Abstract
During land expropriation, it is difficult to form a real antagonistic relationship between farmers and the local Government due to disparities, which means the confrontations between them are difficult to administer. The confrontation between both parties could lead to the distortion of the farmers’ resisting logic, who are supposed to be in a vulnerable position. Hence, the farmers are not necessarily in a weak position; sometimes, they even have advantages compared with the local governments. Through the combination of Quiggin’s rank-based expected utility theory and evolutionary game theory, this paper constructs a conflict-induced game mechanism Rank-Dependent Expected Utility Theory (RDEU) evolutionary game model and discusses the evolution law of strategic behavior of land-expropriated farmers and local governments under the influence of emotion. The software simulation results show that when the farmers at the weak side think that the probability of the government adopting the strong strategy is higher than a certain cut-off point, the farmers will use the weapon of the weak to release the signal that endangers the order and force the government to adopt a compromise strategy by utilizing authoritative preference for stability. Through the interaction of heterogeneous beliefs between farmers and the government, the game of land expropriation will form an evolutionary stable equilibrium.
1. Introduction
With the rapid development of industrialization and urbanization in China, the conversion of agricultural land into non-agricultural use is commonly happening [1]. This kind of urbanization in China is described as the process of “eating” farmland in response to the growing demand of residents and private enterprises [2]. In developing countries, rapid urbanization has significantly affected social and economic systems in both urban and rural areas [3,4]. The patterns of rural natural resource use have changed with the expansion of cities, leading to further social, cultural, and economic changes that have in turn caused resentment among many peri-urban residents towards urban authorities [5]. Economic development has resulted in a high level of labour migration from rural to urban areas, with urban land expansion and farming land loss as the most significant land-use changes, accompanied by environmental degradation and land conflict [6]. During China’s urbanisation, farmers have migrated from the agricultural sector to the non-agricultural sector and agricultural land has been put to non-agricultural uses, mainly through land acquisition by the state [7]. In addition, this kind of land expropriation with public interest is often strongly opposed by farmers and leads to sharp social contradictions [8]. It is also regarded by Upreti (2004) as farmers’ struggle to change the unequal social relations of land [9]. The struggle between land expropriation and land-lost farmers has caused a series of social and economic problems in China, such as the fairness of land expropriation compensation, the conflict of farmland expropriation, and the sustainable livelihood of land-lost farmers [10,11,12,13]. Land expropriation has become a key issue affecting the stability of China’s rural areas [14]. However, in these fierce conflicts of land expropriation, we can see that the logic of farmers is to use their own weak identity to fight against state institutions, hoping to meet their own political rights and win social sympathy and support at the same time [15].
So, what is the significance of farmers’ weak identity as a weapon in the game induced by the conflict of land expropriation? And how does it affect the game equilibrium induced by the conflict? These are problems worth studying.
The weapon of the weak is defined as the kind of people who are in a relatively inferior position in psychology, physiology, ability, opportunity, and situation compared with other people in society. When their rights and interests are infringed, using their own symbols of the weak to fight for rights to get the attention of the media or the sympathy and support of social organizations is a way to solve the problem. “Conflict” is a broad term that covers everything from non-violent tensions, struggles, disputes, and litigation to violence. Conflict is also defined as a dispute or incompatibility caused by the opposition of actual or envisaged needs, values, and interests. The conflict may be characterized by manipulation, provocation, or public opposition. Therefore, land conflict can be understood as the abuse, restriction, or dispute of land property rights [16,17,18]. In solving land conflicts, the survival ethics of farmers at the weak side are not only an established form of peasant economics, but also have a normative and moral dimension [19]. Now, in more and more group incidents of land expropriation, farmers show their sense of political participation and improve their bargaining power in this way [20]. In the process of expropriation, due to the great disparity in the power of farmers and local governments and opposite interests, peasant groups at the weak side use various forms of “weapon of the weak” to resist in the process of expropriation in order to avoid direct and symbolic confrontation with the norms formulated by the government, “including fights, petitions, car stops, demonstrations, sit-ins, hunger strikes, self-abuse, self-immolation” and so on [21]. Farmers use the local government’s preference for the stability of social order, forcing the government to adopt a compromise strategy [22]. Scott believes that open and organized political action is too extravagant for most of the lower classes [23]. Therefore, he believes that it is more important to understand the reasons for farmers’ resistance, so as to avoid confronting authority directly and symbolically. The consequences of land conflicts have a negative impact on individual families and the national economy, they affect different groups in different ways, and the impact on the lives of vulnerable groups is greater than that of other normal people [24]. Vulnerable groups are relatively disadvantaged to other social people in psychology, physiology, ability, opportunities, and circumstances. The rights and interests of the weak are often infringed, so they need to be protected [25]. The study of the struggle of farmers can reflect the mechanism of the struggle for the rights of the weak in society. Therefore, in-depth analysis of the behavior laws of various stakeholders and revealing the internal mechanism of conflicts caused by the weak parties in the disputes of agricultural land expropriation in China has become an important issue to be studied urgently.
2. RDEU Theory
Extant studies show that the academic community has carried out in-depth research on the conflicts caused by disputes over agricultural land expropriation from different perspectives. It mainly focuses on the analysis of the behavior characteristics of the participants in the farmland conflict from the perspective of evolutionary game. Evolutionary game theory was originally proposed by Smith [26]. After that, its use gradually widened in the research of group events, ecological compensation, environmental pollution, energy saving and emission reduction, and other different fields [27,28,29,30]. Kaveh identifies and explains the behavior of stakeholders in different periods of conflict through evolutionary game paths [31]. Cheng Yulong and others discussed the game of interests between local governments and land-lost farmers from the perspective of evolutionary game theory. It also puts forward some constructive suggestions, such as reforming the compensation system of land expropriation, increasing the legal aid to the land-lost farmers, and determining the reasonable increment of compensation for land expropriation [32]. Although the evolutionary game can explain human decision-making behavior from the perspective of bounded rationality, bounded rationality has the phenomenon of infinite generalization of rationality, but the degree of rationality is different. It is difficult to describe the irrational behavior under the influence of objective emotion. Regarding the main participants in the compensation game of agricultural land expropriation, local governments and farmers, their behavior is bound to be affected by emotion and their emotions will also affect or spread to others. In the process of the continuous evolution of the game between the interests of local governments and land-lost farmers, farmers’ dissatisfaction with the low standard of compensation, worries about the source of livelihood after land expropriation, and understanding of the government’s public interest land expropriation behavior will be expressed in the specific behavior and strategy choices. The government’s disregard for farmers’ rights, extreme desire for money and political achievements, and sympathy for farmers’ weak position will also be integrated into the adjustment of their own behavior strategies. In short, the role of participants’ emotions in inducing, intensifying, or alleviating the contradiction of land expropriation cannot be ignored. On the other hand, Rank-Dependent Expected Utility Theory (RDEU) happens to be a utility theory which takes into account the emotional parameters of the participants. It introduces nonlinear function to define decision weight by combining (inverse) cumulative probability rather than simple probability. This kind of nonlinear decision weight can describe the emotional attitude and degree of decision makers under the condition of uncertainty. After the theoretical model Free Quiggin was first published as “Predictive Utility Model”, it has been further verified, improved, and applied by Karni and Schmeidler, Levy, Wakker, Hong Kai rong, and Xiong Guo qiang [33,34,35,36,37,38,39].
The root of the limitation of game theory is that it is based on the expected utility theory (EU) established by Von Neumann and Morgenstern. Many scholars have found defects in the axiom system of EU theory. Through counterexamples or experiments, they have found a large volume of evidence of violating the axiom of independence, such as Allais paradox, Ellsberg paradox, and so on. With the questioning of EU theory, some new theories have gradually emerged. Among them, the hierarchical dependent expected utility theory (Rank-Dependent Expected Utility Theory, referred to as RDEU) put forward by Quiggin has been supported by a large number of experiments, empirical studies, and many scholars after more than 30 years of theoretical demonstration and practical application. It has been proven to be a successful decision theory which can overcome the limitations of EU. At present, there are few achievements in the research and application of game model based on RDEU theory—in particular, research on group conflict on this basis is rare. This paper changes the traditional model of the establishing game model to study the conflict evolution law of agricultural land expropriation under the framework of EU theory (Expected Utility Theory) and evolves the strategic decision-making of both the local government and the farmers of the weak side under the influence of different emotions under the framework of the new decision-making theory-RDEU. First of all, based on the practical significance of the influence of emotion on the conflict of agricultural land expropriation, the emotional function reflecting the psychological activities of participants is introduced into the game structure of agricultural land expropriation conflict and the RDEU game model of conflict behavior mechanism of agricultural land expropriation is established. Then, the model is used to analyze the strategic balance between local governments and farmers under different emotional states. Finally, taking the conflict events caused by land expropriation and demolition in reality as an example, this paper uses software to simulate and analyze the behavior characteristics of social vulnerable groups and strong groups and then puts forward reference suggestions for the governance of land expropriation contradictions.
RDEU theory is a nonlinear extension of the probabilistic linear relationship of EU theoretical model to construct nonlinear decision weights. Theoretical and empirical results show that this nonlinear decision weight can describe the emotional attitude (optimistic or pessimistic) and its degree of decision makers under uncertain conditions. EU theory, namely expected utility function theory (Expected Utility Theory). Utility function is a tool that is used to describe the degree of satisfaction brought by deterministic value to economic people and it does not contain any factors that reflect uncertainty. If it is completely used to reflect the risk attitude of economic people under uncertain conditions (such as pessimism or optimism) and its degree, it is obviously far-fetched. RDEU theory can describe the risk attitude and degree of economic man under the condition of uncertainty to construct the decision weight. Based on the EU theoretical model, a rank-based expected utility model is constructed, which not only includes the EU theoretical model, but also overcomes the limitations of the EU theoretical model. If a random variable values , with probability = 1,2,…, n, and when someone definitely gets , the utility is u (), then the utility given to him by the random variable is: where denotes the expected utility of the random variable .
2.1. RDEU Theoretical Model
Definition 1.
If the random variable X takes a value in the set , rule , and obeys probability distribution
It satisfies , defines the rank of (Ranking Position, abbreviated as RP) (i) as:
Definition 2.
Under the uncertain decision structure, the decision maker satisfies the RDEU decision model, which means that his preference order “ ” can be expressed by the real value function defined by the utility functionu () and decision weight W, that is, for random variables X, Y:
where is the decision weight of (based on rank), defined as:
is usually regarded as the emotional function of decision makers, which satisfies the condition: , increasing monotonously. When , it is a concave function, which reflects the pessimism of decision makers; when , it is a convex function, which reflects the optimism of decision makers; when , it is a concave function and decision makers are not affected by emotion. For a visual explanation of the theory, please refer to the Reference [40].
2.2. RDEU Game Model
In an n-player non-cooperative game, the mixed strategy of player is defined in the strategy a probability distribution on:
means that player randomly chooses different strategies with a certain probability distribution in the case of given information. At this time, player I does not adopt a clear and unique strategy, but a probability distribution in its strategy space. Player is likely to take any strategy. Its mixed strategy set is:
When each player chooses a mixed strategy: , a mixed situation formed by the game is recorded as follows: , the utility function of player I in a mixed situation is:.
Let the emotion function of player be :
represents the decision-making power of player , which stands for different players. For example, represents the decision-making weight of player 1. So, the decision weight distributed from . represents the probability that player will adopt a different strategy. means strategy. For example, represents the probability of player taking strategy 1 and indicates the probability of player adopting strategy 1. represents different players and represents different strategic scenarios. In this way, according to the RDEU theoretical model, in the mixed strategy , the RDEU expected utility function of player is:
Definition 3.
The game expressed by mathematical model is called RDEU game model. Where is the set of players, is the mixed strategy set of player and is the expected utility function of player . In practical application, for the convenience of expression, Equation (8) can be recorded as:
where is called the rank of . For a visual explanation of the theory, please refer to the Reference [40].
3. The Game Model of “The Weapon of the Weak”
China’s land expropriation mainly involves three related subjects: the local government, the farmers, and the central government. The local government and the farmers are the most direct interest subjects. The central government is the third subject, and supervision over the local government is often excluded from the expropriation of agricultural land. The role of the central government is only reflected in the supervision and punishment afterwards when the local government expropriates illegally. Here, the supervision role of the central government is directly considered in the two-stage dynamic game model between the local government and the weak farmers and then the RDEU evolutionary game model of land expropriation compensation is constructed on the basis of this model. According to the regulations on housing expropriation and compensation on China’s State-owned Land, urban housing expropriation is first drawn up by the housing expropriation department and reported to the municipal and county people’s governments (referred to as local governments). Then, the local government is responsible for demonstrating and publicizing the plan and revising it after soliciting public opinions. If they are not satisfied with the expropriation result, they can bring administrative reconsideration or administrative litigation. However, according to the actual situation of expropriation, local governments may make use of administrative privileges to forcibly expropriate or depress the standard of compensation because they have the power to distribute compensation. The strategy set of the local government includes the “compulsory expropriation” strategy and the “negotiated expropriation” strategy , which is marked as . The strategy set of the expropriated farmers includes “refuse and struggle” strategy and “peaceful acceptance” strategy A, which is marked as .
In the process of the game between the two sides, is the income of the local government in the process of agricultural land expropriation and is the income of the expropriated farmers who get the relevant compensation for land expropriation. obtains additional compensation after consultation with the government when the expropriated farmers adopt the “weapon of the weak” strategy, such as media exposure, organizing petitions for women and the elderly, extreme life threats, and so on. is the incentive and reward given to farmers by the government when the farmers who are expropriated during the negotiation adopt the strategy of peaceful acceptance. is the cost for farmers to adopt a strategy of rejection and struggle when the local government negotiates for land acquisition and is the cost for farmers to adopt a strategy of rejection and struggle when the local government forces land acquisition. and represent the losses suffered by the government when farmers adopt the strategy of “weapons of the weak”. The dynamic game process is shown in Table 1.
Table 1.
Income matrix of “weapons of the weak” game.
When the local government adopts the strategy of compulsory expropriation, the cost paid by the peasants by adopting the strategy of “weapons of the weak” is expressed as , which is reflected in the struggle to burn their bridges, such as paying their own dignity and even the loss of life, so as to arouse social concern and the sincerity of the government to solve the problem with the signal of endangering order. When the local government adopts the negotiation expropriation strategy, the farmers who are expropriated will take the corresponding strategy to protest relatively peacefully and the cost will be small. This kind of struggle lies between daily resistance and open direct confrontation, which can not only explicitly express the requirements of their own interests, but also protect themselves through the shell of the “weak”. It is a description that protects them like the shell of a tortoise. Just like people who do not have living security in the slums of many countries, the public is more sympathetic and helpful to them to fight in a low-profile struggle that most people regard as “unreliable” in order to reduce the risk of public resistance, such as online media exposure, organizing petitions for women and the elderly, joint collection households refusing to sign, and so on. So, at this point, .
represents the losses borne by local governments when farmers choose to refuse and fight under compulsory expropriation. In order to safeguard their own interests, the expropriated farmers choose to adopt extreme “weapons of the weak” strategies to resist, such as self-immolation, life threats, and other “desperate” resistance strategies. At this time, the local government will not only be held accountable by the higher government, but also bear the loss of the credibility of the local government and the negative public opinion caused by the extreme confrontation taken by the farmers under the compulsory expropriation; represents the cost borne by the local government that the farmers still choose to refuse and struggle under the negotiated expropriation. At this time, the expropriated farmers choose to adopt the corresponding relatively peaceful strategy of “weapons of the weak” to fight, such as online media exposure and petitioning to safeguard their rights. At this time, the government will bear the risks and losses such as delay in collection, damage to political reputation, decline in credibility, and so on. So, at this point, .
Suppose that in a game, the local government income is , farmers’ income is , according to the actual situation of land expropriation compensation, and the relationship between the following variables is obtained:
(peaceful acceptance, compulsory expropriation) (peaceful acceptance, negotiated expropriation) (refusal and struggle, negotiated expropriation) (refusal and struggle, compulsory expropriation);
(refusal and struggle, negotiation expropriation) (peaceful acceptance, negotiation expropriation) (peaceful acceptance, compulsory expropriation) (refusal and struggle, compulsory expropriation).
Furthermore, it is obtained that: , .
The process of the game is divided into two stages. In the first stage of the game, the local government organizes relevant departments to carry out expropriation actions and formulate compensation schemes. There are two strategic choices: reasonable expropriation and compulsory expropriation. As the forerunner of the game, the local government cannot observe the behavior decision of the expropriated farmers and there will be a priori belief to assume the type of expropriated farmers and predict the behavior of the expropriated residents before making the choice. Therefore, the probability not only indicates the probability that the local government groups adopt the compulsory expropriation strategy, but also indicates that the local government thinks that the expropriated farmers are “mild” and predicts the probability that the expropriated farmers will choose to accept the expropriation peacefully. In the second stage of the game, farmers choose to accept or resist rejection peacefully after observing the behavior decision-making and compensation scheme of the local government. In the actual land expropriation activities, the compensation strategy of land expropriation (such as negotiated expropriation, etc.) is set by the government and farmers respond accordingly after the strategy is announced. The concrete embodiment in this model is that farmers modify their beliefs and judgments and then adjust their behavior strategy choices according to their observed actual actions of the local government. Therefore, it is assumed that both local governments and farmers aim to maximize their own interests, where the probability of local governments adopting compulsory expropriation strategy is expressed as , and the probability of adopting negotiated expropriation strategy is expressed as . After the local government expropriation strategy is announced (compulsory expropriation or negotiated expropriation), farmers choose different strategies according to their beliefs. The probability of refusing a struggle strategy is expressed as and the probability of adopting a peaceful acceptance strategy is expressed as The dynamic game process is shown in Figure 1.
Figure 1.
A dynamic Game Model for the conflict of farmland expropriation.
As the group emergency of land expropriation conflict has highly complex system characteristics, such as complex influencing factors, uncertain evolution, and unpredictable behavior rules, and the main participants in land expropriation, local governments and farmers, as groups in society, their behavior is easily affected by emotions and their emotions will more easily affect or spread to other people in their group. For example, when both participants are extremely optimistic about the proceeds of land expropriation, the two groups have heterogeneous beliefs about the same legal provisions and the same price standard. This optimism makes the local government “self-righteous” that the farmers will actively cooperate with the expropriation so that the government will reduce the compensation price. Farmers also think that local governments will actively meet their compensation demands and give up the use of the weapons of the weak. But as a result, the cognitive differences between the two sides are negatively strengthened, it is difficult to reach a consensus on the distribution of compensation benefits, and the game is in a dilemma. Therefore, it is necessary to consider the participants’ emotional and cognitive psychology in the choice, which will affect their choice of their own strategies. So, we introduce emotional factors into the basic game model.
This paper also assumes that the emotional function of the local government group A is expressed as , as the emotional index of the local government group, and satisfies r1 > 0, while the emotional function of the peasant group is expressed as , as the emotional index of the peasant group, and satisfies . The RDEU evolutionary game model of land expropriation compensation is a comprehensive model combining RDEU theory and evolutionary game theory on the basis of the traditional game model of land expropriation compensation (see Table 1). First of all, the dynamic game model of land expropriation compensation shown in Table 1 is placed under the perspective of RDEU theory and the corresponding RDEU game model is constructed, as shown in Table 2 and Table 3.
Table 2.
Probability distribution, rank, and decision weight corresponding to local government revenue.
Table 3.
Probability distribution, rank, and decision weight corresponding to farmers’ income value.
According to the hypothetical condition and concept definition of RDEU game model, the probability distribution, rank, and decision weight of local government group income value are obtained, as shown in Table 1. Table 1 probability distribution, rank, and decision weight corresponding to local government group income value probability rank decision weight ().
Through the calculation, the corresponding probability distribution, rank, and decision weight of farmers’ income value are obtained, as shown in Table 2. Secondly, construct the evolutionary game model corresponding to the RDEU game of land expropriation compensation. The emotional function is introduced into the RDEU theory, the new probability (Decision weight) is used to calculate the RDEU expected utility function of the participants, and the evolutionary game model with emotional parameters can be obtained. On this basis, we further explore how the emotions of the participants affect the actual actions of the participants over time. Suppose the expected return of the compulsory levy strategy adopted by the local government is , the expected return of the negotiated expropriation strategy is and the average expected return is .
The expected return of the peasant group adopting the rejection and struggle strategy is expressed as , the expected return of the peaceful acceptance strategy is expressed as , and the average expected return is expressed as .
In the process of the land expropriation compensation game, because the participants are in line with the assumption of bounded rationality, local governments and farmers refer to each other’s behavior to determine their own best coping strategies, and the process of strategy adjustment can be described by replication dynamic equation. Therefore, the local government’s replication dynamic equation is expressed as and the farmer’s replication dynamic equation as .
Through Equations (7) and (8), five evolutionary equilibrium points of the system are obtained: , , , and . means that the probability of local governments adopting a compulsory expropriation strategy is 0 and the probability of farmers adopting a refusal and struggle strategy is 0.
means that the probability of local government adopting a compulsory expropriation strategy is 0 and the probability of farmers adopting a refusal and struggle strategy is 100%. means that the probability of local government adopting a compulsory expropriation strategy is 100% and the probability of farmers adopting a refusal and struggle strategy is 0. means that the probability of local government adopting a compulsory expropriation strategy is 100% and the probability of farmers adopting a refusal and struggle strategy is 100%.
The value of the fifth equilibrium point is solved by transcendental equations:
The different selection of game model variables will lead to the difference of the fifth equilibrium solution, and its stability will also change. Therefore, it is necessary to discuss the stability of all the above equilibrium points and further explore the influence of emotion on evolutionary stability strategies.
4. Evolutionary Stability Analysis
According to the evolutionary equilibrium theory, the asymptotic stability of the equilibrium point of the replicated dynamic model needs to be tested by the local stability analysis of the Jacobian matrix, that is, the evolutionary stability strategy Evolutionarily stable strategy (ESS) is selected according to the corresponding determinant of the Jacobian matrix and the condition “ and ” satisfied by the trace. Therefore, the corresponding Jacobian matrix of the RDEU evolutionary game model can be obtained.
Combined with the replicative dynamic Equations (17) and (18) of the evolutionary system, (21)–(24) can be obtained.
In this paper, optimism, rationality, and pessimism are selected to describe the good mood, no mood, and bad mood of the game participants, respectively, and any game process will be carried out under the combination of two game subjects and a specific emotional state. The following will discuss the stability of the equilibrium point according to the different psychological and emotional states of the players (mainly taking four typical cases as examples).
4.1. Both Sides of the Game Are Rational
This situation represents the combination state in which there is no emotion on both sides, that is, the behavior strategy choices of all game participants are not affected by any personal emotion and the evolutionary game state returns to the state described in the traditional game model, namely . The evolutionary stability of the corresponding equilibrium points is shown in Table 4. As shown in Table 4, when both sides of the game are rational, the determinant of the Jacobian matrix corresponding to the equilibrium points and is greater than zero and the trace is less than zero, so and are evolutionarily stable equilibrium points. This result shows that when the local government group and the peasant group struggle without emotional interference, either the government extorts but the farmers have no choice but to accept or the farmers refuse to negotiate and struggle tenaciously (for example, nail households). In short, the ideal result (negotiated expropriation, peaceful acceptance) is unstable, that is, the distribution of benefits brought by land expropriation activities is difficult to achieve fairness and the dilemma of land expropriation is inevitable. On the other hand, the determinant of the fifth equilibrium point in the table corresponding to the Jacobian matrix is always greater than zero and the positive or negative of the corresponding trace is uncertain. When the corresponding trace is less than zero, the fifth equilibrium point is also the evolutionarily stable equilibrium point. It can also be seen in Table 4 that under the condition that local government groups and peasant groups are rational, the extreme contradiction (compulsory expropriation, refusal, and struggle) is also unstable. However, the assumption that neither side is emotionless is not in line with the realistic phenomenon of land expropriation.
Table 4.
The judgment table of evolutionary stability when both sides of the game are rational.
4.2. One Player Is Rational, the Other Is Pessimistic
Take the combination of local government rationality and farmers’ pessimism as an example, that is, the behavior strategy choice of local government is not affected by emotion, while the behavior strategy choice of farmers is affected by their own pessimistic mood. This kind of situation is more common in the actual conflict of land expropriation. Here, let us assume that . The evolutionary stability of the corresponding equilibrium points is shown in Table 5.
Table 5.
Judgment table of local government rationality and stability when farmers are pessimistic.
As shown in Table 5, when local governments are rational and farmers are pessimistic, the determinants and traces of Jacobian matrices corresponding to equilibrium , (1,0), and do not meet the evolutionary stability conditions and are unstable state points. However, the determinant of the Jacobian matrix corresponding to the equilibrium point is greater than zero and the trace is less than zero, so is an evolutionarily stable equilibrium point. This stable result shows that in general, farmers with pessimism tend to choose confrontational struggle strategies, while unemotional local governments tend to choose peaceful negotiation strategies. Table 5 also shows that when calculating the determinant and trace of the fifth equilibrium point corresponding to the Jacobian matrix, the singular matrix appears, which makes its stability difficult to judge. When the values of the model variables are different, there will be different results and the fifth equilibrium point may become a stable solution. By the same token, when farmers are rational and the government is pessimistic, the fifth equilibrium point may also become an evolutionary stable point, but this is not common and will not be repeated here.
4.3. Both Sides of the Game Are Optimistic
This situation represents a combination of optimism on both sides, that is, each player’s choice of behavior strategy is affected by his own optimism. Here, let us assume that . The evolutionary stability of the corresponding equilibrium points is shown in Table 6. As shown in Table 5, when both sides of the game are optimistic, there is no best state of the game in which we expect land expropriation to be carried out harmoniously, that is, . The suboptimal equilibrium results of one side fighting against the other’s compromise, that is, and (1,0). Even the worst equilibrium results do not reach a steady state, that is, . In the case of extreme optimism, the fifth equilibrium point will not exist at all and the emotional state of optimism on both sides does not lead to good results. In other words, when the participants have optimistic illusions about the income from land expropriation, the two groups tend to interact with extreme heterogeneity in the same legal provisions and the same price standard. That is, while the local government “self-righteously” believes that farmers will actively cooperate with the expropriation to reduce the compensation price, the farmers also “self-righteously” think that the local government will actively meet their compensation demands and thus raise the compensation price. As a result, the cognitive differences between the two sides are negatively strengthened, it is difficult to reach a consensus on the distribution of compensation benefits, and the game is caught in a dilemma.
Table 6.
Evolutionary stability judgment table when both sides of the game are optimistic.
4.4. Both Sides of the Game Are Pessimistic
This situation represents a combination of pessimism on both sides, that is, the choice of behavior strategies of each player in the game is affected by his own pessimism. For the convenience of the study, it is assumed that . The evolutionary stability of the corresponding equilibrium points is shown in Table 7. As shown in Table 7, when both sides of the game are pessimistic, there is also no pessimistic result that we are most likely to expect (the worst state of the game, that is, , and the conflict of land expropriation occurs) and the other equilibrium results do not reach a stable state. In the case of extreme pessimism, the fifth equilibrium point will not exist either. When both sides are pessimistic, there is no evolutionary stable equilibrium solution for the expropriation game. In other words, when both participants have pessimistic illusions about the income from land expropriation, the two groups are prone to heterogeneous belief interaction in the same legal provisions and the same price standard. That is, while farmers “self-righteously” think that the local government will not meet their higher compensation requirements and thus reduce the compensation price, the local government also thinks that farmers will passively respond to the expropriation and thus raise the compensation price. As a result, the cognitive differences between the two sides are positively strengthened and the worst game dilemma is avoided. From the above evolutionary stability analysis, we can obviously get the research results that “the emotions of local governments and farmers will affect the evolutionarily stable equilibrium of the land expropriation compensation game”. Moreover, different emotional states have different effects on the final evolutionary equilibrium of the game. Taking the combination state of “local government rational, farmers pessimistic” as an example, the party with a pessimistic mood often prefers to choose the behavior strategy of “pessimism” (that is, resistance strategy), that is, a bad mood brings bad results.
Table 7.
The judgment table of evolutionary stability when both sides of the game are pessimistic.
To our surprise, when both local governments and farmers are pessimistic, they do not bring the worst stable equilibrium, that is, local governments choose the strategy of compulsory expropriation and farmers choose the strategy of rejection and struggle. Of course, when both the local government and the farmers are optimistic, it does not bring the best stable equilibrium, that is, the local government chooses to negotiate the expropriation strategy and the farmers choose the peaceful acceptance strategy. In other words, the habitual perception that “good emotions will lead to good results and bad emotions will lead to bad results” is only consistent with the emotional combination of one rational party. When both sides of the game are optimistic or pessimistic, it is not true. Next, in order to verify the applicability of the above conclusions, we will use software to simulate the evolutionary stable state in the above analysis and further explore the influence of the change of the emotional (pessimistic or optimistic) degree of any player on the evolutionary path and results under the combination of specific emotional states of both sides of the game.
5. Simulation Analysis
In order to investigate the nature and practicability of the model, we used software to draw the evolution simulation diagram of land expropriation compensation game under different emotional states and simulated the influence of pessimism and optimism on the evolution state.
According to Xu Ji yi’s calculation of the market value of agricultural land in Anhui Province in 2014, the market value of the expropriated agricultural land was about 200,000 yuan per mu, while the actual compensation received by farmers was about 90,000 per mu [41]. According to Xiong Guoqiang’s 2015 land expropriation conflict compensation case in China’s Shaanxi Province, there are an average of three people in each family, and when farmers boycott the government’s compulsory expropriation, each household will cause the government a loss of about 100,000 yuan. When the government adopts a negotiated levy, but farmers still choose to boycott, each household will cause the government a loss of about 30,000 yuan (Xiong Guoqiang’s article only gives this result, but does not give the calculation process of farmers’ resistance to government losses. China’s Shaanxi provincial government did not release this data, so Xiong Guoqiang obtained the data through a questionnaire survey). The family received an additional compensation of about 60,000 yuan each by organizing women’s petitions from the central government and media exposure. The family chose to boycott under the circumstances of compulsory collection and negotiation by the government, with a cost of 60,000 yuan to 20,000 yuan per household [39] (the cost imposed by the local government on farmers to adopt resistance strategies includes additional transportation expenses, accommodation fees, late work fees, and legal consultation fees for petitions). The cost of farmers’ resistance strategy levied by the local government is mainly the cost of legal consultation. As the standard of compensation for expropriation to farmers is very low, there is a huge gap between the market value of farmland and the actual amount of compensation, which can easily lead to conflicts between land-lost farmers and the local government. Therefore, in this article, the parameters are specified as follow (unit: yuan). It is assumed that the whole simulation system is carried out in the state of the initial value .
5.1. The Participants Are All Evolutional Equilibrium in a Rational State
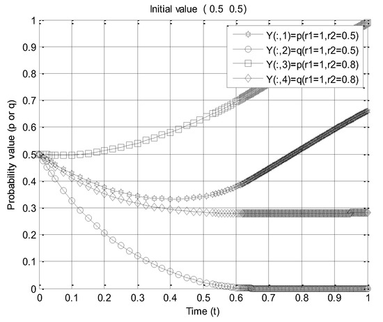
As shown in Figure 2, taking the initial value as an example, when , the local government, as a strong party, holds the absolute control and initiative in the land expropriation event and after obtaining the belief cognition that the peasant group of the weak side does not cooperate actively, quickly adjusts its own strategy so that the probability of adopting the strategy of compulsory expropriation is gradually close to 1. In order to avoid losses, the rational vulnerable farmers have no choice but to compromise and gradually adjust their own strategies, so that the probability of adopting rejection strategy Q is gradually close to 0. Finally, the evolutionary game achieves a stable equilibrium result .
Figure 2.
The evolutionary simulation diagram in which the participants are all rational.
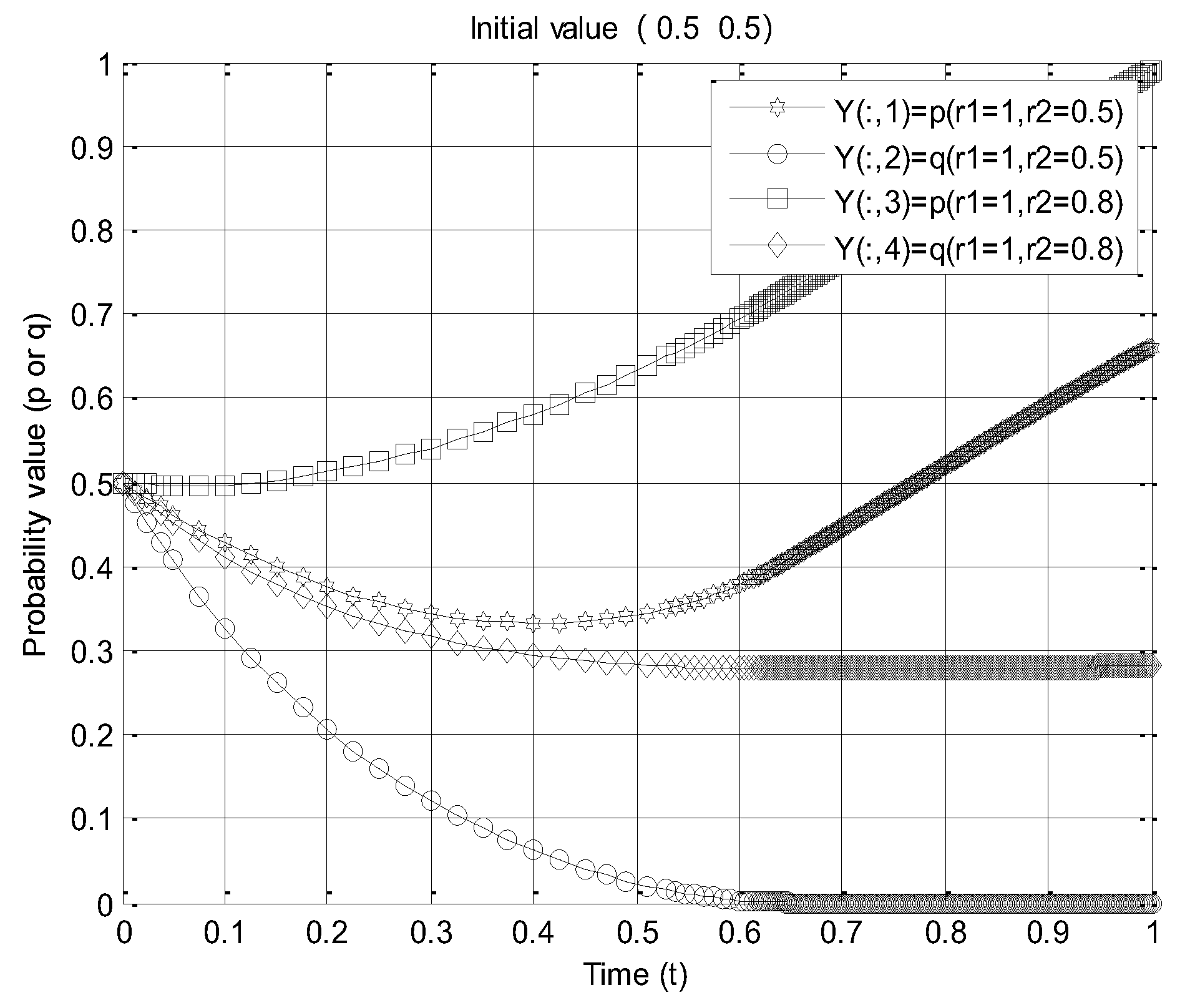
5.2. The Influence of Peasants’ Pessimism on Evolutionary Equilibrium
As shown in Figure 3, when , the probability of a coercive strategy adopted by the local government as a strong principle is nearly 1, while the probability of vulnerable farmers adopting a struggle strategy is about 0.28. If we keep the rational state of the local government unchanged and change the pessimistic index of farmers to 0.5, the equilibrium state of evolution will change. The probability of the rational local government adopting the coercive strategy is reduced to about 0.66, while the probability of the farmers of the weak side getting up to fight is reduced to 0. In other words, when the farmers of the weak side become more and more pessimistic, this does not increase the rate of their choice to fight, but at the same time, it reduces the rate of local governments choosing tough strategies, and the final evolution of the game becomes better. Under the correct guidance and control of the rational state of the local government, in the interaction of beliefs and strategies, farmers receive more attention and get more economic knowledge and psychological comfort because they hold more pessimistic emotions and thus, gradually accept land expropriation; the government makes some compromises because of better understanding of farmers’ psychological and material needs in the process of communication, such as solving employment problem for farmers, so as to adjust its own strategies and reduce the probability of forced expropriation. Finally, under the rational leadership of the government, the equilibrium state of the game becomes better with the reduction of the degree of information asymmetry.
Figure 3.
The simulation diagram of evolution when farmers are pessimistic and the government is rational.
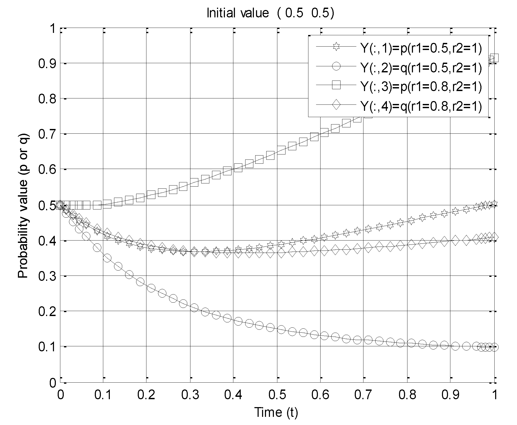
5.3. The Influence of Farmers’ Optimism on Evolutionary Equilibrium
As shown in Figure 4, when . As a rational local government, the probability of adopting a coercive strategy is 1 and the probability of optimistic farmers taking struggle is 0.1. That is to say that in the rational state of the government, the optimistic farmers did not completely compromise, while the rational local government had to adopt tough strategies to curb the resistance of farmers. By keeping the rational state of the local government group unchanged and changing the optimism index of the peasant group to 10, the game state has changed. The rate of farmers’ resistance not only did not decrease, but quickly evolved to 0.5. At the same time, rational local governments accelerated the control of farmers’ struggle behavior and finally achieved the result of evolutionary equilibrium . The equilibrium results show that with the increase of their own optimism, farmers have more and more confidence in compensation income and firmly believe that rational local governments will make compromises to meet their compensation asking prices, thus making themselves more inclined to tough strategies. In the face of farmers’ optimism, the rational government has to control its own tendency of optimism, avoid the occurrence of lasting conflicts (when both sides are optimistic, there is no stable solution to the game), and appropriately benefit optimistic farmers in order to repay farmers’ trust in the government. The farmers choose not to use the “weapons of the weak”, but to compromise, believing that the government can reach a negotiation on expropriation and compensation.
Figure 4.
The simulation diagram of evolution when farmers are optimistic and the government is rational.
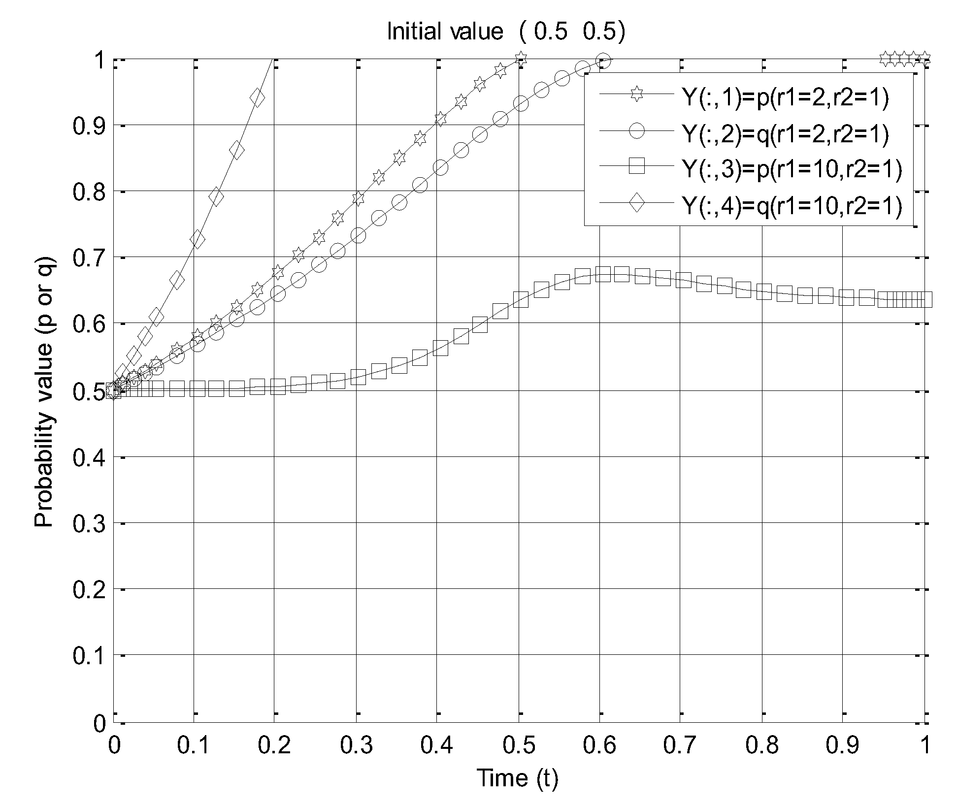
5.4. The Influence of Local Government Pessimism on Evolutionary Equilibrium
As shown in Figure 5, when , the probability of rational weak farmers adopting a struggle strategy is nearly 0.1, while the probability of a slightly pessimistic local government adopting a coercive strategy is about 0.5. Keeping the rational state of farmers unchanged and changing the pessimistic index of the local government to 0.5, the equilibrium state of evolution changes. While the probability of rational farmers adopting a struggle strategy rises to about 0.4, the probability of the local government adopting a coercive strategy increases to 0.9. When farmers are rational and local governments are pessimistic, the final evolutionary equilibrium will gradually become worse with the deepening of local government pessimism, that is to say, the more pessimistic the local government is, the closer the game equilibrium is to the worst strategy combination (Compulsory expropriation, Refuse and fight).
Figure 5.
The Influence of Local Government Optimism on Evolutionary Equilibrium
5.5. The Influence of Local Government Optimism on Evolutionary Equilibrium
As shown in Figure 6, when , the probability of rational farmers adopting a struggle strategy and the probability of slightly optimistic local governments adopting a coercive strategy are both 1. Keeping the rational state of farmers unchanged and changing the pessimistic index of the local government to 0.5, the equilibrium state of evolution changes. The probability of rational farmers adopting a struggle strategy is still 1 and the evolution speed accelerates, while the probability of local government adopting a coercive strategy is reduced from 1 to about 0.63. When farmers are rational and local governments are optimistic, the final evolutionary equilibrium will gradually improve with the deepening of local government optimism, that is to say, the more optimistic the local government is, the farther away the game equilibrium is from the worst strategy combination (compulsory expropriation, refusal and struggle).
Figure 6.
The local government is optimistic and the farmers are rational.
Based on the above analysis, in the process of the game between the local government of the strong side and the peasant of the weak side, when both sides are rational, the game will reach a certain stable state and the final stable equilibrium will be determined by the actual situation of the specific land expropriation activities. The change of the parameter value will change the equilibrium result, but the final result is one of and . When one side is rational and the other is optimistic, with the increase of the degree of optimism, the evolution result will gradually get better, that is to say, the quality of the equilibrium result is positively correlated with the degree of optimism. However, when one side is rational and the other is pessimistic, it is difficult for us to get the unified conclusion that there is a negative correlation between the quality of the equilibrium result and the degree of pessimism. When farmers are rational and the government is pessimistic, the equilibrium result will become worse with the deepening of government pessimism. However, when the local government is rational and farmers are pessimistic, because the government pays enough attention to the pessimistic vulnerable groups under the guidance of rational emotion, such as psychological communication and emotional guidance, as well as propaganda and education of relevant economic and legal knowledge, on the contrary, the equilibrium result of the game gradually improves with the increase of the pessimistic degree of farmers, which is different from the situation of “government pessimism, farmers’ rationality”. It also inspires us that as a leader of the government group, its own emotional state is closely related to the harmony of the whole land expropriation activities and its emotional state is more likely to affect the equilibrium result of the game than the emotional state of vulnerable groups. Therefore, in the game of land expropriation, it is very important for the local government, as a leader, to maintain a rational emotional attitude to avoid the poor equilibrium result of the game.
6. Conclusions and Policy Implications
6.1. Conclusions
On the basis of constructing the RDEU evolutionary game model of agricultural land expropriation conflict, this paper carries on the evolutionary stability analysis and software simulation analysis of the model. The main conclusions are as follows: (1) the emotion of the participants not only affects their own behavior strategy choice, but also affects the behavior strategy choice of others. And the combination of different emotional states of local governments and farmers will bring different results of the land expropriation compensation game. We understand that emotion affects group behavior because of its own infectivity and it can also be understood that the emotion of the participant changes the behavior strategy choice of the emotional subject itself and under the interaction of belief strategy, emotional participants indirectly influence the behavior strategy choice of another participant through the influence of their own emotions on their own strategies. (2) In the results of the study, we unexpectedly found that the cognition that “optimism will bring good results” is not always true in all circumstances, that is, it is conditional. We understand that optimism has a conditional effect on obstructing or alleviating the conflict of agricultural land expropriation. With the increase of the degree of optimism of the emotional side, the result of evolutionary equilibrium becomes better gradually, that is, optimism hinders the occurrence of the conflict of agricultural land expropriation or alleviates the conflict to a certain extent. When the emotional state of the other party is rational, the more optimistic one side is, the more inclined to peacefully solve the problem of land expropriation; the more pessimistic the other side is, the more inclined to take extreme confrontational behavior to induce or intensify the contradiction of land expropriation. (3) The pessimism of the participants is more likely to affect the behavior strategy choices of themselves and others than the optimism of the participants, and the emotional state of the local government in a strong position is more likely to affect the outcome of the land expropriation game. The research shows that keeping the rational emotional state of the government can properly alleviate the dilemma of the game of land expropriation. (4) The farmers on the weak side are not necessarily in a weak position at any time and sometimes even have an advantage. Under the influence of emotion, the game subject will also be influenced by the judgment of the other party’s strategy. When the farmers of the weak side think that the probability of the government adopting a strong strategy is higher than a certain cut-off point, with the increase of the pessimistic index, the farmers of the weak side are more inclined to use the “weapons of the weak” to release signals that endanger order and make use of the local government’s preference for stability to force the government to adopt a compromise strategy. Finally, through the interaction of heterogeneous beliefs between the two sides, the game of land expropriation will form an evolutionarily stable equilibrium.
This paper studies the influence of participants’ emotion on the conflict of agricultural land expropriation from the perspective of RDEU evolutionary game and combines RDEU theory with evolutionary game theory to explain the mechanism of emotion on land expropriation. However, there are still some shortcomings in the research, such as not considering the multi-agent game. In future research, we could consider the introduction of a third party (for example, village collective organizations, media, etc.). In addition, the study of the internal factors of the participants in the land expropriation compensation could also consider the non-emotional factors. How the personal income level, family income level, moral quality, and education level of the participants affect the game behavior needs to be further studied in the future.
6.2. Policy Implications
Based on the conclusion, in order to make the governance measures of land expropriation compensation more targeted and forward-looking, the following policy recommendations are put forward.
First, to establish emotional supervision and a dredging mechanism to ensure stable political order. Further, strengthen the emotional education and management of the expropriated farmers, cultivate the soil to resolve the struggle, and establish special emotional dredging institutions to avoid the negative impact of emotion on political order. Political order is the basis of political operation and social development.
The second is to improve the system of governments’ response and upgrade the level of response to demands. Further, ensuring farmers’ right to know, right of expression, right of supervision, and right of benefit is a necessary condition for the smooth progress of land expropriation; the government also needs to learn from experience in the process of conflicts and how to put an end to the hidden dangers of resistance before the occurrence of resistance behavior. It is the key for the government to govern the conflict of farmland expropriation. Therefore, we should improve the system of government response, change the concept of solving the conflict of land expropriation from subjective to rational, the way from single to pluralistic, and the process from non-procedural to procedural, so as to protect the resistance demands of the weak farmers in the political system. In a sound system, we should enhance the level of demand response and distinguish contradictions and conflicts into quantifiable standards such as program demands, identity demands, and position demands, so as to form a continuous flow of responses and further weaken the differences between the two sides. It can also improve the vulnerable farmers’ perception of the fairness of government procedures and results, as well as their confidence in the proceeds of land expropriation, so as to ensure the smooth progress of subsequent land expropriation.
The third is to establish the expression mechanism of interest demands, reduce the degree of information asymmetry, and establish equal dialogue. Like the coral reefs formed by millions of coral polyps, a large number of farmers’ resistance and uncooperative actions in the process of farmland expropriation have created their unique political and economic reefs. To a large extent, the vulnerable farmers who have been expropriated show their sense of political participation in this way. It is the mass gathering of these trivial actions that makes accidents and extreme bloodshed possible and changes in the actions of farmers will narrow the scope of the country’s policy choices. It is in addition to the political pressure of the law that farmers classically show their sense of political participation with “the weapons of the weak”. Therefore, the government must also grasp and understand the distorted resistance logic of farmers’ use of “weapons of the weak” in the conflict of land expropriation and establish equal dialogue with the peasants who have been expropriated. Further, the government should give farmers enough sense of security to avoid the serious unfairness caused by the confusion of land expropriation procedures and the distribution of land expropriation benefits.
Fourth, China’s rural land market transaction system needs to be gradually improved in order to promote the sustainable development of land. This is partly because the Chinese government is the sole buyer of the rural land expropriation market and the only supplier of the urban land market. Farmers’ dissatisfaction with the land expropriation policy shows the defects of the land transaction system to a certain extent, which is considered to be the deeper cause of the land conflict. The lack of professional procedures for resolving land conflicts is also a problem in China as many departments and organizations are involved in land expropriation. Different from peer research, our study found that farmers are also responsible for land conflicts. Misconduct on the part of farmers, such as offensive language and provocative behaviour, can also further exacerbate the conflict. However, the root cause of the conflict of land expropriation is the blind pursuit of personal interests. The game of interests between local governments and farmers has always been a key issue.
Author Contributions
K.H., Y.Z. (Yucheng Zou), Y.Z. (Yanwei Zhang), and K.D. conceptualized the research and performed the validation. K.H., Y.Z. (Yucheng Zou), and Y.Z. (Yanwei Zhang) administered the project, developed the methodology, curated the data, conducted the formal analysis, produced visualizations, and wrote and prepared the original draft manuscript. K.H. and Y.Z. (Yucheng Zou) reviewed and edited the manuscript. K.H. acquired funding. All the authors contributed to drafting the manuscript and approved the final version of the manuscript.
Funding
This study was supported by the National Natural Science Foundation of China (No. 71671187).
Acknowledgments
The authors are grateful to Jiahui Ye for her guidance on the research. We also thank all the interviewees in the field visits.
Conflicts of Interest
The authors declare no conflict of interest.
References
- Ghatak, M.; Mookherjee, D. Land acquisition for industrialization and compen-sation of displaced farmers. J. Dev. Econ. 2014, 110, 303–312. [Google Scholar] [CrossRef]
- Zhang, W.B. The urbanizing process with moving boundary. Geogr. Anal. 2010, 20, 328–339. (In Chinese) [Google Scholar] [CrossRef]
- Vishal, N. Growing city, shrinking hinterland: Land acquisition, transition and conflict in peri-urban gurgaon, India. Environ. Urban. 2009, 21, 501–512. [Google Scholar]
- Liu, J.P.; Li, Y.X. An analysis on urbanerural conflict and cause of for-mation in the rapid process of urbanization. Theor. Issues 2011, 12, 5–9. (In Chinese) [Google Scholar]
- Becker, C.M.; Morrison, A.R. Public Policy and Rurale Urban Migration; Oxford University Press: Oxford, UK, 1996. [Google Scholar]
- Chen, Z.; Zhang, A.L.; Song, M.; Zhang, Z. Measuring external costs of rurale urban land conversion: An empirical study in Wuhan, China. Acta Ecol. Sin. 2016, 36, 30–35. (In Chinese) [Google Scholar] [CrossRef]
- Lou, P.M. A case study on the settlement of rural women affected by land requisitioning in China. J. Contemp. China 2007, 16, 133–148. (In Chinese) [Google Scholar]
- Mathur, S. Use of land pooling and reconstitution for urban development: Experiences from Gujarat, India. Habitat Int. 2013, 38, 199–206. [Google Scholar] [CrossRef]
- Upreti, B.R. Land conflict in Nepal: peasants’ struggle to change unequal agrarian social relations. Commun. Work Fam. 2004, 7, 371–393. [Google Scholar] [CrossRef]
- Zou, X.; Oskam, A. New compensation standard for land expropriation in China. China World Econ. 2007, 15, 107–120. [Google Scholar] [CrossRef]
- Guo, X. Land expropriation and rural conflicts in China. China Q. 2001, 166, 422–439. [Google Scholar] [CrossRef]
- Xie, Y. Land expropriation, shock to employment, and employment differentiation: Findings from land-lost farmers in Nanjing, China. Land Use Policy 2019, 87, 104040. [Google Scholar] [CrossRef]
- Liu, Y.; Fang, F.; Li, Y. Key issues of land use in China and implications for policymaking. Land Use Policy 2014, 40, 6–12. [Google Scholar] [CrossRef]
- Huang, B.; Xu, W.X.; Chen, G.L. The spatio-temporal analysis of the coordinatedrelationship between urbanization and environment in China. Stud. Econ. Prob. 2016, 3, 86–92. [Google Scholar]
- Kalabamu, F.T. Land tenure reforms and persistence of land conflicts in Sub-Saharan Africa—The case of Botswana. Land Use Policy 2019, 81, 337–345. [Google Scholar] [CrossRef]
- Cramer, C. Civil War Is Not a Stupid Thing: Accounting for Violence in Developing Countries; Hurst & Company: London, UK, 2006. [Google Scholar]
- Doyle, M.W.; Sambanis, N. Making War and Building Peace: United Nations Peace Operations; Princeton University Press: Princeton, NJ, USA, 2006. [Google Scholar]
- Goodhand, J. Aiding Peace? The Role of NGOs in Armed Conflict; Intermediate Technology Publications (ITDG): Boulder, CO, USA, 2006. [Google Scholar]
- Guo, W.B. “The weapon of the weak” and “Hidden text”—The bottom Perspective of studying Peasants Resistance. Read 2002, 7, 11–18. (In Chinese) [Google Scholar]
- Dhiaulhaq, A.; McCarthy, J.F.; Yasmi, Y. Resolving industrial plantation conflicts in Indonesia: Can mediation deliver? For. Policy Econ. 2018, 91, 64–72. [Google Scholar] [CrossRef]
- Dong, H.J. “The identity of the weak as a weapon”: The bottom Politics of Peasants’ struggle to safeguard their Rights. Society 2008, 4, 34–58. (In Chinese) [Google Scholar]
- He, Y.Q. Survival ethics, weak weapons, daily politics. Read 2008, 7, 3–11. (In Chinese) [Google Scholar]
- Scott, J.C. Weapons of the Weak: Everyday Forms of Peasant Resistance; Yale University Press: New Havenand, CT, USA, 1985. [Google Scholar]
- Wehrmann, B. Land Conflicts: A Practical Guide to Dealing with Land Disputes; Deutsche Gesellschaft für Technische Zusammenarbeit (GTZ) GmbH: Eschborn, Germany, 2008. [Google Scholar]
- Hui, E.C.M.; Bao, H. The logic behind conflicts in land acquisitions in con-temporary China: A framework based upon game theory. Land Use Policy 2013, 30, 373–380. [Google Scholar] [CrossRef]
- Smith, J.M.; Price, G.R. The Logic of animal Conflict. Nature 1973, 246, 15–18. [Google Scholar] [CrossRef]
- Liu, D.H. Evolutionary Game Analysis of Governmental Opportunism Behavior in Unexpected Incidents Involving Mass Participation. Chin. J. Manag. Sci. 2010, 1, 175–183. (In Chinese) [Google Scholar]
- Li, C.F.; Zhang, R.Y.; Zhao, L.C.; Mo, L.J. Research on Basin Ecological Compensation Based on Evolutionary Game Theory—Taking Tai hu Basin as a Case. China Popul. Resour. Environ. 2014, 1, 171–176. (In Chinese) [Google Scholar]
- Zheng, J.J.; Run, L.; Zhang, H.Y.; He, H.Y. Disposal Mechanism of Environmental Pollution Mass Incidents Based on Evolutionary Game and Optimization Theory. Chin. J. Manag. Sci. 2015, 8, 168–176. (In Chinese) [Google Scholar]
- Wang, W.G.; Wang, X.L. Analysis of Energy Saving and Emission reduction Policy of China’s High Energy consumption Enterprises based on Evolutionary Game. Res. Financ. Econ. Issues 2012, 4, 75–82. (In Chinese) [Google Scholar]
- Madani, K. Game theory and water resources. J. Hydrol. 2010, 381, 225–238. [Google Scholar] [CrossRef]
- Cheng, Y.L.; Liu, R.Y. Game Analysis about Conflict of Interest between Farmers and Local Government in Farmland Acquisition. Resour. Dev. Mark. 2016, 32, 196–202 (In Chinese). (In Chinese) [Google Scholar]
- Quiggin, J. A theory of anticipated utility. J. Econ. Behav. Organ. 1982, 3, 323–343. [Google Scholar] [CrossRef]
- Diecidue, E.; Wakker, P.P. On the Intuition of Rank-Dependent Utility. J. Risk Uncertain. 2001, 23, 281–298. [Google Scholar] [CrossRef]
- Hong, K.R.; Sun, D. The Influence of Participant’s Emotion on Land Expropriation Compensation Strategy Based on RDEU Evolutionary Game Theory. Explor. Econ. Theory 2017, 37, 40–51. (In Chinese) [Google Scholar]
- Xiong, G.Q.; Zhang, Y. Influence of Psychological and Emotional Factors on the RDEU Game Model of Urban Demolition and System’s Brittleness Analysis. Oper. Res. Manag. Sci. 2019, 28, 99–106. (In Chinese) [Google Scholar]
- Nguyen, H.L.; Duan, J.; Zhang, G.Q. Land Politics under Market Socialism: The State, Land Policies, and Rural–Urban Land Conversion in China and Vietnam. Land 2018, 7, 51. [Google Scholar] [CrossRef]
- Zhang, Y.; Xie, H. Welfare Effect Evaluation of Land-Lost Farmers’ Households under Different Livelihood Asset Allocation. Land 2019, 8, 176. [Google Scholar] [CrossRef]
- Xiong, G.Q.; Zhang, T.; Wang, H.T. The RDEU Game Model Analysis of Group Conflict Influenced by Emotion. Chin. J. Manag. Sci. 2015, 23, 162–170. (In Chinese) [Google Scholar]
- Gong, R.Z. Nash equilibrium of hawk-dove game based on rank-dependent expected utility theory. J. Manag. Sci. China 2012, 15, 35–45. (In Chinese) [Google Scholar]
- Xu, J.Y.; Huang, T.Z. Market Value Assessment and Practice Analysis in China’s Agricultural Land Expropriation Compensation. J. South. China Agric. Univ. 2014, 13, 62–69. (In Chinese) [Google Scholar]
© 2020 by the authors. Licensee MDPI, Basel, Switzerland. This article is an open access article distributed under the terms and conditions of the Creative Commons Attribution (CC BY) license (http://creativecommons.org/licenses/by/4.0/).





