Anthropogenic Disturbances and Precipitation Affect Karst Sediment Discharge in the Nandong Underground River System in Yunnan, Southwest China
Abstract
1. Introduction
2. Materials and Methods
2.1. Study Region
2.2. Geological Conditions and Soil Properties
2.3. Sediment Discharge Estimations
2.4. Land-Use Change
2.5. Statistical Analysis
2.5.1. Rainfall and Rainfall Erosivity
2.5.2. Variability of Sediment Concentration
2.5.3. Anthropogenic Index
2.5.4. Double Cumulative Curve Method
2.5.5. Correlation Analysis
3. Results
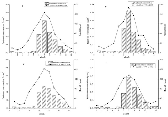
3.1. Sediment Concentration Changes in the NURS between 1998 and 2014
3.2. Variation of Annual Rainfall in the NURS
3.3. The Influence of Human Activities on Sediment Discharge
3.4. Anthropogenic Index and Land-Use Changes
4. Discussion
4.1. Correlation between the Rainfall and Sediment Discharge
4.2. The Influence of Anthropogenic Activities on Sediment Discharge
5. Conclusions
Author Contributions
Funding
Conflicts of Interest
References
- Rodrigo Comino, J.; Iserloh, T.; Morvan, X.; Malam Issa, O.; Naisse, C.; Keesstra, S.D.; Cerdà, A.; Prosdocimi, M.; Arnáez, J.; Lasanta, T.; et al. Soil erosion processes in European vineyards: A qualitative comparison of rainfall simulation measurements in Germany, Spain and France. Hydrology 2016, 3, 6. [Google Scholar] [CrossRef]
- Nearing, M.A.; Xie, Y.; Liu, B.; Ye, Y. Natural and anthropogenic rates of soil erosion. Int. Soil Water Conserv. Res. 2017, 5, 77–84. [Google Scholar] [CrossRef]
- Borrelli, P.; Panagos, P.; Märker, M.; Modugno, S.; Schütt, B. Assessment of the impacts of clear-cutting on soil loss by water erosion in Italian forests: First comprehensive monitoring and modelling approach. Catena 2017, 149, 770–781. [Google Scholar] [CrossRef]
- Parise, M.; Waele, J.D.; Gutierrez, F. Current perspectives on the environmental impacts and hazards in karst. Environ. Geol. 2009, 58, 235–237. [Google Scholar] [CrossRef]
- Martínez-Casasnovas, J.A.; Ramos, M.C.; Benites, G. Soil and Water Assessment Tool Soil Loss Simulation at the Sub-Basin Scale in the Alt Penedès–Anoia Vineyard Region (Ne Spain) in the 2000s. Land Degrad. Dev. 2013, 27, 160–170. [Google Scholar] [CrossRef]
- Rodrigo-Comino, J.; Giménez-Morera, A.; Panagos, P.; Pourghasemi, H.R.; Pulido, M.; Cerdà, A. The potential of straw mulch as a nature-based solution for soil erosion in olive plantation treated with glyphosate: A biophysical and socioeconomic assessment. Land Degrad. Dev. 2019, in press. [Google Scholar] [CrossRef]
- Cerdà, A.; Rodrigo-Comino, J.; Giménez-Morera, A.; Novara, A.; Pulido, M.; Kapović-Solomun, M.; Keesstra, S.D. Policies can help to apply successful strategies to control soil and water losses. The case of chipped pruned branches (CPB) in Mediterranean citrus plantations. Land Use Policy 2018, 75, 734–745. [Google Scholar]
- Rickson, R.J. Can control of soil erosion mitigate water pollution by sediments? Sci. Total Environ. 2014, 468–469, 1187–1197. [Google Scholar] [CrossRef]
- Cai, Q.; Liu, J. Evolution of Soil Erosion Models in China. Prog. Geogr. 2003, 22, 242–250. [Google Scholar]
- Ligonja, P.J.; Shrestha, R.P. Soil Erosion Assessment in Kondoa Eroded Area in Tanzania using Universal Soil Loss Equation, Geographic Information Systems and Socioeconomic Approach. Land Degrad. Dev. 2015, 26, 367–379. [Google Scholar] [CrossRef]
- Visser, S.; Keesstra, S.; Maas, G.; de Cleen, M.; Molenaar, C. Soil as a Basis to Create Enabling Conditions for Transitions Towards Sustainable Land Management as a Key to Achieve the SDGs by 2030. Sustainability 2019, 11, 6792. [Google Scholar] [CrossRef]
- Jiang, Z.; Lian, Y.; Qin, X. Rocky Desertification in Southwest China: Impacts, Causes, and Restoration. Earth Sci. Rev. 2014, 132, 1–12. [Google Scholar] [CrossRef]
- Zhao, L.; Hou, R. Human causes of soil loss in rural karst environments: A case study of Guizhou, China. Sci. Rep. 2019, 9, 1–11. [Google Scholar] [CrossRef]
- Yuan, D. On the karst environmental system. Carsologica Sin. 1988, 7, 179–186. [Google Scholar]
- Lucke, B.; Kemnitz, H.; Bäumler, R.; Schmidt, M. Red Mediterranean Soils in Jordan: New insights in their origin, genesis, and role as environmental archives. Catena 2014, 112, 4–24. [Google Scholar] [CrossRef]
- Dai, Q.; Peng, X.; Wang, P.; Li, C.; Shao, H. Surface erosion and underground leakage of yellow soil on slopes in karst regions of southwest China. Land Degrad. Dev. 2018, 29, 2438–2448. [Google Scholar] [CrossRef]
- Liu, M.; Xu, X.; Sun, A.Y.; Wang, K.; Liu, W.; Zhang, X. Is southwestern China experiencing more frequent precipitation extremes? Environ. Res. Lett. 2014, 9, 064002. [Google Scholar] [CrossRef]
- Wang, J.; Zou, B.; Liu, Y.; Tang, Y.; Zhang, X.; Yang, P. Erosion-creep-collapse mechanism of underground soil loss for the karst rocky desertification in Chenqi village, Puding county, Guizhou, China. Environ. Earth Sci. 2014, 72, 2751–2764. [Google Scholar] [CrossRef]
- Wang, S.; Li, Y. Problems and development trends about researches on karst rocky desertification. Adv. Earth Sci. 2007, 22, 573–582. [Google Scholar]
- Kang, Y.; Liang, B. Hydrogeological characteristics of Nandong underground river system in Kaiyuan, Yunnan province. Hydrogeol. Eng. Geol. 1996, 28–30. [Google Scholar]
- Zhu, C.; Li, Y. Long-Term Hydrological Impacts of Land Use/Land Cover Change From 1984 to 2010 in the Little River Watershed, Tennessee. Int. Soil Water Conserv. Res. 2014, 2, 11–21. [Google Scholar] [CrossRef]
- Ling, Z.; Zhuotong, N.; Yi, X.; Shuo, L.; Maite, D. Hydrological Impacts of Land Use Change and Climate Variability in the Headwater Region of the Heihe River Basin, Northwest China. PLoS ONE 2016, 11, e0158394. [Google Scholar]
- Barnett, T.P.; Pierce, D.W.; Hidalgo, H.G.; Bonfils, C.; Santer, B.D.; Das, T.; Bala, G.; Wood, A.W.; Nozawa, T.; Mirin, A.A.; et al. Human-Induced Changes in the Hydrology of the Western United States. Science 2008, 319, 1080–1083. [Google Scholar] [CrossRef] [PubMed]
- Xu, Y.Q.; Shao, X.-M.; Kong, X.-B.; Peng, J.; Cai, Y.-L. Adapting the RUSLE and GIS to model soil erosion risk in a mountains karst watershed, Guizhou Province, China. Environ. Monit. Assess. 2008, 141, 275–286. [Google Scholar]
- Zeng, C.; Wang, S.; Bai, X.; Li, Y.; Tian, Y.; Li, Y.; Wu, L.; Luo, G. Soil erosion evolution and spatial correlation analysis in a typical karst geomorphology, using RUSLE with GIS. Solid Earth 2017, 8, 1–26. [Google Scholar] [CrossRef]
- Gan, F.; Han, K.; Lan, F.; Chen, Y.; Zhang, W. Multi-geophysical approaches to detect karst channels underground—A case study in Mengzi of Yunnan Province, China. J. Appl. Geophys. 2017, 136, 91–98. [Google Scholar] [CrossRef]
- Ma, Z. Preliminary study on the geomorphology and its evolution of Nandong River Basin, Yunnan province. Carsologica Sin. 1993, 12, 92–102. [Google Scholar]
- Jiang, Y. Sources of sulfur in the Nandong underground river system, southwest China: A chemical and isotopic reconnaissance. Appl. Geochem. 2012, 27. [Google Scholar] [CrossRef]
- Huang, X.; Li, H.; Jin, B. Hydrology; Higher Education Press: Beijing, China, 2003. [Google Scholar]
- Zhang, W.; Fu, J. Rainfall erosivity estimation under different rainfall amount. Resour. Sci. 2002, 25, 35–41. [Google Scholar]
- Li, Z.; Xu, X.; Yu, B.; Xu, C.; Liu, M.; Wang, K. Quantifying the impacts of climate and human activities on water and sediment discharge in a karst region of southwest China. J. Hydrol. 2016, 542, 836–849. [Google Scholar] [CrossRef]
- Martin, H.; Alena, P.; Jan, K. Trends in characteristics of sub-daily heavy precipitation and rainfall erosivity in the Czech Republic. Intern. J. Climatol. 2016, 1833–1845. [Google Scholar]
- Walter, H.W.; Dwight, D.S. Rainfall energy and its relationship to soil loss. Trans. Am. Gephys. Union 1958, 39, 285–291. [Google Scholar]
- Wei, J.; He, X. The impacts of human activities on riverine sediment load: A case study of the Upper Yangtze River Basin. Geogr. Res. 2012, 31, 2259–2269. [Google Scholar]
- Hu, C.; Wang, Y.; Guan, J.; Shi, Z. The causes of runoff variation based on double cumulative curve analysis method. J. Water Resour. Res. 2012, 1, 204–210. [Google Scholar] [CrossRef]
- Dai, Q.; Peng, X.; Zhao, L.; Shao, H.; Zhi, Y. Effects of Underground Pore Fissures on Soil Erosion and Sediment Yield on Karst Slopes: Soil Erosion and Sediment on Karst Slopes. Land Degrad. Dev. 2017, 7, 1922–1932. [Google Scholar]
- Lin, Y.; Qu, P.; Lv, H.; Wu, Y. Variation characteristics of typical karst springs in the eastern margin of the Taihang Mountains. Carsologica Sin. 2018, 37, 671–679. [Google Scholar]
- Zhao, Y.; Yi, Y.; Qin, X.; Hong, T.; Cheng, R.; Lan, F. Tracer tests on distribution and structural characteristics of karst channels in Nandong underground river drainage. Carsologica Sin. 2017, 2, 226–233. [Google Scholar]
- Yang, S.; Zhao, Q.; Belkin, I.M. Temporal variation in the sediment load of the Yangtze River and the influences of human activities. J. Hydrol. 2002, 263, 56–71. [Google Scholar] [CrossRef]
- Xin, Z.B.; Xu, J.; Zheng, W. Spatiotemporal variations of vegetation cover on the Chinese Loess Plateau(1981–2006):Impacts of climate changes and human activities. Sci. China 2009, 69–80. [Google Scholar] [CrossRef]
- Pirastru, M.; Niedda, M.; Castellini, M. Effects of maquis clearing on the properties of the soil and on the near-surface hydrological processes in a semi-arid Mediterranean environment. J. Agric. Eng. 2014, 45, 176. [Google Scholar] [CrossRef]
- Sardans, J.; Peñuelas, J. Plant-soil interactions in Mediterranean forest and shrublands: Impacts of climatic change. Plant Soil 2013, 365, 1–33. [Google Scholar] [CrossRef]
- Guo, Q.; Yang, Y.; Su, N.; Li, J.; Wang, X. Impact assessment of climate change and human activities on runoff variation in coal mining watershed, NW China. Water Resour 2019, 46, 871–882. [Google Scholar]
- Andriani, G.F.; Walsh, N. An example of the effects of anthropogenic changes on natural environment in the Apulian karst (southern Italy). Environ. Geol. 2008, 58, 313–325. [Google Scholar] [CrossRef]
- Xu, J.X.; Sun, J. Sediment yield in major sediment source areas of the upper Changjiang River basin in response to human activities. Sci. Geogr. Sin. 2007, 27, 211–218. [Google Scholar]
- Ford, D.; Williams, P. Karst Hydrogeology and Geomorphology; John Wiley & Sons Ltd.: Hoboken, NJ, USA, 2007. [Google Scholar]
- Zeng, F.; Jiang, Z.; Shen, L.; Chen, W.; Yang, Q.; Zhang, C. Assessment of multiple and interacting modes of soil loss in the karst critical zone, Southwest China (SWC). Geomorphology 2018, 322, 97–106. [Google Scholar] [CrossRef]
- Chen, H.; Yang, J.; Fu, W.; He, F.; Wang, K. Characteristics of slope runoff and sediment yield on karst hill-slope with different land-use types in northwest Guangxi. Trans. Chin. Soc. Agric. Eng. 2012, 28, 121–126. [Google Scholar]









| Period | Pre-Intersection Year | Post-Intersection Year | ||||
|---|---|---|---|---|---|---|
| Sediment Discharge (×106 t) | Rainfall Erosivity (MJ·mm·hm−2·h−1·y−1) | Anthropogenic Index | Sediment Discharge (×106 t) | Rainfall Erosivity (MJ·mm·hm−2·h−1·y−1) | Anthropogenic Index | |
| 1998–2003 | 8.83 | 3405.19 | 25.92 | 1.66 | 2168.34 | 7.67 |
| 2004–2008 | 2.41 | 2395.93 | 10.07 | 6.02 | 3126.53 | 19.27 |
| 2009–2014 | 5.30 | 1789.90 | 29.59 | 1.37 | 1449.26 | 21.05 |
| Cultivated Land | Forestland | Grassland | Waterbody | Residential and Construction Land | |
|---|---|---|---|---|---|
| 1995 | 478.3 | 447.3 | 615.3 | 41 | 45.2 |
| 2005 | 466.9 | 447.3 | 615.3 | 41 | 56.6 |
| 2015 | 461.4 | 443.9 | 605.8 | 41.3 | 74.7 |
© 2020 by the authors. Licensee MDPI, Basel, Switzerland. This article is an open access article distributed under the terms and conditions of the Creative Commons Attribution (CC BY) license (http://creativecommons.org/licenses/by/4.0/).
Share and Cite
Li, Y.; Jiang, Z.; Chen, Z.; Yu, Y.; Lan, F.; Shan, Z.; Sun, Y.; Liu, P.; Tang, X.; Rodrigo-Comino, J. Anthropogenic Disturbances and Precipitation Affect Karst Sediment Discharge in the Nandong Underground River System in Yunnan, Southwest China. Sustainability 2020, 12, 3006. https://doi.org/10.3390/su12073006
Li Y, Jiang Z, Chen Z, Yu Y, Lan F, Shan Z, Sun Y, Liu P, Tang X, Rodrigo-Comino J. Anthropogenic Disturbances and Precipitation Affect Karst Sediment Discharge in the Nandong Underground River System in Yunnan, Southwest China. Sustainability. 2020; 12(7):3006. https://doi.org/10.3390/su12073006
Chicago/Turabian StyleLi, Yanqing, Zhongcheng Jiang, Zhihua Chen, Yang Yu, Funing Lan, Zhijie Shan, Yingjie Sun, Peng Liu, Xiaobo Tang, and Jesús Rodrigo-Comino. 2020. "Anthropogenic Disturbances and Precipitation Affect Karst Sediment Discharge in the Nandong Underground River System in Yunnan, Southwest China" Sustainability 12, no. 7: 3006. https://doi.org/10.3390/su12073006
APA StyleLi, Y., Jiang, Z., Chen, Z., Yu, Y., Lan, F., Shan, Z., Sun, Y., Liu, P., Tang, X., & Rodrigo-Comino, J. (2020). Anthropogenic Disturbances and Precipitation Affect Karst Sediment Discharge in the Nandong Underground River System in Yunnan, Southwest China. Sustainability, 12(7), 3006. https://doi.org/10.3390/su12073006

