Slope Stability Analysis of Unsaturated Soil Slopes Based on the Site-Specific Characteristics: A Case Study of Hwangryeong Mountain, Busan, Korea
Abstract
1. Introduction
2. Study Area and Observation Devices
3. Materials and Methods
3.1. Rainfall Infiltration Analysis
3.1.1. Unsaturated Flow
3.1.2. Balance of Momentum
3.1.3. Coupled Hydro-Mechanical Analysis
3.2. Slope Stability Analysis
3.3. Material Properties
3.4. Slope Geometry and Boundary and Initial Conditions
4. Results and Discussion
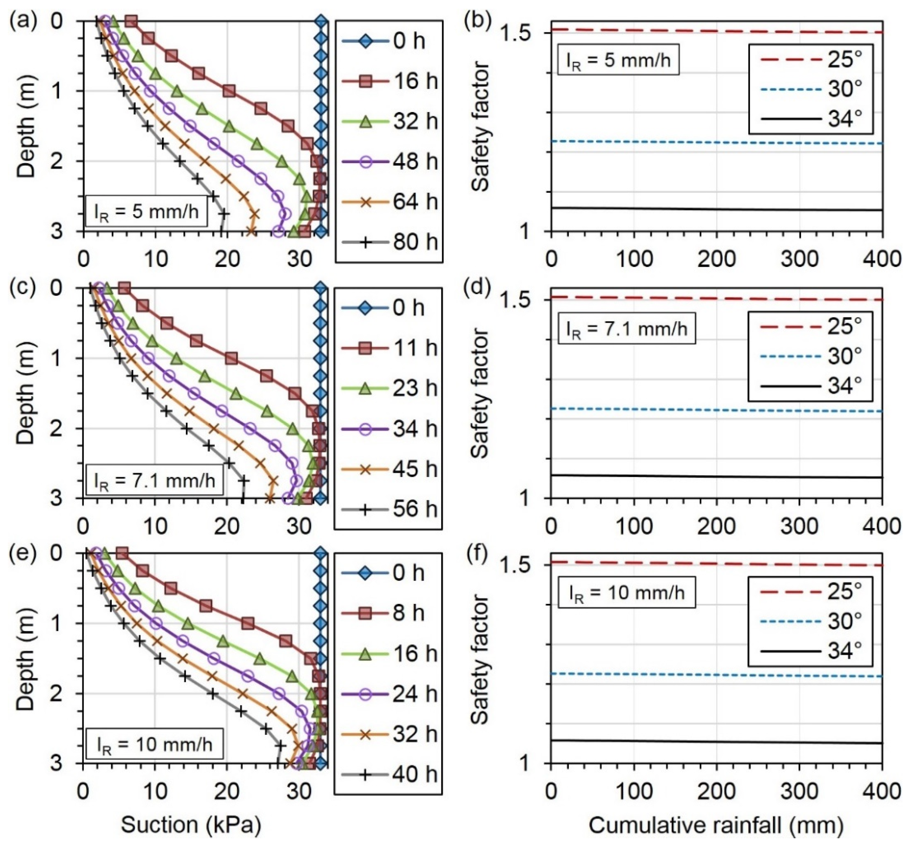
4.1. Site-Specific Rainfall Infiltration Analysis
4.2. Slope Stability Assessment
5. Conclusions
Author Contributions
Funding
Acknowledgments
Conflicts of Interest
References
- Haque, U.; da Silva, P.F.; Devoli, G.; Pilz, J.; Zhao, B.; Khaloua, A.; Wilopo, W.; Andersen, P.; Lu, P.; Lee, J.; et al. The human cost of global warming: Deadly landslides and their triggers (1995–2014). Sci. Total Environ. 2019, 682, 673–684. [Google Scholar] [CrossRef] [PubMed]
- Kang, S.; Lee, S.-R.; Vasu, N.N.; Park, J.-Y.; Lee, D.-H. Development of an initiation criterion for debris flows based on local topographic properties and applicability assessment at a regional scale. Eng. Geol. 2017, 230, 64–76. [Google Scholar] [CrossRef]
- Lee, K.T.; Ho, J.-Y. Prediction of landslide occurrence based on slope-instability analysis and hydrological model simulation. J. Hydrol. 2009, 375, 489–497. [Google Scholar] [CrossRef]
- Cho, S.E. Study on the characteristics of infinite slope failures by probabilistic seepage analysis. J. Korean Geotech. Soc. 2014, 30, 5–18. [Google Scholar] [CrossRef]
- Yeh, H.F.; Lee, C.H.; Lee, C.C. A rainfall–infiltration model for unsaturated soil slope stability. Sustain. Environ. Res. 2008, 18, 271–278. [Google Scholar]
- Bordoni, M.; Meisina, C.; Valentino, R.; Bittelli, M.; Chersich, S. Site-specific to local-scale shallow landslides triggering zones assessment using TRIGRS. Nat. Hazards Earth Syst. Sci. 2015, 15, 1025–1050. [Google Scholar] [CrossRef]
- Oh, S.; Kim, Y.K.; Kim, J.-W. A Modified van Genuchten-Mualem Model of Hydraulic Conductivity in Korean Residual Soils. Water 2015, 7, 5487–5502. [Google Scholar] [CrossRef]
- Zhang, G.R.; Qian, Y.J.; Wang, Z.C.; Zhao, B. Analysis of Rainfall Infiltration Law in Unsaturated Soil Slope. Sci. World J. 2014, 2014, 567250. [Google Scholar] [CrossRef]
- Campbell, J.D. Pore Pressures and Volume Changes in Unsaturated Soils. Ph.D. Thesis, University of Illinois at Urbana–Champaign, Urbana, IL, USA, 1973. [Google Scholar]
- Fredlund, D.G.; Xing, A.; Huang, S. Predicting the permeability function for unsaturated soils using the soil-water characteristic curve. Can. Geotech. J. 1994, 31, 533–546. [Google Scholar] [CrossRef]
- Kunze, R.J.; Uehara, G.; Graham, K. Factors Important in the Calculation of Hydraulic Conductivity1. Soil Sci. Soc. Am. J. 1968, 32, 760–765. [Google Scholar] [CrossRef]
- Mao, W.; Yang, J.; Zhu, Y.; Ye, M.; Liu, Z.; Wu, J. An efficient soil water balance model based on hybrid numerical and statistical methods. J. Hydrol. 2018, 559, 721–735. [Google Scholar] [CrossRef]
- Mualem, Y. A new model for predicting the hydraulic conductivity of unsaturated porous media. Water Resour. Res. 1976, 12, 513–522. [Google Scholar] [CrossRef]
- Van Genuchten, M.T. A closed-form equation for predicting the hydraulic conductivity of unsaturated soils. Soil Sci. Soc. Am. J. 1980, 44, 892–898. [Google Scholar] [CrossRef]
- Hu, R.; Chen, Y.-F.; Liu, H.-H.; Zhou, C.-B. A coupled two-phase fluid flow and elastoplastic deformation model for unsaturated soils: Theory, implementation, and application. Int. J. Numer. Anal. Methods Geomech. 2016, 40, 1023–1058. [Google Scholar] [CrossRef]
- Richards, L.A. Capillary conduction of liquids through porous mediums. Physics 1931, 1, 318–333. [Google Scholar] [CrossRef]
- Ng, C.W.W.; Shi, Q. A numerical investigation of the stability of unsaturated soil slopes subjected to transient seepage. Comput. Geotech. 1998, 22, 1–28. [Google Scholar] [CrossRef]
- Borja, R.I.; White, J.A. Continuum deformation and stability analyses of a steep hillside slope under rainfall infiltration. Acta Geotech. 2010, 5, 1–14. [Google Scholar] [CrossRef]
- Borja, R.I.; White, J.A.; Liu, X.; Wu, W. Factor of safety in a partially saturated slope inferred from hydro–mechanical continuum modeling. Int. J. Numer. Anal. Methods Geomech. 2012, 36, 236–248. [Google Scholar] [CrossRef]
- Cho, S.E.; Lee, S.R. Instability of unsaturated soil slopes due to infiltration. Comput. Geotech. 2001, 28, 185–208. [Google Scholar] [CrossRef]
- Sun, D.M.; Zang, Y.G.; Semprich, S. Effects of airflow induced by rainfall infiltration on unsaturated soil slope stability. Transp. Porous Media 2015, 107, 821–841. [Google Scholar] [CrossRef]
- Zhang, X.Y.; Zhu, Y.M.; Fang, C.H. The role for air flow in soil slope stability analysis. J. Hydrodyn. 2009, 21, 640–646. [Google Scholar] [CrossRef]
- Chen, H.-E.; Tsai, T.-L.; Yang, J.-C. Threshold of Slope Instability Induced by Rainfall and Lateral Flow. Water 2017, 9, 722. [Google Scholar] [CrossRef]
- Cho, S.E. Stability analysis of unsaturated soil slopes considering water–air flow caused by rainfall infiltration. Eng. Geol. 2016, 211, 184–197. [Google Scholar] [CrossRef]
- Jeong, S.; Lee, K.; Kim, J.; Kim, Y. Analysis of Rainfall-Induced Landslide on Unsaturated Soil Slopes. Sustainability 2017, 9, 1280. [Google Scholar] [CrossRef]
- Touma, J.; Vauclin, M. Experimental and Numerical Analysis of Two Phase Infiltration in a Partially Saturated Soil. Transp. Porous Media 1986, 1, 27–55. [Google Scholar] [CrossRef]
- Wu, L.Z.; Selvadurai, A.P.S. Rainfall infiltration-induced groundwater table rise in an unsaturated porous medium. Environ. Earth Sci. 2016, 75, 135. [Google Scholar] [CrossRef]
- Lu, N.; Likos, W.J. Suction Stress Characteristic Curve for Unsaturated Soil. J. Geotech. Geoenviron. Eng. 2006, 132, 131–142. [Google Scholar] [CrossRef]
- Hu, R.; Chen, Y.; Zhou, C. Modeling of coupled deformation, water flow and gas transport in soil slopes subjected to rain infiltration. Sci. China Technol. Sci. 2011, 54, 2561. [Google Scholar] [CrossRef]
- Ebel, B.A.; Loague, K.; Borja, R.I. The impacts of hysteresis on variably saturated hydrologic response and slope failure. Environ. Earth Sci. 2010, 61, 1215–1225. [Google Scholar] [CrossRef]
- Tsai, T.-L. Influences of soil water characteristic curve on rainfall-induced shallow landslides. Environ. Earth Sci. 2011, 64, 449–459. [Google Scholar] [CrossRef]
- Yang, K.-H.; Uzuoka, R.; Lin, G.-L.; Nakai, Y. Coupled hydro-mechanical analysis of two unstable unsaturated slopes subject to rainfall infiltration. Eng. Geol. 2017, 216, 13–30. [Google Scholar] [CrossRef]
- Ma, K.-C.; Tan, Y.-C.; Chen, C.-H. The influence of water retention curve hysteresis on the stability of unsaturated soil slopes. Hydrol. Process. 2011, 25, 3563–3574. [Google Scholar] [CrossRef]
- Ministry of Science ICT and Future Planning. Core Technology Development of Real-Time Prediction and Counterplan for Extreme Rainfall-Induced Landslide Disaster; Ministry of Science ICT and Future Planning: Sejong, Korea, 2016; p. 179.
- Itasca. User’s Manual: Fluid–Mechanical Interaction, FLAC 7.0; Itasca Consulting Group, Inc.: Minneapolis, MN, USA, 2011. [Google Scholar]
- Davies, O. Numerical Analysis of the Effects of Climate Change on Slope Stability. Ph.D. Thesis, Newcastle University, Newcastle, UK, 2011. [Google Scholar]
- Lenhard, R.J.; Parker, J.C. A model for hysteretic constitutive relations governing multiphase flow: 2. Permeability-saturation relations. Water Resour. Res. 1987, 23, 2197–2206. [Google Scholar] [CrossRef]
- Hu, R.; Hong, J.-M.; Chen, Y.-F.; Zhou, C.-B. Hydraulic hysteresis effects on the coupled flow–deformation processes in unsaturated soils: Numerical formulation and slope stability analysis. Appl. Math. Model. 2018, 54, 221–245. [Google Scholar] [CrossRef]
- Vogel, T.; van Genuchten, M.T.; Cislerova, M. Effect of the shape of the soil hydraulic functions near saturation on variably-saturated flow predictions. Adv. Water Resour. 2000, 24, 133–144. [Google Scholar] [CrossRef]
- Ippisch, O.; Vogel, H.J.; Bastian, P. Validity limits for the van Genuchten–Mualem model and implications for parameter estimation and numerical simulation. Adv. Water Resour. 2006, 29, 1780–1789. [Google Scholar] [CrossRef]
- Schaap, M.G.; van Genuchten, M.T. A Modified Mualem–van Genuchten Formulation for Improved Description of the Hydraulic Conductivity Near Saturation. Vadose Zone J. 2006, 5, 27–34. [Google Scholar] [CrossRef]
- Bishop, A.W. The principle of effective stress. Tek. Ukebl. 1959, 106, 859–863. [Google Scholar]
- Chateau, X.; Dormieux, L. Micromechanics of Unsaturated Porous Media. In IUTAM Symposium on Theoretical and Numerical Methods in Continuum Mechanics of Porous Materials. Solid Mechanics and Its Applications; Ehlers, W., Ed.; Springer: Dordrecht, The Netherlands, 2001; Volume 87, pp. 125–130. [Google Scholar]
- Chateau, X.; Dormieux, L. Micromechanics of saturated and unsaturated porous media. Int. J. Numer. Anal. Methods Geomech. 2002, 26, 831–844. [Google Scholar] [CrossRef]
- Zhang, L.; Wu, F.; Zheng, Y.; Chen, L.; Zhang, J.; Li, X. Probabilistic calibration of a coupled hydro-mechanical slope stability model with integration of multiple observations. Georisk Assess. Manag. Eng. Syst. Geohazards 2018, 12, 169–182. [Google Scholar] [CrossRef]
- Chapuis, R.P.; Aubertin, M. On the use of the Kozeny–Carman equation to predict the hydraulic conductivity of soils. Can. Geotech. J. 2003, 40, 616–628. [Google Scholar] [CrossRef]
- Cho, S.E. Stability analysis of unsaturated soil slope by coupled hydro-mechanical model considering air flow. J. Korean Geotech. Soc. 2016, 32, 19–33, (In Korean with English abstract). [Google Scholar] [CrossRef][Green Version]
- Kim, Y.; Jeong, S.; Kim, J. Coupled infiltration model of unsaturated porous media for steady rainfall. Soils Found. 2016, 56, 1071–1081. [Google Scholar] [CrossRef]
- Kim, J.; Hwang, W.; Kim, Y. Effects of hysteresis on hydro-mechanical behavior of unsaturated soil. Eng. Geol. 2018, 245, 1–9. [Google Scholar] [CrossRef]
- Kang, S.; Cho, S.E.; Kim, B.; Go, G.H. Effects of Two-Phase Flow of Water and Air on Shallow Slope Failures Induced by Rainfall: Insights from Slope Stability Assessment at a Regional Scale. Water 2020, 12, 812. [Google Scholar] [CrossRef]
- Kim, K.S.; Lee, M.S.; Cho, Y.C.; Chae, B.G.; Lee, C.O. Engineering Characteristics of Soil Slopes Dependent on Geology: Hwangryeong Mt. District, Busan. J. Eng. Geol. 2004, 14, 487–498. [Google Scholar]
- Fredlund, D.G.; Rahardjo, H. Soil Mechanics for Unsaturated Soils; John Wiley & Sons, Inc.: Hoboken, NJ, USA, 1993. [Google Scholar]
- La, W.J.; Choi, J.C.; Kim, K.S.; Cho, Y.C. Study on Analysis for the Slope Monitoring Performance at the Whangryeong Mountain Site. J. Eng. Geol. 2004, 14, 429–442. [Google Scholar]
- Bordoni, M.; Meisina, C.; Valentino, R.; Lu, N.; Bittelli, M.; Chersich, S. Hydrological factors affecting rainfall-induced shallow landslides: From the field monitoring to a simplified slope stability analysis. Eng. Geol. 2015, 193, 19–37. [Google Scholar] [CrossRef]
- Shao, W.; Bogaard, T.; Bakker, M.; Berti, M. The influence of preferential flow on pressure propagation and landslide triggering of the Rocca Pitigliana landslide. J. Hydrol. 2016, 543, 360–372. [Google Scholar] [CrossRef]
- Smethurst, J.A.; Briggs, K.M.; Powrie, W.; Ridley, A.; Butcher, D.J.E. Mechanical and hydrological impacts of tree removal on a clay fill railway embankment. Géotechnique 2015, 65, 869–882. [Google Scholar] [CrossRef]
- Kim, J.M.; Choi, J.C. Study on Landslide Hazard Possibility for Mt. Hwangryeong in Busan Metropolitan City Using the Infinite Slope Model. J. Eng. Geol. 2016, 26, 413–422. [Google Scholar]











| Parameter | Value | |
|---|---|---|
| Dry density of soil, | 1250 kg/m3 | |
| Initial porosity, no | 0.46 | |
| Soil classification (USCS) | SP–SM | |
| Cohesion, | 0.1 × 103 Pa | |
| Friction angle, | 33° | |
| Dilation angle, | 0° | |
| Bulk modulus, K | 33.3 × 106 Pa | |
| Shear modulus, G | 11.1 × 106 Pa | |
| Hydraulic conductivity, ks | 1.97 × 10−6 m/s | |
| Soil-water characteristics (wetting) | Residual saturation, Sr | 0 |
| P0 | 3000 Pa | |
| van Genuchten parameter, a | 0.52 | |
| Constant in relative permeability for water, b | 0.5 | |
| Constant in relative permeability for air, c | 0.5 | |
| Viscosity ratio, | 56 | |
| Water density, | 1000 kg/m3 | |
| Air density, | 1.25 kg/m3 | |
| Bulk modulus of water, Kw | 2 × 109 Pa | |
| Bulk modulus of air, Ka | 1 × 105 Pa | |
| Fluid Flow Model | Relative Permeability Model | Mean | Standard Deviation | ||
|---|---|---|---|---|---|
| Depth = 0.5 m | Depth = 1.0 m | Depth = 0.5 m | Depth = 1.0 m | ||
| sp-flow | vG–M | −0.224 | −0.164 | 0.409 | 0.115 |
| mvG–M | 0.037 | −0.071 | 0.057 | 0.027 | |
| Kr–sp–FLAC | 0.041 | −0.055 | 0.065 | 0.11 | |
| CHM | vG–M | −0.223 | −0.164 | 0.41 | 0.114 |
| mvG–M | 0.03 | −0.068 | 0.055 | 0.026 | |
| Kr–sp–FLAC | 0.036 | −0.063 | 0.061 | 0.1 | |
© 2020 by the authors. Licensee MDPI, Basel, Switzerland. This article is an open access article distributed under the terms and conditions of the Creative Commons Attribution (CC BY) license (http://creativecommons.org/licenses/by/4.0/).
Share and Cite
Kang, S.; Lee, S.-R.; Cho, S.-E. Slope Stability Analysis of Unsaturated Soil Slopes Based on the Site-Specific Characteristics: A Case Study of Hwangryeong Mountain, Busan, Korea. Sustainability 2020, 12, 2839. https://doi.org/10.3390/su12072839
Kang S, Lee S-R, Cho S-E. Slope Stability Analysis of Unsaturated Soil Slopes Based on the Site-Specific Characteristics: A Case Study of Hwangryeong Mountain, Busan, Korea. Sustainability. 2020; 12(7):2839. https://doi.org/10.3390/su12072839
Chicago/Turabian StyleKang, Sinhang, Seung-Rae Lee, and Sung-Eun Cho. 2020. "Slope Stability Analysis of Unsaturated Soil Slopes Based on the Site-Specific Characteristics: A Case Study of Hwangryeong Mountain, Busan, Korea" Sustainability 12, no. 7: 2839. https://doi.org/10.3390/su12072839
APA StyleKang, S., Lee, S.-R., & Cho, S.-E. (2020). Slope Stability Analysis of Unsaturated Soil Slopes Based on the Site-Specific Characteristics: A Case Study of Hwangryeong Mountain, Busan, Korea. Sustainability, 12(7), 2839. https://doi.org/10.3390/su12072839

