Abstract
With the increasing awareness of environmental protection, firms pay much more attention to the recycling and remanufacturing of used products. This paper addresses the problem of the optimal pricing in recycling and remanufacturing in uncertain environments. We consider two strategies of remanufacturing products, by which a recycled product can be repaired and sold as a second-hand product or dissembled into materials for production of new products according to its quality. As the market demand for products and the quantities of recycled products, such as fashion products and mobile phones, usually lack historical data, this paper adopts uncertainty theory to depict uncertainty in establishing the pricing model. An uncertain programming model and a series of crisp equivalent models are proposed under the assumptions of particular uncertainty distribution. Finally, numerical experiments are performed to show how various parameters influence the results of the proposed model.
1. Introduction
With the shortage of natural resources and the emergence of serious environmental problems, many firms have paid more attention to recycling and remanufacturing. Recycling and remanufacturing are acknowledged as an effective way to deal with the problem of resource scarcity and environmental pollution, which, at the same time, can help firms gain benefits and reputation. According to the analysis report of the American Iron and Steel Institute, by remanufacturing scrap steel products in the United States, energy has been saved by 47% to 74%, air pollution, water pollution, and solid waste have been reduced by 86%, 76%, and 97%, respectively, and water has been saved by 40%. The quality and performance of the remanufactured products are the same as those of the new prototype products. However, the production cost is only 50% of that of the new prototype products, and 60% of energy and 70% of materials are saved (https://www.steel.org/).
There are two common strategies for remanufacturing recycled products. For used products in a bad condition, a generally adopted way is to extract and reuse the useful parts for the production of new products, as long as the reused parts reach the quality requirement of the new product. Studies have indicated that almost 70% of end-of-life vehicles are directly reused by firms to produce new goods [1]. Waste electrical and electronic equipment, e.g., smart phones and PCs, are also important sources of raw materials. Through recycling and remanufacturing, sustainable development of society can be achieved [2,3]. For the recycled products that are in relatively good condition, firms can repair and refurbish them and put them back into the market as second-hand products. It has been shown that demand for second-hand products exists. In China, e-commerce platforms such as idle fish (Alibaba Group) and paipai (Jingdong Group) are active in trading second-hand products. The two strategies above provide two ways of treating recycled products. Firms can flexibly adopt both remanufacturing strategies for a better trade-off between product performance and profits. In order to gain optimal profit, an essential problem that firms need to deal with is the determination of the prices of the products. The prices of the new products and the second-hand products will affect the demand of different markets. However, the recycling prices of a used product can impact the number of recycled products, which can influence the supply of second-hand products. This paper aims to optimize pricing decisions in recycling and remanufacturing.
The pricing of products in the recycling and remanufacturing situation has been widely investigated. Ferrer and Swaminathan [4] assume that customers have different preferences on new products and remanufactured products, and propose the pricing decision models. Savaska and Wassenhove [5] study the relationship between the manufacturer’s recycling channel and the remanufactured product pricing strategy. Jun et al. [6] propose a quality-dependent optimization model and study the optimization of end-of-life product recovery in a quantitative manner. Under the circumstance of retailer competition, Gu et al. [7] study the recycling price, the wholesale price, and the retail price in a closed-loop supply chain. Wei and Zhao [8] take into account remanufacturing rate and present a model for the optimal pricing decision. In order to maximize supply-chain revenue, Wan and Gonnuru [9] propose the use of radio frequency identification (RFID) technology to support the dismantling strategy decision of end-of-life products. Gan et al. [10] develop an optimal pricing model for short-life-cycle products in a supply chain that consists of the manufacturer, retailer, and collector, and introduce two scaling factors in the model. Govindan et al. [11] study how to improve sales of remanufactured products by analyzing consumer behavior, pricing, and brand strategies, as well as the optimization of green transportation. Zhang and He [12] propose an optimal pricing model, where the recycled products are repaired and resold as green remanufactured products in the second sales period. As recycling and remanufacturing are usually embedded in a closed-loop supply chain, there are many other works on pricing decisions in recycling and remanufacturing in a closed-loop supply chain [13,14,15,16,17,18,19,20,21,22,23]. To our knowledge, in most existing papers, recycled products are assumed as raw materials for producing new products, and different strategies for remanufacturing recycled products in different conditions are rarely taken into account. In this paper, the problem of optimal price is investigated in recycling and remanufacturing of used products by considering two remanufacturing strategies.
In the real world, there exist ubiquitous uncertainties. Nondeterministic factors are usually inevitable in making pricing decisions in management in a supply chain. There are many researchers who have considered decision-making under uncertainty in the area of closed-loop supply chains [24,25,26,27]. The nondeterministic parameters, whose distribution functions are estimated from historical data, are usually assumed to be stochastic. However, many types of products, such as digital devices, usually upgrade fast, and related innovation emerges frequently. The demand for those products and the quantity of recycled products are often with few historical data. Therefore, it is not appropriate to use random variables to describe the nondeterministic parameters. Experts’ degrees of belief in the nondeterministic parameters are usually employed, and subjective uncertainty is considered. Fuzziness is widely acknowledged as a type of subjective uncertainty. In recent studies related with supply chain, many researchers have already accepted fuzzy set theory to depict indeterminacies in their models [28,29,30]. However, fuzzy set theory is not rigorous in mathematics. Uncertainty theory is a mathematical system widely accepted to characterize human belief degree and deal with subjective uncertainty [31,32]. By far, uncertainty theory has been successfully adopted to deal with many uncertain decision-making problems, such as the pricing optimization problem [33,34,35], facility location problem [36], entropy applications [37], project scheduling problem [38,39,40], portfolio selection [41], and production control problem [42]. Recently, Chen et al. [43] studied an effort decision problem in a supply chain under uncertain information. However, they did not consider the recycling and remanufacturing problem. There are often few historical data on the demand of new products and second-hand products and the quantity of recycled products; therefore, we employ uncertainty theory to deal with the problem and characterize the nondeterministic parameters as uncertain variables.
This paper explores a pricing problem in recycling and remanufacturing of used products in an uncertain environment. Remanufacturing includes the process of recapturing value added to a material during the new product manufacturing process [4,44,45,46]. However, Yoo and Kim [47] focused on the study of refurbishment of returned used products for second-market sales. To summarize, they mainly focused on recycling products as raw materials to produce new products or directly produce second-hand products. In this study, two strategies for remanufacturing are considered based on the quality level of the recycled product. Because the optimal pricing decision model is proposed in an uncertain environment, the quantities of recycled products and demands usually lack historical data; we can collect enough data, but these data may not be applicable due to the dynamic environment. Therefore, similarly to [34,38,48,49], uncertainty theory is employed to describe the nondeterministic parameters due to the lack of historical data.
This paper differs from the previous ones in that an uncertain programming model and a series of crisp equivalent models are proposed under the assumptions of particular uncertainty distribution and contributes to the remanufacturing area by considering how uncertainty distribution and quality of recycled products influence the used product remanufacturing and pricing strategy. This research makes an excellent complement to the current literature on remanufacturing. This paper considers a firm that adopts two strategies for remanufacturing of used products. Some recycled products are repaired, refurbished, and then put into the market as second-hand products, while some are disassembled into raw materials for the production of new products. The linear price-dependent demand functions for new and second-hand products are given, which are strictly monotonously decreasing in the corresponding prices. In addition, a linear recycling quantity function is proposed, in which the quantity of recycled products is increasing with the recycling price. An uncertain programming model is formulated to describe the price model, and crisp equivalent models when uncertain variables follow a particular distribution are proposed. A numerical experiment is presented to show how various parameters influence the pricing decisions and the total profit.
The rest of this paper is organized as follows. We describe the problem in Section 2. In Section 3, the uncertain programming model is formulated and crisp equivalent models are presented. In Section 4, numerical experiments are performed to show how various parameters impact the results of the model. Conclusions and directions for future research are provided in Section 5.
2. Problem Description
This paper assumes that used products are recycled from customers at a unified price; similarly to Gan et al. [10] and Nikunja et al. [21], all used products are transferred to a recycling center at price . It is assumed that the recycling center only collects used products that meet the required quality level for the remanufacturing process. The recycled products are classified into two categories according to the quality, which are respectively treated by two different remanufacturing strategies. The recycled products that are in relatively good condition are repaired, refurbished, and sold as second-hand products. The recycled products that are in worse condition are disassembled, and the useful parts are reused in the production of new products. We denote by the proportion of the used products that can be reconditioned and sold as second-hand products, which is a given fixed parameter. Such used products in good condition are repaired and refurbished in the recycling center, and then the renewed second-hand products are sold to customers directly. The products in bad condition are dismantled in the recycling center, and useful components are sent to the production center as the raw material for new products. In addition, new products with virgin raw materials are also manufactured in the production center. The process of recycling and remanufacturing products is shown in Figure 1. To better analyze the proposed model, similarly to Savaska and Wassenhove [5], the unit remanufacturing cost is assumed to be known and constant in this paper. The unit cost for manufacturing a new product with virgin raw materials is denoted by ; the manufacturer produces the new product with unit manufacturing cost by using the recycled products, which covers the cost for disassembling, transportation, and remanufacturing. It is assumed that . The new products are sold at a wholesale price . The unit cost for renewing a used product in good condition is denoted by . Parameter is the unit price of a renewed second-hand product. Table 1 summarizes the notations. The model considers two different remanufacturing strategies and determines both optimal product sales and acquisition price.
Figure 1.
The process of recycling and remanufacturing products.
Table 1.
Notations.
Two demand functions are given to characterize the demands for the new products and the second-hand products, respectively. As the purchase decision of the customers usually depends on the price of the product, a linear price-dependent demand function for new products can be expressed as follows:
In this function, the parameter represents the potential market size, which is the market size when the product price equals 0. The parameter denotes the price elastic coefficient. For the situations in this paper, there are usually few historical data about the market size and the price elastic coefficient. Therefore, we set the market size and the price elastic coefficient as uncertain variables. In the same way, a linear price-dependent demand function for second-hand products can be expressed as follows:
where denotes the market base of second-hand products, and denotes the price elastic coefficient for second-hand products. For the same reason, we assume and to be uncertain variables.
The number of recycled used products is defined as
which is a function of the unit price of recycling a used product . The value of is the minimum of two parts. The first part, , is a linear demand function that is usually adopted in related literature [50]. The parameter denotes the number of collected used products when even the unit price of recycling a used product is 0. To some extent, it represents the environmental protection consciousness of the society. The parameter denotes the recycling price elastic coefficient. The second part, , represents the estimated number of existing used products. Because of the lack of historical data, , , and are characterized as uncertain variables in this paper. It is reasonable to assume that the uncertain variables in the three functions above are nonnegative and independent.
Some necessary assumptions need to be made in order to make the model reasonable. First, this paper assumes that the demand of new products is large enough compared to the number of collected used products . Second, the products manufactured with virgin raw materials and those produced with collected raw materials are of the same quality and thus share the same unit price . We suppose and , which guarantee the nonnegative profit and the incentive of remanufacturing. In addition, we assume that to describe the fact that the unit price of recycling a used product is usually relatively small.
Based on the above assumptions, the total profit function can be formulated as follows:
According to Lemma A2, the independence between the uncertain variables gives the following form of the expected total profit.
3. An Uncertain Programming Model
In this section, an uncertain programming model is formulated to solve the problem proposed in this paper. Some crisp equivalents are proposed when assuming that uncertain variables have a particular distribution.
The objective of the model is to maximize the expected total profit, given that some basic constraints are satisfied. The model is as follows:
where and are two numbers in the interval representing the predetermined confidence levels. The first constraint ensures that the demand for new products is positive with chance that is not less than . The second constraint is similarly defined for the demand for second-hand products. The last three constraints represent the assumptions mentioned in the last section.
Denote by , , , , , , and the inverse uncertainty distributions of , , , , , , and , respectively. According to Lemma A3, the objective function can be transformed into a deterministic equivalent:
By applying Lemma A4, the chance constraints and can be converted into the deterministic equivalents
and
respectively. Based on the above results, a deterministic equivalent of the uncertain programming model can be obtained as follows:
where and are two numbers in the interval representing the predetermined confidence levels.
For some cases where uncertain variables are of particular uncertainty distributions, there are crisp equivalents for the model. Linear distribution is one of the most commonly adopted uncertainty distributions, which is proposed by Liu [31]. When all of the uncertain variables are linear uncertain variables denoted by , , , , , , and , the model has the following crisp equivalent:
where
and and are two numbers in the interval representing the predetermined confidence levels.
Zigzag distribution is another widely used uncertainty distribution. Assume that all of the uncertain variables are zigzag uncertain variables, denoted by , , , , , , and . In the model we propose in this paper, and are two parameters in the interval representing the predetermined confidence levels. These two parameters are introduced to control the chance of the uncertain event that the demand is not positive; thus, they are often set as numbers close to 0, which are usually assumed to be smaller than 0.5. Here, we consider the case where and are in the interval . Based on the definition of the zigzag uncertain variable, the crisp equivalent of the model can be obtained as follows:
where
and and are two numbers in the interval representing the predetermined confidence levels.
Normal distribution is the counterpart with the normal distribution in probability theory. Assume that all of the uncertain variables are normal uncertain variables, denoted by , , , , , , and . Based on the definition of the normal uncertain variable, the crisp equivalent of the model can be obtained as follows:
where
and and are two numbers in the interval representing the predetermined confidence levels.
4. Numerical Experiments
In this section, a numerical example is provided to show how various parameters influence the pricing decisions and the total profit. Because the optimal pricing decision model is proposed in an uncertain environment, in such supply chains, the quantities of recycled products and demands may be subject to some inherent indeterministic factors, such as market sizes and price elasticity coefficients; thus, the data on the recycled products and the data on the estimation of uncertain parameters from experienced experts are difficult to find. Interested readers can consult Liu [51] (Chapter 16: Uncertain Statistics) to get more details on how to collect experts’ data and how to estimate empirical distributions of uncertain variables from the experimental data. Although, in the following, only particular data are employed, we have actually conducted some computational experiments from which similar observations have been obtained.
These uncertain parameters are assumed to be uncertain variables distributed as one of the three commonly used uncertainty distributions, namely linear uncertain variables, zigzag uncertain variables, and normal uncertain variables. In the following experiments, the unit cost for manufacturing a new product with virgin raw materials , the unit cost for manufacturing a new product with recycled raw materials , the unit cost for renewing a second-hand product in good condition , confidence level parameters , and .
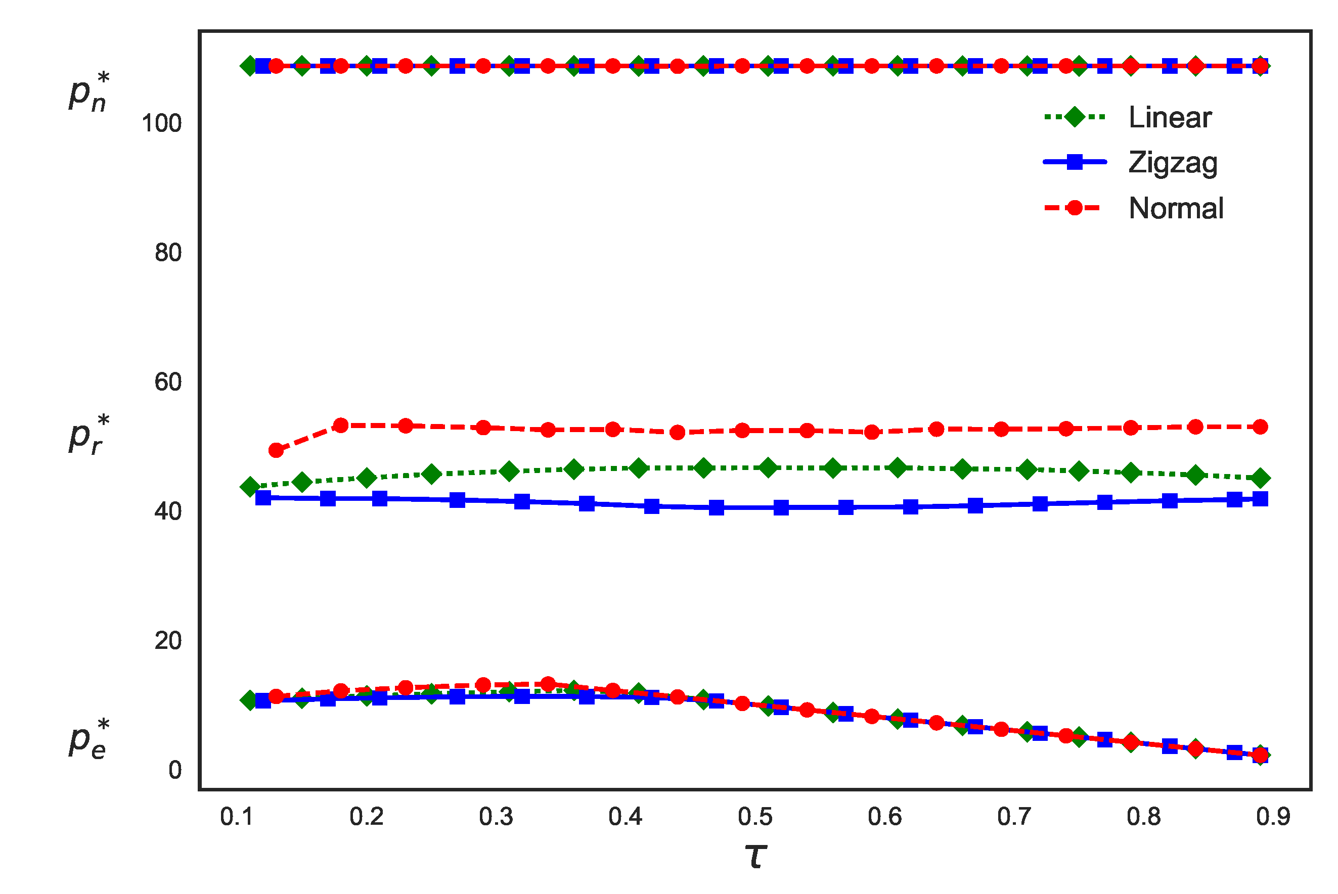
In the first experiment, this paper examines how the uncertainty distribution of the parameters influences the performance of the optimal pricing decisions. The expected value of each uncertain parameter is fixed, and all of the parameters follow the same type of uncertainty distribution. These parameters are assumed to be with a linear uncertainty distribution, zigzag uncertainty distribution, and normal uncertainty distribution, respectively. The distributions of the parameters are shown in Table 2. When parameter , the optimal prices and the expected profits are shown in Table 3. Figure 2 and Figure 3 illustrate the optimal prices and the expected profits as values of parameter vary, respectively.
Table 2.
Distributions of uncertain variables.
Table 3.
The optimal prices and expected profits assuming different uncertainty distributions ().
Figure 2.
Optimal prices for different values of parameter .
Figure 3.
Maximum expected profits for different values of parameter .
Figure 2 shows that the value of is almost a constant for all different values of and different uncertainty distributions. Because there are two different strategies for remanufacturing products, the firm can flexibly trade off the decisions on the prices and , and it is reasonable to maintain the price to gain the optimal profit. It is shown that the value of is also relatively stable. With the parameter increasing, the price of recycling used products first increases and then drops. For the cases where is relatively small, increases as increases. In such situations, the increase of both and can largely raise the number of the products that can be remanufactured as second-hand products, which is the optimal way of maximizing the profit. As the value of exceeds some threshold, the demand of second-hand products will not increase; thus, the firm should decrease to reduce the recycling cost. For the same reason, it can be observed that the total profit first increases and then drops with increasing parameter in Figure 3. This shows that the profit is greater for a medium value of , because the market demand of second-hand products is sufficiently satisfied.
In the second experiment, how uncertainty impacts the optimal prices and the expected profit is examined. These experiments focus on the uncertainty of the three uncertain parameters , , and by varying the uncertain variances of parameters , , and and keeping the expected values unchanged. The optimal pricing decisions and the expected profit for different variances of , , and are shown in Table 4, Table 5 and Table 6. From Table 4 and Table 6, it can be observed that the uncertainty of and has little impact on the results. However, in Table 5, for all cases, the prices and and the expected profit increase as increases. This shows that a high-level environmental protection consciousness of the society benefits the firms who are involved in a closed-loop supply chain.
Table 4.
The optimal prices and expected profits for of different variances ().
Table 5.
The optimal prices and expected profits for of different variances ().
Table 6.
The optimal prices and expected profits for of different variances ().
5. Conclusions and Future Research
This paper addresses the pricing decision problem in recycling and remanufacturing in uncertain environments. The contribution of this paper lies mainly in investigating two strategies of remanufacturing of products according to the quality level of recycled products. Specifically, this paper focuses on the case where not enough samples are available, and the quantities of recycled products and consumer demands are characterized as uncertain variables. An uncertain programming model is proposed by using uncertainty theory; the crisp equivalents for the model under three possible uncertainty distributions are derived from this model. Afterwards, a numerical experiment is performed to show how various parameters influence the results of the proposed model.
This paper points out some directions for future research. First, several assumptions in the model set can be relaxed for further study. For example, by taking into account the other factors that affect the demand of products, the functions of demand can be redefined for generalization. Second, multiple manufacturers and retailers can be considered, the recycling price should be based on different quality levels for the remanufacturing process, and more convenient and multi-channel recycling methods can be studied in future study. Third, we will consider inventory costs and transportation costs in the decision model in the future research on the pricing problem. In addition, future research can also consider the impacts of subsidies and relative policy tools on remanufacturing and pricing strategies.
Author Contributions
Conceptualization, G.Y. and Y.N.; methodology, G.Y.; software, G.Y.; validation, G.Y., Y.N., and X.Y.; formal analysis, G.Y.; investigation, G.Y.; resources, G.Y.; data curation, G.Y.; writing—original draft preparation, G.Y.; writing—review and editing, G.Y. and Y.N.; visualization, G.Y.; supervision, Y.N. and X.Y.; project administration, Y.N.; funding acquisition, Y.N. All authors have read and agreed to the published version of the manuscript.
Funding
This work was supported by National Natural Science Foundation of China (No. 71471038), Program for Huiyuan Distinguished Young Scholars, UIBE (No. 17JQ09), “The Fundamental Research Funds for the Central Universities” in UIBE (No. CXTD10-05).
Conflicts of Interest
The authors declare no conflict of interest.
Appendix A. Uncertainty Theory
In this section, we review some knowledge the in uncertainty theory that is proposed by Liu [31]. Uncertain measure is the concept at the core of uncertainty theory, which is present to describe the belief degree of an uncertain event. Let be a nonempty set and be a -algebra over . Each element in is called an event. Uncertain measure is a set function from to that satisfies the following four axioms:
Axiom 1. (Normality Axiom) for the universal set .
Axiom 2. (Duality Axiom) for any event .
Axiom 3. (Subadditivity Axiom) For every countable sequence of events , we have
Axiom 4. (Product Axiom Liu [32]) Let be uncertainty spaces for ; the product uncertain measure is an uncertain measure satisfying
where are arbitrarily chosen events from for , respectively.
Furthermore, we introduce the concepts of uncertain variables, independence, uncertainty distributions, regular distributions, and expected values.
Definition A1
(Liu [31]). An uncertain variable is a measurable function ξ from an uncertainty space to the set of real numbers, i.e., for any Borel set B of real numbers, the set
is an event.
Definition A2
(Liu [32]). The uncertain variables are said to be independent if
for any Borel sets.
Definition A3
(Liu [31]). The uncertainty distribution Φ of an uncertain variable ξ is defined by
for any real number x.
Definition A4
(Liu [52]). An uncertainty distribution is said to be regular if it is a continuous and strictly increasing function with respect to x at which , and
It is known that the inverse function of a regular uncertainty distribution function exists and is unique for each . In this case, the inverse function is called the inverse uncertainty distribution of .
Definition A5
(Liu [31]). Let ξ be an uncertain variable. The expected value of ξ is defined by
provided that at least one of the above two integrals is finite.
The expected value of an uncertain variable with uncertainty distribution can also be written as
Definition A6
(Liu [31]). Let ξ be an uncertain variable with finite expected e. Then, the variance of ξ is
Lemma A1
(Liu [52]). Let ξ be an uncertain variable with regular distribution Φ. If the expected value exists, then
Example A1.
The uncertainty distribution of a linear uncertain variable is
In addition, the inverse uncertainty distribution is . Thus, the expected value is
the variance is
Example A2.
The uncertainty distribution of a zigzag uncertain variable is
The inverse uncertainty distribution is
Thus, its expected value is
the variance is
Example A3.
The uncertainty distribution of a normal uncertain variable is
The inverse uncertainty distribution is
Thus, its expected value is
the variance is
Lemma A2
(Yang [53]). Let f and g be comonotonic functions. Then, for any uncertain variable ξ, we have
Lemma A3
(Liu and Ha [54]). Assume are independent uncertain variables with regular uncertainty distributions , respectively. If is strictly increasing with respect to and strictly decreasing with respect to , then
has an expected value
Lemma A4
(Liu [32]). Assume the constraint function is strictly increasing with respect to and strictly decreasing with respect to . If are independent uncertain variables with uncertainty distributions , , respectively, then the chance constraint
holds if and only if
References
- Rosa, P.; Terzi, S. Improving end of life vehicle’s management practices: An economic assessment through system dynamics. J. Clean. Prod. 2018, 184, 520–536. [Google Scholar] [CrossRef]
- D’Adamo, I.; Rosa, P.; Terzi, S. Challenges in waste electrical and electronic equipment management: A profitability assessment in three European countries. Sustainability 2016, 8, 633. [Google Scholar] [CrossRef]
- D’Adamo, I. Adopting a Circular Economy: Current Practices and Future Perspectives. Soc. Sci. 2019, 8, 328. [Google Scholar] [CrossRef]
- Ferrer, G.; Swaminathan, J.M. Managing new and remanufactured products. Manag. Sci. 2006, 52, 15–26. [Google Scholar] [CrossRef]
- Savaskan, R.C.; Van Wassenhove, L.N. Reverse channel design: The case of competing retailers. Manag. Sci. 2006, 52, 1–14. [Google Scholar] [CrossRef]
- Jun, H.B.; Cusin, M.; Kiritsis, D.; Xirouchakis, P. A multi-objective evolutionary algorithm for end-of-life product recovery optimization: Turbocharger case study. Int. J. Prod. Res. 2007, 45, 4573–4594. [Google Scholar] [CrossRef]
- Gu, Q.; Ji, J.; Gao, T. Pricing management for a closed-loop supply chain. J. Revenue Pricing Manag. 2008, 7, 45–60. [Google Scholar]
- Wei, J.; Zhao, J. Pricing decisions with retail competition in a fuzzy closed-loop supply chain. Expert Syst. Appl. 2011, 38, 11209–11216. [Google Scholar] [CrossRef]
- Wan, H.D.; Krishna Gonnuru, V. Disassembly planning and sequencing for end-of-life products with RFID enriched information. Robot. Comput. Integr. Manuf. 2013, 29, 112–118. [Google Scholar] [CrossRef]
- Gan, S.S.; Pujawan, I.N.; Suparno; Widodo, B. Pricing decision for new and remanufactured product in a closed-loop supply chain with separate sales-channel. Int. J. Prod. Econ. 2017, 190, 120–132. [Google Scholar] [CrossRef]
- Govindan, K.; Beatriz, J.P.; Sergio, R.; María-Azucena, V.M. Marketing issues for remanufactured products. J. Clean. Prod. 2019, 227, 890–899. [Google Scholar] [CrossRef]
- Zhang, W.; He, Y. Optimal policies for new and green remanufactured short-life-cycle products considering consumer behavior. J. Clean. Prod. 2019, 214, 483–505. [Google Scholar] [CrossRef]
- Souza, G. Remanufacturing in closed-loop supply chains. Prod. Invent. Manag. J. 2009, 45, 56–66. [Google Scholar]
- Lund, R.T.; Hauser, W.M. Remanufacturing—An American perspective. In Proceedings of the International Conference on Responsive Manufacturing—Green Manufacturing, Ningbo, China, 11–13 January 2010; pp. 1–6. [Google Scholar]
- Guide, V.D.R.; Van Wassenhove, L.N. Managing product returns for remanufacturing. Prod. Oper. Manag. 2010, 10, 142–155. [Google Scholar] [CrossRef]
- Shi, J.; Zhang, G.; Sha, J. Optimal production and pricing policy for a closed loop system. Resour. Conserv. Recycl. 2011, 55, 639–647. [Google Scholar] [CrossRef]
- Chen, J.M.; Chang, C.I. Dynamic pricing for new and remanufactured products in a closed-loop supply chain. Int. J. Prod. Econ. 2013, 146, 153–160. [Google Scholar] [CrossRef]
- Gan, S.S.; Pujawan, I.N.; Suparno; Widodo, B. Pricing decision model for new and remanufactured short-life cycle products with time-dependent demand. Oper. Res. Pers. 2015, 2, 1–12. [Google Scholar] [CrossRef]
- Meng, K.; Lou, P.; Peng, X.; Prybutok, V. Multi-objective Optimization Decision-making of Quality Dependent Product Recovery for Sustainability. Int. J. Prod. Econ. 2017, 188, 72–85. [Google Scholar] [CrossRef]
- Bhattacharya, R.; Kaur, A.; Amit, R.K. Price optimization of multi-stage remanufacturing in a closed loop supply chain. J. Clean. Prod. 2018, 186, 943–962. [Google Scholar] [CrossRef]
- Modak, N.M.; Modak, N.; Panda, S.; Sana, S.S. Analyzing structure of two-echelon closed-loop supply chain for pricing, quality and recycling management. J. Clean. Prod. 2018, 171, 512–528. [Google Scholar] [CrossRef]
- Tao, F.; Fan, T.; Jia, X.; Lai, K.K. Optimal production strategy for a manufacturing and remanufacturing system with return policy. Oper. Res. 2019, 1–21. [Google Scholar] [CrossRef]
- Ouhimmoua, M.; Nourelfathb, M.; Bouchardb, M.; Brichab, N. Design of robust distribution network under demand uncertainty: A case study in the pulp and paper. Int. J. Prod. Econ. 2019, 218, 96–105. [Google Scholar] [CrossRef]
- Zhao, S.; Zhu, Q. Remanufacturing supply chain coordination under the stochastic remanufacturability rate and the random demand. Ann. Oper. Res. 2017, 257, 661–695. [Google Scholar] [CrossRef]
- Heydari, J.; Govindan, K.; Sadeghi, R. Reverse supply chain coordination under stochastic remanufacturing capacity. Int. J. Prod. Econ. 2018, 202, 1–11. [Google Scholar] [CrossRef]
- Almaraj, I.I.; Trafalis, T.B. An integrated multi-echelon robust closed- loop supply chain under imperfect quality production. Int. J. Prod. Econ. 2019, 218, 212–227. [Google Scholar] [CrossRef]
- Ren, J.; Chen, X.; Hu, J. The effect of production- versus consumption-based emission tax under demand uncertainty. Int. J. Prod. Econ. 2020, 219, 82–98. [Google Scholar] [CrossRef]
- Zhao, J.; Tanga, W.; Wei, J. Pricing decisions for substitutable products with a common retailer in fuzzy environments. Eur. J. Oper. Res. 2012, 216, 409–419. [Google Scholar] [CrossRef]
- Liu, S.; Xu, Z. Stackelberg game models between two competitive retailers in fuzzy decision environment. Fuzzy Optim. Decis. Mak. 2014, 13, 33–48. [Google Scholar] [CrossRef]
- Wei, J.; Zhao, J. Pricing decisions for substitutable products with horizontal and vertical competition in fuzzy environments. Ann. Oper. Res. 2016, 242, 505–528. [Google Scholar] [CrossRef]
- Liu, B. Uncertainty Theory, 2nd ed.; Springer: Berlin/Heidelberg, Germany, 2007. [Google Scholar]
- Liu, B. Some research problems in uncertainty theory. J. Uncertain. Syst. 2009, 3, 3–10. [Google Scholar]
- Zhou, J.; Yang, F.; Wang, K. Multi-objective optimization in uncertain random environments. Fuzzy Optim. Decis. Mak. 2014, 13, 397–413. [Google Scholar] [CrossRef]
- Ke, H.; Wu, Y.; Huang, H.; Chen, Z. Pricing Decision in a Two-Echelon Supply Chain with Competing Retailers Under Uncertain Environment. J. Uncertain. Anal. Appl. 2017, 5, 5. [Google Scholar] [CrossRef]
- Shen, J.; Kai, Z. Uncertain Supply Chain Problem with Price and Effort. Int. J. Fuzzy Syst. 2018, 20, 1145–1158. [Google Scholar] [CrossRef]
- Gao, Y. Uncertain models for single facility location problems on networks. Appl. Math. Model. 2012, 36, 2592–2599. [Google Scholar] [CrossRef]
- Gao, R.; Ralescu, D.A. Elliptic entropy of uncertain set and its applications. Int. J. Intell. Syst. 2018, 33, 836–857. [Google Scholar] [CrossRef]
- Ke, H. A genetic algorithm-based optimizing approach for project time-cost trade-off with uncertain measure. J. Uncertain. Anal. Appl. 2014, 2, 8. [Google Scholar] [CrossRef]
- Wang, L.; Huang, H.; Ke, H. Chance-constrained model for rcpsp with uncertain durations. J. Uncertain. Anal. Appl. 2015, 3, 1–10. [Google Scholar]
- Ma, W.; Che, Y.; Huang, H.; Ke, H. Resource-constrained project scheduling problem with uncertain durations and renewable resources. Int. J. Mach. Learn. Cybern. 2016, 7, 613–621. [Google Scholar] [CrossRef]
- Ning, Y.; Ke, H.; Fu, Z. Triangular entropy of uncertain variables with application to portfolio selection. Soft Comput. 2015, 19, 2203–2209. [Google Scholar] [CrossRef]
- Ke, H.; Su, T.; Ni, Y. Uncertain random multilevel programming with application to production control problem. Soft Comput. 2015, 19, 1739–1746. [Google Scholar] [CrossRef]
- Chen, L.; Peng, J.; Liu, Z.; Zhao, R. Pricing and effort decisions for a supply chain with uncertain information. Int. J. Prod. Res. 2017, 1, 264–284. [Google Scholar] [CrossRef]
- Charter, M.; Gray, C. Remanufacturing and product design. Int. J. Prod. Dev. 2008, 6, 375–392. [Google Scholar] [CrossRef]
- Lee, H.B.; Cho, N.W.; Hong, Y.S. A hierarchical end-of-life decision model for determining the economic levels of remanufacturing and disassembly under environmental regulations. J. Clean. Prod. 2010, 18, 1276–1283. [Google Scholar] [CrossRef]
- Bulmus, S.C.; Zhu, S.X.; Teunter, R. Competition for cores in remanufacturing. Eur. J. Oper. Res. 2014, 233, 105–113. [Google Scholar] [CrossRef]
- Yoo, S.H.; Kim, B.C. Joint pricing of new and refurbished items: A comparison of closed-loop supply chain models. Int. J. Prod. Econ. 2016, 182, 132–143. [Google Scholar] [CrossRef]
- Ding, S. Uncertain multi-product newsboy problem with chance constraint. Appl. Math. Comput. 2013, 223, 139–146. [Google Scholar] [CrossRef]
- Shi, R.; Zhang, J.; Ru, J. Impacts of power structure on supply chains with uncertain demand. Prod. Oper. Manag. 2013, 22, 1232–1249. [Google Scholar] [CrossRef]
- Bakal, I.S.; Akcali, E. Effects of random yield in remanufacturing with price-sensitive supply and demand. Prod. Oper. Manag 2010, 15, 407–420. [Google Scholar] [CrossRef]
- Liu, B. Uncertainty Theory, 4th ed.; Springer: Berlin/Heidelberg, Germany, 2015. [Google Scholar]
- Liu, B. Uncertainty Theory: A Branch of Mathematics for Modeling Human Uncertainty; Springer: Berlin/Heidelberg, Germany, 2010. [Google Scholar]
- Yang, X. On comonotonic functions of uncertain variables. Fuzzy Optim. Decis. Mak. 2013, 12, 89–98. [Google Scholar] [CrossRef]
- Liu, Y.; Ha, M. Expected value of function of uncertain variables. J. Uncertain. Syst. 2010, 4, 181–186. [Google Scholar]
© 2020 by the authors. Licensee MDPI, Basel, Switzerland. This article is an open access article distributed under the terms and conditions of the Creative Commons Attribution (CC BY) license (http://creativecommons.org/licenses/by/4.0/).


