Crop Diversification in Rice—Based Cropping Systems Improves the System Productivity, Profitability and Sustainability
Abstract
1. Introduction
2. Materials and Methods
2.1. Site Description, Edaphic and Climatic Condition
2.2. Experimental Design
2.3. Crop Management
2.3.1. Transplanted Aman Rice (Monsoon Rice)
2.3.2. Potato
2.3.3. Cucumber
2.3.4. Transplanted Aus Rice
2.3.5. T. Boro
2.4. Observations
2.4.1. Crop Yield
2.4.2. System Rice Equivalent Yield
2.4.3. System Protein Output
2.4.4. System Energy Output
2.5. Sustainable Yield Index (SYI)
2.6. System Economic Performance
2.7. Weather Data
2.8. Statistical Analysis
3. Results and Discussion
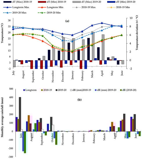
3.1. Weather Variables (Air Temperature and Rainfall)
3.1.1. Transplanted Aman Rice
3.1.2. Potato
3.1.3. Cucumber
3.1.4. Transplanted Aus Rice
3.1.5. Transplanted Boro Rice
3.2. Crop Duration
3.3. Crop and System Rice Equivalent Yield
3.4. System Protein Output
3.5. System Energy Output (Grain, Harvested Straw)
3.6. Crop and System Profitability
4. Conclusions
Author Contributions
Funding
Institutional Review Board Statement
Informed Consent Statement
Data Availability Statement
Acknowledgments
Conflicts of Interest
References
- BBS. Bangladesh Bureau of Statistics, Dhaka, Bangladesh. 2019. Available online: www.bbs.gov.bd (accessed on 18 March 2021).
- BBS. Bangladesh Bureau of Statistics, Dhaka, Bangladesh. 2016. Available online: www.bbs.gov.bd.2016 (accessed on 18 March 2021).
- FAOSTAT. 2019. Available online: http://www.fao.org/faostat/en/#data/QC (accessed on 18 March 2021).
- Ganesh-Kumar, A.; Prasad, S.K.; Pullabhotla, H. Supply and Demand for Cereals in Bangladesh: 2010–2030; IFPRI Discussion Paper 1186; International Food Policy Research Institute (IFPRI): Washington, DC, USA, 2012; pp. 1–36. Available online: http://ebrary.ifpri.org/cdm/ref/collection/p15738coll2/id/126957 (accessed on 9 May 2021).
- Alam, M.J.; Humphreys, E.; Sarkar, M.A.R.; Sudhir, Y. Intensification and diversification increase land and water productivity and profitability of rice-based cropping systems on the High Ganges River Floodplain of Bangladesh. Field Crops Res. 2017, 209, 10–26. [Google Scholar] [CrossRef]
- BRRI. Annual Report for 1994; Bangladesh Rice Research Institute: Gazipur, Bangladesh, 1998; p. 260.
- Ladha, J.K.; Pathak, H.; Gupta, R.K. Sustainability of the rice–wheat cropping system: Issues, constraints and remedial options. J. Crop Improv. 2007, 19, 125–136. [Google Scholar] [CrossRef]
- Khan, M.S.A.; Aziz, M.A. Impact of sowing date induced temperature and management practices on development and yield of mustard. Bangladesh Agron. J. 2015, 18, 45–52. [Google Scholar] [CrossRef][Green Version]
- Planning Commission. Steps towards Change–National Strategy for Accelerated Poverty Reduction II (Revised); FY 2009-11; Government of the People’s Republic of Bangladesh: Dhaka, Bangladesh, 2009; pp. 1–272.
- Nasim, M.; Shahidullah, S.A.; Saha, A.; Muttaleb, M.A.; Aditya, T.L.; Ali, M.A.; Kabir, M.S. Distribution of Crops and Cropping Patterns in Bangladesh. Bangladesh Rice J. 2017, 21, 1–55. [Google Scholar] [CrossRef]
- Ladha, J.K.; Kumar, V.; Alam, M.M.; Sharma, S.; Gathala, M.; Chandna, P.; Saharawat, Y.S.; Balasubramanian, V. Integrating crop and resource management technologies for enhanced productivity, profitability, and sustainability of the rice-wheat system in South Asia. In Integrated Crop and Resource Management in the Rice–Wheat System of South Asia; Ladha, J.K., Singh, Y., Erenstein, O., Hardy, B., Eds.; International Rice Research Institute: Los Baños, Philippines, 2009; pp. 69–108. [Google Scholar]
- Alam, M.J.; Humphreys, E.; Sarkar, M.A.R.; Sudhir, Y. Comparison of dry seeded and puddled transplanted rainy season rice on the High Ganges River Floodplain of Bangladesh. European J. Agron. 2018, 96, 120–130. [Google Scholar] [CrossRef]
- Shamsudduha, M.; Chandler, R.E.; Taylor, R.G.; Ahmed, K.M. Recent trends in groundwater levels in a highly seasonal hydrological system: The GangesBrahmaputra-Meghna delta. Hydrol. Earth Syst. Sci. 2009, 13, 2373–2385. [Google Scholar] [CrossRef]
- Christopher, O.A.; Haque, A.M.M. Arsenic contamination in irrigation water for rice production in Bangladesh: A review. Trends Appl. Sci. Res. 2012, 7, 331–349. [Google Scholar]
- DPHE (Department of Public Health Engineering). Groundwater Studies for Arsenic Contamination in Bangladesh. Rapid Investigation Phase. Final Report. Mott MacDonald International Ltd. and British Geological Survey; Report prepared for Department of Public Health Engineering (Bangladesh) and Department for International Development, UK; The Department of Public Health Engineering (DPHE): Dhaka, Bangladesh, 2000.
- Harrington, L.W.; Fujisaka, S.; Morris, M.L.; Hobbs, P.R.; Sharma, H.C.; Singh, R.P.; Chaudhury, M.K.; Dhiman, S.D. Wheat and rice in Karnal and Kurukshetra Districts, Haryana, India: Farmer’s Practice, Problems and an Agenda for Action; Haryana Agricultural University; Indian Council for Agricultural Research; CIMMYT (International Maize and Wheat Improvement Center) and IRRI (International Rice Research Institute): Delhi, India, 1993; pp. 1–44. [Google Scholar]
- BADC. Bangladesh Agricultural Development Corporation, Survey Report on Irrigation Equipment and Irrigated Area in Boro/2003 Season; Ministry of Agriculture, Government of the People’s Republic of Bangladesh: Dhaka, Bangladesh, 2004; p. 200.
- Tuong, T.P.; Bouman, B.A.M. Rice production in water scarce environments. In Water Productivity in Agriculture: Limits and Opportunities for Improvement; Kijne, J.W., Barker, R., Molden, D., Eds.; CABI Publishing: Wallingford, UK, 2003; pp. 53–67. [Google Scholar]
- FAO (Food and Agriculture Organization). Arsenic Threat in Rice: Reducing Arsenic Levels in Rice through Improved Irrigation Practices. 2007. Available online: http://www.fao.org/newsroom/en/news/2007/1000734/index.html (accessed on 9 May 2021).
- Rahman, M.A.; Hasegawa, H.; Rahman, M.M.; Miah, M.A.M.; Tasmin, A. Arsenic accumulation in rice (Oryza sativa L.): Human exposure through food chain. Ecotoxicol. Environ. Saf. 2008, 69, 317–324. [Google Scholar] [CrossRef]
- Panaullah, G.M.; Alam, T.; Hossain, M.B.; Leoppert, R.H.; Lauren, J.G.; Meisner, C.A.; Ahmed, Z.U.; Duxbury, J.M. Arsenic toxicity to rice (Oryza sativa L.) in Bangladesh. Plant Soil. 2009, 317, 31–39. [Google Scholar] [CrossRef]
- BARC. 2018. Available online: http://www.barc.gov.bd/site/page/8b1d53d5-3b6d-4758-a3de-cb34b0f95537/FertlizerRecommendationGuide-2018 (accessed on 18 March 2021).
- Biswas, B.; Ghosh, D.C.; Dasgupta, M.K.; Trivedi, N.; Timsina, J.; Dobermann, A. Integrated assessment of cropping systems in the Eastern Indo-Gangetic plain. Field Crops Res. 2006, 99, 35–47. [Google Scholar] [CrossRef]
- Timsina, J.; Quayyum, M.A.; Connor, D.J.; Saleque, M.; Haq, F.; Panaullah, G.M.; Jahan, M.A.H.S.; Begum, R.A. Effect of fertilizer and mungbean residue management on total productivity, soil fertility and N-use efficiency of intensified rice-wheat systems. Int. J. Agric. Res. 2006, 1, 41–52. [Google Scholar]
- Annon. Nutrition Value. 2021. Available online: https://www.nutritionvalue.org (accessed on 18 March 2021).
- Khan, M.A.; Hossain, S.M.A. Study on energy input, output and energy use efficiency of major jute based cropping pattern. Bangladesh J. Sci. Indus. Res. 2007, 42, 195–202. [Google Scholar] [CrossRef][Green Version]
- Canakci, M.; Akinci, I. Energy use pattern analyses of greenhouse vegetable production. Energy 2006, 31, 1243–1256. [Google Scholar] [CrossRef]
- Samant, T.K. System productivity, profitability, sustainability and soil health as influenced by rice based cropping systems under mid central table land zone of Odisha. Int. J. Agric. Sci. 2015, 7, 746–749. [Google Scholar]
- Singh, D.; Bhaskar, B.P.; Baruah, U.; Sarkar, D. Diversification of Rice (Oryza sativa L.) Based Cropping Systems for Higher Productivity and Resource-use Efficiency in Major Soil Series of Upper Brahmaputra Valley of Assam. Indian J. Dryland Agric. Res. Dev. 2013, 28, 26–32. [Google Scholar]
- Jat, R.A.; Dungrani, R.A.; Arvadia, M.K.; Sahrawat, K.L. Diversification of rice (Oryza sativa L.)-based cropping systems for higher productivity, resource-use efficiency and economic returns in south Gujarat, India. Arch. Agron. Soil Sci. 2012, 58, 561–572. [Google Scholar] [CrossRef][Green Version]
- Nagoli, S.B.; Basavanneppa, M.A.; Sawargaonkar, G.L.; Biradar, D.P.; Biradar, S.A.; Tevari, P. Diversification of Rice-rice (Oryza sativa L.) cropping systems for productivity, profitability and resource use efficiency in Tunga Bhadra Project Command Area. BEPLS 2017, 6, 108–114. [Google Scholar]
- Alam, M.J.; Ahmed, S.; Islam, M.K.; Islam, R.; Islam, M. Effect of cropping system and rice residue retention on crop productivity and soil physical properties in rice-based cropping system of Bangladesh. Agriculturists 2019, 17, 14–30. [Google Scholar] [CrossRef]
- Khan, M.A.H.; Sultana, N.; Akter, N.; Zaman, M.S.; Choudhury, A.K. Increasing Cropping intensity and productivity through mungbean inclusion in wheat-fallow-T. Aman rice cropping pattern. Bangladesh J. Agric. Res. 2018, 43, 333–343. [Google Scholar] [CrossRef]
- Mahmud, A.A.; Alam, M.J.; Islam, M.A.; Molla, M.S.H.; Ali, M.A. Millet-Jute-T. Aman Cropping Pattern for Increasing System Productivity in the Active Brahmaputra-Jamuna Floodplain Chars. Agriculturists 2020, 18, 129–136. [Google Scholar] [CrossRef]
- Chauhan, D.S.; Sharma, R.K.; Kharub, A.S.; Tripathi, S.C.; Chhokar, R.S. Effect of crop intensification on productivity, profitability, energetics and soil fertility in rice (Oryza sativa)-wheat (Triticum aestivum) cropping system in north-western platins. Indian J. Agric. Sci. 2001, 71, 299–302. [Google Scholar]
- Hossain, I.; Mondal, M.R.I.; Islam, M.J.; Aziz, M.A.; Khan, A.S.M.M.R.; Begum, F. Four crops based cropping pattern studies for increasing cropping intensity and productivity in Rajshahi region of Bangladesh. Bangladesh Agron. J. 2014, 17, 55–60. [Google Scholar] [CrossRef]
- Islam, M.A.; Islam, M.J.; Ali, M.A.; Khan, A.S.M.M.R.; Hossain, M.F.; Moniruzzaman, M. Transforming Triple Cropping System to Four Crops Pattern: An Approach of Enhancing System Productivity through Intensifying Land Use System in Bangladesh. International J. Agron. 2018, 2018, 7149835. [Google Scholar] [CrossRef]
- Rahman, M.S.; Islam, M.T.; Prodhan, M.Z.H.; Hasan, M.K.; Khan, A.S.M.M.R. Productivity and profitability of improved versus existing cropping pattern in Kushtia region. Bangladesh J. Agric. Res. 2018, 43, 587–598. [Google Scholar] [CrossRef]
- Sarker, M.A.Z.; Alam, M.A.; Hossain, A.; Mannaf, M.A. Agro-Economic Performance of Crop Diversification in Rice Based Cropping Systems of Northwest Bangladesh. Agric. Forest. Fish. 2014, 3, 264–270. [Google Scholar] [CrossRef]
- Hossain, M.H.; Bhowal, S.K.; Bashir, M.M.; Khan, A.S.M.M.R. Productivity and Profitability of Four Crops Based Cropping Pattern in Cumilla Region of Bangladesh. Agriculturists 2018, 16, 88–92. [Google Scholar] [CrossRef][Green Version]
- Islam, M.S.; Hossain, A.; Timsina, J.; Saif, H.; Sarker, M.M.R.; Khan, A.S.M.M.R.; Hasan, M.K.; Zahan, T.; Sabagh, A.E.L.; Akdeniz, H.; et al. Feasibility and Financial Viability Study of an Intensive Mustard -Mungbean-Transplanted Aus Rice-Transplanted Aman Rice Cropping System in a Non-Saline Coastal Ecosystem of Bangladesh. Philippine Agric. Sci. 2020, 103, 73–83. [Google Scholar]
- Saha, R.R.; Rahman, M.A.; Rahman, M.H.; Mainuddin, M.; Bell, R.; Gaydon, D.S. Cropping System Intensification for Increasing Crop Productivity in Salt-Affected Coastal Zones of Bangladesh. Proceedings 2019, 36, 172. [Google Scholar] [CrossRef]
- St. Luice, M.; Lemke, R.; Gan, Y.; McConkey, B.; May, W.; Campbell, C.; Zentner, R.; Wang, H.; Kroebel, R.; Fernandez, M.; et al. Diversifying cropping systems enhances productivity, stability and nitrogen use efficiency. Agron. J. 2020, 112, 1517–1536. [Google Scholar] [CrossRef]
- Sharma, S.N.; Prasad, R.; Dwivedi, M.K.; Kumar, S.; Davari, M.R.; Ram, M. Effect of cropping system on production and chemical and biological properties of soil. Arch. Agron. Soil Sci. 2009, 55, 429–438. [Google Scholar] [CrossRef]
- Walia, S.S.; Gill, R.S.; Aulakh, C.S.; Kaur, M. Energy-efficiency indices of alternative cropping systems of North-West India. Indian J. Agron. 2014, 59, 359–363. [Google Scholar]
- Soni, P.; Sinha, R.; Perret, S.R. Energy use and efficiency in selected rice-based cropping systems of the Middle-Indo Gangetic Plains in India. Energy Rep. 2018, 4, 554–564. [Google Scholar] [CrossRef]
- Shilpha, S.M.; Soumya, T.M.; Mamathashree, C.M.; Girijesh, G.K. Energetics in Various Cropping Systems. Int. J. Pure App. Biosci. 2018, 6, 303–323. [Google Scholar]
- Mandal, K.G.; Saha, K.P.; Hati, K.M.; Singh, V.V.; Misra, A.K.; Ghosh, P.K.; Bandyopadhyay, K.K. Cropping Systems of Central India: An Energy and Economic Analysis. J. Sust. Agri. 2005, 25, 117–140. [Google Scholar] [CrossRef]
- Prajapat, K.; Vyas, A.K.; Dhar, S.; Jain, N.K.; Hashim, M.; Choudhary, G.L. Energy input-output relationship of soybean-based cropping systems under different nutrient supply options. J. Environ. Biol. 2018, 39, 93–101. [Google Scholar] [CrossRef]
- Chaudhary, V.P.; Gangwar, B.; Pandey, D.K. Auditing of Energy Use and Output of Different Cropping Systems in India. Agric. Eng. Int. CIGR-e J. 2006, 8, 1–13. [Google Scholar]
- Mandal, S.; Maji, B.; Sarangi, S.K.; Mahanta, K.K.; Mandal, U.K.; Burman, D.; Digar, S.; Mainuddin, M.; Sharma, P.C. Economics of cropping system intensification for small-holder farmers in coastal salt-affected areas in West Bengal: Options, challenges and determinants. Decision 2020, 47, 19–33. [Google Scholar] [CrossRef]

| Soil Depth (0–15 cm) | pH | OM (%) | Total N (%) | P | K | S | Zn | B |
|---|---|---|---|---|---|---|---|---|
| µg/g Soil | ||||||||
| Value | 6.20 | 0.93 | 0.03 | 13.8 | 0.25 | 20.2 | 0.88 | 0.26 |
| Interpretation | Slightly acidic | VL | VL | L | M | M | L | L |
| Parameters | Potato | Cucumber | ||||
|---|---|---|---|---|---|---|
| Quantity (ha−1) | Unit Price (US$) | Total (US$) | Quantity (ha−1) | Unit Price (US$) | Total (US$) | |
| Variable Cost | ||||||
| Seed (Kg) | 2000 | 0.6 | 1200 | 6 | 24 | 144 |
| Land preparation | 1 | 102 | 102 | 1 | 102 | 102 |
| Human labour (Man day−1) | ||||||
| Pit preparation | - | - | - | 12 | 3.6 | 43 |
| Seeding | - | - | - | 10 | 3.6 | 36 |
| Fertiliser | 2 | 4.8 | 10 | 2 | 3.6 | 7 |
| Irrigation | 15 | 4.8 | 72 | 7 | 3.6 | 25 |
| Weeding/Earthing up | 16 | 4.8 | 77 | 7 | 3.6 | 25 |
| Fungicide/Insecticide | 12 | 4.8 | 58 | 7 | 3.6 | 25 |
| Macha preparation | - | - | - | 30 | 4.8 | 144 |
| Harvesting and cleaning | 45 | 4.8 | 216 | 28 | 4.2 | 118 |
| Total labour | 90 | - | 432 | 103 | - | 424 |
| Fertiliser | ||||||
| Cowdung (t) | 10 | 12 | 120 | - | - | - |
| Urea (kg) | 300 | 0.19 | 58 | 125 | 0.192 | 24 |
| TSP (kg) | 220 | 0.3 | 66 | 220 | 0.3 | 66 |
| MoP (kg) | 250 | 0.19 | 48 | 200 | 0.192 | 38 |
| Gypsum (kg) | 120 | 0.12 | 14 | 120 | 0.12 | 14 |
| Zinc (kg) | 10 | 4.8 | 48 | 10 | 4.8 | 48 |
| Boron (kg) | 10 | 3.6 | 36 | 10 | 3.6 | 36 |
| Irrigation | 2 | 36 | 72 | 4 | 36 | 144 |
| Fungicide (kg) | 10 | 4.8 | 48 | - | - | - |
| Insecticide (L) | 5 | 14.4 | 72 | 5 | 14.4 | 72 |
| String (Kg) | - | - | - | 70 | 3 | 210 |
| Bamboo (no.) | - | - | - | 70 | 1.8 | 126 |
| Total variable cost | - | - | 2316 | - | - | 1448 |
| Fixed Cost | ||||||
| Interest on OC (%) | 0.09 | - | 12 | 0.09 | - | 12 |
| Land rental value | 1 | 540 | 135 | 1 | 540 | 135 |
| Total fixed cost | - | - | 147 | - | - | 147 |
| Total cost | - | - | 2463 | - | - | 1596 |
| Parameters | T. Aus | T. Aman | T. Boro | ||||||
|---|---|---|---|---|---|---|---|---|---|
| Quantity ha−1 | Unit Price (US$) | Total (US$) | Quantity ha−1 | Unit Price (US$) | Total (US$) | Quantity ha−1 | Unit Price (US$) | Total (US$) | |
| Variable Costs | |||||||||
| Seed (Kg) | 35 | 0.6 | 21 | 35 | 0.48 | 17 | 40 | 0.6 | 24 |
| Land preparation | 1 | 102 | 102 | 1 | 102 | 102 | 1 | 102 | 102 |
| Human Labour (Man Day−1) | |||||||||
| Seedling uprooting | 7 | 4.2 | 29 | 7 | 3.6 | 25 | 10 | 4.8 | 48 |
| Transplanting | 22 | 4.2 | 92 | 20 | 4.8 | 96 | 21 | 4.8 | 101 |
| Fertiliser | 2 | 4.2 | 8 | 2 | 3.6 | 7 | 3 | 4.8 | 14 |
| Irrigation | 7 | 4.2 | 29 | 4 | 3.6 | 14 | 8 | 4.8 | 38 |
| Weeding | 7 | 4.2 | 29 | 7 | 4.8 | 34 | 10 | 4.8 | 48 |
| Fungicide/Insecticide spray | 7 | 4.2 | 29 | 2 | 4.8 | 10 | 4 | 4.8 | 19 |
| Harvesting and cleaning | 28 | 4.8 | 134 | 20 | 4.8 | 96 | 27 | 4.8 | 130 |
| Total labour | 80 | 353 | 62 | 282 | 81 | 398 | |||
| Fertiliser | |||||||||
| Cowdung (t) | |||||||||
| Urea (kg) | 180 | 0.192 | 35 | 120 | 0.192 | 23 | 200 | 0.192 | 38 |
| TSP (kg) | 160 | 0.3 | 48 | 80 | 0.3 | 24 | 180 | 0.3 | 54 |
| MoP (kg) | 150 | 0.192 | 29 | 70 | 0.192 | 13 | 160 | 0.192 | 31 |
| Gypsum (kg) | 80 | 0.12 | 10 | 60 | 0.12 | 7 | 120 | 0.12 | 14 |
| Zinc (kg) | 10 | 4.8 | 48 | ||||||
| Boron (kg) | 10 | 3.6 | 36 | ||||||
| Irrigation | 7 | 9.6 | 67 | 2 | 9.6 | 19 | 18 | 7.8 | 140 |
| Fungicide (kg) | |||||||||
| Insecticide (L) | 3 | 14.4 | 43 | 2 | 14.4 | 29 | 2 | 14.4 | 29 |
| Total variable cost | 707 | 516 | 915 | ||||||
| Fixed Cost | 0 | ||||||||
| Interest on OC (%) | 0.09 | 12 | 0.09 | 15 | 0.09 | 18 | |||
| Land rental value | 1 | 540 | 135 | 1 | 540 | 169 | 1 | 540 | 203 |
| Total fixed cost | 147 | 184 | 221 | ||||||
| Total Cost | 854 | 700 | 1136 | ||||||
| Crop Years | Existing Cropping System (CS1) | Improved Cropping System (CS2) | Total System a | ||||||
|---|---|---|---|---|---|---|---|---|---|
| T. Aman (Gutiswarna) | Potato (Lalpakri) (Local) | T. Boro (BRRI dhan28) | T. Aman (BRRI dhan57) | Potato (BARI Alu-25) | Cucumber (Local) | T. Aus (BRRI dhan48) | CS1 | CS2 | |
| 2018–19 | 126 ± 2 | 85 ± 2 | 104 ± 3 | 80 ± 2 | 88 ± 2 | 84 ± 2 | 88 ± 2 | 315 ± 2 | 340 ± 2 |
| 2019–20 | 129 ± 2 | 87 ± 2 | 108 ± 3 | 84 ± 2 | 90 ± 2 | 86 ± 2 | 90 ± 2 | 324 ± 2 | 350 ± 2 |
| Mean | 128 ± 2 | 86 ± 2 | 106 ± 3 | 82 ± 2 | 89 ± 2 | 85 ± 2 | 89 ± 2 | 320 ± 2 | 345 ± 2 |
| Crops/Systems | Cropping Systems | |||
|---|---|---|---|---|
| CS1 | CS2 | t-Value | Level of Significance | |
| 2018–19 | ||||
| T. Aman | 4.90 | 4.00 | 4.19 | ** |
| Potato | 19.00 | 24.00 | 5.17 | ** |
| T. Boro | 5.50 | - | - | |
| Cucumber | - | 13.7 | - | |
| T. Aus | - | 4.20 | - | |
| System REY | 22.52 | 33.47 | 13.4 | ** |
| 2019–20 | ||||
| T. Aman | 4.80 | 3.90 | 3.69 | ** |
| Potato | 19.50 | 24.50 | 6.69 | ** |
| T. Boro | - | - | - | |
| Cucumber | - | 14.1 | - | |
| T. Aus | - | 4.00 | - | |
| System REY | 22.48 | 33.74 | 15.9 | ** |
| Mean system REY | 22.50 | 33.60 | 21.9 | ** |
| Mean system SYI | 0.90 | 0.91 | 0.41 | NS |
| Crops/Systems | Cropping System | |||
|---|---|---|---|---|
| CS1 | CS2 | t-Value | Level of Significance | |
| 2018–19 | ||||
| T. Aman | 371 | 303 | 4.19 | ** |
| Potato | 79 | 94 | 4.77 | ** |
| T. Boro | 416 | - | - | - |
| Cucumber | - | 3 | - | - |
| T. Aus | - | 318 | - | - |
| System total | 866 | 718 | 4.53 | ** |
| 2019–20 | ||||
| T. Aman | 363 | 295 | 3.69 | ** |
| Potato | 82 | 96 | 4.99 | ** |
| T. Boro | 401 | - | - | - |
| Cucumber | - | 3 | - | - |
| T. Aus | - | 303 | - | - |
| System total | 846 | 697 | 4.68 | ** |
| Mean system total | 856 | 708 | 6.61 | ** |
| Crops/Systems | Cropping System | |||
|---|---|---|---|---|
| CS1 | CS2 | t-Value | Level of Significance | |
| 2018–19 | ||||
| T. Aman | 180 | 153 | 3.51 | ** |
| Potato | 77 | 97 | 5.17 | ** |
| T. Boro | 196 | - | - | - |
| Cucumber | - | 11 | - | - |
| T. Aus | - | 152 | - | - |
| System total | 454 | 413 | 3.17 | ** |
| 2019–20 | ||||
| T. Aman | 175 | 148 | 3.03 | ** |
| Potato | 79 | 99 | 6.69 | ** |
| T. Boro | 185 | - | - | - |
| Cucumber | - | 11 | - | |
| T. Aus | - | 144 | - | - |
| System total | 439 | 403 | 2.36 | ** |
| Mean system total | 446 | 408 | 3.96 | ** |
| Economic Parameter a | Potato | Cucumber | T.Aus | T.Aman | T.Boro |
|---|---|---|---|---|---|
| A. Gross Return | |||||
| Activity 0–100% | 3132 ± 39 | 2502 ± 58 | 1052 ± 19 | 1133 ± 16 | 1382 ± 31 |
| B. Total Variable Cost | |||||
| Activity 100% | 2316 | 1448 | 707 | 516 | 915 |
| Activity 75% | 2208 | 1342 | 619 | 446 | 816 |
| Activity 50% | 2100 | 1236 | 531 | 375 | 716 |
| Activity 25% | 1992 | 1130 | 442 | 305 | 617 |
| Activity 0% | 1884 | 1024 | 354 | 234 | 517 |
| C. Total Fixed Cost | |||||
| Activity 100% | 147 | 147 | 147 | 184 | 221 |
| Activity 75% | 147 | 147 | 147 | 184 | 221 |
| Activity 50% | 147 | 147 | 147 | 184 | 221 |
| Activity 25% | 147 | 147 | 147 | 184 | 221 |
| Activity 0% | 147 | 147 | 147 | 184 | 221 |
| D. Total Cost (B + C) | |||||
| Activity 100% | 2463 | 1595 | 854 | 700 | 1136 |
| Activity 75% | 2355 | 1489 | 766 | 630 | 1037 |
| Activity 50% | 2247 | 1383 | 678 | 559 | 937 |
| Activity 25% | 2139 | 1277 | 589 | 489 | 838 |
| Activity 0% | 2031 | 1171 | 501 | 418 | 738 |
| E. Gross Margin (A − B) | |||||
| Activity 100% | 816 ± 39 | 1054 ± 58 | 345 ± 19 | 617 ± 16 | 467 ± 31 |
| Activity 75% | 924 ± 39 | 1160 ± 58 | 433 ± 19 | 687 ± 16 | 566 ± 31 |
| Activity 50% | 1032 ± 39 | 1266 ± 58 | 521 ± 19 | 758 ± 16 | 666 ± 31 |
| Activity 25% | 1140 ± 39 | 1372 ± 58 | 609 ± 19 | 828 ± 16 | 765 ± 31 |
| Activity 0% | 1248 ± 39 | 1478 ± 58 | 698 ± 19 | 899 ± 16 | 865 ± 31 |
| F. Net Return (A − D) | |||||
| Activity 100% | 669 ± 39 | 907 ± 58 | 198 ± 19 | 433 ± 16 | 246 ± 31 |
| Activity 75% | 777 ± 39 | 1013 ± 58 | 286 ± 19 | 503 ± 16 | 345 ± 31 |
| Activity 50% | 885 ± 39 | 1119 ± 58 | 374 ± 19 | 574 ± 16 | 445 ± 31 |
| Activity 25% | 993 ± 39 | 1225 ± 58 | 462 ± 19 | 644 ± 16 | 544 ± 31 |
| Activity 0% | 1101 ± 39 | 1331 ± 58 | 551 ± 19 | 715 ± 16 | 644 ± 31 |
| G. BCR (Undiscounted)(A/D) | |||||
| Activity 100% | 1.27 ± 0.02 | 1.57 ± 0.04 | 1.23 ± 0.02 | 1.62 ± 0.02 | 1.22 ± 0.03 |
| Activity 75% | 1.33 ± 0.02 | 1.68 ± 0.04 | 1.37 ± 0.02 | 1.80 ± 0.03 | 1.33 ± 0.03 |
| Activity 50% | 1.39 ± 0.02 | 1.81 ± 0.04 | 1.55 ± 0.03 | 2.03 ± 0.03 | 1.47 ± 0.03 |
| Activity 25% | 1.46 ± 0.02 | 1.96 ± 0.05 | 1.78 ± 0.03 | 2.32 ± 0.03 | 1.65 ± 0.04 |
| Activity 0% | 1.54 ± 0.02 | 2.14 ± 0.05 | 2.10 ± 0.04 | 2.71 ± 0.04 | 1.87 ± 0.04 |
| Economics | Mean | |
|---|---|---|
| CS1 | CS2 | |
| A. Gross Return | ||
| Activity 0–100% | 5399 ± 69 | 8065 ± 131 |
| B. Total Variable Cost | ||
| Activity 100% | 3747 | 4987 |
| Activity 75% | 3470 | 4615 |
| Activity 50% | 3191 | 4242 |
| Activity 25% | 2914 | 3869 |
| Activity 0% | 2635 | 3496 |
| C. Total Fixed Cost | ||
| Activity 100% | 589 | 588 |
| Activity 75% | 589 | 588 |
| Activity 50% | 589 | 588 |
| Activity 25% | 589 | 588 |
| Activity 0% | 589 | 588 |
| D. Total Cost (B + C) | ||
| Activity 100% | 4336 | 5575 |
| Activity 75% | 4059 | 5203 |
| Activity 50% | 3780 | 4830 |
| Activity 25% | 3503 | 4457 |
| Activity 0% | 3224 | 4084 |
| E. Gross Margin (A − B) | ||
| Activity 100% | 1652 ± 69 | 3078 ± 131 |
| Activity 75% | 1929 ± 69 | 3450 ± 131 |
| Activity 50% | 2208 ± 69 | 3823 ± 131 |
| Activity 25% | 2485 ± 69 | 4196 ± 131 |
| Activity 0% | 2764 ± 69 | 4569 ± 131 |
| F. Net Return (A − D) | ||
| Activity 100% | 1063 ± 69 | 2490 ± 131 |
| Activity 75% | 1340 ± 69 | 2862 ± 131 |
| Activity 50% | 1619 ± 69 | 3235 ± 131 |
| Activity 25% | 1896 ± 69 | 3608 ± 131 |
| Activity 0% | 2175 ± 69 | 3981 ± 131 |
| G. BCR (Undiscounted)(A/D) | ||
| Activity 100% | 1.25 ± 0.02 | 1.45 ± 0.02 |
| Activity 75% | 1.33 ± 0.02 | 1.55 ± 0.03 |
| Activity 50% | 1.43 ± 0.02 | 1.67 ± 0.03 |
| Activity 25% | 1.54 ± 0.02 | 1.81 ± 0.03 |
| Activity 0% | 1.67 ± 0.02 | 1.97 ± 0.03 |
Publisher’s Note: MDPI stays neutral with regard to jurisdictional claims in published maps and institutional affiliations. |
© 2021 by the authors. Licensee MDPI, Basel, Switzerland. This article is an open access article distributed under the terms and conditions of the Creative Commons Attribution (CC BY) license (https://creativecommons.org/licenses/by/4.0/).
Share and Cite
Alam, M.J.; Al-Mahmud, A.-; Islam, M.A.; Hossain, M.F.; Ali, M.A.; Dessoky, E.S.; El-Hallous, E.I.; Hassan, M.M.; Begum, N.; Hossain, A. Crop Diversification in Rice—Based Cropping Systems Improves the System Productivity, Profitability and Sustainability. Sustainability 2021, 13, 6288. https://doi.org/10.3390/su13116288
Alam MJ, Al-Mahmud A-, Islam MA, Hossain MF, Ali MA, Dessoky ES, El-Hallous EI, Hassan MM, Begum N, Hossain A. Crop Diversification in Rice—Based Cropping Systems Improves the System Productivity, Profitability and Sustainability. Sustainability. 2021; 13(11):6288. https://doi.org/10.3390/su13116288
Chicago/Turabian StyleAlam, Md Jahangir, Abdullah- Al-Mahmud, Md Aminul Islam, Md Faruque Hossain, Md Akkas Ali, Eldessoky S. Dessoky, Ehab I. El-Hallous, Mohamed M. Hassan, Nasrin Begum, and Akbar Hossain. 2021. "Crop Diversification in Rice—Based Cropping Systems Improves the System Productivity, Profitability and Sustainability" Sustainability 13, no. 11: 6288. https://doi.org/10.3390/su13116288
APA StyleAlam, M. J., Al-Mahmud, A.-, Islam, M. A., Hossain, M. F., Ali, M. A., Dessoky, E. S., El-Hallous, E. I., Hassan, M. M., Begum, N., & Hossain, A. (2021). Crop Diversification in Rice—Based Cropping Systems Improves the System Productivity, Profitability and Sustainability. Sustainability, 13(11), 6288. https://doi.org/10.3390/su13116288

