Seismic Reliability-Based Design Approach for Base-Isolated Systems in Different Sites
Abstract
1. Introduction
2. Inelastic Model with Equations of Motion for a Structural System Isolated by Single Concave Sliding Devices
3. Uncertainties
- -
- Definition of an intensity measure (IM), used to separate the seismic intensity uncertainties and the randomness in the characteristics of the record;
- -
- Carrying out IDAs, as described in the following, under a large set of real ground motions scaled to different values of the IM, considering the relevant random variables and monitoring the principal structural parameters;
- -
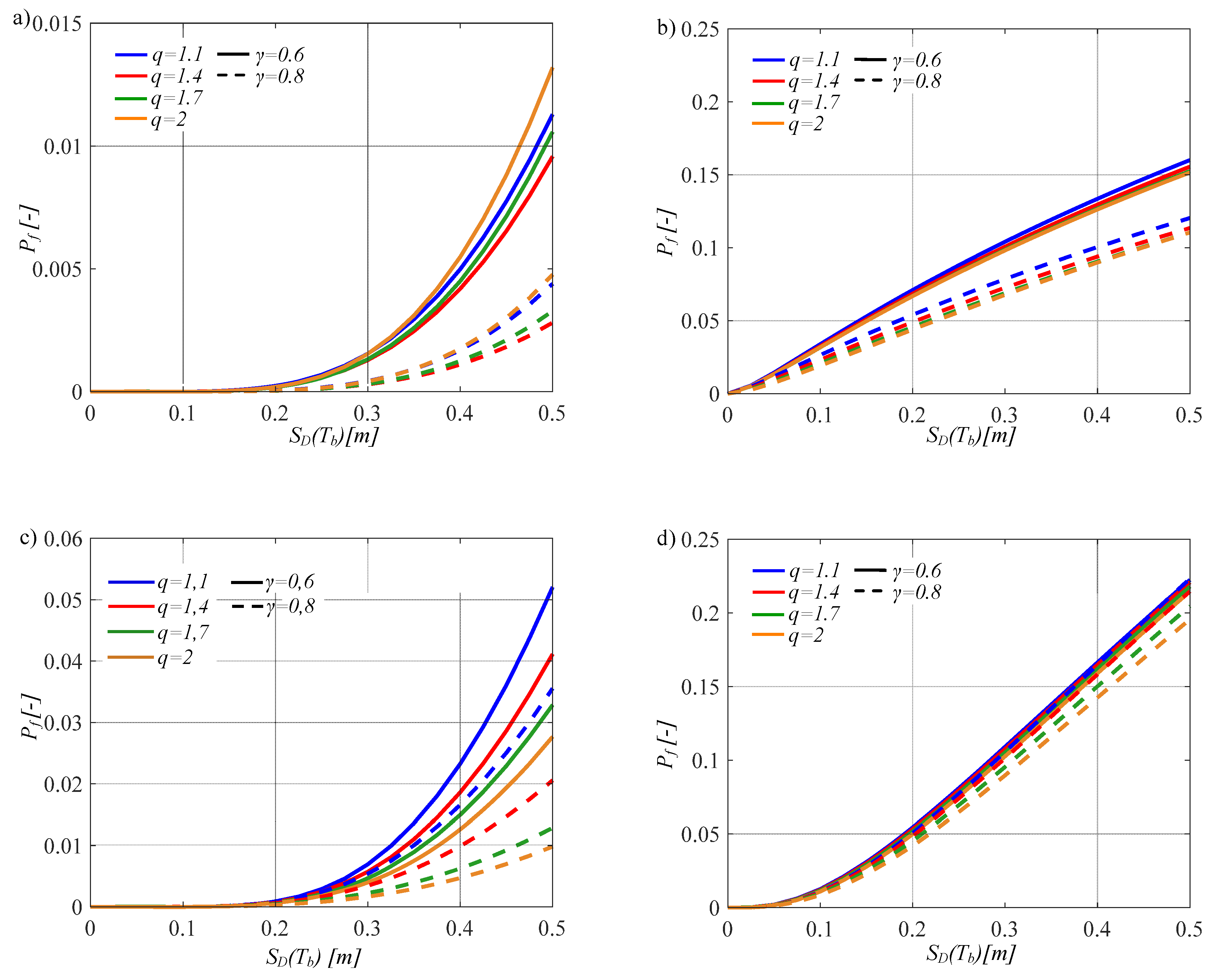
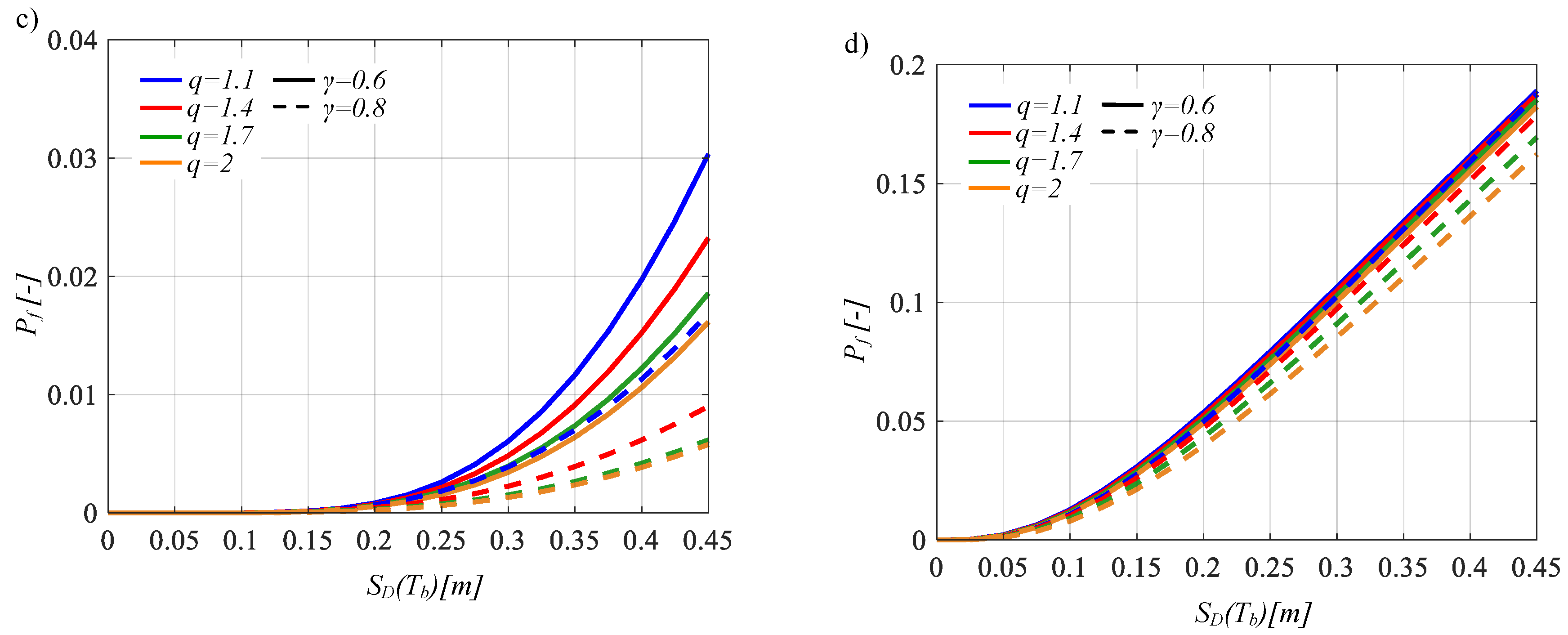
- Calculation of fragility curves, which define the probabilities exceeding the structural performance (limit state thresholds) conditional to an IM value;
- -
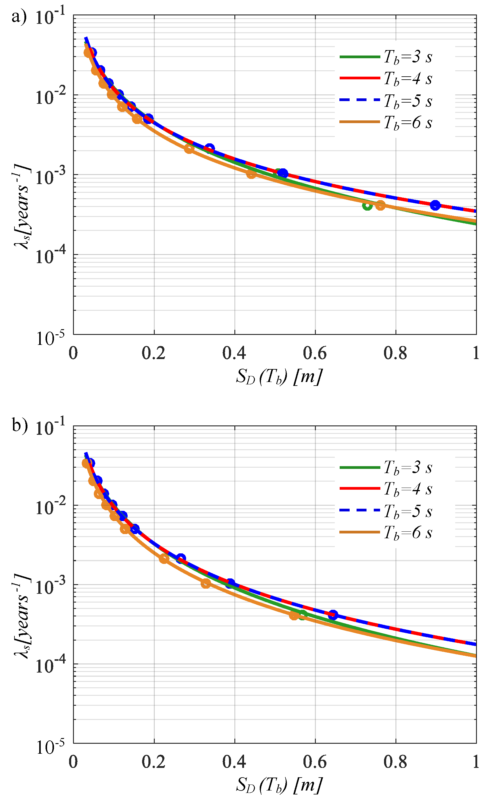
- Computation of the average annual rates exceeding the limit state thresholds through the convolution integral between the fragility curves and seismic hazard curves of the sites;
- -
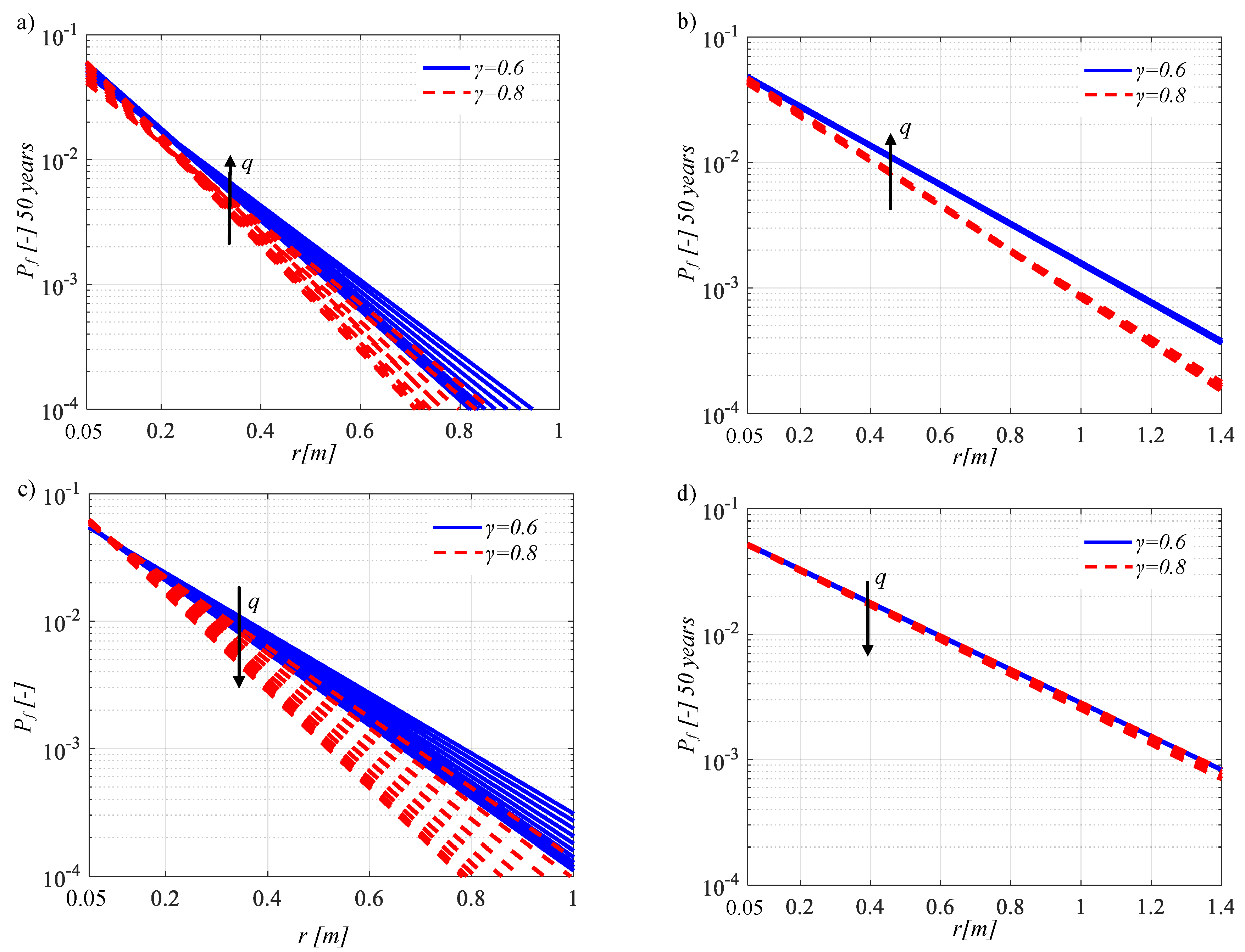
- Calculation of the probabilities exceeding the structural performance (limit state thresholds) in the time frame of interest (e.g., 50 years) through the Poisson distribution.
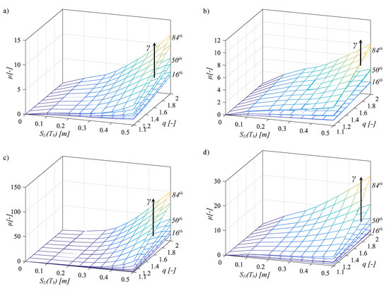
4. Parametric Analysis
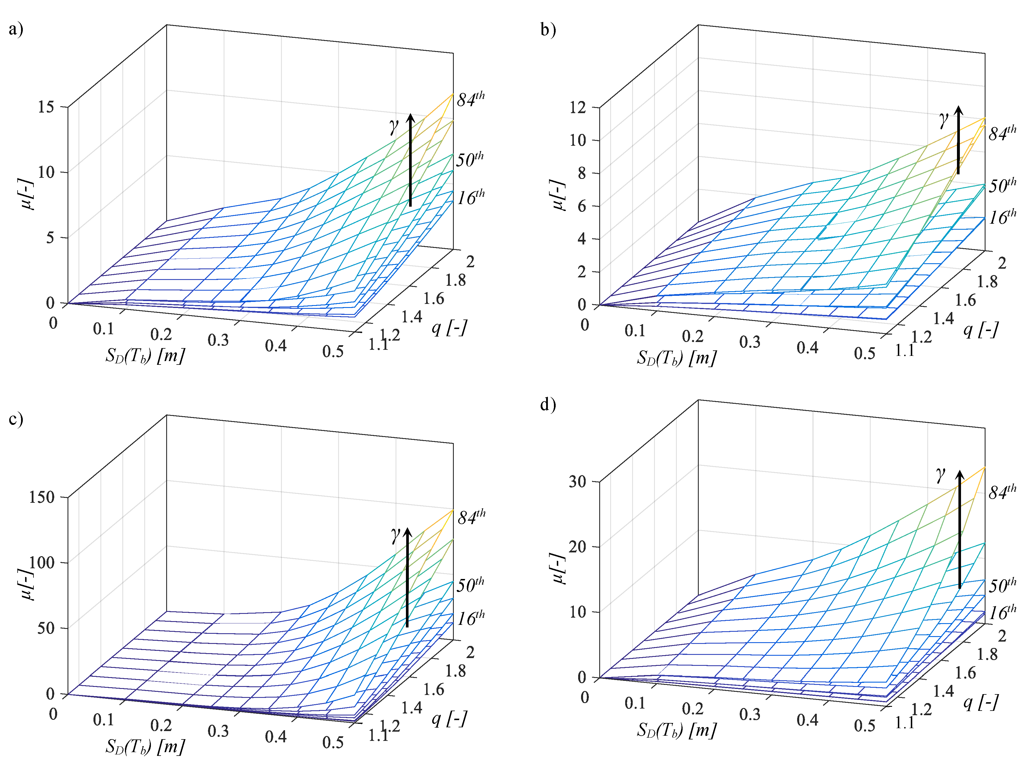
Incremental Dynamic Analysis Results
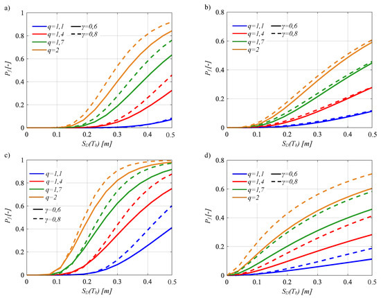
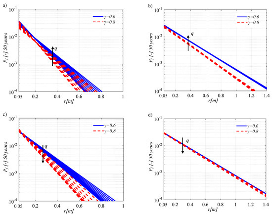
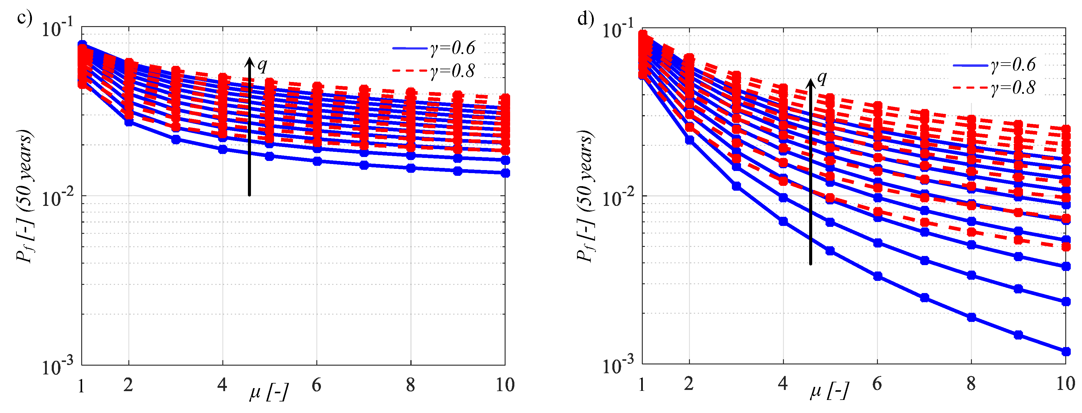
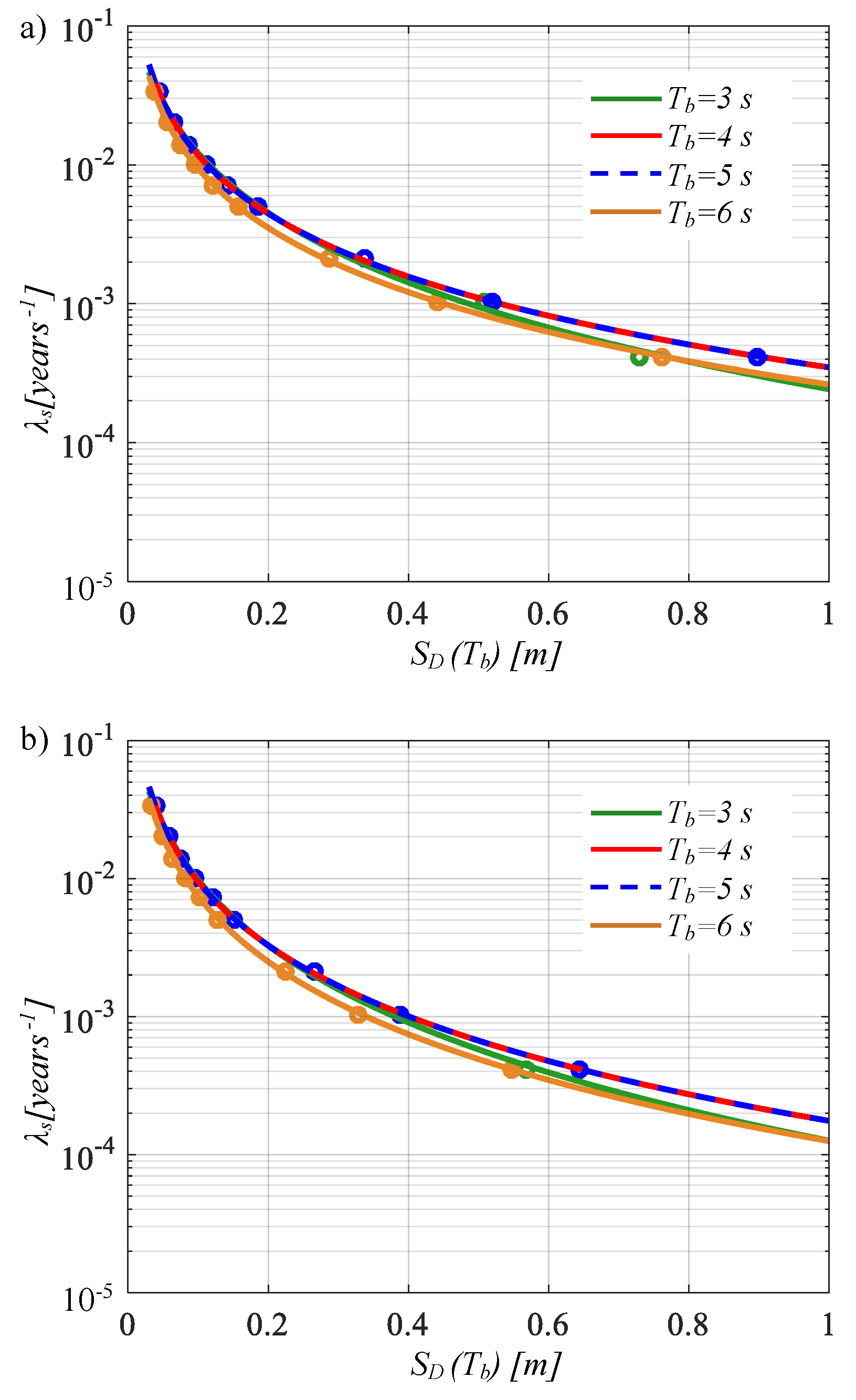
5. Assessment of Seismic Fragility and Reliability
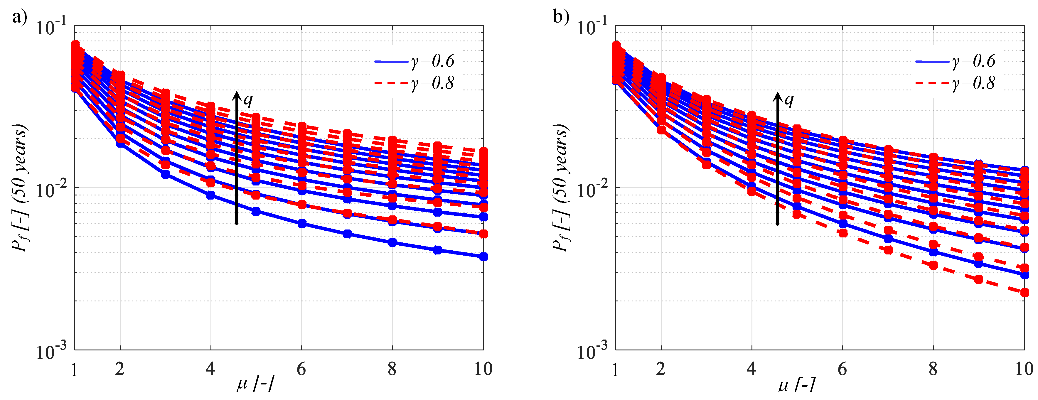
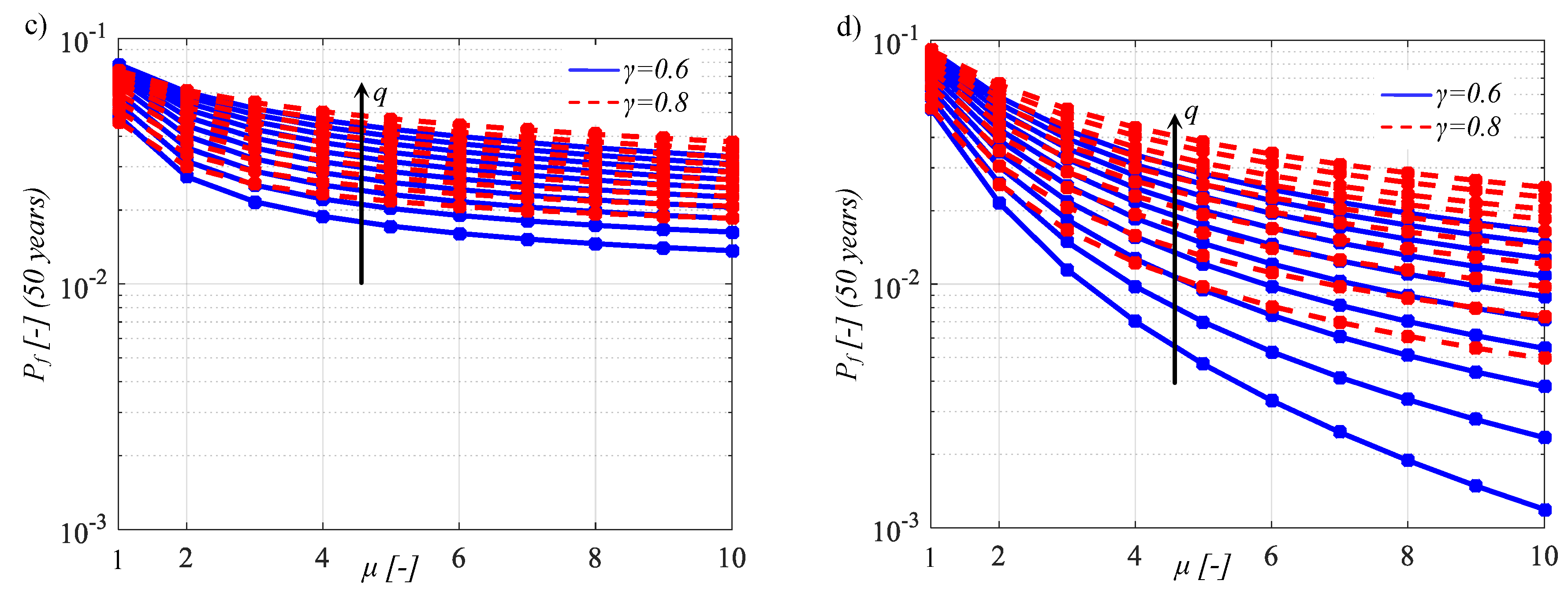
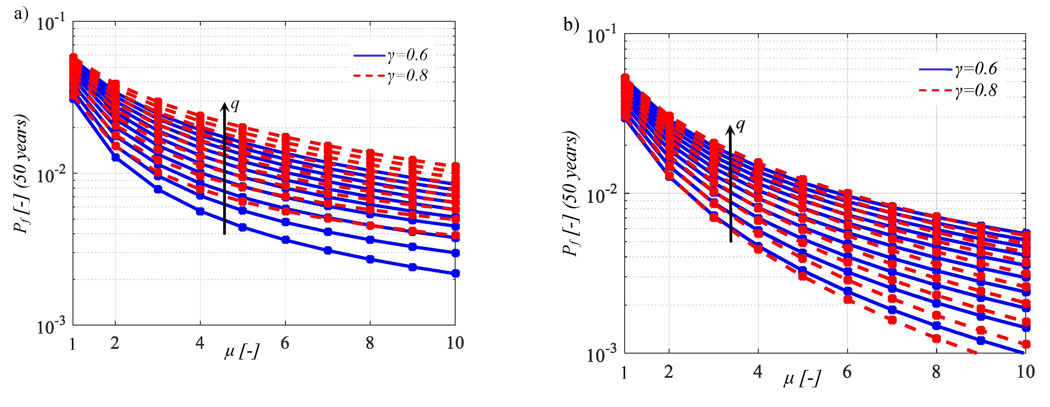
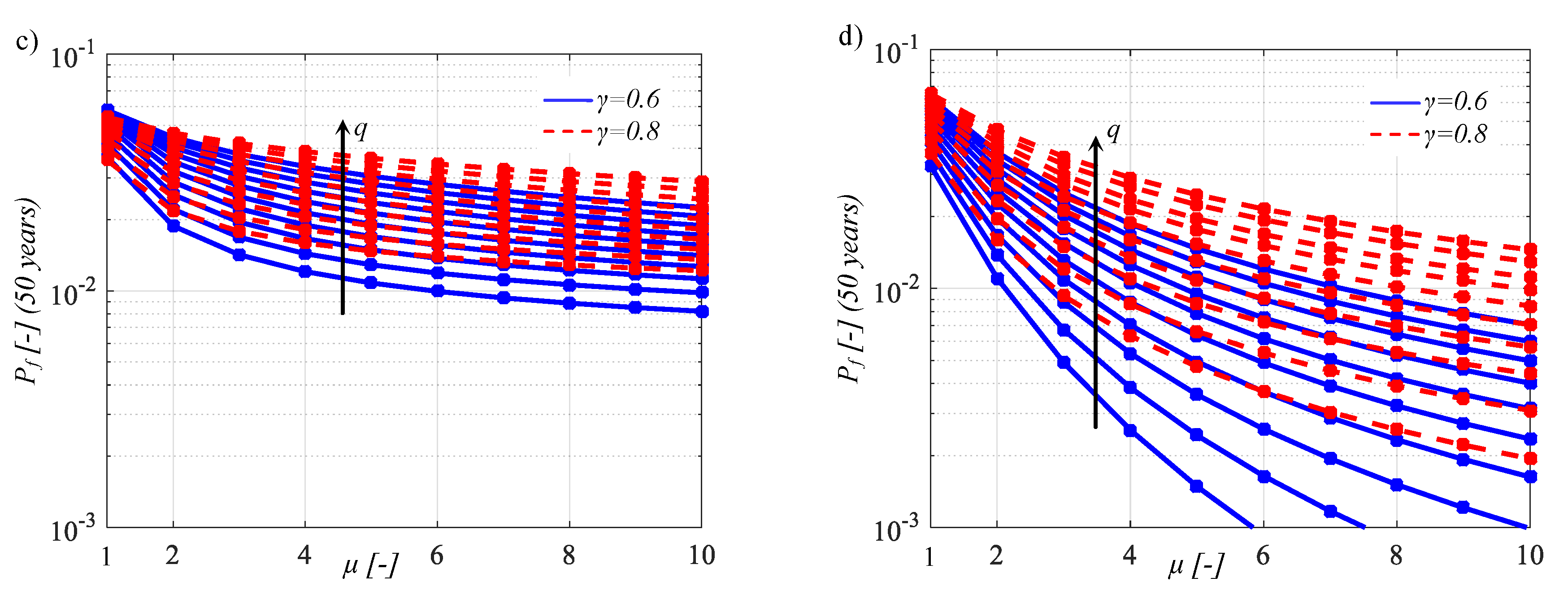
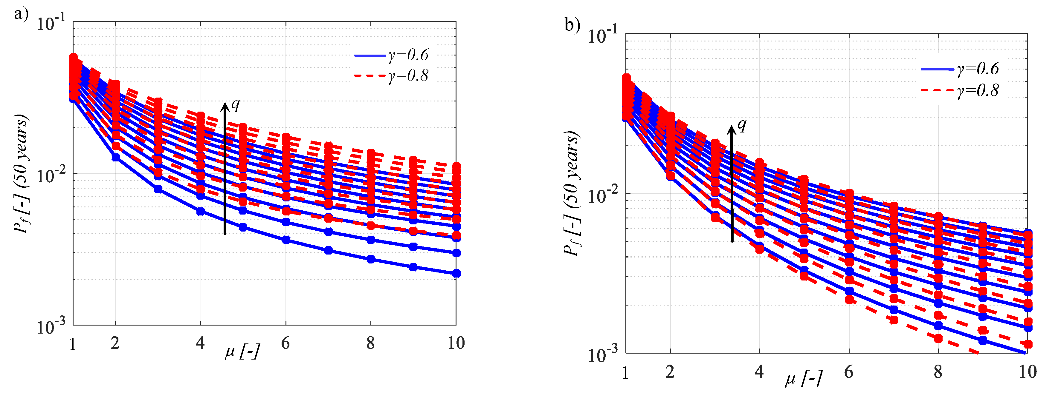
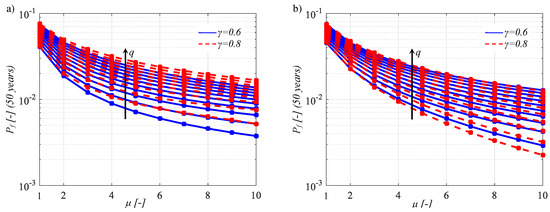
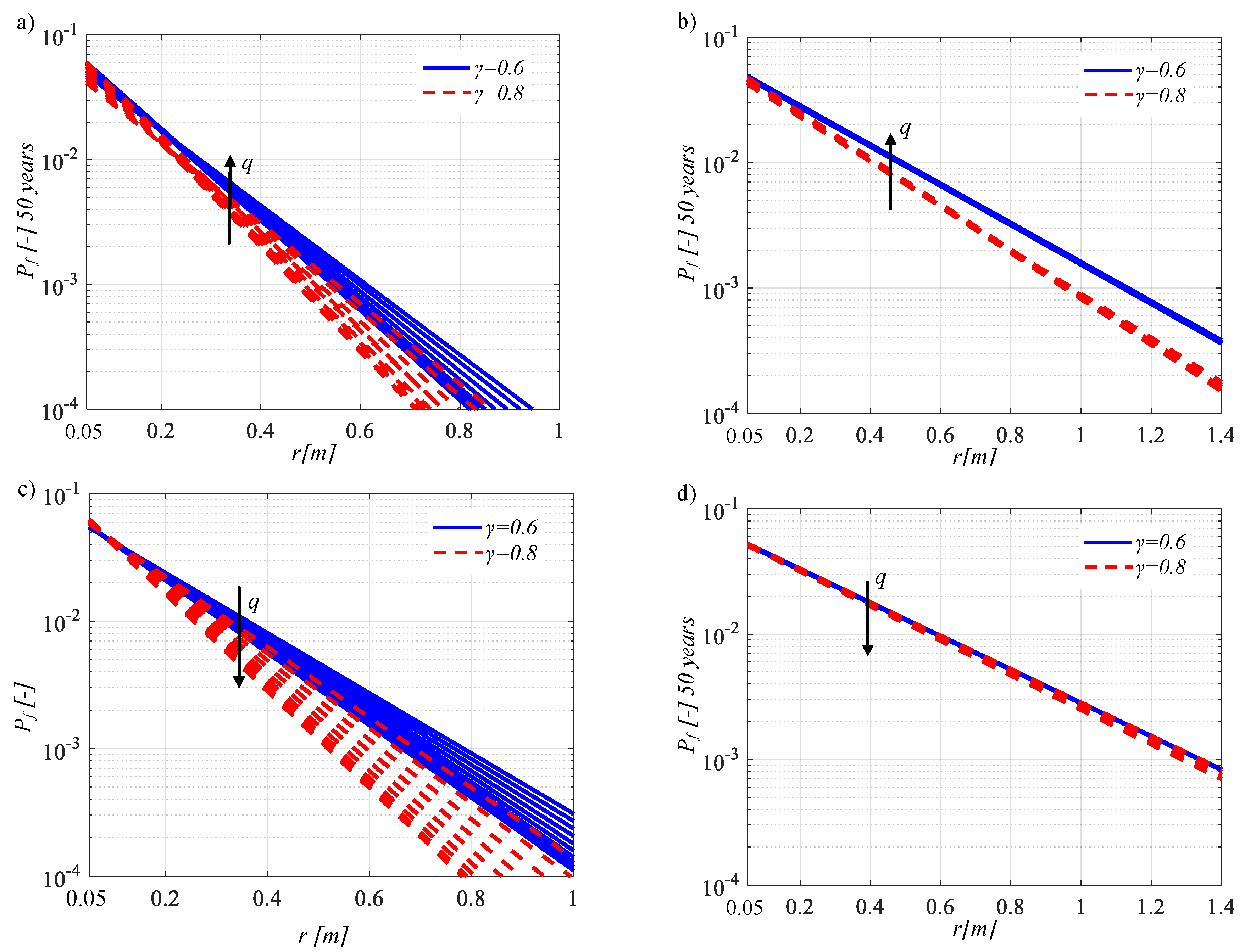
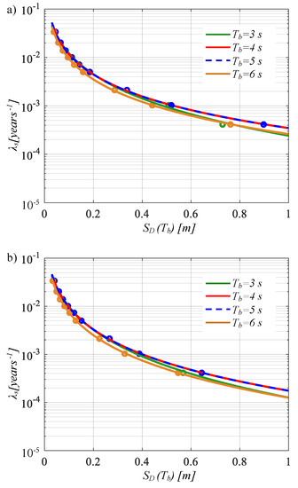
Seismic Reliability Curves
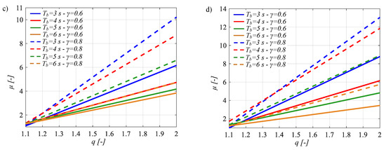
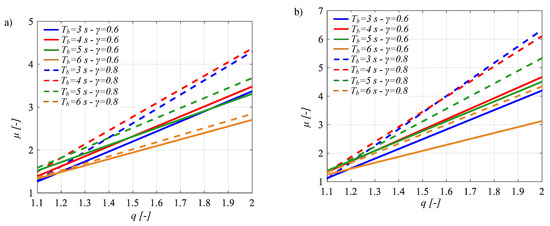
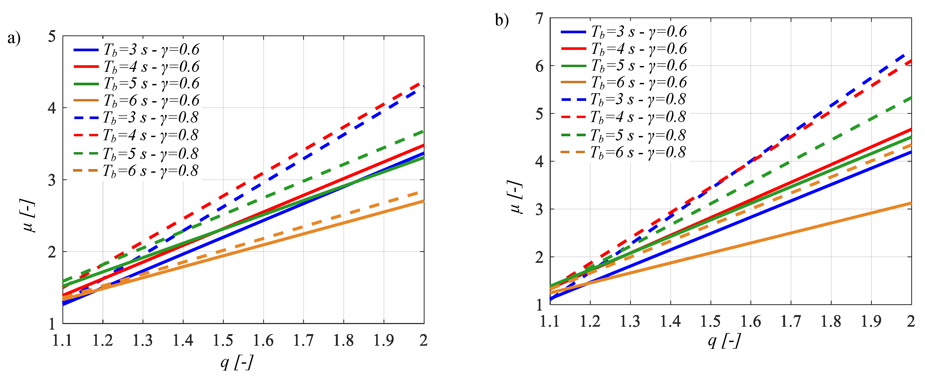
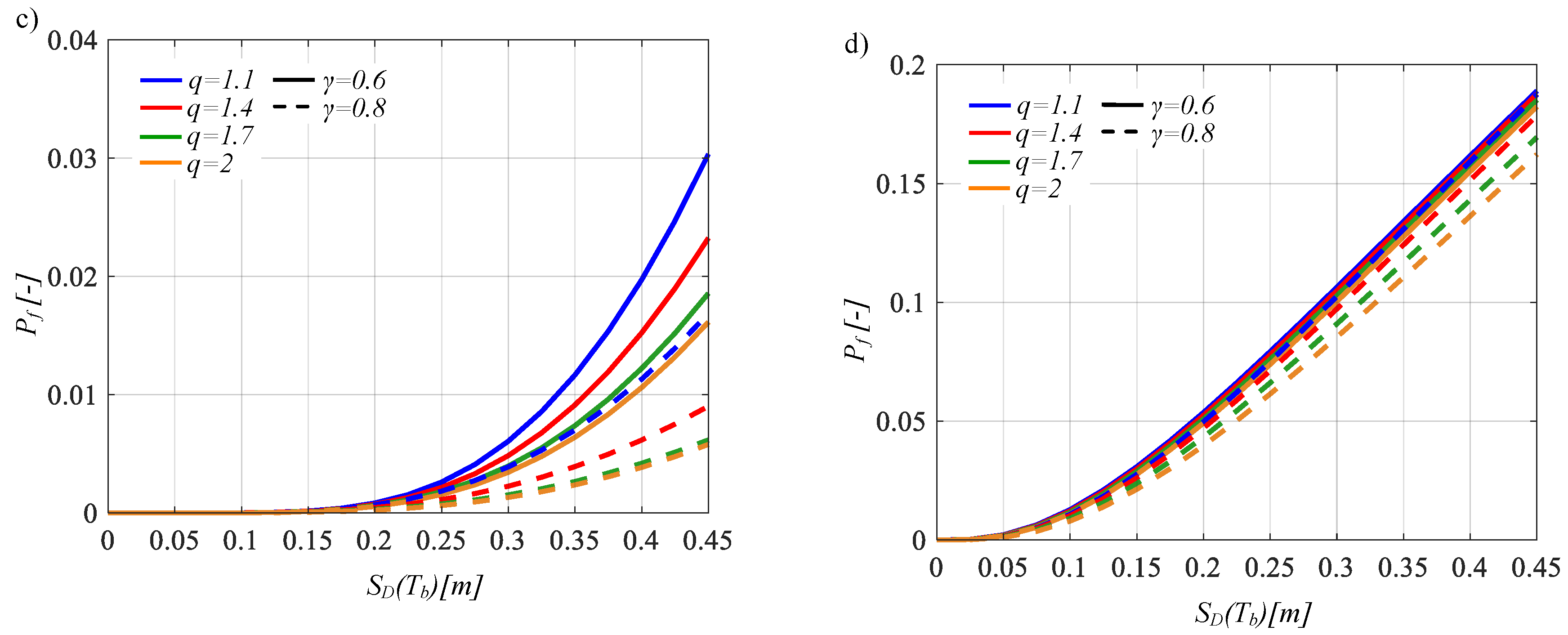
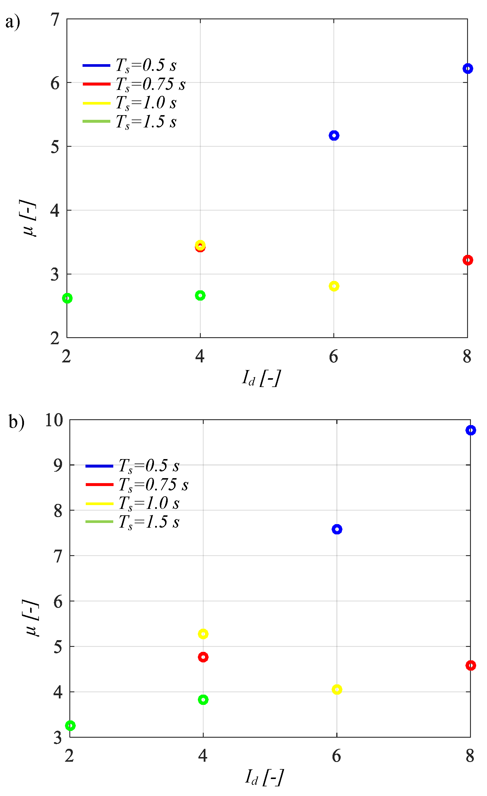
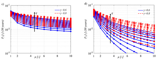
6. Seismic Reliability-Based Displacement Ductility Demand for Increasing Strength Reduction Factors
7. Conclusions
Author Contributions
Funding
Conflicts of Interest
References
- Troisi, R.; Alfano, G. Towns as Safety Organizational Fields: An Institutional Framework in Times of Emergency. Sustainability 2019, 11, 7025. [Google Scholar] [CrossRef]
- Christopoulos, C.; Filiatrault, A. Principles of Passive Supplemental Damping and Seismic Isolation; IUSS Press: Pavia, Italy, 2006. [Google Scholar]
- Zayas, V.A.; Low, S.S.; Mahin, S.A. A simple pendulum technique for achieving seismic isolation. Earthq. Spectra 1990, 6, 317–333. [Google Scholar] [CrossRef]
- Su, L.; Ahmadi, G.; Tadjbakhsh, I.G. Comparative study of base isolation systems. J. Eng. Mech. 1989, 115, 1976–1992. [Google Scholar] [CrossRef]
- Mokha, A.; Constantinou, M.C.; Reinhorn, A.M. Teflon Bearings in Base Isolation. I: Testing. J. Struct. Eng. 1990, 116, 438–454. [Google Scholar] [CrossRef]
- Constantinou, M.C.; Mokha, A.; Reinhorn, A.M. Teflon Bearings in Base Isolation. II: Modeling. J. Struct. Eng. 1990, 116, 455–474. [Google Scholar] [CrossRef]
- Constantinou, M.C.; Whittaker, A.S.; Kalpakidis, Y.; Fenz, D.M.; Warn, G.P. Performance of Seismic Isolation Hardware Under Service and Seismic Loading. Tech. Rep. 2007. [Google Scholar] [CrossRef]
- Almazàn, J.L.; De la Llera, J.C. Physical model for dynamic analysis of structures with FPS isolators. Earthq. Eng. Struct. Dyn. 2003, 32, 1157–1184. [Google Scholar] [CrossRef]
- Ayyub, B.M.; McCuen, R.H. Probability, Statistics, and Reliability for Engineers, 2nd ed.; CRC Press: New York, NY, USA, 2002. [Google Scholar]
- Lin, Y.K.; Cai, G.Q. Probabilistic Structural Dynamics—Advanced Theory and Applications; McGraw-Hill: New York, NY, USA, 1995. [Google Scholar]
- Chen, J.; Liu, W.; Peng, Y.; Li, J. Stochastic seismic response and reliability analysis of base-isolated structures. J. Earthq. Eng. 2007, 11, 903–924. [Google Scholar] [CrossRef]
- Mishra, S.K.; Roy, B.K.; Chakraborty, S. Reliability-based-design-optimization of base isolated buildings considering stochastic system parameters subjected to random earthquakes. Int. J. Mech. Sci. 2013, 75, 123–133. [Google Scholar] [CrossRef]
- Zhao, C.; Chen, J. Numerical simulation and investigation of the base isolated NPPC building under three-directional seismic loading. Nucl. Eng. Des. 2013, 265, 484–496. [Google Scholar] [CrossRef]
- Barroso, L.R.; Winterstein, S. Probabilistic seismic demand analysis of controlled steel momentresisting frame structures. Earthq. Eng. Struct. Dyn. 2002, 31, 2049–2066. [Google Scholar] [CrossRef]
- Castaldo, P.; Palazzo, B.; Della Vecchia, P. Seismic reliability of base-isolated structures with friction pendulum bearings. Eng. Struct. 2015, 95, 80–93. [Google Scholar] [CrossRef]
- Castaldo, P.; Mancini, G.; Palazzo, B. Seismic reliability-based robustness assessment of three-dimensional reinforced concrete systems equipped with single-concave sliding devices. Eng. Struct. 2018, 163, 373–387. [Google Scholar] [CrossRef]
- Castaldo, P.; Amendola, G.; Palazzo, B. Seismic fragility and reliability of structures isolated by friction pendulum devices: Seismic reliability-based design (SRBD). Earthq. Eng. Struct. Dyn. 2017, 46, 425–446. [Google Scholar] [CrossRef]
- European Committee for Standardization. Eurocode 8-Design of Structures for Earthquake Resistance. Part 1: General Rules; Seismic Actions and Rules for Buildings: Brussels, Belgium, 2004. [Google Scholar]
- NTC08. Norme tecniche per le costruzioni. Gazzetta Ufficiale del 04.02.08, DM 14.01.08, Ministero delle Infrastrutture. Available online: https://www.google.com.hk/url?sa=t&rct=j&q=&esrc=s&source=web&cd=3&ved=2ahUKEwjwm5782aXoAhUBA4gKHSA1AYsQFjACegQIAhAB&url=https%3A%2F%2Fwww.gazzettaufficiale.it%2Feli%2Fgu%2F2018%2F02%2F20%2F42%2Fso%2F8%2Fsg%2Fpdf&usg=AOvVaw29TzUcjBXYbmWqnE47Hq8M (accessed on 28 January 2020).
- Structural Engineering Institute. Minimum design loads for buildings and other structures. Am. Soc. Civ. Eng. 2010, 7, 21–80. [Google Scholar]
- Japanese Ministry of Land, Infrastructure and Transport. Notification No. 2009–2000. Technical Standard for Structural Specifications and Calculation of Seismically Isolated Buildings. 2000. Available online: https://www.jaeic.or.jp/english/jaeic-pamphlet_e201306.pdf (accessed on 28 January 2020).
- Quantification of Building Seismic Performance Factors, FEMA P695/June 2009. Available online: https://www.fema.gov/media-library-data/20130726-1716-25045-9655/fema_p695.pdf (accessed on 28 January 2020).
- Occhiuzzi, A.; Veneziano, D.; Van Dyck, J. Seismic Design of Base Isolated Structures; Balkema: Rotterdam, The Netherlands, 1994. [Google Scholar]
- Vassiliou, M.F.; Tsiavos, A.; Stojadinović, B. Dynamics of inelastic base-isolated structures subjected to analytical pulse ground motions. Earthq. Eng. Struct. Dyn. 2013, 42, 2043–2060. [Google Scholar] [CrossRef]
- Newmark, N.M.; Hall, W.J. Seismic Design Criteria for Nuclear Reactor Facilities; Report 46; Building Practices for Disaster Mitigation; National Bureau of Standards: Gaithersburg, MD, USA, 1973.
- Miranda, E.; Bertero, V.V. Evaluation of strength reduction factors for earthquake-resistant design. Earthq. Spectra 1994, 10, 357–379. [Google Scholar] [CrossRef]
- Castaldo, P.; Palazzo, B.; Ferrentino, T. Seismic reliability-based ductility demand evaluation for inelastic base-isolated structures with friction pendulum devices. Earthq. Eng. Struct. Dyn. 2017, 46, 1245–1266. [Google Scholar] [CrossRef]
- Castaldo, P.; Palazzo, B.; Alfano, G.; Palumbo, M.F. Seismic reliability-based ductility demand for hardening and softening structures isolated by friction pendulum bearings. Struct. Control Health Monit. 2018, 25, e2256. [Google Scholar] [CrossRef]
- Mckey, M.D.; Conover, W.J.; Beckman, R.J. A comparison of three methods for selecting values of input variables in the analysis from a computer code. Technomet 1979, 21, 239–245. [Google Scholar]
- Vořechovský, M.; Novák, D. Correlation control in small-sample Monte Carlo type simulations I: A simulated annealing approach. Probabilistic Eng. Mech. 2009, 24, 452–462. [Google Scholar] [CrossRef]
- Celarec, D.; Dolšek, M. The impact of modelling uncertainties on the seismic performance assessment of reinforced concrete frame buildings. Eng. Struct. 2013, 52, 340–354. [Google Scholar] [CrossRef]
- Naeim, F.; Kelly, J.M. Design of Seismic Isolated Structures: From Theory to Practice; John Wiley & Sons: Hoboken, NJ, USA, 1999. [Google Scholar]
- Ryan, K.L.; Chopra, A.K. Estimation of Seismic Demands on Isolators Based on Nonlinear Analysis. J. Struct. Eng. 2004, 130, 392–402. [Google Scholar] [CrossRef]
- Palazzo, B. Seismic Behavior of Base-Isolated Buildings. Proc. Inst. Civ. Eng. Struct. Build. 1995, 110, 186–203. [Google Scholar]
- Fanaiea, N.; Afsar Dizaj, E. Response modification factor of the frames braced with reduced yielding segment BRB. Struct. Eng. Mech. 2014, 50, 1–17. [Google Scholar] [CrossRef]
- Abdollahzadeh, G.H.; Banihashemi, M.R. Response modification factor of dual moment-resistant frame with buckling restrained brace (BRB). Steel Compos. Struct. 2013, 14, 621–636. [Google Scholar] [CrossRef]
- Niroomandi, A.; Maheri, A. Upgrading the Ductility and Seismic Behavior Factor of Ordinary rc Frames Using Fiber Composite Sheets. In Proceedings of the 3rd International Conference on Concrete & Development, Tehran, Iran, 27–29 April 2009. [Google Scholar]
- Collins, K.R.; Stojadinovic, B. Limit States for Performance-Based Design. In Proceedings of the 12th World Conference on Earthquake Engineering, Auckland, New Zeland, 30 January–4 February 2000. [Google Scholar]
- Bertero, R.D.; Bertero, V.V. Performance-based seismic engineering: The need for a reliable conceptual comprehensive approach. Earthq. Eng. Struct. Dyn. 2002, 31, 627–652. [Google Scholar] [CrossRef]
- Aoki, Y.; Ohashi, Y.; Fujitani, H.; Saito, T.; Kanda, J.; Emoto, T.; Kohno, M. Target Seismic Performance Levels in Structural Design for Buildings. In Proceedings of the 12th World Conference on Earthquake Engineering, Auckland, New Zeland, 30 January–4 February 2000. [Google Scholar]
- SEAOC Vision 2000 Committee. Performance-Based Seismic Engineering; Structural Engineers Association: Sacramento, CA, USA, 1995. [Google Scholar]
- CEN—European Committee for Standardization. Eurocode 0: Basis of Structural Design; Final Draft; CEN—European Committee for Standardization: Brussels, Belgium, 2006. [Google Scholar]
- Saito, T.; Kanda, J.; Kani, N. Seismic Reliability Estimate of Building Structures Designed According to the Current Japanese Design Code. In Proceedings of the Structural Engineers World Congress, San Francisco, CA, USA, 19–23 July 1998. [Google Scholar]
- Cornell, C.A.; Krawinkler, H. Progress and challenges in seismic performance assessment. Peer Cent. News 2000, 4, 1–3. [Google Scholar]
- Aslani, H.; Miranda, E. Probability-based seismic response analysis. Eng. Struct. 2005, 27, 1151–1163. [Google Scholar] [CrossRef]
- Porter, K.A. An Overview of PEER’s Performance-Based Earthquake Engineering Methodology. In Proceedings of the 9th International Conference on Application of Statistics and Probability in Civil Engin, San Francisco, CA, USA, 6–9 July 2003. [Google Scholar]
- Castaldo, P.; Gino, D.; Mancini, G. Safety formats for non-linear finite element analysis of reinforced concrete structures: Discussion, comparison and proposals. Eng. Struct. 2019, 193, 136–153. [Google Scholar] [CrossRef]
- Kulkarni, J.A.; Jangid, R.S. Effects of superstructure flexibility on the response of base-isolated structures. Shock Vib. 2003, 26, 1–13. [Google Scholar] [CrossRef]
- Isolatori a Scorrimentoa Superficie. Available online: https://www.fipindustriale.it/public/S04_FIP%20FIP-D-ita.pdf (accessed on 28 January 2020).
- Shome, N.; Cornell, C.A.; Bazzurro, P.; Carballo, J.E. Earthquake, records, and nonlinear responses. Earthq. Spectra 1998, 14, 469–500. [Google Scholar] [CrossRef]
- Luco, N.; Cornell, C.A. Structure-specific scalar intensity measures for near-source and ordinary earthquake ground motions. Earthq. Spectra 2007, 23, 357–392. [Google Scholar] [CrossRef]
- ISESD, Internet-Site for European Strong-Motion Data. Available online: http://www.isesd.hi.is/ESD_Local/frameset.htm (accessed on 28 January 2020).
- ITACA, Italian Accelerometric Archive. Available online: http://itaca.mi.ingv.it/ItacaNet/itaca10_links.htm (accessed on 28 January 2020).
- PEER, Pacific Earthquake Engineering Research Center. Available online: http://peer.berkeley.edu/ (accessed on 28 January 2020).
- Vamvatsikos, D.; Cornell, C.A. Incremental dynamic analysis. Earthq. Eng. Struct. Dyn. 2002, 31, 491–514. [Google Scholar] [CrossRef]
- Math Works Inc. MATLAB-High Performance Numeric Computation and Visualization Software; User’s Guide: Natick, MA, USA, 1997. [Google Scholar]
- Karavasilis, T.; Seo, C. Seismic structural and non-structural performance evaluation of highly damped self-centering and conventional systems. Eng. Struct. 2011, 33, 2248–2258. [Google Scholar] [CrossRef]
- Golzio, L.E.; Troisi, R. The value of interdisciplinary research: A model of interdisciplinarity between legal research and research in organizations. J. Dev. Leadersh. 2013, 2, 23–38. [Google Scholar]
- Nese, A.; Troisi, R. Corruption among mayors: Evidence from Italian Court of Cassation judgments. Trends Organ. Crime 2018, 1–26. [Google Scholar] [CrossRef]
- Tsiavos, A.; Mackie, K.R.; Vassiliou, M.F.; Stojadinović, B. Dynamics of inelastic base-isolated structures subjected to recorded ground motions. Bull. Earthq. Eng. 2017, 15, 1807–1830. [Google Scholar] [CrossRef]
- Pasticier, L.; Amadio, C.; Fragiacomo, M. Non-linear seismic analysis and vulnerability evaluation of a masonry building by means of the SAP2000 V.10 code. Earthq. Eng. Struct. Dyn. 2008, 37, 467–485. [Google Scholar] [CrossRef]
- Fajfar, P. A Nonlinear Analysis Method for Performance Based Seismic Design. Earthq. Spectra 2000, 16, 573–592. [Google Scholar] [CrossRef]
- Paulay, T.; Priestley, M.J.N. Seismic Design of Reinforced Concrete and Masonry Buildings; John Wiley & Sons: Hoboken, NJ, USA, 1992. [Google Scholar]






















| # | Earthquake Name | Year | Recording Station Name | M [-] | Fault Type | PGA [g] | Rs [km] | Vs30 [m/s] |
|---|---|---|---|---|---|---|---|---|
| 1 | Northridge | 1994 | Beverly Hills, Mulhol | 6.7 | Thrust | 0.52 | 13.3 | 356 |
| 2 | Northridge | 1994 | Canyon Country, WLC | 6.7 | Thrust | 0.48 | 26.5 | 309 |
| 3 | Northridge | 1994 | LA, Hollywood Stor | 6.7 | Thrust | 0.36 | 22.9 | 316 |
| 4 | Duzce, Turkey | 1999 | Bolu | 7.1 | Strike-slip | 0.82 | 41.3 | 326 |
| 5 | Hector Mine | 1999 | Hector | 7.1 | Strike-slip | 0.34 | 26.5 | 685 |
| 6 | Imperial Valley | 1979 | Delta | 6.5 | Strike-slip | 0.35 | 33.7 | 275 |
| 7 | Imperial Valley | 1979 | El Centro Array #11 | 6.5 | Strike-slip | 0.38 | 29.4 | 196 |
| 8 | Kobe, Japan | 1995 | Nishi, Akashi | 6.9 | Strike-slip | 0.51 | 8.7 | 609 |
| 9 | Kobe, Japan | 1995 | Shin, Osaka | 6.9 | Strike-slip | 0.24 | 46.0 | 256 |
| 10 | Kocaeli, Turkey | 1999 | Duzce | 7.5 | Strike-slip | 0.36 | 98.2 | 276 |
| 11 | Kocaeli, Turkey | 1999 | Arcelik | 7.5 | Strike-slip | 0.22 | 53.7 | 523 |
| 12 | Landers | 1992 | Yermo Fire Station | 7.3 | Strike-slip | 0.24 | 86.0 | 354 |
| 13 | Landers | 1992 | Coolwater | 7.3 | Strike-slip | 0.42 | 82.1 | 271 |
| 14 | Loma Prieta | 1989 | Capitola | 6.9 | Strike-slip | 0.53 | 9.8 | 289 |
| 15 | Loma Prieta | 1989 | Gilroy Array #3 | 6.9 | Strike-slip | 0.56 | 31.4 | 350 |
| 16 | Manjil, Iran | 1990 | Abbar | 7.4 | Strike-slip | 0.51 | 40.4 | 724 |
| 17 | Superstition Hills | 1987 | El Centro Imp. Co. | 6.5 | Strike-slip | 0.36 | 35.8 | 192 |
| 18 | Superstition Hills | 1987 | Poe Road (temp) | 6.5 | Strike-slip | 0.45 | 11.2 | 208 |
| 19 | Superstition Hills | 1987 | Westmorland Fire Stat. | 6.5 | Strike-slip | 0.21 | 15.1 | 194 |
| 20 | Cape Mendocino | 1992 | Rio Dell Overpass | 7.0 | Thrust | 0.55 | 22.7 | 312 |
| 21 | Chi-Chi, Taiwan | 1999 | CHY101 | 7.6 | Thrust | 0.44 | 32 | 259 |
| 22 | Chi-Chi, Taiwan | 1999 | TCU045 | 7.6 | Thrust | 0.51 | 77.5 | 705 |
| 23 | San Fernando | 1971 | LA, Hollywood Stor | 6.6 | Thrust | 0.21 | 39.5 | 316 |
| 24 | Friuli, Italy | 1976 | Tolmezzo | 6.5 | Thrust | 0.35 | 20.2 | 425 |
| 25 | Irpinia | 1980 | Bisaccia | 6.9 | 0.94 | 21.3 | 496 | |
| 26 | Montenegro | 1979 | ST64 | 6.9 | Thrust | 0.18 | 21.0 | 1083 |
| 27 | Umbria and Marche | 1997 | ST238 | 6.0 | Normal | 0.19 | 21.5 | n/a |
| 28 | South Iceland | 2000 | ST2487 | 6.5 | Strike-slip | 0.16 | 13 | n/a |
| 29 | South Iceland (a.s.) | 2000 | ST2557 | 6.4 | Strike-slip | 0.13 | 15.0 | n/a |
| 30 | Bingol | 2003 | ST539 | 6.3 | Strike-slip | 0.30 | 14.0 | 806 |
| LSb,1 | LSb,2 | LSb,3 | LSb,4 | LSb,5 | LSb,6 | LSb,7 | LSb,8 | LSb,9 | LSb,10 | |
|---|---|---|---|---|---|---|---|---|---|---|
| r [m] | 0.05 | 0.1 | 0.15 | 0.2 | 0.25 | 0.3 | 0.35 | 0.4 | 0.45 | 0.5 |
| Pf (50 years) = 1.5 × 10−3 | ||||||||||
| LSμ,1 | LSμ,2 | LSμ,3 | LSμ,4 | LSμ,5 | LSμ,6 | LSμ,7 | LSμ,8 | LSμ,9 | LSμ,10 | |
|---|---|---|---|---|---|---|---|---|---|---|
| μ [-] | 1 | 2 | 3 | 4 | 5 | 6 | 7 | 8 | 9 | 10 |
| Pf (50 years) = 2.2·10−2 | ||||||||||
© 2020 by the authors. Licensee MDPI, Basel, Switzerland. This article is an open access article distributed under the terms and conditions of the Creative Commons Attribution (CC BY) license (http://creativecommons.org/licenses/by/4.0/).
Share and Cite
Castaldo, P.; Ferrentino, T. Seismic Reliability-Based Design Approach for Base-Isolated Systems in Different Sites. Sustainability 2020, 12, 2400. https://doi.org/10.3390/su12062400
Castaldo P, Ferrentino T. Seismic Reliability-Based Design Approach for Base-Isolated Systems in Different Sites. Sustainability. 2020; 12(6):2400. https://doi.org/10.3390/su12062400
Chicago/Turabian StyleCastaldo, Paolo, and Tatiana Ferrentino. 2020. "Seismic Reliability-Based Design Approach for Base-Isolated Systems in Different Sites" Sustainability 12, no. 6: 2400. https://doi.org/10.3390/su12062400
APA StyleCastaldo, P., & Ferrentino, T. (2020). Seismic Reliability-Based Design Approach for Base-Isolated Systems in Different Sites. Sustainability, 12(6), 2400. https://doi.org/10.3390/su12062400

