Relevance of Traumatic Events and Routine Stressors at Work and PTSD Symptoms on Emergency Nurses
Abstract
1. Introduction
2. Materials and Methods
2.1. Participants
2.2. Instruments
2.2.1. Traumatic and Routine Stressors Scale on Emergency Nurses (TRSS-EN)
2.2.2. Posttraumatic Diagnostic Scale for DMS-5 (PDS-5)
2.3. Procedure
2.4. Data Analysis
3. Results
3.1. Associations between Impact of Traumatic Events versus Impact of Routine Stressors and PTSD Symptoms
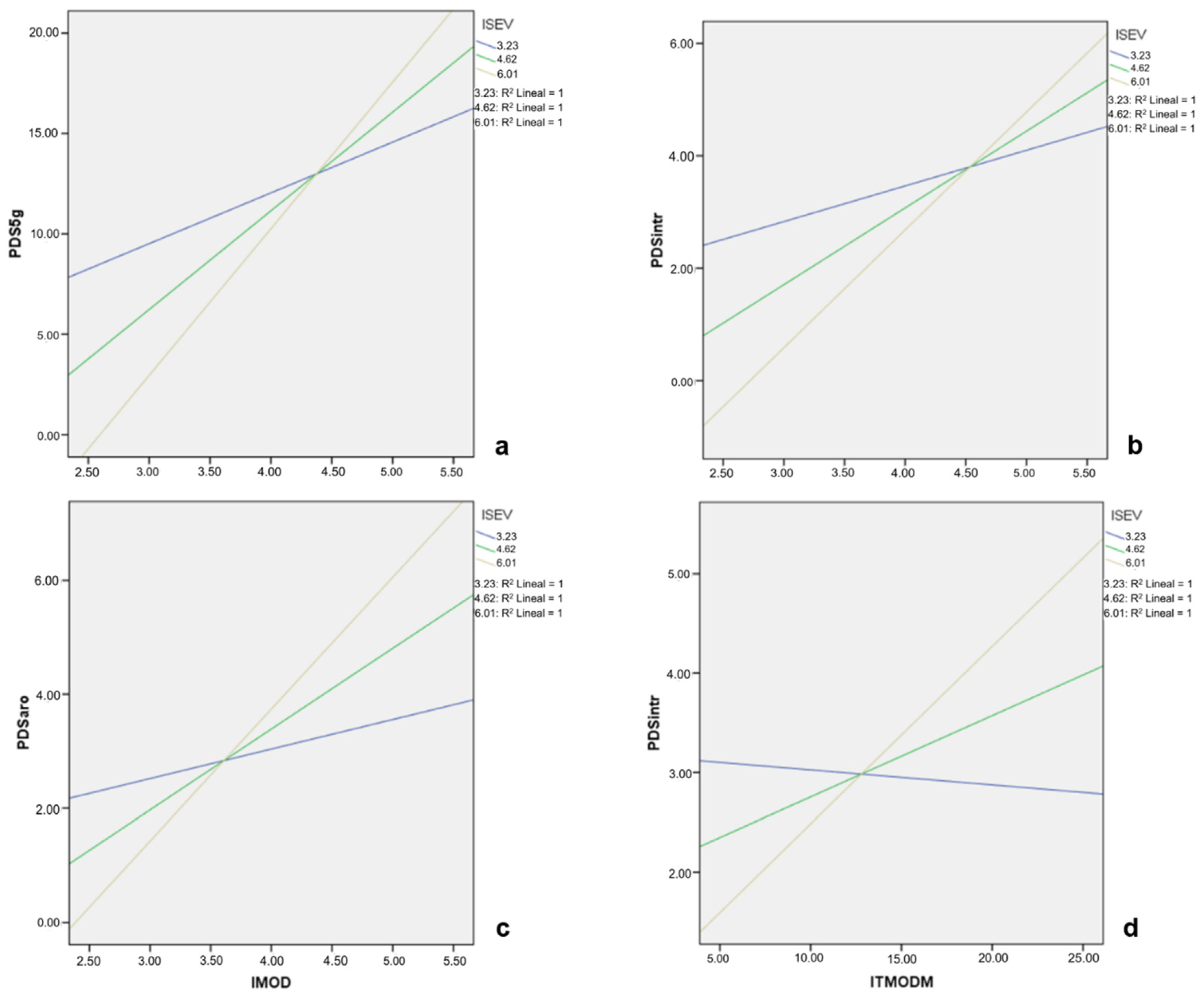
3.2. Moderating Role of the Impact of Traumatic Events in the Association between the Impact of Routine Stressors and PTSD Symptoms
4. Discussion
Limitations
5. Conclusions
Author Contributions
Funding
Institutional Review Board Statement
Informed Consent Statement
Data Availability Statement
Acknowledgments
Conflicts of Interest
References
- Adriaenssens, J.; de Gucht, V.; Maes, S. The impact of traumatic events on emergency room nurses: Findings from a questionnaire survey. Int. J. Nurs. Stud. 2012, 49, 1411–1422. [Google Scholar] [CrossRef]
- Forman-Hoffman, V.L.; Bose, J.; Batts, K.R.; Glasheen, C.; Hirsch, E.; Karg, R.S.; Huang, L.N.; Hedden, S.L. Correlates of Lifetime Exposure to One or More Potentially Traumatic Events and Subsequent Posttraumatic Stress among Adults in the United States: Results from the Mental Health Surveillance Study. In CBHSQ Data Review; Substance Abuse and Mental Health Services Administration (USA): Rockville, MD, USA, 2016; pp. 1–49. [Google Scholar]
- Meichenbaum, D. Treating Post-Traumatic Stress Disorder. A Handbook and Practice Manual for Therapy; John Wiley & Sons: New York, NY, USA, 1994. [Google Scholar]
- Liberman, A.M.; Best, S.; Metzler, T.J.; Fagan, J.A.; Weiss, D.S.; Marmar, C.R. Routine occupational stress and psychological distress in police. Police Int. J. Police Strateg. Manag. 2002, 25, 421–441. [Google Scholar] [CrossRef]
- Violanti, J.M.; Ma, C.C.; Mnatsakanova, A.; Fekedulegn, D.; Hartley, T.A.; Gu, J.K.; Andrew, M.E. Associations between Police Work Stressors and Posttraumatic Stress Disorder Symptoms: Examining the Moderating Effects of Coping. J. Police Crim. Psychol. 2018, 33, 271–282. [Google Scholar] [CrossRef] [PubMed]
- Laposa, J.M.; Alden, L.E.; Fullerton, L.M. Work stress and posttraumatic stress disorder in ED nurses/personnel (CE). J. Emerg. Nurs. 2003, 29, 23–28. [Google Scholar] [CrossRef] [PubMed]
- Trudgill, D.I.N.; Gorey, K.M.; Donnelly, E.A. Prevalent posttraumatic stress disorder among emergency department personnel: Rapid systematic review. Humanit. Soc. Sci. Commun. 2020, 7, 89. [Google Scholar] [CrossRef]
- Al Falasi, B.; Al Mazrouei, M.; Al Ali, M.; Al Dhamani, M.; Al Ali, A.; Al Kindi, M.; Dalkilinc, M.; Al Qubaisi, M.; Campos, L.A.; Al Tunaiji, H.; et al. Prevalence and Determinants of Immediate and Long-Term PTSD Consequences of Coronavirus-Related (CoV-1 and CoV-2) Pandemics among Healthcare Professionals: A Systematic Review and Meta-Analysis. Int. J. Environ. Res. Public Health 2021, 18, 2182. [Google Scholar] [CrossRef]
- Rodriguez, R.M.; Montoy, J.; Hoth, K.F.; Talan, D.A.; Harland, K.K.; Eyck, P.T.; Mower, W.; Krishnadasan, A.; Santibanez, S.; Mohr, N.; et al. COVID-19-Related Stress Symptoms among Emergency Department Personnel. Ann. Emerg. Med. Adv. Online Publ. 2021. [Google Scholar] [CrossRef]
- Iranmanesh, S.; Tirgari, B.; Bardsiri, H.S. Post-traumatic stress disorder among paramedic and hospital emergency personnel in south-east Iran. World J. Emerg. Med. 2013, 4, 26–31. [Google Scholar] [CrossRef]
- Gates, D.; Gillespie, G.; Succop, P. Violence against nurses and its impact on stress and productivity. Nurs. Econ. 2011, 29, 59–67. [Google Scholar] [PubMed]
- Bullman, T.A.; Kang, H.K.; Thomas, T.L. Posttraumatic stress disorder among Vietnam veterans on the Agent Orange Registry. A case-control analysis. Ann. Epidemiol. 1991, 1, 505–512. [Google Scholar] [CrossRef]
- Friedman, M.J.; Resick, P.A.; Keane, T.M. PTSD: Twenty-five years of progress and challenges. In Handbook of PTSD: Science and Practice; Friedman, M.J., Keane, T.M., Resick, P.A., Eds.; Guilford Press: New York, NY, USA, 2007; pp. 3–18. [Google Scholar]
- Fullerton, C.S.; Ursano, R.J.; Wang, L. Acute stress disorder, posttraumatic stress disorder, and depression in disaster or rescue workers. Am. J. Psychiatry 2004, 161, 1370–1376. [Google Scholar] [CrossRef]
- Ward, C.L.; Lombard, C.J.; Gwebushe, N. Exposure to critical incidents in South African emergency services personnel: Prevalence and associated mental health problems. Emerg. Med. J. 2006, 23, 226–231. [Google Scholar] [CrossRef]
- Levy-Gigi, E.; Bonanno, G.A.; Shapiro, A.R.; Richter-Levin, G.; Kéri, S.; Sheppes, G. Emotion regulatory flexibility sheds light on the elusive relationship between repeated traumatic exposure and posttraumatic stress disorder symptoms. Clin. Psychol. Sci. 2015, 4, 28–39. [Google Scholar] [CrossRef]
- Grillon, C.; Pine, D.S.; Lissek, S.; Rabin, S.; Bonne, O.; Vythilingam, M. Increased anxiety during anticipation of unpredictable aversive stimuli in posttraumatic stress disorder but not in generalized anxiety disorder. Biol. Psychiatry 2009, 66, 47–53. [Google Scholar] [CrossRef] [PubMed]
- Hancock, L.; Bryant, R.A. Control percibido y evitación en el estrés postraumático. Eur. J. Psychotraumatol. 2018, 9. [Google Scholar] [CrossRef]
- Maguen, S.; Metzler, T.J.; McCaslin, S.E.; Inslicht, S.S.; Henn-Haase, C.; Neylan, T.C.; Marmar, C.R. Routine work environment stress and PTSD symptoms in police officers. J. Nerv. Ment. Dis. 2009, 197, 754–760. [Google Scholar] [CrossRef] [PubMed]
- King, D.W.; King, L.A.; Gudanowski, D.M.; Vreven, D.L. Alternative representations of war zone stressors: Relationships to posttraumatic stress disorder in male and female Vietnam veterans. J. Abnorm. Psychol. 1995, 104, 184–195. [Google Scholar] [CrossRef]
- Carlier, I.V.; Lamberts, R.D.; Gersons, B.P. Risk factors for posttraumatic stress symptomatology in police officers: A prospective analysis. J. Nerv. Ment. Dis. 1997, 185, 498–506. [Google Scholar] [CrossRef]
- American Psychiatric Association. Diagnostic and Statistical Manual of Mental Disorders: DSM-5; American Psychiatric Association: Arlington, TX, USA, 2013. [Google Scholar]
- Basoglu, M.; Mineka, S. The role of uncontrollability and unpredictability of stress in the development of post-torture stress symptoms. In Torture and Its Consequences: Current Treatment Approaches; Başoğlu, M., Ed.; Cambridge University Press: Cambridge, UK, 1992; pp. 182–225. [Google Scholar]
- Basoglu, M.; Mineka, S.; Paker, M.; Aker, T.; Livanou, M.; Gok, S. Psychological preparedness for trauma as a protective factor in survivors of torture. Psychol. Med. 1997, 27, 1421–1433. [Google Scholar] [CrossRef]
- Bolstad, B.; Zinbarg, R. Sexual victimization, generalized perception of control, and posttraumatic stress disorder symptom severity. J. Anxiety Disord. 1997, 11, 523–540. [Google Scholar] [CrossRef]
- Regehr, C.; Cadell, S.; Jansen, K. Perceptions of control and long-term recovery from rape. Am. J. Orthopsychiatry 1999, 69, 110–115. [Google Scholar] [CrossRef]
- Marmar, C.R.; Weiss, D.S.; Metzler, T.J.; Ronfeldt, H.M.; Foreman, C. Stress responses of emergency services personnel to the Loma Prieta earthquake Interstate 880 freeway collapse and control traumatic incidents. J. Trauma. Stress 1996, 9, 63–85. [Google Scholar] [CrossRef] [PubMed]
- Campillo-Cruz, M.; González-Gutiérrez, J.L.; Ardoy-Cuadros, J.; Fernández-Muñoz, J.J. The development and exploratory psychometric properties of the traumatic and routine stressors scale in emergency room nurses (TRSS-EN). Int. J. Environ. Res. Public Health 2020, 17, 1963. [Google Scholar] [CrossRef]
- Foa, E.B.; McLean, C.P.; Zang, Y.; Zhong, J.; Powers, M.B.; Kauffman, B.Y.; Rauch, S.; Porter, K.; Knowles, K. Psychometric properties of the posttraumatic diagnostic scale for DSM-5 (PDS-5). Psychol. Assess. 2016, 28, 1166–1171. [Google Scholar] [CrossRef]
- World Medical Association. World Medical Association Declaration of Helsinki: Ethical principles for medical research involving human subjects. JAMA 2013, 310, 2191–2194. [Google Scholar] [CrossRef]
- Cohen, J. Statistical Power Analysis for the Behavioral Sciences; Academic Press: New York, NY, USA, 1977. [Google Scholar]
- Hayes, A.F. Methodology in the Social Sciences. Introduction to Mediation, Moderation, and Conditional Process Analysis: A Regression-Based Approach; Guilford Press: New York, NY, USA, 2013. [Google Scholar]
- Hayes, A.F. Beyond Baron & Kenny: Statistical Mediation Analysis in the New Millennium. Commun. Monogr. 2009, 76, 408–420. [Google Scholar] [CrossRef]
- Collins, P.A.; Gibbs, A.C. Stress in police officers: A study of the origins, prevalence and severity of stress-related symptoms within a county police force. Occup. Med. 2003, 53, 256–264. [Google Scholar] [CrossRef] [PubMed]
- Pérez Benítez, C.I.; Vicente, B.; Zlotnick, C.; Kohn, R.; Johnson, J.; Valdivia, S.; Rioseco, P. Estudio epidemiológico de sucesos traumáticos, trastorno de estrés post-traumático y otros trastornos psiquiátricos en una muestra representativa de Chile. Salud Ment. 2009, 32, 145–153. [Google Scholar]
- Kessler, R.C.; Sonnega, A.; Bromet, E.; Hughes, M.; Nelson, C.B. Posttraumatic stress disorder in the National Comorbidity Survey. Arch. Gen. Psychiatry 1995, 52, 1048–1060. [Google Scholar] [CrossRef]
- Hosseininejad, S.M.; Jahanian, F.; Elyasi, F.; Mokhtari, H.; Koulaei, M.E.; Pashaei, S.M. La prevalencia del trastorno de estrés postraumático entre las enfermeras de emergencia: Un estudio transversal en el norte de Irán. BioMedicine 2019, 9, 19. [Google Scholar] [CrossRef]
- Narimani, M.Z.A.; Basharpoor, S. Prevalence of posttraumatic stress disorder in hospital emergency nurses and fire department workers in Uremia city. J. Res. Behav. Sci. 2010, 8, 69–74. [Google Scholar]
- D’Ettorre, G.; Ceccarelli, G.; Santinelli, L.; Vassalini, P.; Innocenti, G.P.; Alessandri, F.; Koukopoulos, A.E.; Russo, A.; d’Ettorre, G.; Tarsitani, L. Post-Traumatic Stress Symptoms in Healthcare Workers Dealing with the COVID-19 Pandemic: A Systematic Review. Int. J. Environ. Res. Public Health 2021, 18, 601. [Google Scholar] [CrossRef]
- Sheppes, G.; Scheibe, S.; Suri, G.; Radu, P.; Blechert, J.; Gross, J.J. Emotion regulation choice: A conceptual framework and supporting evidence. J. Exp. Psychol. Gen. 2014, 143, 163–181. [Google Scholar] [CrossRef] [PubMed]
- Mitchell, J.T. When disaster strikes. The Critical Incident Stress Debriefing process. J. Emerg. Med. Serv. 1983, 8, 36–39. [Google Scholar]
- Cudmore, J. Preventing post traumatic stress disorder in accident and emergency nursing. A review of the literature. Nurs. Crit. Care 1996, 1, 120–126. [Google Scholar]
- Morrow, H.E. Coordinating a multiple casualty Critical Incident Stress Management (CISM) response within a medical/surgical hospital setting. Int. J. Emerg. Ment. Health 2001, 3, 27–34. [Google Scholar]

| Descriptive Data | Mean | SD | n | Percentage |
|---|---|---|---|---|
| Age (N = 144) | 40.41 | 8.32 | ||
| Children (N = 147) | 0.99 | 1.02 | ||
| Years of experience in the profession (N = 147) | 16.48 | 7.33 | ||
| Years of experience in the same job (N = 147) | 9.9 | 6.69 | ||
| Characteristics | ||||
| Gender | 147 | 100 | ||
| Male | 19 | 12.9 | ||
| Female | 128 | 87.1 | ||
| Relationship status | 145 | 100 | ||
| In a stable relationship | 115 | 79.3 | ||
| Single | 30 | 20.7 | ||
| Educational level | 146 | 100 | ||
| DUE | 88 | 60.3 | ||
| General Nurse | 11 | 7.5 | ||
| TCAE | 43 | 29.5 | ||
| Others | 4 | 2.7 | ||
| Employment situation | 147 | 100 | ||
| Permanent | 72 | 49 | ||
| Non-permanent | 75 | 51 | ||
| Percentage with patients | 146 | 100 | ||
| Less than 25% | 8 | 5.5 | ||
| From 25% to 50% | 2 | 1.4 | ||
| From 50% to 75% | 25 | 17.1 | ||
| More than 75% | 111 | 76 |
| Mean | SD | 1 | 2 | 3 | 4 | 5 | 6 | 7 | 8 | 9 | 10 | |
|---|---|---|---|---|---|---|---|---|---|---|---|---|
| 1. Emotional impact of TE | 4.56 | 1.44 | ||||||||||
| 2. Emotional impact of RE | 3.83 | 1.23 | 0.643 ** | |||||||||
| 3. TE frequency | 1.98 | 0.84 | 0.004 | 0.252 ** | ||||||||
| 4. RE frequency | 3.76 | 1.34 | 0.140 | 0.380 ** | 0.513 ** | |||||||
| 5. Total impact of TE | 9.02 | 4.87 | 0.541 ** | 0.547 ** | 0.809 ** | 0.476 ** | ||||||
| 6. Total impact of RE | 15.06 | 8.23 | 0.396 ** | 0.769 ** | 0.503 * | 0.843 ** | 0.633 ** | |||||
| 7. Global PTSD Index (PDS-5) | 12.77 | 13.40 | 0.134 | 0.307 ** | 0.084 | 0.098 | 0.138 | 0.194 | ||||
| 8. Intrusion (PDS-5) | 3.58 | 3.68 | 0.084 | 0.272 ** | 0.123 | 0.057 | 0.178 | 0.157 | 0.863 ** | |||
| 9. Avoidance (PDS-5) | 1.52 | 1.68 | 0.187 | 0.313 ** | 0.048 | 0.097 | 0.126 | 0.178 | 0.810 ** | 0.743 ** | ||
| 10.Cognitive mood (PDS-5) | 3.62 | 4.76 | 0.042 | 0.234 * | 0.072 | 0.128 | 0.061 | 0.174 | 0.924 ** | 0.678 ** | 0.671 ** | |
| 11.Arousal (PDS-5) | 4.04 | 4.78 | 0.204 * | 0.308 ** | 0.053 | 0.068 | 0.144 | 0.186 | 0.934 ** | 0.713 ** | 0.680 ** | 0.835 ** |
| PDS-5 | Intrusion | Avoidance | Cognition | Arousal | |
|---|---|---|---|---|---|
| Impact of traumatic events | |||||
| Impact of | |||||
| routine stressors | 1.72 * | 0.53 ** | 0.14 | 0.41 | 0.65 ** |
| Frequency of | |||||
| routine stressors | 0.64 | 0.25 | 0.05 | 0.78 | 0.05 |
| Total impact of | |||||
| routine stressors | 0.20 | 0.07 * | 0.02 | 0.05 | 0.06 |
| B | SE | t | R2 Cor. | |
|---|---|---|---|---|
| Global PTSD Symptom Index (PDS-5) | ||||
| Impact of TE | −7.52 | 2.66 | −2.83 ** | |
| Impact of RE | −3.03 | 3.18 | −0.95 | |
| Impact of TE x impact of RE | 1.72 | 0.67 | 2.57 * | 0.06 * |
| Intrusion (PDS-5) | ||||
| Impact of TE | −2.39 | 0.73 | −3.28 ** | |
| Impact of RE | −1.07 | 0.87 | −1.22 | |
| Impact of TE x impact of RE | 0.53 | 0.18 | 2.87 ** | 0.07 ** |
| Arousal (PDS-5) | ||||
| Impact of TE | −2.34 | 0.95 | −2.46 * | |
| Impact of RE | −1.57 | 1.14 | −1.38 | |
| Impact of TE x impact of RE | 0.65 | 0.24 | 2.70 ** | 0.06 ** |
| Intrusion (PDS-5) | ||||
| Impact of TE | −0.89 | 0.46 | −1.93 | |
| Total impact of RE | −0.24 | 0.15 | −1.60 | |
| Impact of TE x Total impact of RE | 0.07 | 0.03 | 2.33 * | 0.05 * |
Publisher’s Note: MDPI stays neutral with regard to jurisdictional claims in published maps and institutional affiliations. |
© 2021 by the authors. Licensee MDPI, Basel, Switzerland. This article is an open access article distributed under the terms and conditions of the Creative Commons Attribution (CC BY) license (https://creativecommons.org/licenses/by/4.0/).
Share and Cite
Campillo-Cruz, M.; González-Gutiérrez, J.L.; Ardoy-Cuadros, J. Relevance of Traumatic Events and Routine Stressors at Work and PTSD Symptoms on Emergency Nurses. Sustainability 2021, 13, 6050. https://doi.org/10.3390/su13116050
Campillo-Cruz M, González-Gutiérrez JL, Ardoy-Cuadros J. Relevance of Traumatic Events and Routine Stressors at Work and PTSD Symptoms on Emergency Nurses. Sustainability. 2021; 13(11):6050. https://doi.org/10.3390/su13116050
Chicago/Turabian StyleCampillo-Cruz, Manuel, José Luís González-Gutiérrez, and Juan Ardoy-Cuadros. 2021. "Relevance of Traumatic Events and Routine Stressors at Work and PTSD Symptoms on Emergency Nurses" Sustainability 13, no. 11: 6050. https://doi.org/10.3390/su13116050
APA StyleCampillo-Cruz, M., González-Gutiérrez, J. L., & Ardoy-Cuadros, J. (2021). Relevance of Traumatic Events and Routine Stressors at Work and PTSD Symptoms on Emergency Nurses. Sustainability, 13(11), 6050. https://doi.org/10.3390/su13116050

