Simulating and Predicting Crop Yield and Soil Fertility under Climate Change with Fertilizer Management in Northeast China Based on the Decision Support System for Agrotechnology Transfer Model
Abstract
1. Introduction
2. Objectives and Methods
2.1. Experimental Site and Design
2.2. Soil Sampling and Analysis
2.3. Weather Data and Climate Scenarios
2.4. Crop Simulation Model Inputs
2.5. Calibration and Validation
2.6. Statistical Analysis
3. Results and Discussion
3.1. Model Calibration and Validation
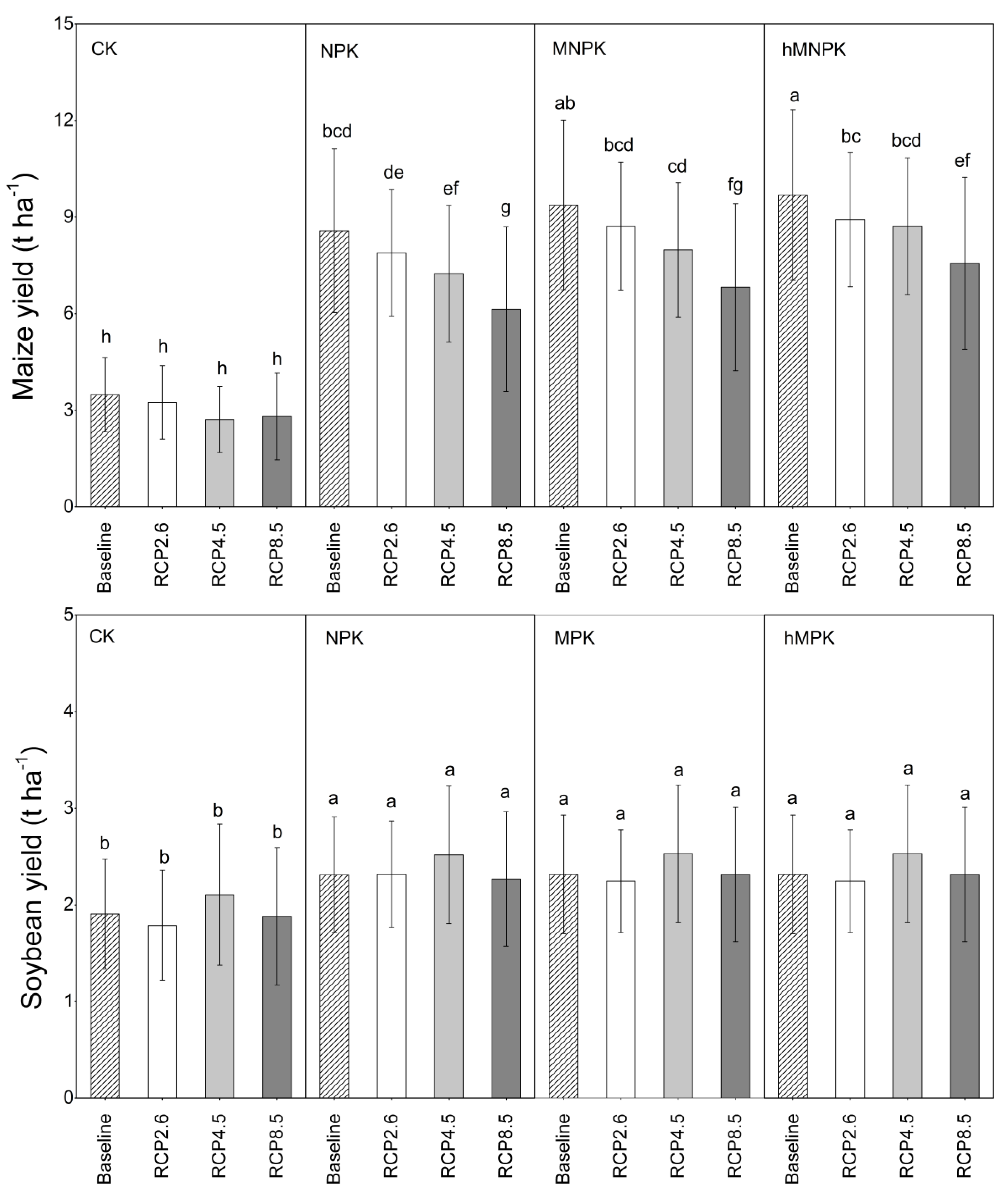
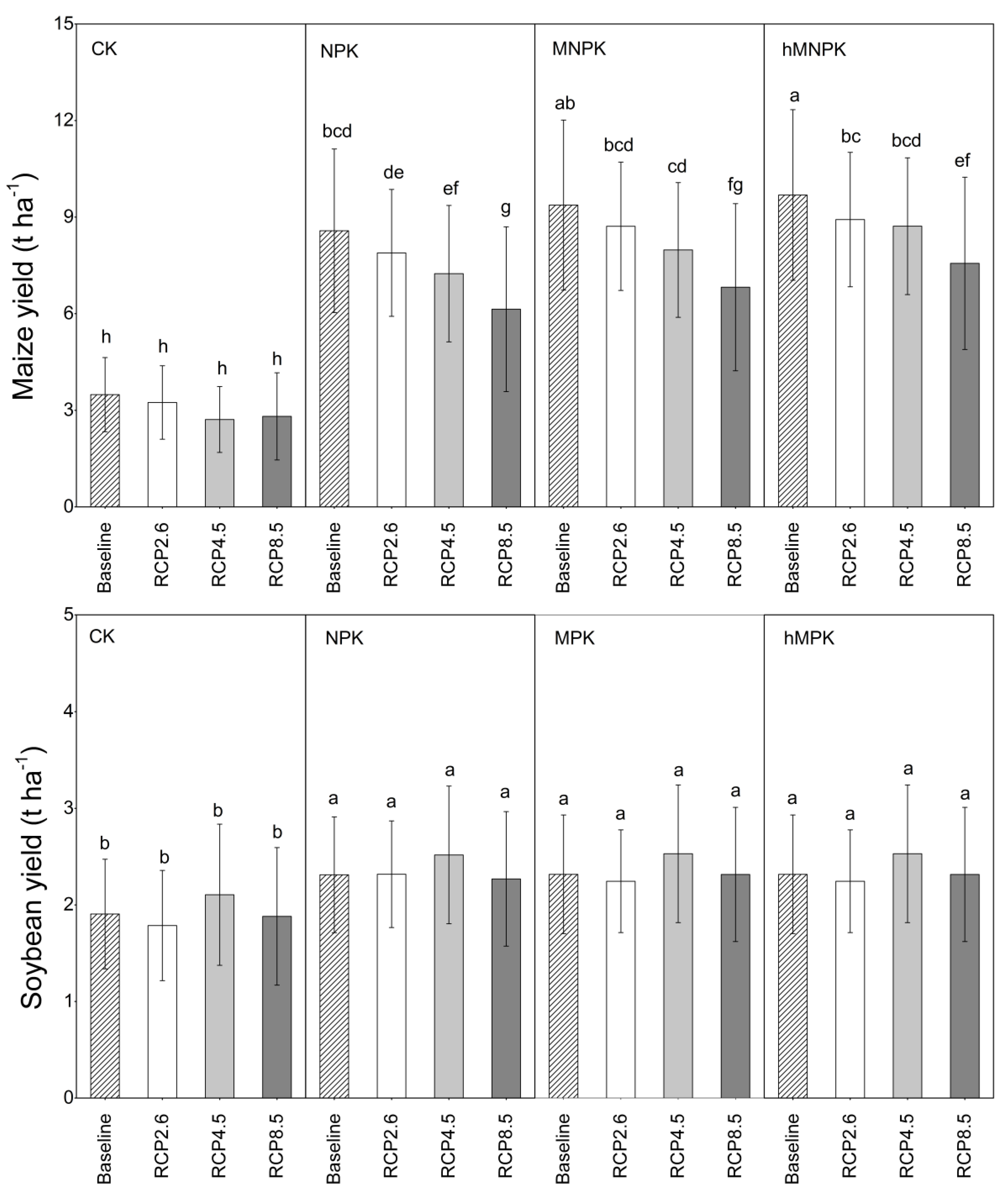
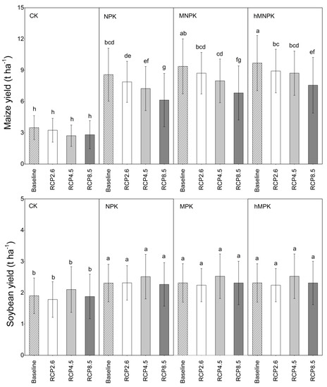
3.2. Impacts of Climate Change on Crop Yield
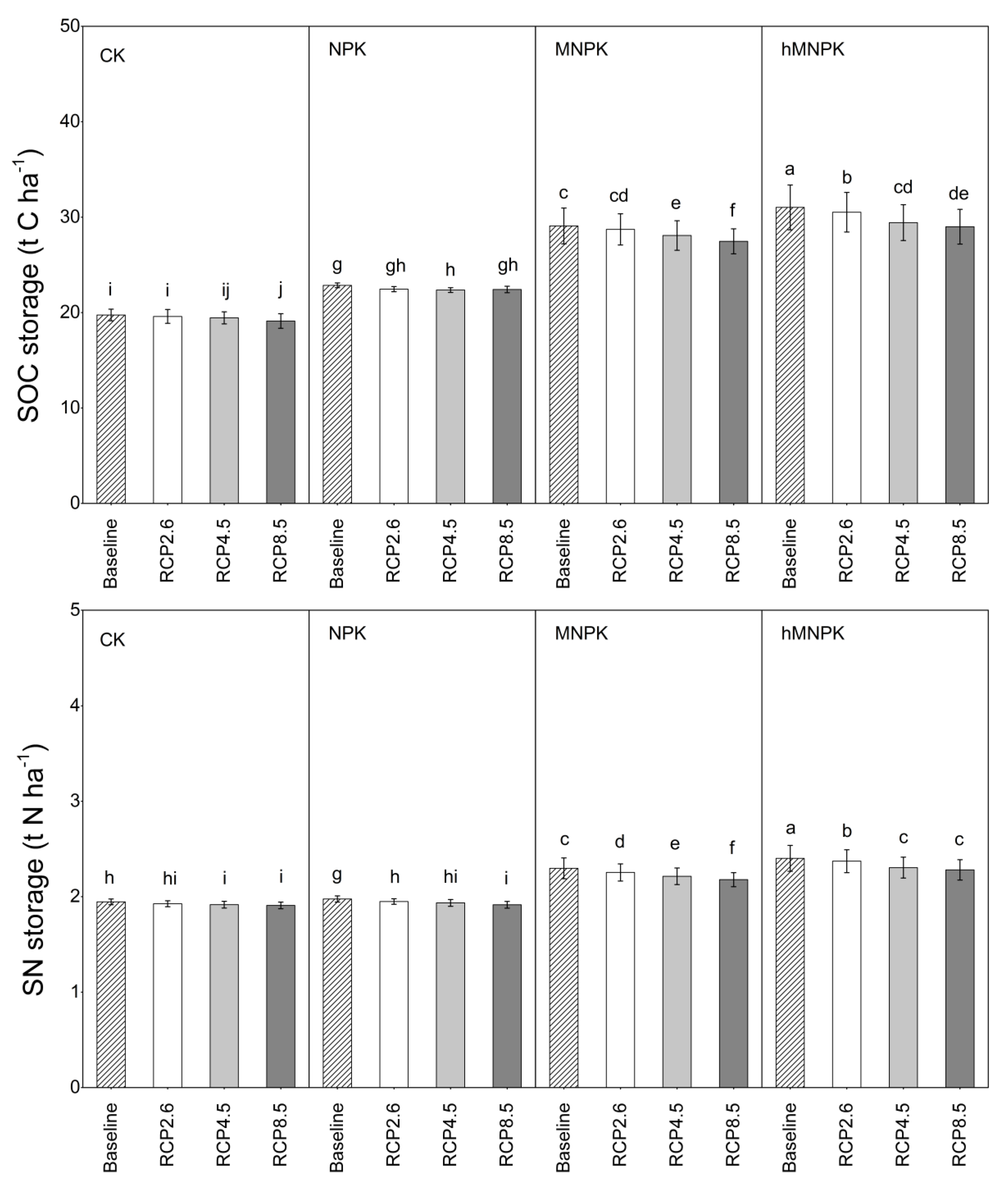
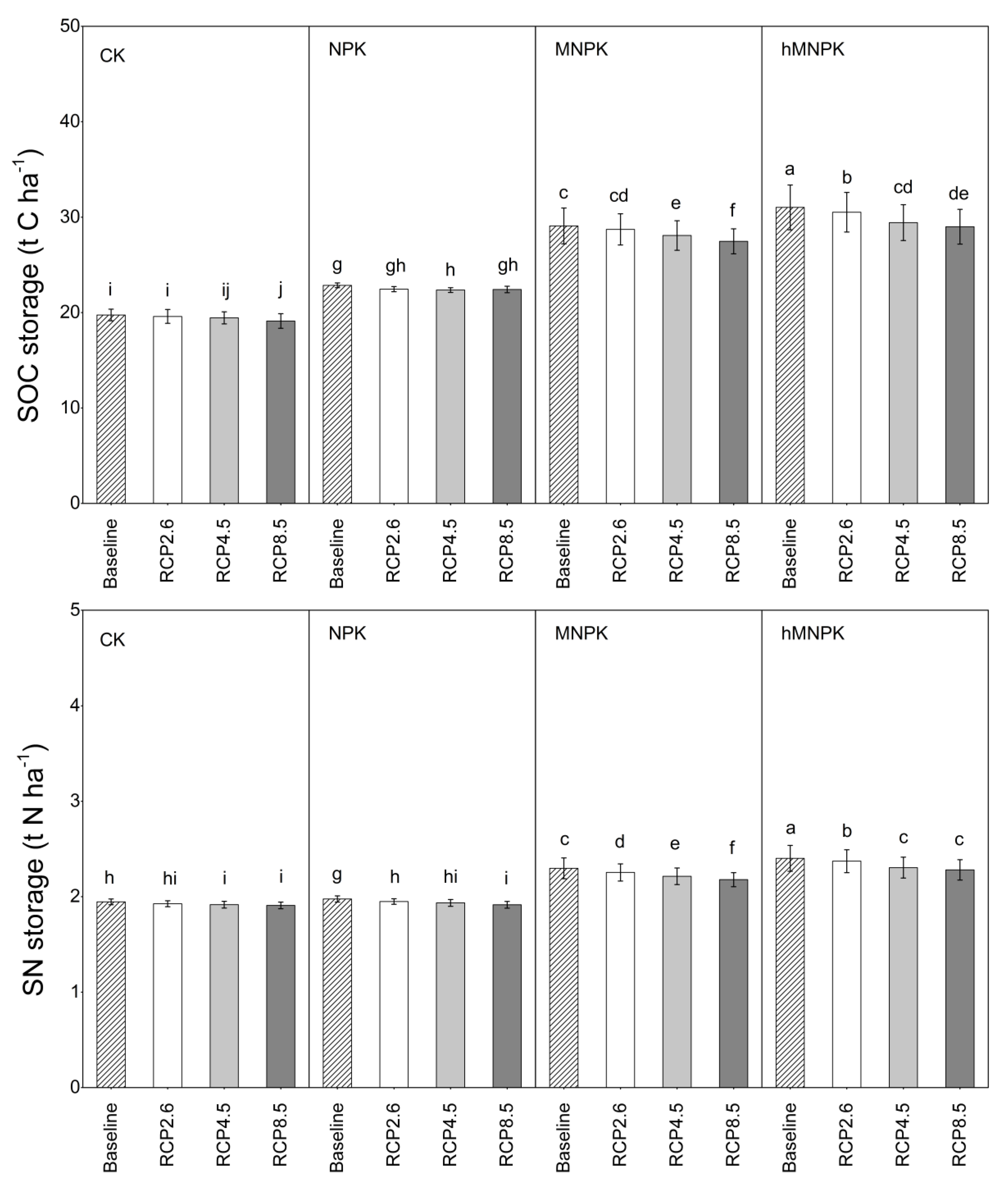
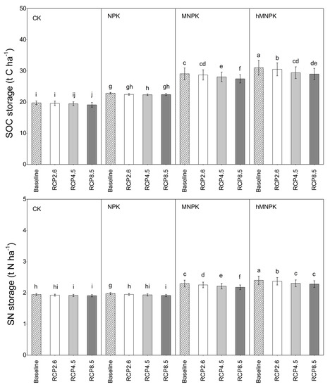
3.3. Impacts of Climate Change on Soil Organic C and N Stocks
4. Conclusions
Author Contributions
Funding
Conflicts of Interest
References
- Wild, M.; Gilgen, H.; Roesch, A.; Ohmura, A.; Long, C.N.; Dutton, E.G.; Forgan, B.; Kallis, A.; Russak, V.; Tsvetkov, A. From dimming to brightening: Decadal changes in solar radiation at Earth’s surface. Science 2005, 308, 847–850. [Google Scholar] [CrossRef] [PubMed]
- Alexander, L.V.; Zhang, X.; Peterson, T.C.; Caesar, J.; Gleason, B.; Tank, A.M.G.K.; Haylock, M.; Collins, D.; Trewin, B.; Rahimzadeh, F.; et al. Global observed changes in daily climate extremes of temperature and precipitation. J. Geophys. Res. 2006, 111, 1042–1063. [Google Scholar] [CrossRef]
- Asseng, S.; Ewert, F.; Martre, P.; Rötter, R.P.; Lobell, D.B.; Cammarano, D.; Kimball, B.A.; Ottman, M.J.; Wall, G.W.; White, J.W.; et al. Rising temperatures reduce global wheat production. Nat. Clim. Chang. 2015, 5, 37–64. [Google Scholar] [CrossRef]
- Ewa, L.K. Effect of climate change on humic substances and associated impacts on the quality of surface water and groundwater: A review. Sci. Total Environ. 2018, 640, 1548–1565. [Google Scholar]
- Lobell, D.B. Changes in diurnal temperature range and national cereal yields. Agric. For. Meteorol. 2007, 145, 229–238. [Google Scholar] [CrossRef]
- Lobell, D.B.; Schlenker, W.; Costaroberts, J. Climate trends and global crop production since 1980. Science 2011, 333, 616–620. [Google Scholar] [CrossRef]
- Wei, T.; Cherry, T.L.; Glomrød, S.; Zhang, T.Y. Climate change impacts on crop yield: Evidence from China. Sci. Total Environ. 2014, 499, 133–140. [Google Scholar] [CrossRef]
- Guo, J.P.; Zhao, J.F.; Wu, D.R.; Mu, J.; Xu, Y.H. Attribution of maize yield increase in China to climate change and technological advancement between 1980 and 2010. J. Meteorol. Res. 2014, 28, 1168–1181. [Google Scholar] [CrossRef]
- Xiao, D.P.; Tao, F.L. Contributions of cultivar shift, management practice and climate change to maize yield in North China Plain in 1981–2009. Int. J. Biometeorol. 2016, 60, 1111–1122. [Google Scholar] [CrossRef]
- Yu, Y.; Huang, Y.; Zhang, W. Modeling soil organic carbon change in croplands of China, 1980–2009. Glob. Planet. Chang. 2012, 82, 115–128. [Google Scholar] [CrossRef]
- Wan, Y.F.; Lin, E.; Xiong, W.; Li, Y.; Guo, L.P. Modeling the impact of climate change on soil organic carbon stock in upland soils in the 21st Century in China. Agric. Ecosyst. Environ. 2011, 141, 23–31. [Google Scholar] [CrossRef]
- Zhang, Y.; Chen, X.M.; Zhang, C.C.; Pan, G.X.; Zhang, X.H. Availability of soil nitrogen and phosphorus under elevated CO2 and temperature in the Taihu Lake region, China. J. Plant Nutr. Soil Sci. 2014, 177, 343–348. [Google Scholar] [CrossRef]
- Pan, G.X.; Xu, X.W.; Smith, P.; Pan, W.N.; Lal, R. An increase in topsoil SOC stock of China’s croplands between 1985 and 2006 revealed by soil monitoring. Agric. Ecosyst. Environ. 2010, 136, 133–138. [Google Scholar] [CrossRef]
- Shi, W.J.; Tao, F.L.; Zhang, Z. A review on statistical models for identifying climate contributions to crop yields. J. Geophys. Sci. 2013, 23, 567–576. [Google Scholar] [CrossRef]
- Alexandrov, V.A.; Hoogenboom, G. The impact of climatic variability and change on crop yield in Bulgaria. Agric. For. Meteorol. 2000, 104, 315–327. [Google Scholar] [CrossRef]
- Pathak, H.; Ladha, J.K.; Aggarwal, P.K.; Peng, S.; Das, S.; Singh, Y.; Singh, B.; Kamra, S.K.; Mishra, B.; Sastri, A.S.R.A.S.; et al. Climatic potential and on-farm yield trends of rice and wheat in the Indo-Gangetic Plains. Field Crops Res. 2003, 80, 223–234. [Google Scholar] [CrossRef]
- Kassie, B.T.; Van Ittersum, M.K.; Hengsdijk, H.; Asseng, S.; Rötter, R.P. Climate-induced yield variability and yield gaps of maize (Zea mays L.) in the Central Rift Valley of Ethiopia. Field Crops Res. 2014, 160, 41–53. [Google Scholar] [CrossRef]
- Adem, M.; Tamado, T.; Piara, S.; Adamu, M.; Ali, S. Identifying best crop management practices for chickpea (Cicer arietinum L.) in Northeastern Ethiopia under climate change condition. Agric. Water Manag. 2017, 194, 68–77. [Google Scholar]
- Kokou, A.A.; John, P.A.L.; Jesse, B.N.; Christian, B.; Paul, L.G.V.; Mathias, B. Climate change impact on water-and nitrogen-use efficiencies and yields of maize and sorghum in the northern Benin dry savanna, West Africa. Field Crops Res. 2019, 235, 104–117. [Google Scholar]
- Thomson, A.M.; Izaurralde, R.C.; Rosenberg, N.J.; He, X. Climate change impacts on agriculture and soil carbon sequestration potential in the Huang-Hai Plain of China. Agric. Ecosyst. Environ. 2006, 114, 195–209. [Google Scholar] [CrossRef]
- Hong, Y.R.; Pu, Y.F.; Bin, W.; Hong, T.X.; Garry, J.O.; Zhi, G.H.; Hao, G.; De Li, L. Future climate change projects positive impacts on sugarcane productivity in southern China. Eur. J. Agron. 2018, 96, 108–119. [Google Scholar]
- Chun, H.Q.; Xiang, X.L.; Hui, J.; Qin, L. The impacts of climate change on wheat yield in the Huang-Huai-Hai Plain of China using DSSAT-CERES-Wheat model under different climate scenarios. J. Integr. Agric. 2019, 18, 1379–1391. [Google Scholar]
- Krishna, B.B.; Charles, P.W.; Veronica, A.M.; Jon, C.; Amanda, C. Soil health indicators as affected by diverse forage species and mixtures in semi-arid pastures. Appl. Soil Ecol. 2018, 132, 179–186. [Google Scholar]
- Krishna, B.B.; Charles, P.W.; Veronica, A.M. Assessing the role of interseeding alfalfa into grass on improving pasture soil health in semi-arid Texas High Plains. Appl. Soil 2020, 147, 103399. [Google Scholar]
- Luo, P.Y.; Han, X.R.; Yan, W.; Han, M.; Shi, H.; Ning, L.; Bai, H.Z. Influence of long-term fertilization on soil microbial biomass, dehydrogenase activity, and bacterial and fungal community structure in a brown soil of northeast China. Ann. Microbiol. 2014, 65, 533–542. [Google Scholar] [CrossRef]
- Gao, M.Y.; Yang, J.F.; Li, Y.; Liu, N.; Li, N.; Huang, Y.Q.; Luo, P.Y.; Han, X.R. Characteristics of organic carbon changes in brown earth under 37-year long-term fertilization. Soil Chem. 2018, 51, 1172–1180. [Google Scholar] [CrossRef]
- Moss, R.; Edmonds, J.; Hibbard, K. The next generation of scenarios for climate change research and assessment. Nature 2010, 463, 747–756. [Google Scholar] [CrossRef]
- Hempel, S.; Frieler, K.; Warszawski, L.; Schewe, J.; Piontek, F. A trend-preserving bias correction–the ISIMIP approach. Earth Syst. Dyn. 2013, 4, 219–236. [Google Scholar] [CrossRef]
- Basso, B.; Gargiulo, O.; Paustian, K.; Robertson, G.P.; Porter, C.; Grace, P.R.; Jones, J.W. Procedures for initializing soil organic carbon pools in the DSSAT-CENTURY model for agricultural systems. Soil Sci. Soc. Am. J. 2011, 75, 69–78. [Google Scholar] [CrossRef]
- Gijsman, A.J.; Hoogenboom, G.; Parton, W.J.; Kerridge, P.C. Modifying DSSAT crop models for low-input agricultural systems using a soil organic matter-residue module from CENTURY. Agron. J. 2002, 94, 462–474. [Google Scholar] [CrossRef]
- Porter, C.H.; Jones, J.W.; Adiku, S.; Gijsman, A.J.; Gargiulo, O.; Naab, J.B. Modeling organic carbon and carbon-mediated soil processes in DSSAT v4.5. Oper. Res. 2010, 10, 247–278. [Google Scholar] [CrossRef]
- Jones, J.W.; Hoogenboom, G.; Porter, C.H.; Boote, K.J.; Batchelor, W.D.; Hunt, L.A.; Wilkens, P.W.; Singh, U.; Gijsman, A.J.; Ritchie, J.T. DSSAT Cropping System Model. Eur. J. Agron. 2003, 18, 235–265. [Google Scholar] [CrossRef]
- Thornton, P.K.; Hoogenboom, G.; Wilkens, P.W.; Bowen, W.T. A computer program to analyze multi-season crop model outputs. Agron. J. 1995, 87, 131–136. [Google Scholar] [CrossRef]
- Liu, X.J.; Song, L.; He, C.E.; Zhang, F.S. Nitrogen deposition as an important nutrient from the environment and its impact on ecosystems in China. J. Arid Land 2010, 2, 137–143. [Google Scholar] [CrossRef]
- Willmott, C.J. Some comments on the evaluation of model performance. Bull. Am. Meteorol. Soc. 1982, 63, 1309–1313. [Google Scholar] [CrossRef]
- Loague, K.M.; Freeze, R.A. A comparison of rainfall-runoff modelling techniques on small upland catchments. Water Resour. Res. 1985, 21, 229–248. [Google Scholar] [CrossRef]
- Timsina, J.; Humphreys, E. Performance of CERES-Rice and CERES-Wheat models in rice–wheat systems: A review. Agric. Syst. 2006, 90, 5–31. [Google Scholar] [CrossRef]
- Parry, M.C.; Fischer, G.; Rosenzweig, C.; Livermore, M.; Iglesias, A. Climate change and world food security: A new assessment. Glob. Environ. 1999, 4, 51–67. [Google Scholar] [CrossRef]
- Tang, G.; Ding, Y.; Wang, S.; Ren, G.; Liu, H.; Zhang, L. Comparative analysis of China surface air temperature series for the past 100 years. Adv. Clim. Chang. Res. 2010, 1, 11–19. [Google Scholar] [CrossRef]
- Liu, Y.J.; Lin, E. Climate Change Impact on Agricultural Costs in Different Regions of China. In Proceedings of the Bali Conference on Climate Change, Bali, Indonesia, 3–14 December 2007; Volume 2, pp. 12–16. [Google Scholar]
- Six, J.; Conant, R.T.; Paul, E.A.; Paustian, K. Stabilization mechanisms of soil organic matter: Implications for C-saturation of soils. Plant Soil 2002, 241, 155–176. [Google Scholar] [CrossRef]
- Bolinder, M.A.; Andren, O.; Katterer, T.; De Jong, R.; VandenBygaart, A.J. Soil carbon dynamics in Canadian Agricultural Ecoregions: Quantifying climatic influence on soil biological activity. Agric. Ecosyst. Environ. 2007, 122, 461–470. [Google Scholar] [CrossRef]








| Properties | Units | Shengyang Site | ||
|---|---|---|---|---|
| Clay mineral type | Hydromica, Kaolinite | |||
| Soil texture | Clay loam | |||
| Soil depth | cm | 0–20 | 20–40 | 40–60 |
| Bulk density | g cm−3 | 1.18 | 1.5 | 1.48 |
| pH in water (1:2.5) | 6.5 | 6 | 5.78 | |
| Clay (<2 μm) | % | 23 | 22 | 22 |
| Silt (2–50 μm) | % | 29 | 33 | 38 |
| Sand (50–2000 μm) | % | 48 | 45 | 40 |
| Organic carbon | g kg−1 | 9.2 | 6.4 | 4.2 |
| Total nitrogen | g kg−1 | 0.80 | 0.62 | 0.53 |
| Total phosphorus | g kg−1 | 0.38 | 0.32 | 0.53 |
| Available phosphorus | mg kg−1 | 6.5 | 5.1 | 1.5 |
| Total potassium | g kg−1 | 20.1 | 20 | 15.9 |
| Root growth factor | 1.00 | 0.549 | 0.368 | |
| Treatments | Chemical Fertilizer (kg ha−1 yr−1) | Animal Manure (kg N ha−1 yr−1) | ||
|---|---|---|---|---|
| N | P2O5 | K2O | ||
| Control (CK) | 0/0 | 0/0 | 0/0 | 0/0 |
| Combined chemical fertilizer of nitrogen, phosphorus, and potassium (NPK) | 120/301 | 60/90 | 60/90 | 0/0 |
| NPK with manure (MNPK) | 120/30 | 60/90 | 60/90 | 20/202 |
| NPK fertilizers plus a high application rate of manure (hMNPK) | 120/30 | 60/90 | 60/90 | 40/40 |
| RCPs | Solar Radiation (MJ m−2) | Maximum Temperature (℃) | Minimum Temperature (℃) | CO2 Concentration in Atmosphere (ppm) | Precipitation (mm) | Precipitation Events | Precipitation Intensity (Times) | |
|---|---|---|---|---|---|---|---|---|
| >10 mm | >50 mm | |||||||
| Baseline | 14.31 | 15.27 | 3.25 | 380.00 | 667.51 | 7227 | 1673 | 153 |
| RCP 2.6 | 14.58 | 15.61 | 4.69 | 432.31 | 930.95 | 7602 | 2318 | 171 |
| RCP 4.5 | 14.63 | 16.50 | 5.50 | 489.59 | 893.80 | 7307 | 2191 | 176 |
| RCP 8.5 | 14.71 | 17.70 | 6.98 | 615.54 | 871.09 | 6912 | 2182 | 181 |
| Year | Crop | Cultivar | Planting Date | Plant Density (Plant m−2) | Row Space (cm) | Fertilizer Date | Manure Date | Tillage Date | Harvest Date |
|---|---|---|---|---|---|---|---|---|---|
| 1979 | Maize | MZ1990 | 110 | 4.2 | 60 | 110 | 107 | 107 | 284 |
| 1980 | Soybean | SB1980 | 111 | 16.5 | 60 | 111 | 108 | 108 | 303 |
| 1981 | Maize | MZ1984 | 110 | 4.2 | 60 | 110 | 107 | 107 | 299 |
| 1982 | Maize | MZ1984 | 110 | 4.2 | 60 | 110 | 107 | 107 | 297 |
| 1983 | Soybean | SB1980 | 110 | 16.5 | 60 | 110 | 107 | 107 | 267 |
| 1984 | Maize | MZ1984 | 111 | 4.2 | 60 | 111 | 108 | 108 | 294 |
| 1985 | Maize | MZ1984 | 116 | 4.2 | 60 | 116 | 113 | 113 | 278 |
| 1986 | Soybean | SB1980 | 124 | 16.5 | 60 | 124 | 121 | 121 | 295 |
| 1987 | Maize | MZ1993 | 107 | 4.2 | 60 | 107 | 104 | 104 | 293 |
| 1988 | Maize | MZ1990 | 109 | 4.2 | 60 | 109 | 106 | 106 | 267 |
| 1989 | Soybean | SB1980 | 123 | 12 | 60 | 123 | 120 | 120 | 283 |
| 1990 | Maize | MZ1990 | 105 | 4.2 | 60 | 105 | 102 | 102 | 266 |
| 1991 | Maize | MZ1993 | 112 | 4.2 | 60 | 112 | 109 | 109 | 272 |
| 1992 | Soybean | SB1992 | 113 | 12 | 60 | 113 | — | 110 | 279 |
| 1993 | Maize | MZ1993 | 110 | 4.2 | 60 | 110 | 107 | 107 | 268 |
| 1995 | Maize | MZ2004 | 118 | 4.5 | 60 | 118 | 115 | 115 | 280 |
| 1996 | Soybean | SB1992 | 119 | 12 | 60 | 119 | — | 116 | 273 |
| 1997 | Maize | MZ1997 | 113 | 4.5 | 60 | 113 | 110 | 110 | 273 |
| 1998 | Maize | MZ1997 | 112 | 4.5 | 60 | 112 | 109 | 109 | 262 |
| 1999 | Soybean | SB1992 | 112 | 15 | 60 | 112 | — | 109 | 267 |
| 2000 | Maize | MZ2004 | 120 | 4.5 | 60 | 120 | 117 | 117 | 267 |
| 2001 | Maize | MZ2004 | 114 | 4.5 | 60 | 114 | 111 | 111 | 264 |
| 2002 | Soybean | SB1992 | 117 | 15 | 60 | 117 | — | 114 | 268 |
| 2003 | Maize | MZ2004 | 113 | 4.5 | 60 | 113 | 110 | 110 | 265 |
| 2004 | Maize | MZ2004 | 116 | 4.5 | 60 | 116 | 113 | 113 | 266 |
| 2005 | Soybean | SB1992 | 130 | 15 | 60 | 130 | — | 127 | 268 |
| 2006 | Maize | MZ1997 | 117 | 4.5 | 60 | 117 | 114 | 114 | 263 |
| 2007 | Maize | MZ1997 | 121 | 4.5 | 60 | 121 | 118 | 118 | 270 |
| 2008 | Soybean | SB1992 | 131 | 15 | 60 | 131 | — | 128 | 272 |
| 2009 | Maize | MZ2010 | 118 | 6 | 60 | 118 | 115 | 115 | 269 |
| 2010 | Maize | MZ2010 | 135 | 6 | 60 | 135 | 132 | 132 | 272 |
| 2011 | Soybean | SB2011 | 132 | 15 | 60 | 132 | — | 128 | 272 |
| 2012 | Maize | MZ2010 | 119 | 6 | 60 | 119 | 116 | 116 | 274 |
| 2013 | Maize | MZ2010 | 124 | 6 | 60 | 124 | 121 | 121 | 270 |
| 2014 | Soybean | SB2011 | 129 | 15 | 60 | 129 | — | 126 | 281 |
| 2015 | Maize | MZ1997 | 114 | 6 | 60 | 114 | 111 | 111 | 269 |
| Cultivar | Calibrated Coefficients | |||||
|---|---|---|---|---|---|---|
| Maize cultivar coefficients | ||||||
| Cultivar name | MZ1984 | MZ1990 | MZ1993 | MZ1997 | MZ2004 | MZ2010 |
| P1 Thermal time from crop seedling emergence to the end of the juvenile stage (°C day) | 299 | 281 | 246 | 297 | 249 | 290 |
| P2 Degree to which development is delayed for each hour rise in the photoperiod above the critical photoperiod (12.5 h for CERES) at which development proceeds at a maximum rate (day h−1) | 0.90 | 0.67 | 0.92 | 0.93 | 0.79 | 0.80 |
| P5 Thermal time from silking to physiological maturity | 933 | 980 | 982 | 966 | 999 | 997 |
| G2 Maximum possible number of kernels per plant | 869 | 750 | 959 | 944 | 921 | 825 |
| G3 Grain filling rate under optimum conditions (mg day−1) | 5.2 | 7.9 | 6.0 | 14.6 | 9.8 | 8.6 |
| PHINT Phyllochron interval between two successive leaf tip appearances | 34.5 | 30.8 | 30.3 | 33.9 | 39.0 | 30.1 |
| Soybean cultivar coefficients | ||||||
| Cultivar name | SB1980 | SB1992 | SB2011 | |||
| CSDL Critical short-day length below which reproductive development progress with no day-length effect (hours) | 13.3 | 13.2 | 13.5 | |||
| PPSEN Slope of the relative response of development to photoperiod with time (1 h−1) | 0.295 | 0.286 | 0.288 | |||
| EM-FL Time between plant emergence and flower appearance (R1) (photothermal days) | 14.5 | 17.9 | 23.0 | |||
| FL-SH Time between first flower and first pod (R3) (photothermal days) | 6.0 | 6.0 | 6.0 | |||
| FL-SD Time between first flower and first seed (R3) (photothermal days) | 13.5 | 13.5 | 13.0 | |||
| SD-PM Time between first seed (R5) and physiological maturity (R7) (photothermal days) | 29.4 | 29.3 | 30.6 | |||
| FL-LF Time between first flower (R1) and leaf expansion (photothermal days) | 26.0 | 26.0 | 26.0 | |||
| SLAVR Specific leaf area of cultivar under standard growth conditions (cm2 g−1) | 375 | 375 | 400 | |||
| SIZLF Maximum size of full leaf (three leaflets) (cm2) | 180 | 185 | 200 | |||
| WTPSD Maximum weight per seed (g) | 0.19 | 0.20 | 0.20 | |||
| SFDUR Seed filling duration for pod cohort at standard growth conditions (photothermal days) | 20 | 23 | 20 | |||
| SDPDV Average seed per pod under standard growing conditions (seeds pod−1) | 2.2 | 2.2 | 2.2 | |||
| PODUR Time required for cultivar to reach final pod load under optional conditions (photothermal days) | 10 | 10 | 10 | |||
| THRSH The maximum ratio of seed/ seed+ shell at maturity | 77 | 77 | 77 | |||
| Crop | Treatments | Grain Yields (kg ha−1) | Number of Samples | E | RMSE | nRMSE (%) | EF | d | P (Paired-t) | |
|---|---|---|---|---|---|---|---|---|---|---|
| Measured | Simulated | |||||||||
| Maize | CK | 4740 (2019)1 | 6574 (1851) | 21 | 1834 | 2395 | 50.55 | −0.46 | 0.68 | 0.00 |
| NPK | 9175 (2474) | 9132 (2239) | 21 | −43 | 898 | 9.78 | 0.86 | 0.96 | 0.83 | |
| MNPK | 10039 (2955) | 9526 (2360) | 21 | −513 | 1139 | 11.34 | 0.84 | 0.95 | 0.31 | |
| hMNPK | 10472 (2856) | 9822 (2529) | 21 | −650 | 1140 | 10.92 | 0.83 | 0.95 | 0.01 | |
| Soybean | CK | 1536 (255) | 1550 (145) | 11 | 15 | 204 | 13.29 | 0.30 | 0.68 | 0.83 |
| NPK | 2257 (193) | 2285 (197) | 11 | 28 | 148 | 6.57 | 0.35 | 0.83 | 0.56 | |
| MNPK | 2435 (331) | 2469 (380) | 11 | 25 | 237 | 9.69 | 0.47 | 0.87 | 0.65 | |
| hMNPK | 2469 (422) | 2532 (443) | 11 | 56 | 324 | 13.08 | −0.36 | 0.63 | 0.52 | |
| Variables | Treatments | Measured | Simulated | Number of Samples | E | RMSE | nRMSE (%) | EF | d | P (Paired-t) |
|---|---|---|---|---|---|---|---|---|---|---|
| SOC stock (t C ha−1) | CK | 20.07 (1.72)1 | 19.81 (0.99) | 36 | −0.27 | 1.66 | 6.99 | 0.03 | 0.57 | 0.35 |
| NPK | 21.40 (2.32) | 22.14 (0.13) | 36 | 0.74 | 2.37 | 9.44 | −0.07 | 0.35 | 0.06 | |
| MNPK | 25.76 (2.48) | 25.43 (1.30) | 36 | −0.33 | 1.70 | 5.76 | 0.52 | 0.78 | 0.25 | |
| hMNPK | 27.76 (3.31) | 26.58 (1.65) | 36 | −1.17 | 2.53 | 8.05 | 0.40 | 0.72 | 0.03 | |
| SN stock (t N ha−1) | CK | 2.00 (0.17) | 2.05 (0.06) | 36 | 0.05 | 0.15 | 6.44 | 0.21 | 0.59 | 0.25 |
| NPK | 2.07 (0.13) | 2.06 (0.07) | 36 | −0.01 | 0.10 | 4.13 | 0.37 | 0.7 | 0.53 | |
| MNPK | 2.20 (0.18) | 2.12 (0.08) | 36 | −0.09 | 0.15 | 5.91 | 0.3 | 0.71 | 0.00 | |
| hMNPK | 2.29 (0.04) | 2.22 (0.02) | 36 | −0.07 | 0.17 | 6.42 | 0.37 | 0.76 | 0.01 |
| Treatments | Baseline | RCP 2.6 | RCP 4.5 | RCP 8.5 | ||||
|---|---|---|---|---|---|---|---|---|
| SOC | SN | SOC | SN | SOC | SN | SOC | SN | |
| CK | −26.35 | 0.58 | −32.54 | 0.18 | −30.66 | 0.31 | −37.09 | −0.08 |
| NPK | 10.68 | 0.92 | 3.76 | 0.47 | 4.77 | 0.52 | 6.94 | 0.01 |
| MNPK | 80.63 | 4.42 | 75.28 | 3.85 | 70.78 | 3.55 | 59.21 | 2.87 |
| hMNPK | 101.98 | 5.56 | 93.58 | 5.08 | 83.95 | 4.47 | 74.17 | 3.91 |
© 2020 by the authors. Licensee MDPI, Basel, Switzerland. This article is an open access article distributed under the terms and conditions of the Creative Commons Attribution (CC BY) license (http://creativecommons.org/licenses/by/4.0/).
Share and Cite
Yan, W.; Jiang, W.; Han, X.; Hua, W.; Yang, J.; Luo, P. Simulating and Predicting Crop Yield and Soil Fertility under Climate Change with Fertilizer Management in Northeast China Based on the Decision Support System for Agrotechnology Transfer Model. Sustainability 2020, 12, 2194. https://doi.org/10.3390/su12062194
Yan W, Jiang W, Han X, Hua W, Yang J, Luo P. Simulating and Predicting Crop Yield and Soil Fertility under Climate Change with Fertilizer Management in Northeast China Based on the Decision Support System for Agrotechnology Transfer Model. Sustainability. 2020; 12(6):2194. https://doi.org/10.3390/su12062194
Chicago/Turabian StyleYan, Wenting, Wenting Jiang, Xiaori Han, Wei Hua, Jinfeng Yang, and Peiyu Luo. 2020. "Simulating and Predicting Crop Yield and Soil Fertility under Climate Change with Fertilizer Management in Northeast China Based on the Decision Support System for Agrotechnology Transfer Model" Sustainability 12, no. 6: 2194. https://doi.org/10.3390/su12062194
APA StyleYan, W., Jiang, W., Han, X., Hua, W., Yang, J., & Luo, P. (2020). Simulating and Predicting Crop Yield and Soil Fertility under Climate Change with Fertilizer Management in Northeast China Based on the Decision Support System for Agrotechnology Transfer Model. Sustainability, 12(6), 2194. https://doi.org/10.3390/su12062194
