Prognostic Assessment of the Performance Parameters for the Industrial Diesel Engines Operated with Microalgae Oil
Abstract
1. Introduction
2. Materials and Methods
2.1. Fuels and Test Engines
2.2. IMPULS Modelling
3. Results
3.1. Selection of Strategies to Improve NOx-Smoke Opacity Trade-Off
3.2. Model Calibration Outcomes
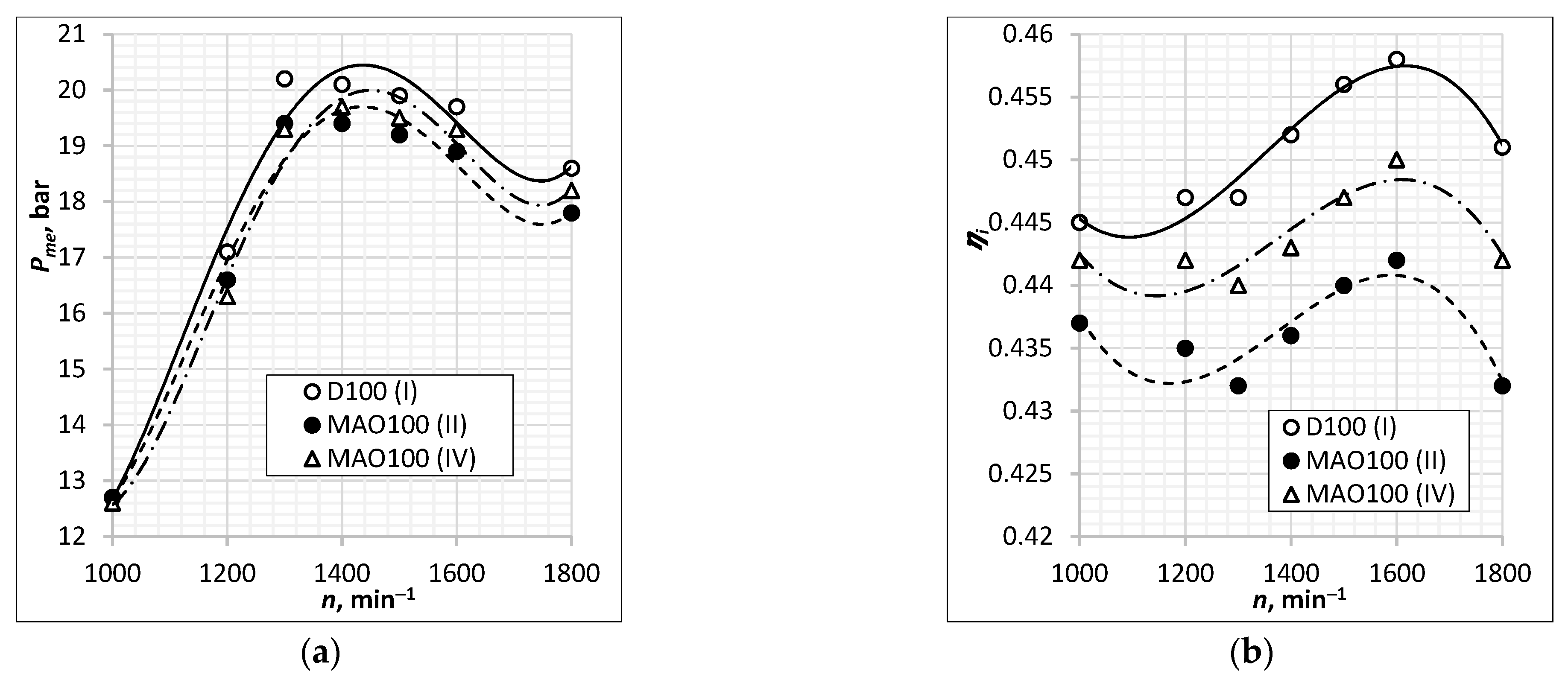
3.3. The Use of a Calibrated MM for the Assessment of CAT 3512B HB-SC Industrial Engine Running on Microalgae Oil
3.4. Prognostic Assessment of Industrial Diesel Engine Family for Energy Efficiency and CO2 Levels
4. Conclusions
- The interval of −2… 0 degCA was found to be the best setting of an engine for smoke and NOx stabilization and reduction, nevertheless D100 or MAO100 were used. That leaves many opportunities for the wider deployment of their binary blends of various ratios to be consumed in diesel engines. Moreover, the pilot study showed that the use of microalgae oil in passenger car engine positively affected the indicated thermal efficiency (ηi) of the prime mover, finding it very similar to that of diesel fuel: 0.355 and 0.350 (Pme = 0.8 MPa), 0.350 and 0.345 (Pme = 0.6 MPa), 0.325 and 0.320 (Pme = 0.4 MPa).
- Following accuracy of the 1-D predictive engine model was obtained for various parameters: pme: 0–4.3%, pK: 2.5–4.5%, α: 5.1–10.0%, λ: 0–3.9%, ηe: 0.3–3.4% and gcycl: 0–1.7%, TK: 0.8–1.7%, pc: 0.6–1.7%, pmax: 1.6–3.9%, Tg: 1.9–3.2%.
- For the CAT 3512B HB-SC engine running with microalgae oil, we proposed a boundary condition for the injection modelling settings (Tg ≤ 973 K, φinj = 2 degCA BTDC) that led to improvement of the overall traction characteristics: the difference in ηi was almost eliminated and comprised only 0.7–2.0% without any compromise in exceeding the threshold value of 973 K for exhaust gas temperature.
- An extensive simulation of the FPT family engine, type Cursor 13 was performed by taking into account different strategies of a combustion process duration and its dynamics through the adjustment of m and φz parameters within the broad range of variation: m = 0–1.5, φz = 50–80 degCA. The obtained results revealed that, if considering the smallest changes in the indicated thermal efficiency values as an outcome of the best compatibility of m and φz parameters, this indicator can be characterized by a relatively short period of heat release (50–60 degCA) and moderate dynamics (m = 0–0.5).
- The zones of rational combination of m and φz were identified for each operational parameter of the engine to facilitate the smooth transition to microalgae oil. It was found that the differences in carbon dioxide emissions within the zone of rational combination of m and φz parameters did not exceed 4–5% if compared with D100.
- The study found that microalgae oil is more or less equally sensitive to key engine parameters, compared with diesel fuel, and can be successfully adopted to the entire families of industrial diesel engines.
Author Contributions
Funding
Conflicts of Interest
Nomenclature
| Latin symbols | |
| C: | Function parameter that is equal to 6.9 for the case of complete combustion |
| dQe: | Energy exchange (wall heat transfer from the cylinder gas) (J) |
| dQre: | Combustion heat released (J) |
| dU: | Change in internal energy in the system (J) |
| gcycl: | Cyclic portion |
| Gf: | Hourly fuel consumption (kg/h) |
| m: | Form factor |
| mex: | Mass of exhaust gas (kg) |
| minj: | Mass of injected fuel (kg) |
| ms: | Supply (intake) air mass (kg) |
| n: | Engine speed (rpm) |
| Pe: | Brake power (kW) |
| pmax: | Maximum cycle pressure (combustion pressure) (bar) |
| pk: | Air pressure after compression (bar) |
| pc: | Pressure of compression in the cylinder (bar) |
| pme: | Brake mean effective pressure (bar) |
| pmi: | Indicated mean pressure (bar) |
| pdV | Volumetric work |
| Q: | Total heat input |
| R: | Gas constant (J/kg·K) |
| T: | Temperature (K) |
| Tex: | Exhaust gas temperature before turbine (K) |
| Tg: | Exhaust gas temperature (K) |
| TK: | Air temperature after compression (K) |
| Tmax: | Maximum combustion temperature (K) |
| Greek symbols | |
| α: | Air-access coefficient |
| : | Heat release rate (kJ/deg) |
| ηm: | Mechanical efficiency |
| ηi: | Indicated thermal efficiency |
| ηe: | Effective efficiency |
| τ: | Time (s) |
| τz: | Relative time of combustion |
| δ: | Relative change |
| : | In-cylinder pressure rise rate |
| : | Relative heat release ratio (°CA) |
| φinj: | High reaction fuel injection time (°CA) |
| φz: | Conditional combustion duration (°CA) |
| Abbreviations | |
| BMEP: | Brake effective mean pressure (bar) |
| BTDC: | Before top dead center |
| BTL: | Biomass-to-liquid |
| CA: | Crankshaft rotation angle |
| CNG: | Compressed natural gas |
| CO: | Carbon monoxide |
| CO2: | Carbon dioxide |
| D100: | Pure diesel fuel |
| degCA: | Crankshaft rotation angle degrees |
| DI: | Direct injection |
| GTL: | Gas-to-liquid |
| HHV: | Higher heating value (MJ/kg) |
| HRR: | Heat of release rate (J/degCA) |
| LHV: | Lower heating value (MJ/kg) |
| LNG: | Liquefied natural gas |
| LPG: | Liquefied petroleum gas |
| MAO100: | Pure microalgae oil |
| MM: | Mathematical model |
| NOx: | Nitrogen oxides |
| OEM: | Original equipment manufacturers |
| RCoP Zone: | Zone of rational combination of m and φz parameters |
| SOI: | Start of injection |
| TDC: | Top dead center |
References
- Morgan, S. Is the Future Diesel-Free? 7 Hard Questions about Diesel, Biofuels and ICEs. Journey to Zero—Stories That Will Drive the World towards a Carbon-Neutral Future. Available online: https://journeytozerostories.neste.com/renewable-solutions/future-diesel-free-7-hard-questions-about-diesel-biofuels-and-ices#067d477e (accessed on 25 November 2020).
- Paris Process on Mobility and Climate (PPMC). A Global Macro Roadmap Outlining an Actionable Vision towards Decarbonized, Resilient Transport: Implementing the Paris Agreement on Climate Change in the Transport Sector in Support of a Net-zero Emission, Climate-Resilient Economy by 2050 or Shortly Thereafter. November 2017. Available online: http://www.ppmctransport.org/wp-content/uploads/2016/04/GMR2017.pdf (accessed on 20 March 2021).
- Roadmap to 2050: A Manual for Nations to Decarbonize by Mid-Century. Published by Sustainable Development Solutions Network (SDSN) and Fondazione Eni Enrico Mattei (FEEM). September 2019. Available online: https://roadmap2050.report/transport/ (accessed on 3 April 2021).
- Melin, H.E. State-of-the-Art in Reuse and Recycling of Lithium-Ion Batteries—A Research Review. Circular Energy Storage. 2019. Available online: http://www.energimyndigheten.se/globalassets/forskning--innovation/overgripande/forskningsoversikt-om-atervinning-och-aterbruk-av-litiumjonbatterier-2019.pdf (accessed on 3 April 2021).
- de Blas, I.; Mediavilla, M.; Capellan-Perez, I.; Duce, C. The limits of transport decarbonization under the current growth paradigm. Energy Strategy Rev. 2020, 32, 100543. [Google Scholar] [CrossRef]
- Tsaousis, P.; Wang, Y.; Roskilly, A.P.; Caldwell, G.S. Algae to energy: Engine performance using raw algal oil. Energy Procedia 2014, 61, 656–659. [Google Scholar] [CrossRef]
- Arvindnarayan, S.; Prabhu, K.K.S.; Shobana, S.; Dharmaraja, J.; Pasupathy, S. Algal biomass energy carriers as fuels: An alternative green source. J. Energy Inst. 2017, 90, 300–315. [Google Scholar] [CrossRef]
- Felneris, M. Investigation on the Characteristics of Diesel Engine Running on Microalgal Oil. Ph.D. Thesis, Vilnius Gediminas Technical University, Vilnius, Lithuania, 2020. [Google Scholar] [CrossRef]
- Baliban, R.C.; Elia, J.A.; Floudas, C.A. Biomass to liquid transportation fuels (BTL) systems: Process synthesis and global optimization framework. Energy Environ. Sci. 2013, 6, 267–287. [Google Scholar] [CrossRef]
- Dimitriou, I.; Goldingay, H.; Bridgwater, A.V. Techno-economic and uncertainty analysis of Biomass to Liquid (BTL) systems for transport fuel production. Renew. Sustain. Energy Rev. 2018, 88, 160–175. [Google Scholar] [CrossRef]
- Hossain, S.; Masjuki, H.H.; Varman, M.; Kalam, M.A.; Arbab, M.I.; Imtenan, S.; Ashraful, A.M. Influence of gas-to-liquid (GTL) fuel in the blends of Calophyllum inophyllum biodiesel and diesel: An analysis of combustion–performance–emission characteristics. Energy Convers. Manag. 2015, 97, 42–52. [Google Scholar]
- Schaberg, P.; Atkinson, C. Calibration Optimization of a Heavy-Duty Diesel Engine with GTL Diesel Fuel; SAE Paper No. 2016-01-0622; SAE International: Warrendale, PA, USA, 2016. [Google Scholar]
- Khan, M.; Tafreshi, R.; Mokahal, A.J.; Mohamed, M.T.; Hanbal, M.Y.; Elturk, J. Single Cylinder GTL Engine: An Experimental Comparison between Traditional Diesel and GTL Diesel on Single Cylinder Engine; SAE Paper No. 2016-01-1262; SAE International: Warrendale, PA, USA, 2016. [Google Scholar]
- Hanggi, S.; Elbert, P.; Bütler, T.; Cabalzar, U.; Teske, S.; Bach, C.; Onder, C. A review of synthetic fuels for passenger vehicles. Energy Rep. 2019, 5, 555–569. [Google Scholar] [CrossRef]
- Schorn, F.; Lohse, D.; Samsun, R.C.; Peters, R.; Stolten, D. The biogas-oxyfuel process as a carbon source for power-to-fuel synthesis: Enhancing availability while reducing separation effort. J. CO2 Util. 2021, 45, 101410. [Google Scholar] [CrossRef]
- Khan, M.I.; Yasmeen, T.; Khan, M.I.; Muhammad, F.; Muhammad, W. Research progress in the development of natural gas as fuel for road vehicles: A bibliographic review (1991–2016). Renew. Sustain. Energy Rev. 2016, 66, 702–741. [Google Scholar] [CrossRef]
- Folkson, R. Alternative Fuels and Advanced Vehicle Technologies for Improved Environmental Performance. Towards Zero Carbon Transportation, 1st ed.; Woodhead Publishing: Cambridge, UK, 2014; p. 784. [Google Scholar]
- Moriarty, P.; Honnery, D. Prospects for hydrogen as a transport fuel. Int. J. Hydrogen Energy 2019, 44, 16029–16037. [Google Scholar] [CrossRef]
- Cunliff, C. An innovation agenda for hard-to-decarbonize energy sectors. Issues Sci. Technol. 2019, 36, 74–79. [Google Scholar]
- Schemme, S.; Samsun, R.C.; Peters, R.; Stolten, D. Power-to-fuel as a key to sustainable transport systems—An analysis of diesel fuels produced from CO2 and renewable electricity. Fuel 2017, 205, 198–221. [Google Scholar] [CrossRef]
- Raslavičius, L.; Felneris, M.; Pukalskas, S.; Rimkus, A.; Melaika, M. Evaluation of P. moriformis oil and its blends with diesel fuel as promising contributors to transportation energy. Energy 2019, 189, 116196. [Google Scholar] [CrossRef]
- Grasreiner, S. Combustion Modeling for Cirtual SI Engine Calibration with the Help of 0D/3D Methods. Ph.D. Thesis, Freiberg University of Mining and Technology (Technische Universität Bergakademie Freiberg), Freiberg, Germany, 2012. [Google Scholar]
- Lebedevas, S.; Dailydka, S.; Jastremskas, V.; Rapalis, P. The influence of locomotive diesel engine transient operating modes on energy usage. Transp. Res. Part D Transp. Environ. 2015, 34, 219–229. [Google Scholar] [CrossRef]
- Grabowski, L.; Wendeker, M.; Pietrykowski, K. AVL Simulation Tools Practical Applications; Lublin University of Technology: Lublin, Poland, 2012; Available online: http://bc.pollub.pl/dlibra/docmetadata?id=993&language=en (accessed on 21 January 2021).
- Prah, I.; Katrašnik, T. Application of optimization techniques to determine parameters of the Vibe combustion model. Strojniški vestnik. J. Mech. Eng. 2009, 55, 715–726. [Google Scholar]
- Pešić, R.B.; Davinić, A.L.; Taranović, D.S.; Miloradović, D.M.; Petković, S.D. Experimental determination of double Vibe function parameters in diesel engines with biodiesel. Therm. Sci. 2010, 14, S197–S208. [Google Scholar] [CrossRef]
- Woschni, G.; Anisits, F. Experimental Investigation and Mathematical Presentation of Rate of Heat Release in Diesel Engines Dependent upon Engine Operating Conditions; SAE Technical Paper 740086; SAE International: Warrendale, PA, USA, 1974. [Google Scholar] [CrossRef]
- Galindo, J.; Climent, H.; Plá, B.; Jiménez, V.D. Correlations for Wiebe function parameters for combustion simulation in two-stroke small engines. Appl. Therm. Eng. 2011, 31, 1190–1199. [Google Scholar] [CrossRef]
- Edison, S.W.; Geissler, G.L. Measuring attitudes towards general technology: Antecedents, hypotheses and scale development. J. Target. Meas. Anal. Market. 2003, 12, 137–156. [Google Scholar] [CrossRef]
- Bishop, J.D.K.; Stettler, M.E.J.; Molden, N.; Boies, A.M. Engine maps of fuel use and emissions from transient driving cycles. Appl. Energy 2016, 183, 202–217. [Google Scholar] [CrossRef]
- Dimitriadis, A.; Seljak, T.; Vihar, R.; Baškovič, U.Ž.; Dimaratos, A.; Bezergianni, S.; Samaras, Z.; Katrašnik, T. Improving PM-NOx trade-off with paraffinic fuels: A study towards diesel engine optimization with HVO. Fuel 2020, 265, 116921. [Google Scholar] [CrossRef]
- Öztürk, E.; Can, O.; Usta, N.; Yücesu, H.S. Effects of retarded fuel injection timing on combustion and emissions of a diesel engine fueled with canola biodiesel. Eng. Sci. Technol. Int. J. 2020, 23, 1466–1475. [Google Scholar] [CrossRef]
- Gnanasekaran, S.; Saravanan, N.; Ilangkumaran, M. Influence of injection timing on performance, emission and combustion characteristics of a DI diesel engine running on fish oil biodiesel. Energy 2016, 116, 1218–1229. [Google Scholar] [CrossRef]
- Hwang, J.; Qi, D.; Jung, Y.; Bae, C. Effect of injection parameters on thecombustion and emission characteristics in a common-rail direct injectiondiesel engine fueled with waste cooking oil biodiesel. Renew. Energy 2014, 63, 9–17. [Google Scholar] [CrossRef]
- Raslavičius, L.; Felneris, M. An appraisal of the P. moriformis microalga oil as fuel for diesel engines with and without exhaust gas recirculation (EGR) (Poster presentation [P1.72]). In Proceedings of the 9th International Conference on Algal Biomass, Biofuels and Bioproducts (AlgalBBB 2019), Boulder, CO, USA, 15–17 June 2019. [Google Scholar]
- Uppalapati, L.R.; Vernham, B.; Wei, Y. Development and Validation of Engine Calibration Using 1D Predictive Models; SAE Technical Paper 2019-01-1135; SAE International: Warrendale, PA, USA, 2019. [Google Scholar] [CrossRef]
- Stenberg, M. Calibration and Validation of Phenomenological Emission Formation Model for Advanced Diesel Engines. Master’s Thesis, Luleå University of Technology, Luleå, Sweden, 2008. [Google Scholar]
- Tadros, M.; Ventura, M.; Soares, C.G. Data driven in-cylinder pressure diagram based optimization procedure. J. Mar. Sci. Eng. 2020, 8, 294. [Google Scholar] [CrossRef]
- Lebedevas, S.; Lebedeva, G.; Bereišienė, K. Modifying mathematical models for calculating operational characteristics of diesel engines burning RME biofuels. Transport 2011, 26, 50–60. [Google Scholar] [CrossRef]
- Punov, P.; Milkov, N.; Perilhon, C.; Podevin, P.; Evtimov, T. Study on the combustion process in a modern diesel engine controlled by pre-injection strategy. IOP Conf. Ser. Mater. Sci. Eng. 2017, 252, 012090. [Google Scholar] [CrossRef]
- Lazarev, E.A.; Lazarev, V.E.; Matsulevich, M.A. Optimization of Parameters for Fuel Combustion Process of Diesel Working Cycle Improvement. In Proceedings of the International Conference on Industrial Engineering, Moscow, Russia, 15–18 May 2018; Radionov Kravchenko, O.A., Guzeev, V.I., Rozhdestvenskiy, Y.V., Eds.; Springer: Cham, Switzerland, 2019; pp. 35–46. [Google Scholar]
- Bulaty, T.; Glanzmann, W. Bestimmung der Wiebe-Verbrennungsparameter. MTZ Mot. Z. 1984, 45, 299–303. [Google Scholar]
- Crua, C. Combustion Processes in a Diesel Engine. Ph.D. Thesis, University of Brighton, Brighton, UK, 2002. [Google Scholar]
- Kamimoto, T.; Kobayashi, H. Combustion processes in diesel engines. Prog. Energy Combust. 1991, 17, 163–189. [Google Scholar] [CrossRef]









| Types of Fuel | Description |
|---|---|
| Oils and biodiesels (including microalgae oil and biodiesel), BTL (biomass-to-liquid), and alcohol fuel [6,7,8,9,10] | Because they are produced in plants that chemically ‘fix’ or capture carbon dioxide, these types of fuel are characterized for their low environmental pollution. Nonetheless, the production of such fuels requires large amounts of energy if compared with gasoline or diesel fuel. |
| Gas-to-liquid (GTL) [11,12,13] | Used as a substitute for diesel fuel, as GTL leads to a significant reduction in air pollution from internal combustion engines. |
| Synthetic fuels (or synfuels) [14,15] | Production of synthetic diesel fuels obtained from biomass, household waste, and/or natural gas has begun approx. 20 years ago. Synfuels are not considered as alternative fuels since they do not require any modifications in the fueling infrastructure or engine design. However, synfuels expand the raw materials base as well as enhance biodiversity and restore the natural ecological balance due to their easy quality assurance during the production process. |
| Compressed natural gas (CNG) and liquefied natural gas (LNG) [16] | CNG and LNG both are highly functional and efficient type of fuel gas. Theoretically, natural gas resources are vast, if not taking into account the global geopolitics. If we take into consideration the geopolitical situation in the world, specialists believe they may be depleted by 2060. Hence, natural gas is playing a large role in near-future energy prediction. The advantage of CNG/LNG compared with other types of alternative fuel is lower CO2 emission and a higher heating value (48.7 MJ/kg) in comparison to diesel fuel (42.6 MJ/kg). Currently, nearly all European automobile manufacturers offer natural gas-powered vehicles to the market. Most of them can run both on gasoline and on natural gas, however, bi-fuel engines lead to higher environmental pollution if compared with those running only on natural gas. |
| Liquefied petroleum gas (LPG) [17] | LPG (mainly propane and butane) is prepared by refining raw natural gas or crude oil and is a co-product of the refining process. This type of fuel is highly explosive. Moreover, LPG characteristics are different from those of the diesel fuel, which means that engines designed for both types of fuel are inefficient. |
| Hydrogen (H2) [18] | Hydrogen in gaseous or liquid form may be used in conventional internal combustion engines. This type of fuel carries three times more energy than gasoline; however, density of the former is significantly lower even when compressed. Moreover, a significant amount of electrical energy is required for H2 generation. |
| Parameter | Microalgae Oil | Diesel Fuel |
|---|---|---|
| Composition | 77.81 C, 11.71 H, 10.48 O | 86.20 C, 13.80 H |
| Density (at 15 °C), kg/m3 | 915.8 | 834.5 |
| Viscosity (at 40 °C), mm2 | 5.287 | 2.286 |
| LHV, MJ/kg | 36.85 | 42.80 |
| HHV, MJ/kg | 39.62 | 44.80 |
| Cetane number | 53.2 | 52.4 |
| Parameter | Type or Value | ||
|---|---|---|---|
| Model | 1Z | CAT 3512B HD-SC | FPT Industrial Cursor 13 |
| Total displacement | 1.896 dm3 | 51.800 dm3 | 5.900 dm3 |
| Compression ratio | 19.5:1 | 14.0:1 | 16.5:1 |
| Aspiration | Turbo | Turbo | Turbo |
| No. of cylinders | 4 | 12 | 6 |
| Type of injection | Direct | Direct | Common rail direct fuel injection |
| Bore/stroke | 79.5 mm/95.5 mm | 170 mm/190 mm | 135 mm/150 mm |
| Rating | 66 kW | 1200 kW | 353 kW |
| Coolant | Water | Water | Water |
| Pe kW | pme bar | φinj CAD TDC | pK bar | TK K | φi CAD | pc bar | pmax bar | Tg K | Gair kg/h | Gf kg/h | α | λ | ηi | ηe | gcycl/ηm | ||||||||||||
|---|---|---|---|---|---|---|---|---|---|---|---|---|---|---|---|---|---|---|---|---|---|---|---|---|---|---|---|
| 12.57 | 0.4 | 0.383 | −2.5 | 1.33 | 1.27 | 353 | 359 | 9.0 | 7.5 | 64.5 | 64.0 | 61.0 | 62.0 | 664 | 643 | 137.8 | 3.78 | 3.78 | 2.89 | 2.60 | 0.94 | 0.97 | 0.46 | 0.325 | 0.314 | 0.01573 | 0.01600 |
| 18.85 | 0.6 | 0.6 | −3.0 | 1.48 | 1.42 | 362 | 359 | 7.5 | 6.9 | 70.5 | 71.7 | 69.0 | 76.3 | 740 | 733 | 147.6 | 5.41 | 5.41 | 2.16 | 2.05 | 0.98 | 1.00 | 0.545 | 0.340 | 0.343 | 0.02253 | 0.02253 |
| 25.13 | 0.8 | 0.8 | −3.0 | 1.59 | 1.55 | 359 | 359 | 6.0 | 6.5 | 77.5 | 78.0 | 79.0 | 80.0 | 792 | 807 | 156.5 | 6.90 | 6.90 | 1.79 | 1.75 | 1.03 | 1.03 | 0.44 | 0.356 | 0.357 | 0.02876 | 0.02876 |
| 1800 m−1 I/II/III * | 1600 m−1 I/II/III * | 1500 m−1 I/II/III * | 1400 m−1 I/II/III * | 1300 m−1 I/II/III * | 1200 m−1 I/II/III * | 1000 m−1 I/II/III * | |
|---|---|---|---|---|---|---|---|
| pme, bar | 18.6/17.8/17.8 | 19.7/18.9/18.9 | 19.9/19.2/19.2 | 20.1/19.4/19.4 | 20.2/19.4/17.1 | 17.1/16.6/15.2 | 12.7/12.7/11.8 |
| ηi | 0.451/0.432/0.432 | 0.458/0.442/0.442 | 0.456/0.440/0.440 | 0.452/0.436/0.436 | 0.447/0.432/0.438 | 0.447/0.435/0.439 | 0.445/0.437/0.440 |
| ηe | 0.388/0.372/0.372 | 0.410/0.390/0.390 | 0.415/0.400/0.400 | 0.419/0.404/0.404 | 0.420/0.405/0.406 | 0.419/0.407/0.408 | 0.409/0.401/0.401 |
| be, g/kW/h | 217/262/262 | 205/248/248 | 203/245/245 | 201/241/241 | 200/241/240 | 201/240/240 | 206/244/244 |
| Tt, K | 889/904/904 | 903/919/919 | 920/935/935 | 944/963/963 | 969/996/972 | 970/991/970 | 972/994/971 |
| α | 2.07/2.03/2.03 | 1.89/1.87/1.87 | 1.80/1.79/1.79 | 1.69/1.68/1.68 | 1.59/1.57/1.59 | 1.49/1.47/1.51 | 1.41/1.39/1.43 |
| pmax, bar | 146/145/145 | 146/137/137 | 140/131/131 | 134/123.5/123.5 | 128/116/108 | 111/101/96.5 | 88.5/81/79 |
| PK, bar | 3.70/3.70/3.70 | 3.24/3.28/3.28 | 3.05/3.09/3.09 | 2.84/2.87/2.87 | 2.66/2.65/2.33 | 2.08/2.10/1.95 | 1.47/1.47/1.43 |
| ηm | 0.86/0.86/0.86 | 0.89/0.89/0.89 | 0.91/0.91/0.91 | 0.93/0.93/0.93 | 0.94/0.94/0.93 | 0.935/0.935/0.928 | 0.92/0.92/0.91 |
| δCO2 | +4.0% | +4.5% | +4.8% | +4.2% | −8.5% | −4.5% | +1.0% |
| 1800 m−1 D100/MAO100 | 1600 m−1 D100/MAO100 | 1500 m−1 D100/MAO100 | 1400 m−1 D100/MAO100 | 1300 m−1 D100/MAO100 | 1200 m−1 D100/MAO100 | 1000 m−1 D100/MAO100 | |
|---|---|---|---|---|---|---|---|
| pme, bar | 18.6/18.2 | 19.7/19.3 | 19.9/19.5 | 20.1/19.7 | 20.2/19.3 | 17.1/16.3 | 12.7/12.6 |
| ηi | 0.451/0.442 | 0.458/0.450 | 0.456/0.447 | 0.452/0.443 | 0.447/0.440 | 0.447/0.442 | 0.445/0.442 |
| ηe | 0.388/0.380 | 0.410/0.402 | 0.415/0.407 | 0.419/0.411 | 0.420/0.413 | 0.419/0.413 | 0.409/0.406 |
| be, g/kW/h | 217/257 | 205/244 | 203/240 | 201/238 | 200/237 | 201/237 | 206/240 |
| Tt, K | 889/892 | 903/911 | 920/928 | 944/955 | 969/974 | 970/973 | 972/954 |
| α | 2.07/2.03 | 1.89/1.87 | 1.80/1.78 | 1.69/1.67 | 1.59/1.57 | 1.49/1.47 | 1.41/1.40 |
| pmax, bar | 146/147 | 146/144 | 140/138 | 134/131 | 128/123 | 111/106 | 88.5/87.5 |
| PK, bar | 3.70/3.70 | 3.24/3.26 | 3.05/3.07 | 2.84/2.86 | 2.66/2.61 | 2.08/2.03 | 1.47/1.49 |
| ηm | 0.86/0.86 | 0.89/0.89 | 0.91/0.91 | 0.93/0.93 | 0.94/0.94 | 0.935/0.935 | 0.92/0.92 |
| ηi/gcikl | Pmax/Tg | |||||||||||||||
|---|---|---|---|---|---|---|---|---|---|---|---|---|---|---|---|---|
| φz | m | m+10% | m | m+10% | m | m+10% | m | m+10% | m | m+10% | m | m+10% | m | m+10% | m | m+10% |
| 0 | 0.05 | 0.5 | 0.55 | 1.0 | 1.1 | 1.45 | 1.6 | 0 | 0.05 | 0.5 | 0.55 | 1.0 | 1.1 | 1.45 | 1.6 | |
| Diesel fuel (φinj = 0 degCA TDC) | ||||||||||||||||
| 50 | 0.5275 | 0.195 | 0.516 | 0.200 | 0.500 | 0.207 | 0.485 | 0.213 | 220 | 927 | 182 | 970 | 153 | 1018 | 133 | 1058 |
| 60 | 0.523 | 0.197 | 0.505 | 0.204 | 0.480 | 0.215 | 0.460 | 0.218 | 212 | 940 | 170 | 999 | 140 | 1067 | 129 | 1121 |
| 70 | 0.518 | 0.199 | 0.492 | 0.209 | 0.464 | 0.222 | 0.438 | 0.235 | 205 | 956 | 161 | 1031 | 132 | 1116 | 129 | 1193 |
| 80 | 0.513 | 0.201 | 0.481 | 0.214 | 0.445 | 0.231 | 0.415 | 0.248 | 199 | 971 | 154 | 1065 | 129 | 1171 | 129 | 1270 |
| Microalgae oil (φinj = 0 degCA TDC, φz is in 10% ↑ compared to D100) | ||||||||||||||||
| 55 | 0.523 | 0.224 | 0.509 | 0.232 | 0.486 | 0.241 | 0.469 | 0.251 | 212 | 937 | 172 | 984 | 141 | 1047 | 129 | 1101 |
| 66 | 0.519 | 0.226 | 0.495 | 0.237 | 0.466 | 0.252 | 0.440 | 0.266 | 203 | 952 | 161 | 1027 | 130 | 1106 | 129 | 1180 |
| 77 | 0.512 | 0.229 | 0.481 | 0.244 | 0.444 | 0.264 | 0.413 | 0.284 | 195 | 970 | 153 | 1061 | 129 | 1170 | 129 | 1272 |
| 88 | 0.504 | 0.291 | 0.467 | 0.251 | 0.422 | 0.278 | 0.386 | 0.305 | 189 | 992 | 146 | 1101 | 129 | 1241 | 129 | 1372 |
| Juxtaposition of D100 (φinj = 0 degCA TDC) vs. MAO100 (φinj = 0 degCA TDC, φz is in 10% ↑ compared to D100) | ||||||||||||||||
| 50 | −1 | +15 | −1.5 | +16 | −2.8 | +16.4 | −3.5 | +17.8 | −3.7 | +1 | −5.5 | +1.4 | −7.8 | +2.8 | −3 | +4 |
| 60 | −1 | +15 | −2 | +16 | −3 | +17.2 | −4.5 | +22 | −4.3 | +1.3 | −5.3 | +2.2 | −7.3 | +3.7 | 0 | +5.3 |
| 70 | −1.2 | +15 | −2.5 | +16.7 | −4.3 | +19 | −5.7 | +23 | −5 | +1.5 | −5 | +2.9 | −2.3 | +4.8 | 0 | +6.6 |
| 80 | −1.8 | +15 | −3 | +17.3 | −5.2 | +20.3 | −7 | +23 | −5 | +2.2 | −5.2 | +3.3 | 0 | +6 | 0 | +8 |
Publisher’s Note: MDPI stays neutral with regard to jurisdictional claims in published maps and institutional affiliations. |
© 2021 by the authors. Licensee MDPI, Basel, Switzerland. This article is an open access article distributed under the terms and conditions of the Creative Commons Attribution (CC BY) license (https://creativecommons.org/licenses/by/4.0/).
Share and Cite
Lebedevas, S.; Raslavičius, L. Prognostic Assessment of the Performance Parameters for the Industrial Diesel Engines Operated with Microalgae Oil. Sustainability 2021, 13, 6482. https://doi.org/10.3390/su13116482
Lebedevas S, Raslavičius L. Prognostic Assessment of the Performance Parameters for the Industrial Diesel Engines Operated with Microalgae Oil. Sustainability. 2021; 13(11):6482. https://doi.org/10.3390/su13116482
Chicago/Turabian StyleLebedevas, Sergejus, and Laurencas Raslavičius. 2021. "Prognostic Assessment of the Performance Parameters for the Industrial Diesel Engines Operated with Microalgae Oil" Sustainability 13, no. 11: 6482. https://doi.org/10.3390/su13116482
APA StyleLebedevas, S., & Raslavičius, L. (2021). Prognostic Assessment of the Performance Parameters for the Industrial Diesel Engines Operated with Microalgae Oil. Sustainability, 13(11), 6482. https://doi.org/10.3390/su13116482

