Effects of Motor-Games-Based Concurrent Training Program on Body Composition Indicators of Chilean Adults with Down Syndrome
Abstract
1. Introduction
2. Materials and Methods
2.1. Design and Participants
2.2. Variables and Instruments
2.2.1. Concurrent Motor Games Program
2.2.2. Body Composition Indicators
2.3. Procedure
2.4. Statistical Analysis
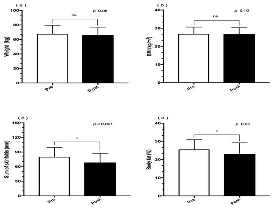
3. Results
4. Discussion
5. Conclusions
Author Contributions
Funding
Institutional Review Board Statement
Informed Consent Statement
Acknowledgments
Conflicts of Interest
References
- Nazer, J.; Cifuentes, L. Estudio epidemiológico global del síndrome de Down. Rev. Chil. Pediatr. 2011, 82, 105–112. [Google Scholar] [CrossRef]
- Nazer, J.; Antolini, M.; Juárez, M.E.; Cifuentes, L.; Hübner, M.E.; Pardo, R.A. Prevalencia al nacimiento de aberraciones cromosómicas en el Hospital Clínico de la Universidad de Chile. Período 1990–2001. Rev. Méd. Chile 2003, 131, 651–658. [Google Scholar] [CrossRef]
- Saucedo-Rodríguez, J.E.; Cruz Ortiz, M.; Pérez Rodríguez, M.; Vega Cordova, V. Envejecimiento de las personas con síndrome de Down: Un nuevo reto para la salud. Index. Enferm. 2017, 26, 166–169. [Google Scholar]
- Froehlich-Grobe, K.; Lollar, D. Obesity and disability: Time to act. Am. J. Prev. Med. 2011, 41, 541–545. [Google Scholar] [CrossRef] [PubMed]
- Murray, J.; Ryan-Krause, P. Obesity in children with Down Syndrome: Background and recommendations for management. Pediatric. Nurs. 2010, 36, 314–319. [Google Scholar]
- Havercamp, S.M.; Tassé, M.J.; Navas, P.; Benson, B.A.; Allain, D.; Manickam, K. Exploring the weight and health status of adults with Down syndrome. J. Educ. Train. Stud. 2017, 5, 97–108. [Google Scholar] [CrossRef]
- Fonseca, C.T.; Amaral, D.M.; Ribeiro, M.G.; Beserra, I.C.; Guimarães, M.M. Insulin resistance in adolescents with Down syndrome: A cross-sectional study. BMC Endocr. Disord. 2005, 5, 6. [Google Scholar] [CrossRef]
- Artioli, T. Understanding obesity in Down’s syndrome children. J. Obes. Metab. 2017, 1, 9–11. [Google Scholar]
- Mendonca, G.V.; Pereira, F.D.; Fernhall, B.O. Reduced exercise capacity in persons with Down syndrome: Cause, effect, and management. Ther. Clin. Risk. Manag. 2010, 6, 601. [Google Scholar] [CrossRef]
- Leveritt, M.; Abernethy, P.J.; Barry, B.K.; Logan, P.A. Concurrent strength and endurance training. Sports. Med. 1999, 28, 413–427. [Google Scholar] [CrossRef] [PubMed]
- Seron, B.B.; Modesto, E.L.; Stanganelli, L.C.; Carvalho, E.M.; Greguol, M. Effects of aerobic and resistance training on the cardiorespiratory fitness of young people with Down Syndrome. Revista Brasileira de Cineantropometria & Desempenho Humano 2017, 19, 385–394. [Google Scholar] [CrossRef]
- Mendonca, G.V.; Pereira, F.D.; Fernhall, B. Effects of combined aerobic and resistance exercise training in adults with and without Down syndrome. Arch. Phys. Med. Rehab. 2011, 92, 37–45. [Google Scholar] [CrossRef] [PubMed]
- González-Agüero, A.; Vicente-Rodríguez, G.; Gómez-Cabello, A.; Ara, I.; Moreno, L.A.; Casajús, J.A. A combined training intervention programme increases lean mass in youths with Down syndrome. Res. Dev. Disabil. 2011, 32, 2383–2388. [Google Scholar] [CrossRef] [PubMed]
- Ordonez, F.J.; Rosety, M.; Rosety-Rodriguez, M. Influence of 12-week exercise training on fat mass percentage in adolescents with Down syndrome. Med. Sci. Monit. 2006, 12, CR416–CR419. [Google Scholar] [PubMed]
- Seron, B.B.; Silva, R.A.; Greguol, M. Effects of two programs of exercise on body composition of adolescents with Down syndrome. Rev. Paul. Pediatr. 2014, 32, 92–98. [Google Scholar] [CrossRef]
- Angulo-Barroso, R.M.; Valentín-Gudiol, M. Commentary on “Physical Activity Levels of Children with Down Syndrome”. Pediatr. Phys. Ther. 2019, 31, 42. [Google Scholar] [CrossRef]
- Oreskovic, N.M.; Cottrell, C.; Torres, A.; Patsiogiannis, V.; Santoro, S.; Nichols, D.; Skotko, B.G. Physical activity patterns in adults with Down Syndrome. J. Appl. Res. Intellect. Disabil. 2020, 33, 1457–1464. [Google Scholar] [CrossRef]
- Aguilar-Farias, N.; Miranda-Marquez, S.; Martino-Fuentealba, P. 2018 Chilean Physical Activity Report Card for Children and Adolescents: Full Report and International Comparisons. J. Phys. Act. Health 2020, 1–9. [Google Scholar] [CrossRef]
- Valdivia-Moral, P.; Farias-Valenzuela, C.; Espoz-Lazo, S.; Zafra, M.S. La metodología del juego en el área de educación física. In Investigación Educativa e Inclusión: Retos Actuales en la Sociedad del Siglo XXI; Sola-Martinez, T., Lopez-Nuñez, J., Moreno-Guerrero, A., Sola-Reche, J., Pozo-Sanchez, S., Eds.; Editorial Dykinson S.L.: Madrid, Spain, 2020; pp. 193–203. [Google Scholar]
- Bartoll, Ó.C.; Gómez, J.G.; García, C.S. Actividad física y síndrome de down: El juego motriz como recurso metodológico. EmásF: Revista digital de educación física 2015, 33, 24–37. [Google Scholar]
- Farías-Valenzuela, C.; Cofré-Bolados, C.; Espoz-Lazo, S.; Valdivia-Moral, P. El juego motriz estructurado como estrategia de adherencia y estimulación cardiometabólica en ambientes escolares. In Innovación Docente e Investigación Educativa en la Sociedad del Conocimiento; Hinojo-Lucena, F., Trujillo-Torres, Sola-Reche, J., Alonso-Garcia, S., Eds.; Editorial Dykinson S.L.: Madrid, Spain, 2020; pp. 281–296. [Google Scholar]
- Maïano, C.; Hue, O.; Lepage, G.; Morin, A.J.S.; Tracey, D.; Moullec, G. Do Exercise Interventions Improve Balance for Children and Adolescents with Down Syndrome? A Systematic Review. Phys. Ther. 2019, 99, 507–518. [Google Scholar] [CrossRef] [PubMed]
- General Assembly of the World Medical Association. World Medical Association Declaration of Helsinki: Ethical principles for medical research involving human subjects. J. Am. Coll. Dent. 2014, 81, 14. [Google Scholar]
- Whitman, M.; Jenkins, C.; Sabapathy, S.; Adams, L. Rate Pressure Product Versus Age Predicted Maximum Heart Rate as Predictors Of Cardiovascular Events in Intermediate Risk Patients During Exercise Stress Echocardiography. Heart Lung. Circ. 2019, 28, S315. [Google Scholar] [CrossRef][Green Version]
- Sawka, M.N.; Burke, L.M.; Eichner, E.R.; Maughan, R.J.; Montain, S.J.; Stachenfeld, N.S. American College of Sports Medicine position stand. Exercise and fluid replacement. Med. Sci. Sports. Exerc. 2007, 39, 377–390. [Google Scholar] [CrossRef]
- Chen, C.C.; Ringenbach, S.D.; Snow, M.; Hunt, L.M. Validity of a pictorial Rate of Perceived Exertion Scale for monitoring exercise intensity in young adults with Down syndrome. Int. J. Dev. Disabil. 2013, 59, 1–10. [Google Scholar] [CrossRef]
- da Silva, V.S.; Vieira, M.F. International Society for the Advancement of Kinanthropometry (ISAK) Global: International accreditation scheme of the competent anthropometrist. Braz. J. Kinanthropometry Hum. Perform. 2020, 22, 70517. [Google Scholar] [CrossRef]
- Waninge, A.; Ligthart, K.A.; Kramer, J.M.; Hoeve, S.; van der Schans, C.P.; Haisma, H.H. Measuring waist circumference in disabled adults. Res. Dev. Disabil. 2010, 31, 839–847. [Google Scholar] [CrossRef]
- Real de Asua, D.; Parra, P.; Costa, R.; Moldenhauer, F.; Suarez, C. A cross-sectional study of the phenotypes of obesity and insulin resistance in adults with Down syndrome. Diabetes. Metab. 2014, 38, 464–471. [Google Scholar] [CrossRef] [PubMed]
- Durnin, J.V.; Womersley, J. Body fat assessed from total body density and its estimation from skinfold thickness: Measurements on 481 men and women from 16 to 72 years. Br. J. Nutr. 1974, 32, 77–97. [Google Scholar] [CrossRef]
- Frisancho, A.R. Anthropometric Standards. An. Interactive Nutritional Reference of Body Size and Body Composition for Children and Adults, 2nd ed.; University of Michigan Press: Ann Arbor, MI, USA, 2008. [Google Scholar]
- Rimmer, J.H.; Heller, T.; Wang, E.; Valerio, I. Improvements in physical fitness in adults with Down syndrome. Am. J. Ment. Retard. 2004, 109, 165–174. [Google Scholar] [CrossRef]
- Ulrich, D.A.; Burghardt, A.R.; Lloyd, M.; Tiernan, C.; Hornyak, J.E. Physical activity benefits of learning to ride a two-wheel bicycle for children with Down syndrome: A randomized trial. Phys. Ther. 2011, 91, 1463–1477. [Google Scholar] [CrossRef]
- Davis, J.N.; Tung, A.; Chak, S.S.; Ventura, E.E.; Byrd-Williams, C.E.; Alexander, K.E.; Lane, C.J.; Weigensberg, M.J.; Spruijt-Metz, D.; Goran, M.I. Aerobic and strength training reduces adiposity in overweight Latina adolescents. Med. Sci. Sports. Exerc. 2009, 41, 1494–1503. [Google Scholar] [CrossRef] [PubMed]
- Rosety-Rodriguez, M.; Camacho, A.; Rosety, I.; Fornieles, G.; Rosety, M.A.; Diaz, A.J.; Ordonez, F.J. Resistance circuit training reduced inflammatory cytokines in a cohort of male adults with Down syndrome. Med. Sci. Monit. 2013, 19, 949. [Google Scholar] [CrossRef] [PubMed]
- Pitchford, E.A.; Adkins, C.; Hasson, R.E.; Hornyak, J.E.; Ulrich, D.A. Association between physical activity and adiposity in adolescents with Down syndrome. Med. Sci. Sports. Exerc. 2018, 50, 667. [Google Scholar] [CrossRef] [PubMed]
- Brooks, G.C.; Blaha, M.J.; Blumenthal, R.S. Relation of C-reactive protein to abdominal adiposity. Am. J. Cardiol. 2010, 106, 56–61. [Google Scholar] [CrossRef] [PubMed]
- Jeukendrup, A.E.; Saris, W.H.; Wagenmakers, A.J. Fat metabolism during exercise: A review. Part I: Fatty acid mobilization and muscle metabolism. Int. J. Sports. Med. 1998, 19, 231–244. [Google Scholar] [CrossRef]
- Ritz, P.; Berrut, G. The importance of good hydration for day-to-day health. Nutr. Rev. 2005, 63 Pt 2, S6–S13. [Google Scholar] [CrossRef]
- Sailema, Á.; Sailema, M.; Guevara, A.; del Roció, P.; Navas Franco, L.E.; Amable, V.; Frómeta, E. Juegos tradicionales como estimulador motriz en niños con síndrome de Down. Rev. Cubana. Investig. Bioméd. 2017, 36, 1–11. [Google Scholar]
- Sollerhed, A.C.; Hedov, G. Active Parents-Active Children-A Study among Families with Children and Adolescents with Down Syndrome. Int. J. Environ. Res. Public Health 2021, 18, 660. [Google Scholar] [CrossRef]
- Cadore, E.L.; Izquierdo, M.; Pinto, S.S.; Alberton, C.L.; Pinto, R.S.; Baroni, B.M.; Bottaro, M. Neuromuscular adaptations to concurrent training in the elderly: Effects of intrasession exercise sequence. Age 2013, 35, 891–903. [Google Scholar] [CrossRef]
- Farias Valenzuela, C.; de Moraes Ferrari, G.; Espoz Lazo, S.; Jofré Saldía, E.; Ferrero Hernández, P.; Valdivia-Moral, P. Escuelas especiales de Chile: ¿Responsables del desarrollo de la condición física-funcional para la inclusión laboral de personas con discapacidad intelectual? J. Mov. Health 2021, 18. [Google Scholar] [CrossRef]






| Variables | Pre (n = 15) | Post (n = 15) | p Value |
|---|---|---|---|
| Height (m) | 1.58 ± 0.07 | 1.58 ± 0.12 | 0.51 |
| Weight (kg) | 67.17 ± 12.13 | 66.23 ± 11.11 | 0.06 |
| Body mass index (kg/m2) | 26.74 ± 3.88 | 26.58 ± 3.79 | 0.10 |
| Σ Skinfolds (mm) | 96.60 ± 32.52 | 89.87 ± 39.77 | <0.001 * |
| Body Fat (%) | 25.36 ± 5.60 | 23.01 ± 6.20 | 0.05 * |
| Bicipital Skinfold (mm) | 12.73± 3.24 | 9.60± 3.25 | <0.001 * |
| Tricipital Skinfold (mm) | 19.20 ± 5.77 | 15.57 ± 5.30 | <0.001 * |
| Subscapular Skinfold (mm) | 25.57 ± 7.88 | 24.37 ± 8,01 | 0.18 |
| Suprailiac Skinfold (mm) | 21.60 ± 10.21 | 18.33 ± 10.22 | 0.01 * |
| Waist Circumference (cm) | 86.00 ± 8.97 | 82.07 ± 8.38 | <0.001 * |
| Waist-Height Ratio | 0.54 ± 0.05 | 0.52 ± 0.05 | <0.001 * |
| Brachial Perimeter (cm) | 28.33 ± 2.91 | 28.50 ± 2.87 | 0.58 |
| Muscular Brachial Perimeter (cm) | 22.30 ± 2.80 | 23.61 ± 2.28 | <0.001 * |
| Muscular Brachial Area (cm2) | 40.19 ± 10.09 | 44.77 ± 8.48 | <0.001 * |
Publisher’s Note: MDPI stays neutral with regard to jurisdictional claims in published maps and institutional affiliations. |
© 2021 by the authors. Licensee MDPI, Basel, Switzerland. This article is an open access article distributed under the terms and conditions of the Creative Commons Attribution (CC BY) license (https://creativecommons.org/licenses/by/4.0/).
Share and Cite
Farías-Valenzuela, C.; Cofré-Bolados, C.; Ferrari, G.; Espoz-Lazo, S.; Arenas-Sánchez, G.; Álvarez-Arangua, S.; Espinoza-Salinas, A.; Valdivia-Moral, P. Effects of Motor-Games-Based Concurrent Training Program on Body Composition Indicators of Chilean Adults with Down Syndrome. Sustainability 2021, 13, 5737. https://doi.org/10.3390/su13105737
Farías-Valenzuela C, Cofré-Bolados C, Ferrari G, Espoz-Lazo S, Arenas-Sánchez G, Álvarez-Arangua S, Espinoza-Salinas A, Valdivia-Moral P. Effects of Motor-Games-Based Concurrent Training Program on Body Composition Indicators of Chilean Adults with Down Syndrome. Sustainability. 2021; 13(10):5737. https://doi.org/10.3390/su13105737
Chicago/Turabian StyleFarías-Valenzuela, Claudio, Cristian Cofré-Bolados, Gerson Ferrari, Sebastián Espoz-Lazo, Giovanny Arenas-Sánchez, Sebastián Álvarez-Arangua, Alexis Espinoza-Salinas, and Pedro Valdivia-Moral. 2021. "Effects of Motor-Games-Based Concurrent Training Program on Body Composition Indicators of Chilean Adults with Down Syndrome" Sustainability 13, no. 10: 5737. https://doi.org/10.3390/su13105737
APA StyleFarías-Valenzuela, C., Cofré-Bolados, C., Ferrari, G., Espoz-Lazo, S., Arenas-Sánchez, G., Álvarez-Arangua, S., Espinoza-Salinas, A., & Valdivia-Moral, P. (2021). Effects of Motor-Games-Based Concurrent Training Program on Body Composition Indicators of Chilean Adults with Down Syndrome. Sustainability, 13(10), 5737. https://doi.org/10.3390/su13105737

