Workplace Flexibility for Sustainable Career Satisfaction: Case of Handling in the Aviation Sector in North Cyprus
Abstract
1. Introduction
- To study the type of flexibility provided in this contemporary era in the airline sector of North Cyprus;
- To analyze the impact of reduced job stress on employees’ sustainable career satisfaction in the aviation sector of North Cyprus;
- To analyze the impact of workplace flexibility on employees’ sustainable career satisfaction in the aviation sector of North Cyprus;
- To understand the influence of adapting goal orientation perception to sustainable career satisfaction;
- To recommend the ways through which employee sustainable career satisfaction can be increased with flexible work environments with less stress on employees in the aviation sector of North Cyprus.
2. Literature Review
2.1. Workplace Flexibility, Career Satisfaction, Job Stress, Goal Orientation and Sustainability
2.2. Relationship between Workplace Flexibility and Job Stress
2.3. Relationship between Job Stress and Career Satisfaction
2.4. Relationship between Workplace Flexibility and Career Satisfaction
2.5. Relationship between Workplace Flexibility and Career Satisfaction Is Moderated by Goal Orientation
2.6. Relationship between Workplace Flexibility, and Career Satisfaction Is Mediated by Job Stress
3. Research Methodology
3.1. Sample and Procedure
3.2. Measurements
- The questions developed regarding flexibility were adapted from Richman et al. [11];
- The questions developed regarding job stress were adapted from Goswami et al. [40];
- The questions developed regarding career satisfaction were adapted from Chang et al. [13];
- The questions developed regarding goal orientation were adapted from Carson et al. [41].
4. Results and Figures, Tables and Schemes
4.1. Demographic Findings
4.2. Correlations
4.3. Mediation and Analysis
4.4. Moderation Analysis
5. Discussion and Recommendations
6. Conclusions
Author Contributions
Funding
Institutional Review Board Statement
Informed Consent Statement
Data Availability Statement
Conflicts of Interest
References
- Raziq, A.; Maulabakhsh, R. Impact of Working Environment on Job Satisfaction. Procedia Econ. Financ. 2015, 23, 717–725. [Google Scholar] [CrossRef]
- Park, Y. Empirical investigation on the predictors of career satisfaction. Ind. Commer. Train. 2018, 50, 165–171. [Google Scholar] [CrossRef]
- Bal, P.M.; Jansen, P.G.W. Workplace Flexibility across the Lifespan. Res. Pers. Hum. Resour. Manag. 2016, 43–99. [Google Scholar] [CrossRef]
- Mejri, A.; Ayachi-Ghannouchi, S.; Martinho, R. A quantitative approach for measuring the degree of flexibility of business process models. Bus. Process. Manag. J. 2018, 24, 1023–1049. [Google Scholar] [CrossRef]
- Martínez-Sánchez, Á.; Vela-Jiménez, M.J.; De Luis-Carnicer, P.; Pérez-Pérez, M. Managerial perceptions of workplace flexibility and firm performance. Int. J. Oper. Prod. Manag. 2007, 27, 714–734. [Google Scholar] [CrossRef]
- Zeytinoglu, I.U. Flexibility in Workplaces: Effects on Workers, Work Environment and the Unions; IIRA/ILO: Geneva, Switzerland, 2005. [Google Scholar]
- Yazgan, E. Development taxonomy of human risk factors for corporate sustainability in aviation sector. Aircr. Eng. Aerosp. Technol. 2018, 90, 1012–1022. [Google Scholar] [CrossRef]
- Svensson, G.; Wagner, B. Business sustainability and E-footprints on Earth’s life and ecosystems: Generic models. Eur. Bus. Rev. 2012, 24, 543–552. [Google Scholar] [CrossRef]
- Alameeri, A.; Ajmal, M.M.; Hussain, M.; Helo, P.T. Sustainability practices in the aviation sector: A study of UAE-based airlines. Int. J. Sustain. Soc. 2017, 9, 119. [Google Scholar]
- Al Sarrah, M.; Ajmal, M.M.; Mertzanis, C. Identification of sustainability indicators in the civil aviation sector in Dubai: A stakeholders’ perspective. Soc. Responsib. J. 2020. [Google Scholar] [CrossRef]
- Richman, A.L.; Civian, J.T.; Shannon, L.L.; Hill, E.J.; Brennan, R.T. The relationship of perceived flexibility, supportive work–life policies, and use of formal flexible arrangements and occasional flexibility to employee engagement and expected retention. Community Work. Fam. 2008, 11, 183–197. [Google Scholar] [CrossRef]
- Salvador, R.O.; Gnanlet, A.; McDermott, C. The impact of the use of employee functional flexibility on patient safety. Pers. Rev. 2020, 50, 971–984. [Google Scholar] [CrossRef]
- Chang, W.; Busser, J.; Liu, A. Authentic leadership and career satisfaction: The meditating role of thriving and conditional effect of psychological contract fulfillment. Int. J. Contemp. Hosp. Manag. 2020, 32, 2117–2136. [Google Scholar] [CrossRef]
- Mahmood, K.; Qureshi, I.M.A.; Nisar, A. An empirical study on measurement of performance through TQM in Pakistani aviation manufacturing industry. Int. J. Qual. Reliab. Manag. 2014, 31, 665–680. [Google Scholar] [CrossRef]
- Wickramasinghe, V. The mediating effect of job stress in the relationship between work-related dimensions and career commitment. J. Health Organ. Manag. 2016, 30, 408–420. [Google Scholar] [CrossRef]
- Van Dierendonck, D.; van der Gaast, E. Goal orientation, academic competences and early career success. Career Dev. Int. 2013, 18, 694–711. [Google Scholar] [CrossRef]
- Joo, B.; Park, S. Career satisfaction, organizational commitment, and turnover intention. Leadersh. Organ. Dev. J. 2010, 31, 482–500. [Google Scholar] [CrossRef]
- Scoones, I. Sustainability. Develop. Pract. 2007, 17, 589–596. [Google Scholar] [CrossRef]
- Almeida, D.M.; Davis, K.D. Workplace Flexibility and Daily Stress Processes in Hotel Employees and Their Children. Ann. Am. Acad. Polit. Soc. Sci. 2011, 638, 123–140. [Google Scholar] [CrossRef] [PubMed]
- Guinot, J.; Chiva, R.; Roca-Puig, V. Interpersonal trust, stress and satisfaction at work: An empirical study. Pers. Rev. 2014, 43, 96–115. [Google Scholar] [CrossRef]
- Martínez Sánchez, A.; Pérez Pérez, M.; de Luis Carnicer, P.; José Vela Jiménez, M. Teleworking and workplace flexibility: A study of impact on firm performance. Pers. Rev. 2007, 36, 42–64. [Google Scholar] [CrossRef]
- Lonnie, G.; International Labour Office. Conditions of Work and Employment Branch; ILO: Geneva, Switzerland, 2012. [Google Scholar]
- Lounsbury, J.W.; Park, S.-H.; Sundstrom, E.; Williamson, J.M.; Pemberton, A.E. Personality, Career Satisfaction, and Life Satisfaction: Test of a Directional Model. J. Career Assess. 2004, 12, 395–406. [Google Scholar] [CrossRef]
- Enshassi, A.; El-Rayyes, Y.; Alkilani, S. Job stress, job burnout and safety performance in the Palestinian construction industry. J. Financ. Manag. Prop. Constr. 2015, 20, 170–187. [Google Scholar] [CrossRef]
- Tausig, M.; Fenwick, R.; Sauter, S.L.; Murphy, L.R.; Graif, C. The Changing Nature of Job Stress: Risk and Resources. In Exploring Interpersonal Dynamics (Research in Occupational Stress and Well Being); Perrewe, P.L., Ganster, D.C., Eds.; Emerald Group Publishing Limited: Bingley, UK, 2004; Volume 4, pp. 93–126. [Google Scholar]
- Akgunduz, Y.; Eser, S. The effects of tourist incivility, job stress and job satisfaction on tourist guides’ vocational commitment. J. Hosp. Tour. Insights 2020. [Google Scholar] [CrossRef]
- Vidyarthi, P.R.; Chaudhry, A.; Anand, S.; Liden, R.C. Flexibility i-deals: How much is ideal? J. Manag. Psychol. 2014, 29, 246–265. [Google Scholar] [CrossRef]
- Joo, B.-K.; Lee, I. Workplace happiness: Work engagement, career satisfaction, and subjective well-being. Evid.-Based HRM Glob. Forum Empir. Sch. 2017, 5, 206–221. [Google Scholar] [CrossRef]
- Hill, E.J.; Grzywacz, J.G.; Allen, S.; Blanchard, V.L.; Matz-Costa, C.; Shulkin, S.; Pitt-Catsouphes, M. Defining and conceptualizing workplace flexibility. Community Work. Fam. 2008, 11, 149–163. [Google Scholar] [CrossRef]
- Barnett, B.R.; Bradley, L. The impact of organisational support for career development on career satisfaction. Career Dev. Int. 2007, 12, 617–636. [Google Scholar] [CrossRef]
- Joo, B.-K.B.; Ready, K.J. Career satisfaction: The influences of proactive personality, performance goal orientation, organizational learning culture, and leader-member exchange quality. Career Dev. Int. 2012, 17, 276–295. [Google Scholar] [CrossRef]
- Choi, B.K.; Nae, E.Y. When career success enhances employees’ life satisfaction: Different effects of two types of goal ori-entations. Pers. Rev. 2020. ahead-of-print. [Google Scholar] [CrossRef]
- Laser, J. The best equilibrium in organizational flexibility-stability continuums. Int. J. Organ. Anal. 2021, 29, 172–193. [Google Scholar] [CrossRef]
- Lee, O.F.; Tan, J.A.; Javalgi, R. Goal orientation and organizational commitment: Individual difference predictors of job performance. Int. J. Organ. Anal. 2010, 18, 129–150. [Google Scholar] [CrossRef]
- Yoo, J.; Jung, Y. Interactive effects of organizational goal orientations on bank-employee’s behavior. Int. J. Bank Mark. 2019, 37, 402–425. [Google Scholar] [CrossRef]
- Coetzee, M.; Bester, M.S. Probing the role of psychosocial career mechanisms in the harmonious work passion-career satisfaction link. Pers. Rev. 2019, 48, 1135–1149. [Google Scholar] [CrossRef]
- Hagmaier, T.; Abele, A.E.; Goebel, K. How do career satisfaction and life satisfaction associate? J. Manag. Psychol. 2018, 33, 142–160. [Google Scholar] [CrossRef]
- Jawahar, I.M.; Liu, Y. Proactive personality and citizenship performance: The mediating role of career satisfaction and the moderating role of political skil. Career Dev. Int. 2016, 21, 378–401. [Google Scholar] [CrossRef]
- Chen, J.; Silverthorne, C.; Hung, J. Organization communication, job stress, organizational commitment, and job performance of accounting professionals in Taiwan and America. Leadersh. Organ. Dev. J. 2006, 27, 242–249. [Google Scholar] [CrossRef]
- Goswami, I.; Dsilva, N.R. Impact of job satisfaction and job stress on employees’ life in Mumbai’s hospitality sector. J. Strategy Manag. 2019, 12, 330–346. [Google Scholar] [CrossRef]
- Carson, C.M.; Mosley, D.C.; Boyar, S.L. Goal orientation and supervisory behaviors: Impacting SMWT effectiveness. Team Perform. Manag. Int. J. 2004, 10, 152–162. [Google Scholar] [CrossRef]
- Ray, T.; Pana-Cryan, R. Work Flexibility and Work-Related Well-Being. Int. J. Environ. Res. Public Health 2021, 18, 3254. [Google Scholar] [CrossRef]
- Nisar, S.K.; Rasheed, M.I. Stress and performance: Investigating relationship between occupational stress, career satisfaction, and job performance of police employees. J. Public Aff. 2020, 20, 1986. [Google Scholar] [CrossRef]
- Altaf, M. How Job Stress Effect the Career Satisfaction of An Employee? In Proceedings of the International Conference of Management, Economics and Social Science (ICMESS’2011), Bangkok, Thailand, 23–24 December 2011; pp. 601–604. [Google Scholar]
- Coetzee, M.; de Villiers, M. Sources of job stress, work engagement and career orientations of employees in a South African financial institution. S. Afr. Bus. Rev. 2010, 14, 27–58. [Google Scholar]
- Clem, K.J.; Promes, S.B.; Glickman, S.W.; Shah, A.; Finkel, M.A.; Pietrobon, R.; Cairns, C.B. Factors Enhancing Career Satisfaction Among Female Emergency Physicians. Ann. Emerg. Med. 2008, 51, 723–728.e8. [Google Scholar] [CrossRef]
- Shauman, K.; Howell, L.P.; Paterniti, D.A.; Beckett, L.A.; Villablanca, A.C. Barriers to Career Flexibility in Academic Medicine. Acad. Med. 2018, 93, 246–255. [Google Scholar] [CrossRef]
- Rasmussen, E.; Foster, B.; Farr, D. The battle over employers’ demand for “more flexibility”: Attitudes of New Zealand employers. Empl. Relat. 2016, 38, 886–906. [Google Scholar] [CrossRef]
- Bhusan, B.; Sar, A.K. Critically analysing the concept of workplace flexibility and how it impacts employee and organiza-tional performance: A case of the retail industry in India. Eurasian Chem. Commun. 2020, 2, 1001–1010. [Google Scholar]
- Joo, B.K.B.; Ready, K.J. Career satisfaction. Career Dev. Int. 2012, 17, 276–295. [Google Scholar] [CrossRef]
- Idowu, S.A. Role of Flexible Working Hours’ Arrangement on Employee Job Performance and Retention in Manufacturing Industries in Agbara, Nigeria. Econ. Insights Trends Chall. 2020, 9, 23–37. [Google Scholar]
- Lin, S.-C.; Chang, J.-N. Goal orientation and organizational commitment as explanatory factors of employees’ mobility. Pers. Rev. 2005, 34, 331–353. [Google Scholar] [CrossRef]


| Individual Characteristics | N | Valid Percent |
|---|---|---|
| Age | ||
| 20–30 Years | 83 | 38.4 |
| 30–40 Years | 48 | 22.2 |
| 40–50 Years | 49 | 22.7 |
| Over 50 Years | 36 | 16.7 |
| Total | 216 | 100.0 |
| Gender | ||
| Male | 157 | 72.7 |
| Female | 59 | 27.3 |
| Total | 216 | 100.0 |
| Education Level | ||
| High School | 86 | 39.8 |
| Bachelor’s Degree | 103 | 47.7 |
| Master’s Degree | 27 | 12.5 |
| Total | 216 | 100.0 |
| Work-Related Questions | N | Valid Percent |
|---|---|---|
| Work Hours per Week | ||
| 39 h or Less | 59 | 27.3 |
| 40–49 h | 92 | 42.6 |
| 50–59 h | 36 | 16.7 |
| 60 h or More | 29 | 13.4 |
| Total | 216 | 100.0 |
| Years of Work Experience | ||
| 1 Year | 8 | 3.7 |
| 1–3 Years | 44 | 20.4 |
| 3–5 Years | 22 | 10.2 |
| More than 5 Years | 142 | 65.7 |
| Total | 216 | 100.0 |
| WF | JS | CS | GO | ||
|---|---|---|---|---|---|
| WF | Pearson’s Correlation | 1 | 0.160 * | 0.295 ** | 0.225 ** |
| Sig. (2-tailed) | 0.018 | 0.000 | 0.001 | ||
| N | 216 | 216 | 216 | 216 | |
| JS | Pearson’s Correlation | 0.160 * | 1 | −0.205 ** | 0.219 ** |
| Sig. (2-tailed) | 0.018 | 0.002 | 0.001 | ||
| N | 216 | 216 | 216 | 216 | |
| CS | Pearson’s Correlation | 0.295 ** | −0.205 ** | 1 | 0.365 ** |
| Sig. (2-tailed) | 0.000 | 0.002 | 0.000 | ||
| N | 216 | 216 | 216 | 216 | |
| GO | Pearson’s Correlation | 0.225 ** | 0.219 ** | 0.365 ** | 1 |
| Sig. (2-tailed) | 0.001 | 0.001 | 0.000 | ||
| N | 216 | 216 | 216 | 216 |
| Model Summary |
|---|
| R R-sq MSE F df1 df2 p |
| 0.1605 0.0257 0.6453 5.6560 1.0000 214.0000 0.0183 |
| Model |
| coeff. se t p LLCI ULCI |
| constant 2.2465 0.2487 9.0337 0.0000 1.7563 2.7366 |
| WF 0.2077 0.0873 2.3782 0.0183 0.0356 0.3799 |
| Model Summary |
|---|
| R R-sq MSE F df1 df2 p |
| 0.3905 0.1525 0.5879 19.1622 2.0000 213.0000 0.0000 |
| Model |
| coeff. se t p LLCI ULCI |
| constant 1.9193 0.2790 6.8799 0.0000 1.3694 2.4692 |
| WF 0.4451 0.0845 5.2702 0.0000 0.2786 0.6116 |
| JS −0.2644 0.0652 −4.0515 0.0001 −0.3930 −0.1357 |
| Indirect Effect(s) of X on Y: |
|---|
| Effect BootSE BootLLCI BootULCI |
| JS −0.0549 0.0321 −0.1267 0.0001 |
| Partially standardized indirect effect(s) of X on Y: |
| Effect BootSE BootLLCI BootULCI |
| JS −0.0662 0.0385 −0.1514 0.0001 |
| Completely standardized indirect effect(s) of X on Y: |
| Effect BootSE BootLLCI BootULCI |
| JS −0.0415 0.0237 −0.0928 0.0001 |
| Model Summary |
|---|
| R R-sq MSE F df1 df2 p |
| 0.4460 0.1990 0.5582 17.5512 3.0000 212.0000 0.0000 |
| Model |
| coeff. se t p LLCI ULCI |
| constant −0.2320 0.5939 −0.3907 0.6964 −1.4027 0.9386 |
| WF 0.7314 0.2151 3.4003 0.0008 0.3074 1.1554 |
| GO 0.8988 0.2847 3.1564 0.0018 0.3375 1.4601 |
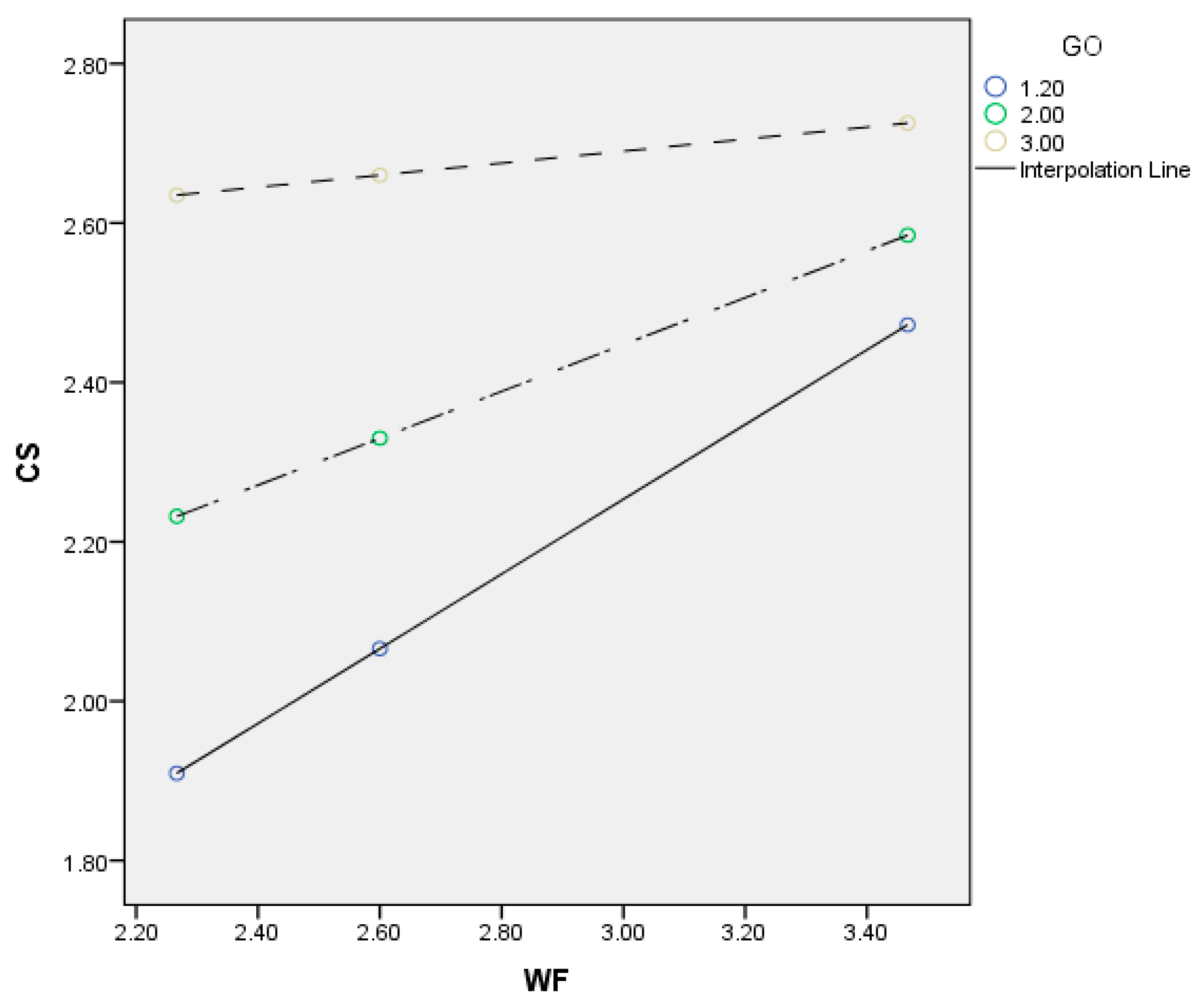
| Int_1 −0.2187 0.0997 −2.1926 0.0294 −0.4153 −0.0221 |
| Hypothesis | Accepted/Rejected |
|---|---|
| H1: There is a relationship between workplace flexibility and job stress. | ACCEPTED—weak positive relationship |
| H2: There is a relationship between job stress and career satisfaction. | ACCEPTED—weak negative relationship |
| H3: There is a relationship between workplace flexibility and career satisfaction. | ACCEPTED—weak positive relationship |
| H4: The relationship between workplace flexibility and career satisfaction is moderated by goal orientation. | ACCEPTED—weak positive moderation effect |
| H5: The relationship between workplace flexibility and career satisfaction is mediated by job stress. | ACCEPTED—weak negative mediation effect |
Publisher’s Note: MDPI stays neutral with regard to jurisdictional claims in published maps and institutional affiliations. |
© 2021 by the authors. Licensee MDPI, Basel, Switzerland. This article is an open access article distributed under the terms and conditions of the Creative Commons Attribution (CC BY) license (https://creativecommons.org/licenses/by/4.0/).
Share and Cite
Karsili, H.; Yesiltas, M.; Berberoglu, A. Workplace Flexibility for Sustainable Career Satisfaction: Case of Handling in the Aviation Sector in North Cyprus. Sustainability 2021, 13, 6878. https://doi.org/10.3390/su13126878
Karsili H, Yesiltas M, Berberoglu A. Workplace Flexibility for Sustainable Career Satisfaction: Case of Handling in the Aviation Sector in North Cyprus. Sustainability. 2021; 13(12):6878. https://doi.org/10.3390/su13126878
Chicago/Turabian StyleKarsili, Huseyin, Mehmet Yesiltas, and Aysen Berberoglu. 2021. "Workplace Flexibility for Sustainable Career Satisfaction: Case of Handling in the Aviation Sector in North Cyprus" Sustainability 13, no. 12: 6878. https://doi.org/10.3390/su13126878
APA StyleKarsili, H., Yesiltas, M., & Berberoglu, A. (2021). Workplace Flexibility for Sustainable Career Satisfaction: Case of Handling in the Aviation Sector in North Cyprus. Sustainability, 13(12), 6878. https://doi.org/10.3390/su13126878

