Analysis of the Passenger Flow Transfer Capacity of a Bus-Subway Transfer Hub in an Urban Multi-Mode Transportation Network
Abstract
1. Introduction
2. Literature Review
2.1. Multi-Mode Traffic Network Mode Characteristics
2.2. Multi-Mode Transportation Network
2.3. Transportation Hub
2.4. Multi-Mode Network Segment Impedance Function
3. Establishment of Topological Structure
3.1. Travel Characteristics of Urban Multi-Mode Traffic Network
3.1.1. Analysis of Single Trip Characteristics
3.1.2. Analysis of Combined Travel Characteristics
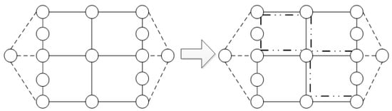
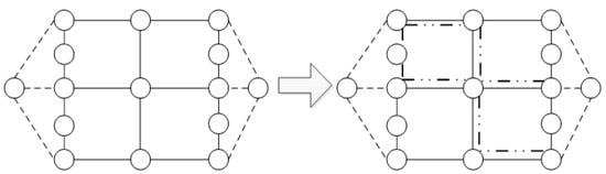
3.2. Network Construction Method of Net and Offline Network
3.3. Subnetwork Construction Method of Cars
3.4. Regular Construction Method of Bus Subnetwork
3.5. Subway Subnetwork Construction Method
4. Urban Multimode Traffic Network Impedance Function
4.1. Connection Network Section Impedance Function
4.2. Car Network
4.2.1. Travel Time
4.2.2. Monetary Fees
4.2.3. Comfort Loss
4.3. Regular Bus Network
4.3.1. Travel Time
4.3.2. Monetary Cost
4.3.3. Comfort Loss
4.4. The Subway Network
4.4.1. Travel Time
4.4.2. Monetary Cost
4.5. Internal Transfer Section Impedance Function
4.5.1. Time Fee
4.5.2. Monetary Cost
4.5.3. Transfer Penalty Cost
5. Multi-Mode Traffic Allocation Model and Algorithm Based on SUE
5.1. Solution Algorithm
5.2. Case Study
5.2.1. Identify Research Objects
5.2.2. Build the Topological Structure of Urban Network
5.2.3. Urban Multimode Network Segment Impedance
5.2.4. Urban Multi-Mode Traffic Network Section Flow Distribution
- (1)
- 23 people choose the regular bus mode. The proportion of conventional public transfer only accounts for 0.33%. Long commute travelers are less preferable with such mode;
- (2)
- Car travel enjoys the highest proportion of all travel modes, which occupies 66.89%. In long-distance commuting, travelers are relatively comfortable and preferable for cars;
- (3)
- The ratio of public transportation to car travel is about 3:7. Though there are relatively few expressways and trunk roads available for urban road networks, cars are still the main mode of commuting.
5.3. Phrase Summary
6. Analysis of Passenger Flow Guidance Ability of Conventional Bus-and-Subway Transfer Hub
6.1. Analysis on the Impact of Transfer Walking Time
6.2. Analysis on the Impact of Transfer Penalty
7. Conclusions
- In the case of long-distance commuting, the bus-subway transfer hub will enhance the attraction of the local regular bus network, transform the bus passenger flow into the subway passenger flow, and realize the balance of the local urban transportation network;
- Under the long-distance vector travel scenario, the proportion of car mode is the largest, while the proportion of regular bus is the smallest. Changes of transfer walking time have no significant effect on the regular bus passenger flow;
- Under the long-distance vector travel scenario, the proportion of car mode is the highest while the proportion of regular bus is the lowest. Changes of transfer penalty have no obvious effect on the regular bus passenger flow.
Author Contributions
Funding
Conflicts of Interest
References
- Xuefei, L.; Maoxiang, L. Multi-user multi-criteria stochastic user equilibrium model based on generalized nested Logit. Transp. Syst. Eng. Inf. 2014, 14, 139–145. [Google Scholar]
- Linghui, H. Analysis of Traveler’s Travel Choice Behavior under Various Transportation Network Conditions; BJTU (Beijing Jiaotong University): Beijing, China, 2014. [Google Scholar]
- Danni, B. A passenger flow distribution model for rail transit under congestion pricing. Henan Sci. 2012, 30, 763–766. [Google Scholar]
- Suzhen, H. Analysis of urban residents’ choice of travel modes based on generalized costs. Mod. Transp. Technol. 2016, 13, 79–83. [Google Scholar]
- Xiang, L. Study on the Distribution Problem of Multi-Mode Urban Traffic Network with Transfer; SWJTU (Southwest Jiaotong University): Chengdu, China, 2015. [Google Scholar]
- Bingfeng, S.; Ming, Z.; Ziyou, G. Study on section impedance function under urban mixed traffic conditions. Transp. Syst. Eng. Inf. 2008, 8, 68–73. [Google Scholar]
- Hui, X.; Xiaohua, Y.; Kefei, Y. Evaluation method of capacity super network of urban composite transportation system. Tongji Univ. Nat. Sci. Ed. 2011, 39, 1789–1794. [Google Scholar]
- Chen, A.; Yang, H.; Lo, H.K.; Tang, W.H. Capacity reliability of a road network: An assessment methodology and numerical results. Transp. Res. Part B Methodol. 2002, 36, 225–252. [Google Scholar]
- Jing, Z.; Yan, X. Stochastic user equilibrium distribution model for elastic demand and its application. Syst. Eng. 2001, 2, 88–94. [Google Scholar]
- Bevrani, B.; Burdett, R.L.; Bhaskar, A.; Yarlagadda, P.K.D.V. A capacity assessment approach for multi-modal transportation systems. EJOR 2017, 263, 864–878. [Google Scholar] [CrossRef]
- Meng, M. Urban Traffic Flow Distribution Model and Algorithm under Combined Travel Mode; BJTU (Beijing Jiaotong University): Beijing, China, 2013. [Google Scholar]
- Chenghui, C.; Yongneng, C.; Xiaoli, F. Study on reliability model of travel time of urban multi-mode bus network. City Public Transp. 2010, 8, 38–40. [Google Scholar]
- Hong, Y. Sensitivity Analysis of Rail Transit Demand Changes with Rail Transit Fare; Beijing University of Technology: Beijing, China, 2006. [Google Scholar]
- Jiping, W. Study on Reliability of Urban Road Network System; Chang’an University: Xi’an, China, 2005. [Google Scholar]
- Tobin, R.L.; Friesz, T.L. Sensitivity analysis for equilibrium network flow. Transp. Sci. 1988, 22, 242–250. [Google Scholar] [CrossRef]
- Bell, M.G.; Iida, Y. Transportation Network Analysis; John Wiley & Sons: Chichester, UK, 1997. [Google Scholar]
- Yang, H. Sensitivity analysis for the elastic-demand network equilibrium problem with applications. Transp. Res. Part B Methodol. 1997, 31, 55–70. [Google Scholar] [CrossRef]
- Liu, Y.; Liu, Z.; Jia, R. DeepPF: A deep learning-based architecture for metro passenger flow prediction. Transp. Res. Part C Emerg. Technol. 2019, 101, 18–34. [Google Scholar] [CrossRef]
- Jingwei, L. Study on Passenger Flow Performance Evaluation of Integrated Passenger Transport Hub; BJTU (Beijing Jiaotong University): Beijing, China, 2011. [Google Scholar]
- Jinghang, G. Research on Integrated Layout and Transfer of Urban Rail Transit Hubs; TJU (Tongji University): Shanghai, China, 2008. [Google Scholar]
- Dongping, L. The Optimal Allocation of Transportation Resources at Urban Rail Hub Stations. J. Shanghai Jiaotong Univ. 2011, 45, 53–57. [Google Scholar]
- Lijun, C. Research on the Allocation Method of Transfer Facilities in Urban Rail Transit Station; SEU (Southeast University): Nanjing, China, 2013. [Google Scholar]
- Chowdhury, S.; Ceder, A.A. Interchange Attributes Influencing Public-Transport User’s Intention to Use Routes with Transfers; Transportation Research Board 91st Annual Meeting: Washington, DC, USA, 2012. [Google Scholar]
- Chowdhury, S.; Ceder, A.A. The effect of interchange attributes on public-transport users’ intention to use routes involving transfers. Psychol. Behav. Sci. 2013, 2, 5–13. [Google Scholar] [CrossRef]
- Yoo, G.-S. Transfer penalty estimation with transit trips from smartcard data in Seoul, Korea. KSCE 2015, 19, 1108–1116. [Google Scholar] [CrossRef]
- Meng, M.; Chunfu, S.; Jingjing, Z.; Qingzhu, X. Combined trip model and algorithm under park-and-ride conditions. Jilin Univ. Eng. Ed. 2013, 43, 1465–1470. [Google Scholar]
- Jiang, Z.; Chen, Y. Feasibility analysis of Wuhan rail traffic congestion charging. China Water (Second Half) 2014, 14, 53–55. [Google Scholar]
- Yulong, P.; Chunying, G. Study on the function of road segment travel time considering the impact of toll. China Highw. 2003, 16, 91–94. [Google Scholar]
- Yuanqing, W.; Wei, Z.; Lianen, L. Study on the theory and application of road impedance function. Highw. Commun. Technol. 2004, 21, 82–85. [Google Scholar]
- Yuan, L.; Bingfeng, S.; Xiaobao, Y. Random user equilibrium for urban bus networks considering transfer costs Distribution model and algorithm. Syst. Eng. Theory Pract. 2014, 34, 2127–2134. [Google Scholar]
- Yuxing, S. Research on Transfer Route Selection Method of Rail Transit Network; BJTU (Beijing Jiaotong University): Beijing, China, 2015. [Google Scholar]
- Zhen, L.; Mingqing, J.; Jianfeng, L. An improved Logit model for passenger flow distribution in urban rail transit methods. Transp. Syst. Eng. Inf. 2012, 12, 145–151. [Google Scholar]
- Fisk, C. Some developments in equilibrium traffic assignment. Transp. Res. Part B Methodol. 1980, 14, 243–255. [Google Scholar] [CrossRef]
- Liu, H.X.; He, X.; He, B. Method of successive weighted averages (MSWA) and self-regulated averaging schemes for solving stochastic user equilibrium problem. Netw. Spat. Econ. 2009, 9, 485. [Google Scholar] [CrossRef]
- Tarjan, R. Depth-first search and linear graph algorithms. SIAM J. Comput. 1972, 1, 146–160. [Google Scholar] [CrossRef]










| The Network Level | Facility Category | Name of Traffic Facilities |
|---|---|---|
| Urban road network | Secondary trunk road and branch road | Liuzhou east road subway station near branch road A branch road near hongwu north road |
| Arterial road | Jiangshan road, nanjing Yangtze river bridge, etc. | |
| Expressway | Daqiao north road, inner ring west road, huju north road, inner ring west line, etc. | |
| Regular bus network | — | Bus No.532 Bus No. 669 |
| Subway network | — | Subway line 1 Subway line 3 |
| P + R transfer hub | — | Liuzhou east road subway station |
| Bus + Subway transfer hub | — | Venice watertown station |
| The Network Level | Number of Road Sections (One) |
|---|---|
| Connection network | 8 |
| Car road network | 40 |
| Regular bus network (including internetwork transfer) | 7 |
| Subway network (including internetwork transfer) | 9 |
| P + R transfers virtual paths | 1 |
| Bus + subway transfer virtual path | 1 |
| Road | Traffic Volume (pcu/h) | Theoretical Velocity (km/h) |
|---|---|---|
| Secondary trunk road and branch road | 1200 | 30 |
| arterial road | 1350 | 40 |
| expressway | 1500 | 60 |
| Nanjing Vangtze river bridge | 1800 | 60 |
| Section Number | OD | Service Level | Flow (Person) | Section Number | OD | Service Level | Flow (Person) |
|---|---|---|---|---|---|---|---|
| 0 | [1,2] | 0 | 2568 | 18 | [7,8] | 0.54 | 647 |
| 1 | [1,3] | 0 | 744 | 19 | [7,11] | 1.04 | 1246 |
| 2 | [1,4] | 0 | 868 | 20 | [8,7] | 0.81 | 975 |
| 3 | [1,5] | 0 | 714 | 21 | [8,12] | 0.91 | 1096 |
| 4 | [1,35] | 0 | 233 | 22 | [9,10] | 0.66 | 788 |
| 5 | [1,30] | 0 | 1856 | 23 | [10,13] | 2.60 | 4682 |
| 6 | [1,39] | 0 | 17 | 24 | [10,30] | 0 | 212 |
| 7 | [2,3] | 0.57 | 681 | 25 | [11,10] | 1.95 | 2342 |
| 8 | [2,4] | 0.84 | 1007 | 26 | [12,11] | 0.91 | 1096 |
| 9 | [2,7] | 0.73 | 880 | 27 | [13,14] | 1.55 | 2325 |
| 10 | [3,8] | 1.19 | 1425 | 28 | [13,15] | 1.57 | 2357 |
| 11 | [4,5] | 0.45 | 543 | 55 | [30,31] | 0.28 | 2295 |
| 12 | [4,6] | 1.33 | 1802 | 61 | [35,36] | 0.26 | 233 |
| 13 | [5,4] | 0.39 | 469 | 62 | [36,37] | 0.25 | 227 |
| 14 | [5,9] | 0.66 | 788 | 63 | [36,38] | 0 | 6 |
| 15 | [6,7] | 0.78 | 940 | 64 | [37,30] | 0 | 227 |
| 16 | [6,10] | 1.31 | 1764 | 66 | [39,40] | 0.03 | 23 |
| 17 | [7,6] | 0.75 | 902 |
| Travel Mode | Number of Trips (Person/Time) | Proportion of Travel |
|---|---|---|
| Car | 4682 | 66.89% |
| P + R | 212 | 3.03% |
| Regular Bus | 23 | 0.33% |
| Regular bus-and-subway | 227 | 3.24% |
| Subway | 1856 | 26.51% |
| Bus + Subway Transfer Variable | |||||||
| Transfer Time for Walking (Minutes) | 0 | 2 | 4 | 6 | 8 | 10 | 12 |
| Transfer Penalty (Minutes) | 5 | 7.5 | 10 | 12.5 | 15 | 17.5 | 20 |
| Transfer Walking Time (Min) | Travel Mode (Passenger Flow: Person) | ||||
|---|---|---|---|---|---|
| Car | Subway | Regular Bus | P + R | Bus + Subway | |
| 0 | 4228 | 43 | 2044 | 245 | 439 |
| 2 | 4234 | 44 | 2097 | 252 | 373 |
| 4 | 4239 | 45 | 2144 | 257 | 315 |
| 6 | 4243 | 46 | 2184 | 262 | 265 |
| 8 | 4246 | 47 | 2220 | 266 | 222 |
| 10 | 4249 | 47 | 2249 | 269 | 186 |
| 12 | 4251 | 48 | 2275 | 272 | 154 |
| 14 | 4228 | 43 | 2044 | 245 | 439 |
| 16 | 4234 | 44 | 2097 | 252 | 373 |
| 18 | 4239 | 45 | 2144 | 257 | 315 |
| 20 | 4243 | 46 | 2184 | 262 | 265 |
| Transfer Walking Time (Min) | Travel Mode (Passenger Flow: Person) | ||||
|---|---|---|---|---|---|
| Car | Subway | Car | P + R | Bus + Subway | |
| 5 | 4231 | 2072 | 44 | 248 | 405 |
| 7.5 | 4238 | 2133 | 45 | 256 | 329 |
| 10 | 4243 | 2185 | 46 | 262 | 265 |
| 12.5 | 4247 | 2227 | 47 | 267 | 212 |
| 15 | 4250 | 2263 | 48 | 271 | 169 |
| 17.5 | 4252 | 2291 | 48 | 274 | 134 |
| 20 | 4255 | 2314 | 49 | 277 | 106 |
© 2020 by the authors. Licensee MDPI, Basel, Switzerland. This article is an open access article distributed under the terms and conditions of the Creative Commons Attribution (CC BY) license (http://creativecommons.org/licenses/by/4.0/).
Share and Cite
Yang, Y.; Chen, J.; Du, Z. Analysis of the Passenger Flow Transfer Capacity of a Bus-Subway Transfer Hub in an Urban Multi-Mode Transportation Network. Sustainability 2020, 12, 2435. https://doi.org/10.3390/su12062435
Yang Y, Chen J, Du Z. Analysis of the Passenger Flow Transfer Capacity of a Bus-Subway Transfer Hub in an Urban Multi-Mode Transportation Network. Sustainability. 2020; 12(6):2435. https://doi.org/10.3390/su12062435
Chicago/Turabian StyleYang, Yuwei, Jun Chen, and Zexingjian Du. 2020. "Analysis of the Passenger Flow Transfer Capacity of a Bus-Subway Transfer Hub in an Urban Multi-Mode Transportation Network" Sustainability 12, no. 6: 2435. https://doi.org/10.3390/su12062435
APA StyleYang, Y., Chen, J., & Du, Z. (2020). Analysis of the Passenger Flow Transfer Capacity of a Bus-Subway Transfer Hub in an Urban Multi-Mode Transportation Network. Sustainability, 12(6), 2435. https://doi.org/10.3390/su12062435

