Characteristics of Cadmium and Lead Accumulation and Transfer by Chenopodium Quinoa Will
Abstract
1. Introduction
2. Materials and Methods
2.1. Experimental Design
2.2. Chemical Analysis
2.3. Bioaccumulation Factor (BAF) and Translocation Factor (TF) Analysis
2.4. Statistical Analysis
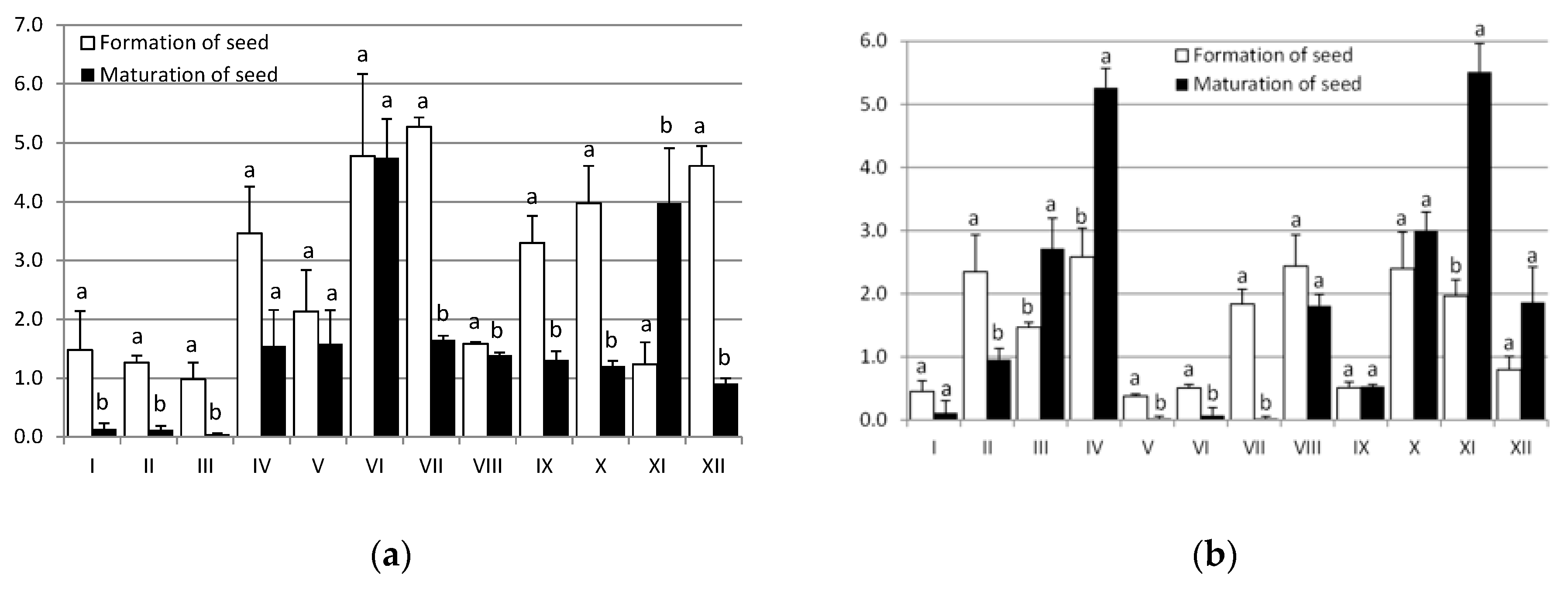
3. Results
3.1. Transfer of PTEs from Water-to-Plant
3.2. Interaction between Treatments and PTEs
3.3. Bioaccumulation Factor
4. Discussion
5. Conclusions
Author Contributions
Funding
Acknowledgments
Conflicts of Interest
References
- Pourret, O.; Hursthouse, A. It’s time to replace the term “heavy metals” with “potentially toxic elements” when reporting environmental research. Int. J. Environ. Res. Public Health 2019, 16, 4446. [Google Scholar] [CrossRef] [PubMed]
- Bolan, N.; Kunhikrishnan, A.; Thangarajan, R.; Kumpiene, J.; Park, J.; Makino, T.; Kirkham, M.B.; Scheckel, K. Remediation of heavy metal (loid) s contaminated soils–to mobilize or to immobilize? J. Hazard. Mater. 2014, 266, 141–166. [Google Scholar] [CrossRef] [PubMed]
- Gall, J.E.; Boyd, R.S.; Rajakaruna, N. Transfer of heavy metals through terrestrial food webs: A review. Environ. Monit. Assess. 2015, 187, 201–212. [Google Scholar] [CrossRef] [PubMed]
- Kan, Q.; Wu, W.; Yu, W.; Zhang, J.; Xu, J.; Rengel, Z.; Chen, L.; Cui, X.; Chen, Q. Nitrate reductase-mediated NO production enhances Cd accumulation in Panax notoginseng roots by affecting root cell wall properties. J. Plant Physiol. 2016, 193, 64–70. [Google Scholar] [CrossRef]
- Ferreira, R.R.; Fornazier, R.F.; Vitória, A.P.; Lea, P.J.; Azevedo, R.A. Changes in antioxidant enzyme activities in soybean under cadmium stress. J. Plant Nutr. 2002, 25, 327–342. [Google Scholar] [CrossRef]
- Lavado, R.S.; Rodríguez, M.; Alvarez, R.; Taboada, M.A.; Zubillaga, M.S. Transfer of potentially toxic elements from biosolid-treated soils to maize and wheat crops. Agric. Ecosyst. Environ. 2007, 118, 312–318. [Google Scholar] [CrossRef]
- He, J.; Ji, Z.X.; Wang, Q.Z.; Liu, C.F.; Zhou, Y.B. Effect of Cu and Pb pollution on the growth and antionxidant enzyme activity of Suaeda heteroptera. Ecol. Eng. 2016, 87, 102–109. [Google Scholar] [CrossRef]
- Patra, M.; Bhowmik, N.; Bandopadhyay, B.; Sharma, A. Comparison of mercury, lead and arsenic with respect to genotoxic effects on plant systems and the development of genetic tolerance. Environ. Exp. Bot. 2004, 52, 199–223. [Google Scholar] [CrossRef]
- Moreno-Jiménez, E.; Fernández, J.M.; Puschenreiter, M.; Williams, P.N.; Plaza, C. Availability and transfer to grain of As, Cd, Cu, Ni, Pb and Zn in a barley agri-system: Impact of biochar, organic and mineral fertilizers. Agric. Ecosyst. Environ. 2016, 219, 171–178. [Google Scholar] [CrossRef]
- Ding, C.; Zhang, T.; Wang, X.; Zhou, F.; Yang, Y.; Yin, Y. Effects of soil type and genotype on lead concentration in rootstalk vegetables and the selection of cultivars for food safety. J. Environ. Manag. 2013, 122, 8–14. [Google Scholar] [CrossRef]
- Lambert, N.; Yarwood, J.N. Engineering legume seed storage proteins. In Plant Protein Engineering; Cambridge University Press: Cambridge, UK, 1992; pp. 167–187. [Google Scholar]
- Nsimba, R.Y.; Kikuzaki, H.; Konishi, Y. Antioxidant activity of various extracts and fractions of Chenopodium quinoa and Amaranthus spp. seeds. Food Chem. 2008, 106, 760–766. [Google Scholar] [CrossRef]
- Bazile, D.; Bertero, D.; Nieto, C. (Eds.) State of the Art Report of Quinoa in the World in 2013; FAO & CIRAD: Rome, Italy, 2015. [Google Scholar]
- Bedoya-Perales, N.S.; Pumi, G.; Mujica, A.; Talamini, E.; Padula, A.D. Quinoa expansion in peru and its implications for land use management. Sustainability 2018, 10, 532. [Google Scholar] [CrossRef]
- Gorinstein, S.; Pawelzik, E.; Delgado-Licon, E.; Haruenkit, R.; Weisz, M.; Trakhtenberg, S. Characterisation of pseudocereal and cereal proteins by protein and amino acid analyses. J. Sci. Food Agric. 2002, 82, 886–891. [Google Scholar] [CrossRef]
- Mota, C.; Santos, M.; Mauro, R.; Samman, N.; Matos, A.S.; Torres, D.; Castanheira, I. Protein content and amino acids profile of pseudocereals. Food Chem. 2016, 193, 55–61. [Google Scholar] [CrossRef] [PubMed]
- Alvarez-Jubete, L.; Arendt, E.K.; Gallagher, E. Nutritive value of pseudocereals and their increasing use as functional gluten-free ingredients. Trends Food Sci. Technol. 2010, 21, 106–113. [Google Scholar] [CrossRef]
- Nascimento, A.C.; Mota, C.; Coelho, I.; Gueifão, S.; Santos, M.; Matos, A.S.; Gimenez, A.; Lobo, M.; Samman, N.; Castanheira, I. Characterisation of nutrient profile of quinoa (Chenopodium quinoa), amaranth (Amaranthus caudatus), and purple corn (Zea mays L.) consumed in the North of Argentina: Proximates, minerals and trace elements. Food Chem. 2014, 148, 420–426. [Google Scholar] [CrossRef]
- Bhargava, A.; Shukla, S.; Ohri, D. Chenopodium quinoa—An Indian perspective. Ind. Crops Prod. 2006, 23, 73–87. [Google Scholar] [CrossRef]
- Varisi, V.A.; Camargos, L.S.; Aguiar, L.F.; Christofoleti, R.M.; Medici, L.O.; Azevedo, R.A. Lysine biosynthesis and nitrogen metabolism in quinoa (Chenopodium quinoa): Study of enzymes and nitrogen-containing compounds. Plant Physiol. Biochem. 2008, 46, 11–18. [Google Scholar] [CrossRef]
- Galal, T.M.; Shehata, H.S. Bioaccumulation and translocation of heavy metals by Plantago major L. grown in contaminated soils under the effect of traffic pollution. Ecol. Indic. 2015, 48, 244–251. [Google Scholar] [CrossRef]
- Bose, S.; Bhattacharyya, A.K. Heavy metal accumulation in wheat plant grown in soil amended with industrial sludge. Chemosphere 2008, 70, 1264–1272. [Google Scholar] [CrossRef]
- Boussen, S.; Soubrand, M.; Bril, H.; Ouerfelli, K.; Abdeljaouad, S. Transfer of lead, zinc and cadmium from mine tailings to wheat (Triticum aestivum) in carbonated Mediterranean (Northern Tunisia) soils. Geoderma 2013, 192, 227–236. [Google Scholar] [CrossRef]
- Liu, X.; Song, Q.; Tang, Y.; Li, W.; Xu, J.; Wu, J.; Wang, F.; Brookes, P.C. Human health risk assessment of heavy metals in soil–vegetable system: A multi-medium analysis. Sci. Total Environ. 2013, 463, 530–540. [Google Scholar] [CrossRef] [PubMed]
- Nsanganwimana, F.; Pourrut, B.; Mench, M.; Douay, F. Suitability of Miscanthus species for managing inorganic and organic contaminated land and restoring ecosystem services. A review. J. Environ. Manag. 2014, 143, 123–134. [Google Scholar] [CrossRef] [PubMed]
- Pidlisnyuk, V.; Stefanovska, T.; Lewis, E.E.; Erickson, L.E.; Davis, L.C. Miscanthus as a productive biofuel crop for phytoremediation. Crit. Rev. Plant Sci. 2014, 33, 1–19. [Google Scholar] [CrossRef]
- Zhou, H.; Zeng, M.; Zhou, X.; Liao, B.H.; Peng, P.Q.; Hu, M.; Zhu, W.; Wu, Y.J.; Zou, Z.J. Heavy metal translocation and accumulation in iron plaques and plant tissues for 32 hybrid rice (Oryza sativa L.) cultivars. Plant Soil 2015, 386, 317–329. [Google Scholar] [CrossRef]
- Laporte, M.A.; Sterckeman, T.; Dauguet, S.; Denaix, L.; Nguyen, C. Variability in cadmium and zinc shoot concentration in 14 cultivars of sunflower (Helianthus annuus L.) as related to metal uptake and partitioning. Environ. Exp. Bot. 2015, 109, 45–53. [Google Scholar] [CrossRef]
- Pietrini, F.; Iori, V.; Bianconi, D.; Mughini, G.; Massacci, A.; Zacchini, M. Assessment of physiological and biochemical responses, metal tolerance and accumulation in two eucalypt hybrid clones for phytoremediation of cadmium-contaminated waters. J. Environ. Manag. 2015, 162, 221–231. [Google Scholar] [CrossRef]
- Meng, W.; Wang, Z.; Hu, B.; Wang, Z.; Li, H.; Goodman, R.C. Heavy metals in soil and plants after long-term sewage irrigation at Tianjin China: A case study assessment. Agric. Water Manag. 2016, 171, 153–161. [Google Scholar] [CrossRef]
- Environmental Protection Agency. Epa Method 3050b—Acid Digestion of Sediments, Sludges, and Soils; Environmental Protection Agency: Washington, DC, USA, 1996. [Google Scholar]
- Association of Official Analytical Chemists, Inc. Official Methods of Analysis of Association of Official Analytical Chemists, 15th ed.; Association of Official Analytical Chemists, Inc.: Arlington, VA, USA, 1990. [Google Scholar]
- International Organization for Standardization. ISO 14870:2005—Soil Quality—Extraction with a DTPA Buffer Solution; International Organization for Standardization: Geneva, Switzerland, 2005. [Google Scholar]
- International Organization for Standardization. ISO 22036:2008—Soil Quality—Determination of Trace Elements in Extracts of Soil by Inductively Coupled Plasma—Atomic Emission Spectrometry (ICP—AES); International Organization for Standardization: Geneva, Switzerland, 2008. [Google Scholar]
- Boim, A.G.F.; Melo, L.C.A.; Moreno, F.N.; Alleoni, L.R.F. Bioconcentration factors and the risk concentrations of potentially toxic elements in garden soils. J. Environ. Manag. 2016, 170, 21–27. [Google Scholar] [CrossRef]
- Sydow, M.; Chrzanowski, Ł.; Cedergreen, N.; Owsianiak, M. Limitations of experiments performed in artificially made OECD standard soils for predicting cadmium, lead and zinc toxicity towards organisms living in natural soils. J. Environ. Manag. 2017, 198, 32–40. [Google Scholar] [CrossRef]
- Arena, C.; Santorufo, L.; Cataletto, P.R.; Memoli, V.; Scudiero, R.; Maisto, G. Eco-physiological and Antioxidant Responses of Holm Oak (Quercus ilex L.) Leaves to Cd and Pb. Water Air Soil Pollut. 2017, 228, 459. [Google Scholar] [CrossRef]
- Liu, W.; Zhou, Q.; Zhang, Y.; Wei, S. Lead accumulation in different Chinese cabbage cultivars and screening for pollution-safe cultivars. J. Environ. Manag. 2010, 91, 781–788. [Google Scholar] [CrossRef] [PubMed]
- Chen, H.; Yuan, X.; Li, T.; Hu, S.; Ji, J.; Wang, C. Characteristics of heavy metal transfer and their influencing factors in different soil–crop systems of the industrialization region, China. Ecotoxicol. Environ. Saf. 2016, 126, 193–201. [Google Scholar] [CrossRef] [PubMed]
- Adamo, P.; Iavazzo, P.; Albanese, S.; Agrelli, D.; De Vivo, B.; Lima, A. Bioavailability and soil-to-plant transfer factors as indicators of potentially toxic element contamination in agricultural soils. Sci. Total Environ. 2014, 500, 11–22. [Google Scholar] [CrossRef] [PubMed]
- Cai, K.; Li, C.; Song, Z.; Gao, X.; Wu, M. Pollution and health risk assessment of carcinogenic elements As, Cd, and Cr in multiple media—A case of a sustainable farming area in China. Sustainability 2019, 11, 5208. [Google Scholar] [CrossRef]
- Zhang, A.; Cortes, V.; Phelps, B.; Ryswyk, H.V.; Srebotnjak, T. Experimental Analysis of soil and mandarin orange plants treated with heavy metals found in oilfield-produced wastewater. Sustainability 2018, 10, 1493. [Google Scholar] [CrossRef]
- Memoli, V.; Esposito, F.; Marco, A.D.; Arena, C.; Vitale, L.; Tedeshi, A.; Magliulo, V.; Maisto, G. Metal compartmentalization in different biomass portions of Helianthus annuus L. and Sorghum bicolor L. grown in an agricultural field inside an urban fabric. Appl. Soil Ecol. 2017, 121, 118–126. [Google Scholar] [CrossRef]
- Gao, J.; Zhang, Y.; Lu, C.; Peng, H.; Luo, M.; Li, G.; Shen, Y.; Ding, H.; Zhang, Z.; Pan, G.; et al. The development dynamics of the maize root transcriptome responsive to heavy metal Pb pollution. Biochem. Biophys. Res. Commun. 2015, 458, 287–293. [Google Scholar] [CrossRef]
- Puga, A.P.; Abreu, C.A.; Melo, L.C.A.; Beesley, L. Biochar application to a contaminated soil reduces the availability and plant uptake of zinc, lead and cadmium. J. Environ. Manag. 2015, 159, 86–93. [Google Scholar] [CrossRef]
- Antoniadis, V.; Shaheen, S.M.; Boersch, J.; Frohne, T.; Du Laing, G.; Rinklebe, J. Bioavailability and risk assessment of potentially toxic elements in garden edible vegetables and soils around a highly contaminated former mining area in Germany. J. Environ. Manag. 2017, 186, 192–200. [Google Scholar] [CrossRef]
- Li, X.; Zhou, Q.; Wei, S.; Ren, W. Identification of cadmium-excluding welsh onion (Allium fistulosum L.) cultivars and their mechanisms of low cadmium accumulation. Environ. Sci. Pollut. Res. 2012, 19, 1773–1780. [Google Scholar] [CrossRef] [PubMed]
- Buscaroli, A.; Zannoni, D.; Menichetti, M.; Dinelli, E. Assessment of metal accumulation capacity of Dittrichia viscosa (L.) Greuter in two different Italian mine areas for contaminated soils remediation. J. Geochem. Explor. 2016, 182, 123–131. [Google Scholar] [CrossRef]




| Treatment Number | Treatment Applied |
|---|---|
| I | tap water |
| II | 5 mg/kg Pb |
| III | 50 mg/kg Pb |
| IV | 100 mg/kg Pb |
| V | 5 mg/kg Cd |
| VI | 50 mg/kg Cd |
| VII | 100 mg/kg Cd |
| VIII | 5 mg/kg Pb and Cd |
| IX | 50 mg/kg Pb and Cd |
| X | 100 mg/kg Pb and Cd |
| XI | 100 mg/kg Pb and 5 mg/kg Cd |
| XII | 5 mg/kg Pb and 100 mg/kg Cd |
| Treatment | Cd | Pb |
|---|---|---|
| I | 0.2051 ± 0.1179 a | 0.1240 ± 0.0131 a |
| II | 1.0162 ± 0.1198 a | 0.2062 ± 0.0389 b |
| III | 0.1133 ± 0.0058 a | 0.1600 ± 0.0177 a |
| IV | 1.2690 ± 1.0203 a | 0.3325 ± 0.0427 a |
| V | 0.1194 ± 0.0206 a | 0.0796 ± 0.0021 a |
| VI | 0.2907 ± 0.0141 a | 0.1082 ± 0.0041 b |
| VII | 0.3375 ± 0.0099 a | 0.0838 ± 0.0258 b |
| VIII | 0.1746 ± 0.0707 a | 0.1889 ± 0.0567 a |
| IX | 0.4009 ± 0.0150 a | 0.0857 ± 0.0148 b |
| X | 0.3055 ± 0.0105 a | 0.3533 ± 0.0523 a |
| XI | 0.1047 ± 0.0013 a | 0.2411 ± 0.0229 a |
| XII | 0.3056 ± 0.0311 a | 0.0929 ± 0.0121 b |
| Treatment | Cd | Pb |
|---|---|---|
| I | 0.1382 ± 0.0424 a | 0.0517 ± 0.0896 a |
| II | 0.0870 ± 0.0485 a | 0.0899 ± 0.0104 a |
| III | 0.0100 ± 0.0072 a | 0.2537 ± 0.0227 b |
| IV | 0.1473 ± 0.0294 a | 0.5995 ± 0.0612 b |
| V | 0.2965 ± 0.0388 a | 0.0045 ± 0.0078 b |
| VI | 0.5905 ± 0.0343 a | 0.0179 ± 0.0309 b |
| VII | 0.5124 ± 0.0351 a | 0.0085 ± 0.0148 b |
| VIII | 0.4628 ± 0.0952 a | 0.1208 ± 0.0039 b |
| IX | 0.6310 ± 0.0160 a | 0.0819 ± 0.0030 b |
| X | 0.4245 ± 0.0288 a | 0.4006 ± 0.0345 a |
| XI | 0.7787 ± 0.1341 a | 0.8867 ± 0.0379 a |
| XII | 0.3671 ± 0.0804 a | 0.2317 ± 0.0313 a |
© 2020 by the authors. Licensee MDPI, Basel, Switzerland. This article is an open access article distributed under the terms and conditions of the Creative Commons Attribution (CC BY) license (http://creativecommons.org/licenses/by/4.0/).
Share and Cite
Radovanovic, V.; Djekic, I.; Zarkovic, B. Characteristics of Cadmium and Lead Accumulation and Transfer by Chenopodium Quinoa Will. Sustainability 2020, 12, 3789. https://doi.org/10.3390/su12093789
Radovanovic V, Djekic I, Zarkovic B. Characteristics of Cadmium and Lead Accumulation and Transfer by Chenopodium Quinoa Will. Sustainability. 2020; 12(9):3789. https://doi.org/10.3390/su12093789
Chicago/Turabian StyleRadovanovic, Vesna, Ilija Djekic, and Branka Zarkovic. 2020. "Characteristics of Cadmium and Lead Accumulation and Transfer by Chenopodium Quinoa Will" Sustainability 12, no. 9: 3789. https://doi.org/10.3390/su12093789
APA StyleRadovanovic, V., Djekic, I., & Zarkovic, B. (2020). Characteristics of Cadmium and Lead Accumulation and Transfer by Chenopodium Quinoa Will. Sustainability, 12(9), 3789. https://doi.org/10.3390/su12093789

