4931. [Google Scholar] [CrossRef]
- Chen, Y.; Zheng, N.; Hai, L. A novel urban congestion pricing scheme considering travel cost perception and level of service. Transp. Res. Part C 2021, 125, 103042. [Google Scholar] [CrossRef]
- Alkaa, F.; Diabat, A.; Elhedhli, S. A Lagrangian heuristic and GRASP for the hub-and-spoke network system with economies-of-scale and congestion. Transp. Res. 2019, 102, 249–273. [Google Scholar]
- Aya, A.; Baher, A. A bi-level distributed approach for optimizing time-dependent congestion pricing in large networks: A simulation-based case study in the Greater Toronto Area. Transp. Res. Part C 2017, 85, 684–710. [Google Scholar]
- Baskan, O.; Ozan, C.; Dell’Orco, M.; Marinelli, M. Improving the Performance of the Bilevel Solution for the Continuous Network Design Problem. Promet-Traffic Transp. 2018, 30, 709–720. [Google Scholar] [CrossRef]
- Deb, K.; Agrawal, S.; Pratap, A.; Meyarivan, T. A fast elitist non-dominated sorting genetic algorithm for multi-objective optimization: NSGA-II. Lect. Notes Comput. Sci. 2000, 1917, 849–858. [Google Scholar]
- Nguyen, S.; Dupuis, C. An efficient method for computing traffic equilibria in networks with asymmetric transportation costs. Transp. Sci. 1984, 18, 185–202. [Google Scholar] [CrossRef]
- Hong, K.; Szeto, W. A cell-based variational inequality formulation of the dynamic user optimal assignment problem. Transp. Res. Part B 2002, 36, 421–443. [Google Scholar]








| Section Number | Origin | Destination | Section Length (m) | Number of Lanes | ||||
|---|---|---|---|---|---|---|---|---|
| 1 | 1 | 5 | 0.6 | 6000 | 60 | - | 600 | 3 |
| 2 | 1 | 12 | 0.45 | 6000 | 60 | - | 450 | 3 |
| 3 | 4 | 5 | 0.6 | 6000 | 60 | - | 600 | 3 |
| 4 | 4 | 9 | 0.6 | 6000 | 60 | - | 600 | 3 |
| 5 | 5 | 6 | 0.6 | 6000 | 60 | - | 600 | 3 |
| 6 | 5 | 9 | 0.6 | 6000 | 60 | 600 | 3 | |
| 7 | 6 | 7 | 0.6 | 6000 | 60 | - | 600 | 3 |
| 8 | 6 | 10 | 0.6 | 6000 | 60 | - | 600 | 3 |
| 9 | 7 | 8 | 0.6 | 4000 | 60 | - | 450 | 2 |
| 10 | 7 | 11 | 0.45 | 6000 | 60 | - | 450 | 3 |
| 11 | 8 | 2 | 0.45 | 2000 | 60 | - | 450 | 1 |
| 12 | 9 | 10 | 0.6 | 6000 | 60 | - | 600 | 3 |
| 13 | 9 | 13 | 0.45 | 4000 | 60 | 450 | 2 | |
| 14 | 10 | 11 | 0.45 | 6000 | 60 | - | 450 | 3 |
| 15 | 11 | 2 | 0.6 | 6000 | 60 | - | 600 | 3 |
| 16 | 11 | 3 | 0.6 | 6000 | 60 | - | 600 | 3 |
| 17 | 12 | 6 | 0.6 | 6000 | 60 | - | 600 | 3 |
| 18 | 12 | 8 | 1 | 2000 | 60 | - | 750 | 1 |
| 19 | 13 | 3 | 0.6 | 2000 | 60 | - | 600 | 1 |
| Section Length (m) | |||
|---|---|---|---|
| 1.5718 | 2.7843 | 3.3963 | |
| 0.040732 | 0.015062 | 0.014561 | |
| 10,000 | 10,000 | 1000 | |
| (EURO/kg) | 13.80 | 2.95 | 0.01 |
| Section Number | ||||||||||
| Section Flow | 1999.3 | 2800.7 | 3094.8 | 1705.2 | 3398.6 | 3022.7 | 911.9 | 1630.1 | 369.2 | 2496.9 |
| Saturation | 33.3% | 46.7% | 51.6% | 28.4% | 56.6% | 50.4% | 22.8% | 27.2% | 18.5% | 41.6% |
| Section Number | ||||||||||
| Section Flow | 2006.0 | 2110.8 | 1281.1 | 2400.0 | 4406.0 | 2718.9 | 1802.1 | 3797.9 | 1802.1 | |
| Saturation | 33.4% | 35.2% | 64.1% | 40.0% | 73.4% | 45.3% | 45.1% | 63.3% | 90.1% | 33.4% |
| Section Number | Origin | Destination | UE Configuration Results | SUE Configuration Results | ||||
|---|---|---|---|---|---|---|---|---|
| Flow | Time Remaining | System Impedance | Flow | Time Remaining | System Impedance | |||
| 1 | 1 | 5 | 4234.7 | 0.466 | 1974.21 | 1999.3 | 0.451 | 901.36 |
| 2 | 1 | 12 | 565.3 | 0.600 | 339.20 | 2800.7 | 0.604 | 1692.37 |
| 3 | 4 | 5 | 0 | 0.600 | 0 | 3094.8 | 0.606 | 1876.57 |
| 4 | 4 | 9 | 4800 | 0.637 | 3056.95 | 1705.2 | 0.601 | 1024.14 |
| 5 | 5 | 6 | 0 | 0.600 | 0 | 3398.6 | 0.609 | 2070.63 |
| 6 | 5 | 9 | 2634.7 | 0.602 | 1585.39 | 3022.7 | 0.606 | 1831.12 |
| 7 | 6 | 7 | 0 | 0.450 | 0 | 911.9 | 0.450 | 410.52 |
| 8 | 6 | 10 | 2634.7 | 0.603 | 1589.16 | 1630.1 | 0.600 | 978.87 |
| 9 | 7 | 8 | 1600 | 0.796 | 1273.73 | 369.2 | 0.750 | 276.95 |
| 10 | 7 | 11 | 565.3 | 0.600 | 339.20 | 2496.9 | 0.603 | 1504.86 |
| 11 | 8 | 2 | 0 | 0.600 | 0 | 2006.0 | 0.601 | 1205.88 |
| 12 | 9 | 10 | 2634.7 | 0.451 | 1189.04 | 2110.8 | 0.451 | 952.03 |
| 13 | 9 | 13 | 1600 | 0.478 | 764.24 | 1281.1 | 0.461 | 591.05 |
| 14 | 10 | 11 | 2400 | 0.602 | 1445.55 | 2400.0 | 0.602 | 1445.50 |
| 15 | 11 | 2 | 2400 | 0.453 | 1087.3 | 4406.0 | 0.470 | 2069.18 |
| 16 | 11 | 3 | 2400 | 0.602 | 1445.53 | 2718.9 | 0.604 | 1641.66 |
| 17 | 12 | 6 | 2965.3 | 0.471 | 1397.56 | 1802.1 | 0.453 | 815.98 |
| 18 | 12 | 8 | 2634.7 | 0.603 | 1589.19 | 3797.9 | 0.614 | 2333.58 |
| 19 | 13 | 3 | 2965.3 | 1.054 | 3126.67 | 1802.1 | 0.659 | 1188.21 |
| System travel impedance | 22,202.92 | 24,810.46 | ||||||
Publisher’s Note: MDPI stays neutral with regard to jurisdictional claims in published maps and institutional affiliations. |
© 2021 by the authors. Licensee MDPI, Basel, Switzerland. This article is an open access article distributed under the terms and conditions of the Creative Commons Attribution (CC BY) license (https://creativecommons.org/licenses/by/4.0/).
Share and Cite
Zhou, Z.; Yang, M.; Sun, F.; Wang, Z.; Wang, B. A Continuous Transportation Network Design Problem with the Consideration of Road Congestion Charging. Sustainability 2021, 13, 7008. https://doi.org/10.3390/su13137008
Zhou Z, Yang M, Sun F, Wang Z, Wang B. A Continuous Transportation Network Design Problem with the Consideration of Road Congestion Charging. Sustainability. 2021; 13(13):7008. https://doi.org/10.3390/su13137008
Chicago/Turabian StyleZhou, Ziyi, Min Yang, Fei Sun, Zheyuan Wang, and Boqing Wang. 2021. "A Continuous Transportation Network Design Problem with the Consideration of Road Congestion Charging" Sustainability 13, no. 13: 7008. https://doi.org/10.3390/su13137008
APA StyleZhou, Z., Yang, M., Sun, F., Wang, Z., & Wang, B. (2021). A Continuous Transportation Network Design Problem with the Consideration of Road Congestion Charging. Sustainability, 13(13), 7008. https://doi.org/10.3390/su13137008

