Impact of Green Credit Financing and Carbon Emission Limits on the Supply Chain Based on POF
Abstract
1. Introduction
2. Literature Review
3. The Model
3.1. The Basic Model
- 1.
- When, the delivery probability of the green supplier, the bank provides loans at interest rate, the contract price, the manufacturer’s profit, and the total payoffs of two suppliers are given as.
- 2.
- When, the delivery probability of the green supplier, the bank provides loans at interest rate, and the contract price. Also,and.
- 3.
- When, the manufacturer does not purchase from the green supplier.
3.2. The Model with Carbon Emission Limits
4. Numerical Analysis
4.1. The Numerical Analysis without Carbon Emission Limitsl
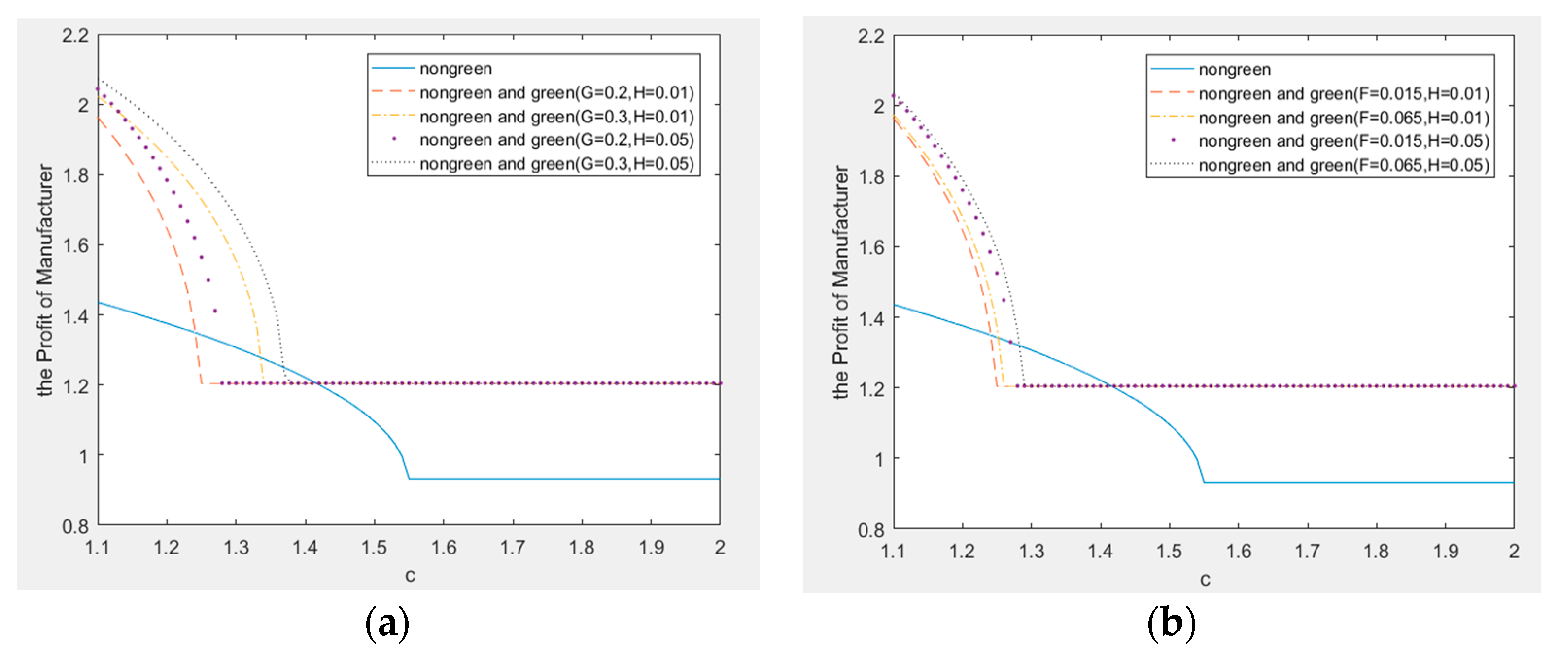
- There exists a critical point (1.153, 0.125) in the left image of Figure 4 where the total profit of the manufacturer and suppliers will not change due to the participation of the green supplier.
- (Non-green dominates) In region IV of Figure 4, only the non-green supplier can bring profits to the manufacturer; the green supplier brings negative profits.
- (Pareto zone) There exists a Pareto zone for the GCP (region II in Figure 4), such that both the green supplier and the manufacturer generate positive profits, which will increase with .
4.2. The Numerical Analysis with Carbon Emission Limits
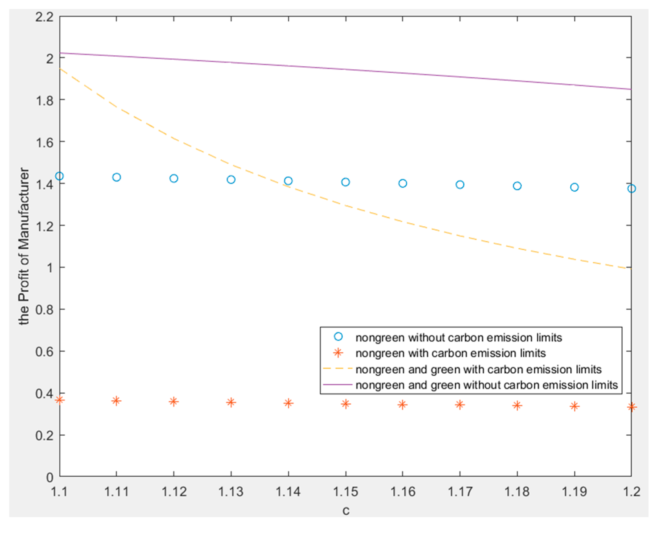
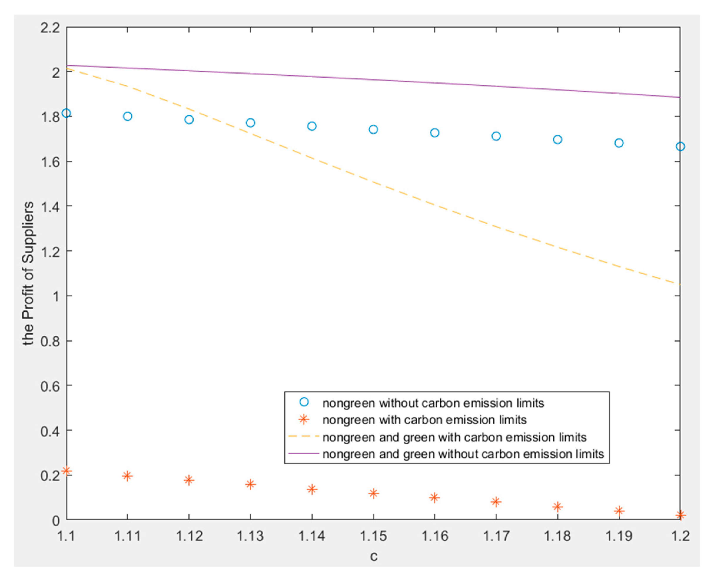
- There exists a critical point at which the total profit of the manufacturer and suppliers will not change due to the participation of the green supplier with carbon emission limits.
- (Non-green dominates) In region IV of Figure 7, only the non-green supplier without carbon emission limits can create revenue for the manufacturer; the green and non-green suppliers under the carbon emission restriction have no competition in the market.
- (Pareto zone) There exists a Pareto zone for the GCP (region II in Figure 7), such that both the green and non-green suppliers with carbon emission limits generate positive profits, which will increase with .
5. Conclusions
6. Further Research
Author Contributions
Funding
Institutional Review Board Statement
Informed Consent Statement
Data Availability Statement
Conflicts of Interest
Appendix A
- (1)
- If , then satisfies . When , are obtained, so the optimal solution is .
- (2)
- If , i.e., , then we need to examine whether is in the upper and lower bounds of .Case 1. If (or, equivalently, when ), then the boundary solution is the optimal solution. We can get accordingly.Case 2. If , equivalently, when , combining with , we conclude that there is no feasible solution for the manufacturer’s profit when .
- (1)
- When ,, .
- (2)
- When ,, .
References
- Chod, J.; Trichakis, N.; Tsoukalas, G.; Aspegren, H.; Weber, M. On the financing benefits of supply chain transparency and blockchain adoption. Manag. Sci. 2020, 66, 4378–4396. [Google Scholar] [CrossRef]
- Zhang, L.; An, Z. Research on Risk Management Strategy in Purchase-Order Financing Business of Bank. Econ. Bus. Manag. Res. 2016, 6, 385–390. [Google Scholar]
- Tang, C.; Yang, H.; Cao, E.; Lai, K.K. Channel competition and coordination of a dual-channel supply chain with demand and cost disruptions. Appl. Econ. 2018, 50, 4999–5016. [Google Scholar] [CrossRef]
- Wu, C.; Zhao, Q.; Xi, M. A retailer-supplier supply chain model with trade credit default risk in a supplier-Stackelberg game. Comput. Ind. Eng. 2017, 112, 568–575. [Google Scholar] [CrossRef]
- Forbes, L.C.; Jermier, J.M. The new corporate environmentalism and the ecology of commerce. Organ. Environ. 2010, 23, 465–481. [Google Scholar] [CrossRef]
- Alves Filho, S.E.; Burlamaqui, A.M.F.; Aroca, R.V.; Gonçalves, L.M.G.; de Lima Sa, S.T. Green Robotics: Concepts, challenges, and strategies. IEEE Lat. Am. Trans. 2018, 16, 1042–1050. [Google Scholar] [CrossRef]
- Yang, H.; Miao, L.; Zhao, C. The credit strategy of a green supply chain based on capital constraints. J. Clean. Prod. 2019, 224, 930–939. [Google Scholar] [CrossRef]
- Asif, M.S.; Lau, H.; Nakandala, D.; Fan, Y.; Hurriyet, H. Adoption of green supply chain management practices through collaboration approach in developing countries–From literature review to conceptual framework. J. Clean. Prod. 2020, 276, 124191. [Google Scholar] [CrossRef]
- Wu, T.; Kung, C.-C. Carbon emissions, technology upgradation and financing risk of the green supply chain competition. Technol. Forecast. Soc. Chang. 2020, 152, 1–7. [Google Scholar] [CrossRef]
- Kang, H.; Jung, S.-Y.; Lee, H. The impact of Green Credit Policy on manufacturers’ efforts to reduce suppliers’ pollution. J. Clean. Prod. 2020, 248, 119–271. [Google Scholar] [CrossRef]
- Green, K.W.; Zelbst, P.J.; Meacham, J.; Bhadauria, V.S. Green supply chain management practices: Impact on performance. Supply Chain Manag. Int. J. 2012, 17, 290–305. [Google Scholar] [CrossRef]
- Tseng, M.; Wu, K.; Hu, J.; Wang, C. Decision-making model for sustainable supply chain finance under uncertainties. Int. J. Prod. Econ. 2018, 205, 30–36. [Google Scholar] [CrossRef]
- Kouvelis, P.; Zhao, W. The newsvendor problem and price-only contract when bankruptcy costs exist. Prod. Oper. Manag. 2011, 20, 921–936. [Google Scholar] [CrossRef]
- Kouvelis, P.; Zhao, W. Financing the newsvendor: Supplier vs. bank, and the structure of optimal trade credit contracts. Oper. Res. 2012, 60, 566–580. [Google Scholar] [CrossRef]
- Yang, S.; Birge, J. How Inventory Is (Should Be) Financed: Trade Credit in Supply Chains with Demand Uncertainty and Costs of Financial Distress. SSRN. Available online: https://papers.ssrn.com/sol3/papers.cfm?abstract_id=1734682 (accessed on 15 February 2021).
- Tunca, T.I.; Zhu, W. Buyer intermediation in supplier finance. Manag. Sci. 2018, 64, 5631–5650. [Google Scholar] [CrossRef]
- Chen, X.; Lu, Q.; Cai, G. Buyer Financing in Pull Supply Chains: Zero-Interest Early Payment or In-House Factoring? Prod. Oper. Manag. 2020, 29, 2307–2325. [Google Scholar] [CrossRef]
- Chod, J.; Lyandres, E.; Yang, S. Trade credit and supplier competition. J. Financ. Econ. 2019, 131, 484–505. [Google Scholar] [CrossRef]
- Luo, Y.; Wei, Q.; Ling, Q.; Huo, B. Optimal decision in a green supply chain: Bank financing or supplier financing. J. Clean. Prod. 2020, 271, 122090. [Google Scholar] [CrossRef]
- Wang, W.; Zhen, Y.; Zhang, Q. Internal financing of the supply chain for capital-constrained suppliers-equity or debt? J. Manag. Sci. China 2020, 23, 89–101. [Google Scholar]
- Lu, Q.; Gu, J.; Huang, J. Supply chain finance with partial credit guarantee provided by a third-party or a supplier. Comput. Ind. Eng. 2019, 135, 440–455. [Google Scholar] [CrossRef]
- Tang, J.; Tang, Z.; Cowden, B.J. Exploring the relationship between entrepreneurial orientation, CEO dual values, and SME performance in state–owned vs. nonstate–owned enterprises in China. Entrep. Theory Pract. 2017, 41, 883–908. [Google Scholar] [CrossRef]
- Cao, Y.; Zhang, J.-H.; Ma, X.-Y. Optimal financing and production decisions for a supply chain with buyer-backed purchase order financing contract. IEEE Access 2019, 7, 119384–119392. [Google Scholar] [CrossRef]
- Huang, H.; Zhang, J.; Ren, X.; Zhou, X. Greenness and pricing decisions of cooperative supply chains considering altruistic preferences. Int. J. Environ. Res. Public Health 2019, 16, 51. [Google Scholar] [CrossRef] [PubMed]
- Chen, Y.; Zhang, J.; Yang, Y.; Li, X.; Kuo, Y.H. 3-Party Loan Contract Based Purchase-Order Financing. In Proceedings of the 2014 Seventh International Joint Conference on Computational Sciences and Optimization, Beijing, China, 4–6 July 2014; IEEE: Beijing, China, 2014; pp. 163–167. [Google Scholar]
- Tang, C.S.; Yang, S.A.; Wu, J. Sourcing from suppliers with financial constraints and performance risk. Manuf. Serv. Oper. Manag. 2018, 20, 70–84. [Google Scholar] [CrossRef]
- Liu, Z.L.; Anderson, T.D.; Cruz, J.M. Consumer environmental awareness and competition in two-stage supply chains. Eur. J. Oper. Res. 2012, 218, 602–613. [Google Scholar] [CrossRef]
- Large, R.O.; Thomsen, C.G. Drivers of green supply management performance: Evidence from Germany. J. Purch. Supply Manag. 2011, 17, 176–184. [Google Scholar] [CrossRef]
- Vanalle, R.M.; Ganga, G.M.D.; Godinho Filho, M.; Lucato, W.C. Green supply chain management: An investigation of pressures, practices, and performance within the Brazilian automotive supply chain. J. Clean. Prod. 2017, 151, 250–259. [Google Scholar] [CrossRef]
- Fang, Z. Firm’s optimal inventory decision under financial constraints: A multi-period model based on trade credit. Adv. Mater. Res. 2012, 482–484, 942–948. [Google Scholar] [CrossRef]
- Liu, J.; Zhou, Y.; Lu, B.; Zhao, J. The reduction mechanism of supply chain vulnerability based on supply chain disruption risk. Syst. Eng. Theory Pract. 2015, 35, 556–566. [Google Scholar]
- Shen, Y.; Su, Z.-W.; Malik, M.Y.; Umar, M.; Khan, Z.; Khan, M. Does green investment, financial development and natural resources rent limit carbon emissions? A provincial panel analysis of China. Sci. Total Environ. 2021, 755, 1–57. [Google Scholar] [CrossRef]
- An, S.; Li, B.; Song, D.; Chen, X. Green credit financing versus trade credit financing in a supply chain with carbon emission limits. Eur. J. Oper. Res. 2021, 292, 125–142. [Google Scholar] [CrossRef]
- Zhang, B.; Yang, Y.; Bi, J. Tracking the implementation of green credit policy in China: Top-down perspective and bottom-up reform. J. Environ. Manag. 2011, 92, 1321–1327. [Google Scholar] [CrossRef]
- Yin, W.; Zhu, Z.; Kirkulak-Uludag, B.; Zhu, Y. The determinants of green credit and its impact on the performance of Chinese banks. J. Clean. Prod. 2021, 286, 1–11. [Google Scholar] [CrossRef]
- Martin, A. The places they go when banks say no. New York Times, 30 January 2010. [Google Scholar]







| Notation | Description |
|---|---|
| Supplier’s fixed assets | |
| Supplier’s production cost | |
| Supplier’s delivery probability | |
| Supplier’s delivery probability under the carbon emission limits | |
| Supplier’s monitoring cost | |
| The contract price provided by manufacturer | |
| The price at which a manufacturer buys a product from another source | |
| The lending rate determined by the bank | |
| The lending rate determined by the bank under the carbon emission limits | |
| Deposit-reserve ratio | |
| The amount of bank deposits | |
| The discount rate | |
| The targeted required reverse ratio cut (RRR cut) granted to the bank by the central bank | |
| The amount of green re-loans obtained by the bank | |
| The targeted RRR cut coefficient | |
| The carbon emission cap required by the bank or the government | |
| Suppliers’ initial cap emissions per unit production | |
| The carbon emission reduction per unit cost |
Publisher’s Note: MDPI stays neutral with regard to jurisdictional claims in published maps and institutional affiliations. |
© 2021 by the authors. Licensee MDPI, Basel, Switzerland. This article is an open access article distributed under the terms and conditions of the Creative Commons Attribution (CC BY) license (https://creativecommons.org/licenses/by/4.0/).
Share and Cite
Deng, L.; Yang, L.; Li, W. Impact of Green Credit Financing and Carbon Emission Limits on the Supply Chain Based on POF. Sustainability 2021, 13, 5814. https://doi.org/10.3390/su13115814
Deng L, Yang L, Li W. Impact of Green Credit Financing and Carbon Emission Limits on the Supply Chain Based on POF. Sustainability. 2021; 13(11):5814. https://doi.org/10.3390/su13115814
Chicago/Turabian StyleDeng, Liurui, Lan Yang, and Wei Li. 2021. "Impact of Green Credit Financing and Carbon Emission Limits on the Supply Chain Based on POF" Sustainability 13, no. 11: 5814. https://doi.org/10.3390/su13115814
APA StyleDeng, L., Yang, L., & Li, W. (2021). Impact of Green Credit Financing and Carbon Emission Limits on the Supply Chain Based on POF. Sustainability, 13(11), 5814. https://doi.org/10.3390/su13115814

