Effects of Contemporary Land Use Types and Conversions from Wetland to Paddy Field or Dry Land on Soil Organic Carbon Fractions
Abstract
1. Introduction
2. Materials and Methods
2.1. Study Area
2.2. Soil Sampling and Analysis
2.3. Data Analysis
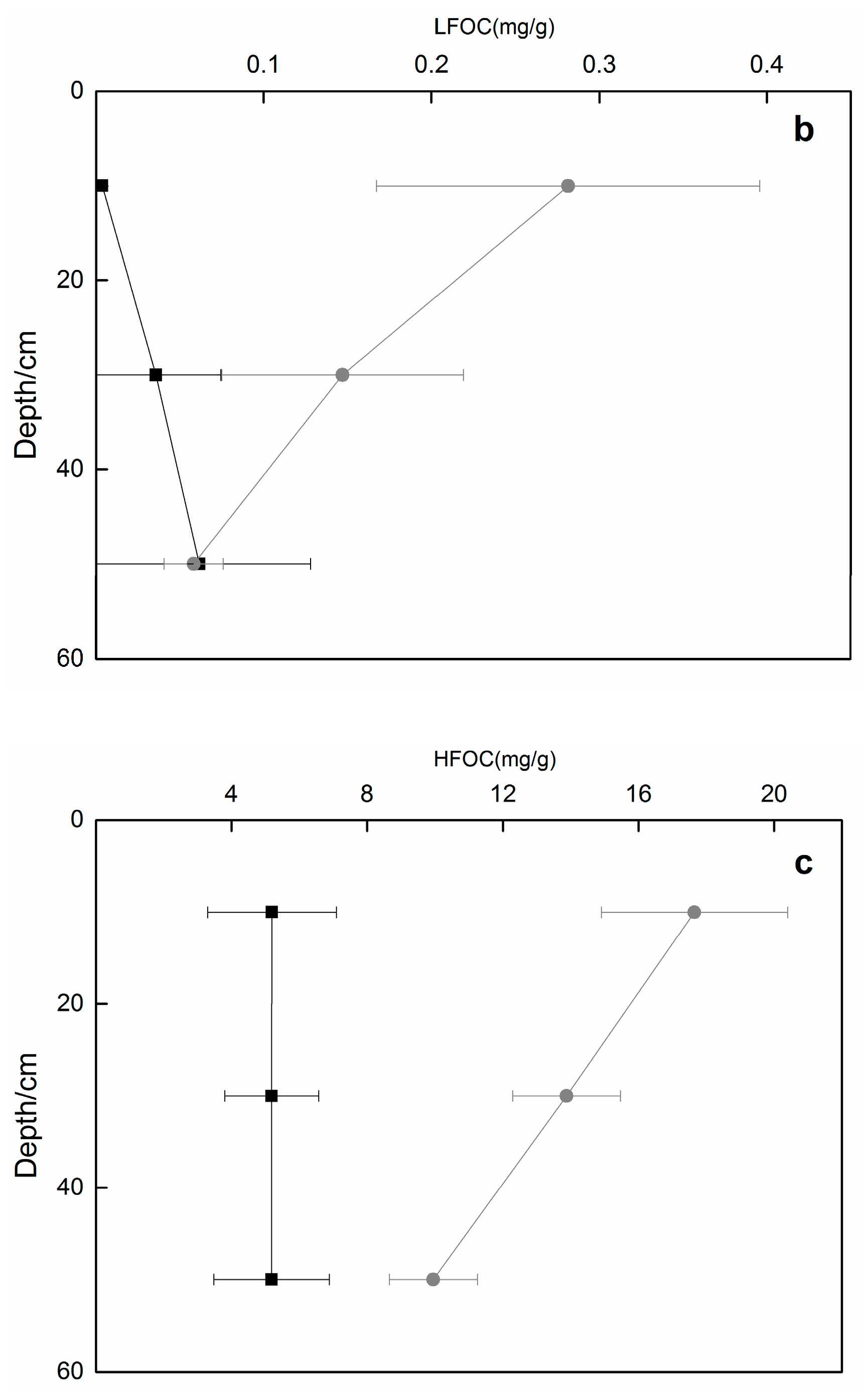
3. Results
3.1. Soil Organic Carbon Content in Different Land-Use Types
3.2. Soil Organic Carbon in Different Soil Depths and Reclamation Histories
3.3. Soil Characteristics
4. Discussion
4.1. Effects of Contemporary Land-Use Types on Soil Organic Carbon
4.2. Effects of the Conversion from Wetland to Paddy Fields and Dry Land on Soil Organic Carbon
5. Conclusions
Supplementary Materials
Author Contributions
Funding
Acknowledgments
Conflicts of Interest
References
- Thornton, P.E.; Calvin, K.; Jones, A.D.; Di Vittorio, A.V.; Bond-Lamberty, B.; Chini, L.; Shi, X.Y.; Mao, J.F.; Collins, W.D.; Edmonds, J.; et al. Biospheric feedback effects in a synchronously coupled model of human and Earth systems. Nat. Clim. Chang. 2017, 7, 496–500. [Google Scholar] [CrossRef]
- Lal, R. Soil carbon sequestration to mitigate climate change. Geoderma 2004, 123, 1–22. [Google Scholar] [CrossRef]
- Knox, J.W.; Matthews, R.B.; Wassmann, R. Using a crop/soil simulation model and GIS techniques to assess methane emissions from rice fields in Asia. III. Databases. Nutr. Cycl. Agroecosys. 2000, 58, 179–199. [Google Scholar] [CrossRef]
- Lu, Y.H.; Wassmann, R.; Neue, H.U.; Huang, C.Y. Dynamics of dissolved organic carbon and methane emissions in a flooded rice soil. Soil Sci. Soc. Am. J. 2000, 64, 2011–2017. [Google Scholar] [CrossRef]
- Tian, J.; Lu, S.H.; Fan, M.S.; Li, X.L.; Kuzyakov, Y. Labile soil organic matter fractions as influenced by non-flooded mulching cultivation and cropping season in rice-wheat rotation. Eur. J. Soil Biol. 2013, 56, 19–25. [Google Scholar] [CrossRef]
- Tao, S.; Lin, B. Water soluble organic carbon and its measurement in soil and sediment. Water Res. 2000, 34, 1751–1755. [Google Scholar] [CrossRef]
- Gregorich, E.G.; Carter, M.R.; Angers, D.A.; Monreal, C.M.; Ellert, B.H. Towards a minimum data set to assess soil organic matter quality in agricultural soils. Can. J. Soil Sci. 1994, 74, 367–385. [Google Scholar] [CrossRef]
- Janzen, H.H.; Campbell, C.A.; Brandt, S.A.; Lafond, G.P.; Townley-Smith, L. Light-fraction organic matter in soil from long-term crop rotations. Soil Sci. Soc. Am. J. 1992, 56, 1799–1806. [Google Scholar] [CrossRef]
- Sollins, P.; Spycher, G.; Glassman, C.A. Net nitrogen mineralization from light- and heavy-fraction forest soil organic matter. Soil Biol. Biochem. 1984, 16, 31–37. [Google Scholar] [CrossRef]
- Yang, Y.S.; Guo, J.F.; Chen, G.S.; Yin, Y.F.; Gao, R.; Lin, C.F. Effects of forest conversion on soil labile OC fractions and aggregate stability in subtropical China. Plant Soil 2009, 323, 153–162. [Google Scholar] [CrossRef]
- Boone, R.D. Light-fraction soil organic matter: Origin and contribution to net nitrogen mineralization. Soil Biol. Biochem. 1994, 26, 1459–1468. [Google Scholar] [CrossRef]
- Gong, W.; Yan, X.Y.; Wang, J.Y.; Hu, T.X.; Gong, Y.B. Long-term manure and fertilizer effects on soil organic matter fractions and microbes under a wheat-maize cropping system in northern China. Geoderma 2009, 149, 318–324. [Google Scholar] [CrossRef]
- Tan, Z.; Lal, R.; Owens, L.; Izaurralde, R.C. Distribution of light and heavy fractions of soil organic carbon as related to land use and tillage practice. Soil Till. Res. 2007, 92, 53–59. [Google Scholar] [CrossRef]
- Freixo, A.A.; Machado, P.L.; Santos, H.P.; Silva, C.A.; Fadigas, F.S. Soil organic carbon and fractions of a Rhodic Ferralsol under the influence of tillage and crop rotation systems in southern Brazil. Soil Till. Res. 2002, 64, 221–230. [Google Scholar] [CrossRef]
- Eswaran, H.; Van Den Berg, E.; Reich, P. Organic carbon in soils of the world. Soil Sci. Soc. Am. J. 1993, 57, 192–194. [Google Scholar] [CrossRef]
- WBGU (German Advisory Council on Global Change). The Accounting of Biological Sinks and Sources under the Kyoto Protocol: A Step forwards or Backwards for Global Environmental Protection; Special Report: Bremerhaven, Germany, 1998. [Google Scholar]
- Liu, Z.G. Carbon stock and GHG emission of wetland ecosystem. Sci. Geogr. Sin. 2004, 24, 634–639. (In Chinese) [Google Scholar] [CrossRef]
- Lal, R. Carbon sequestration. Philos. Trans. R. Soc. B Biol. Sci. 2008, 363, 815–830. [Google Scholar] [CrossRef]
- Whiting, G.J.; Chanton, J.P. Greenhouse carbon balance of wetlands: Methane emission versus carbon sequestration. Tellus B 2001, 53, 521–528. [Google Scholar] [CrossRef]
- Green, K.; Kempka, D.; Lackey, L. Using remote sensing to detect and monitor land-cover and land-use change. Photogramm. Eng. Rem. S 1994, 60, 331–337. [Google Scholar] [CrossRef]
- Roth, P.J.; Lehndorff, E.; Cao, Z.H.; Zhuang, S.Y.; Bannert, A.; Wissing, L.; Schloter, M.; Kögel- Knabner, I.; Amelung, W. Accumulation of nitrogen and microbial residues during 2000 years of rice paddy and non-paddy soil development in the Yangtze River Delta, China. Glob. Chang. Biol. 2011, 17, 3405–3417. [Google Scholar] [CrossRef]
- Cui, J.; Liu, C.; Li, Z.L.; Wang, L.; Chen, X.F.; Ye, Z.Z.; Fang, C.M. Long-term changes in topsoil chemical properties under centuries of cultivation after reclamation of coastal wetlands in the Yangtze Estuary, China. Soil Till. Res. 2012, 123, 50–60. [Google Scholar] [CrossRef]
- Wissing, L.; Kölbl, A.; Schad, P.; Bräuer, T.; Cao, Z.H.; Kögel-Knabner, I. Organic carbon accumulation on soil mineral surfaces in paddy soils derived from tidal wetlands. Geoderma 2014, 228–229, 90–103. [Google Scholar] [CrossRef]
- Zhang, H.; Wu, P.B.; Yin, A.J.; Yang, X.H.; Zhang, X.; Zhang, M.; Gao, C. Organic carbon and total nitrogen dynamics of reclaimed soils following intensive agricultural use in eastern China. Agr. Ecosyst. Environ. 2016, 235, 193–203. [Google Scholar] [CrossRef]
- Fu, Q.L.; Ding, N.F.; Liu, C.; Lin, Y.C.; Guo, B. Soil development under different cropping systems in a reclaimed coastal soil chronosequence. Geoderma 2014, 230, 50–57. [Google Scholar] [CrossRef]
- Iost, S.; Landgraf, D.; Makeschin, F. Chemical soil properties of reclaimed marsh soil from Zhejiang Province P.R. China. Geoderma 2007, 142, 245–250. [Google Scholar] [CrossRef]
- Zhao, D.; Dong, J.Y.; Ji, S.P.; Liu, J. Land use pattern and soil organic carbon storage in Nansi Lakes Area for 5 periods since 1978. Wetl. Sci. 2019, 17, 637–644. (In Chinese) [Google Scholar] [CrossRef]
- Yang, J.; Shan, L.Z.; Xi, J.C.; Li, X.M.; Ge, Q.S. Land use pattern changes and ecological effects in Nansihu wetland. Resour. Sci. 2014, 36, 856–864. (In Chinese) [Google Scholar]
- Cao, Q.Q.; Wang, R.Q.; Liu, J. Composition and distribution of organic carbon in river sediments: A case study of two northern Chinese rivers. Pol. J. Environ. Stud. 2015, 24, 969–975. [Google Scholar] [CrossRef]
- Batjes, N.H. Total carbon and nitrogen in the soils of world. Eur. J. Soil Sci. 2015, 65, 2–3. [Google Scholar] [CrossRef]
- Jones, D.L.; Willett, V.B. Experimental evaluation of methods to quantify dissolved organic nitrogen (DON) and dissolved OC (DOC) in soil. Soil Biol. Biochem. 2006, 38, 991–999. [Google Scholar] [CrossRef]
- Dittmar, T.; Koch, B.; Hertkorn, N.; Kattner, G. A simple and efficient method for the solid-phase extraction of dissolved organic matter (SPE-DOM) from seawater. Limnol. Oceanogr. Meth. 2008, 6, 230–235. [Google Scholar] [CrossRef]
- Zhang, W.J.; Peng, P.Q.; Tong, C.L.; Wang, X.L.; Wu, J.S. Characteristics of distribution and composition of OC in Dongting Lake floodplain. Environ. Sci. 2005, 26, 56–60. (In Chinese) [Google Scholar] [CrossRef]
- Anderson, J.M.; Ingram, J.S.I. Tropical Soil Biology and Fertility: A Handbook of Methods; CAB International: Wallingford, UK, 1993. [Google Scholar]
- Indoranate, S.J.; Hammer, R.D.; Koenig, P.G.; Follmer, L.R. Particle-size analysis by a modified pipette procedure. Soil Sci. Soc. Am. J. 1990, 54, 560–563. [Google Scholar] [CrossRef]
- Denef, K.; Zotarelli, L.; Boddey, R.M.; Six, J. Microaggregate-associated carbon as a diagnostic fraction for management-induced changes in soil organic carbon in two Oxisols. Soil Biol. Biochem. 2007, 39, 1165–1172. [Google Scholar] [CrossRef]
- Zhou, P.; Song, G.H.; Pan, G.X.; Li, L.Q.; Zhang, X.H. Role of chemical protection by binding to oxyhydrates in SOC sequestration in three typical paddy soils under long-term agro-ecosystem experiments from South China. Geoderma 2009, 153, 52–60. [Google Scholar] [CrossRef]
- Zhang, J.B.; Song, C.C.; Yang, W.Y. Land use effects on the distribution of labile organic carbon fractions through soil profiles. Soil Sci. Soc. Am. J. 2006, 70, 660–667. [Google Scholar] [CrossRef]
- Zhang, J.B.; Song, C.C.; Wang, S.M. Short-term dynamics of carbon and nitrogen after tillage in a freshwater marsh of northest China. Soil Till. Res. 2008, 99, 149–157. [Google Scholar] [CrossRef]
- Li, X.Z.; Sun, Y.G.; Mander, Ü.; He, Y.L. Effects of land use intensity on soil nutrient distribution after reclamation in an estuary landscape. Landsc. Ecol. 2013, 28, 699–707. [Google Scholar] [CrossRef]
- Bai, J.; Xiao, R.; Zhang, K.; Gao, H.; Cui, B.; Liu, X. Soil organic carbon as affected by land use in young and old reclaimed regions of a coastal estuary wetland, China. Soil Use Manag. 2013, 29, 57–64. [Google Scholar] [CrossRef]
- Ryu, Y.; Baldocchi, D.D.; Kobayashi, H.; van Ingen, C.; Li, J.; Black, T.A.; Beringer, J.; van Gorsel, E.; Knohl, A.; Law, B.E.; et al. Integration of MODIS land and atmosphere products with a coupled-process model to estimate gross primary productivity and evapotranspiration from 1 km to global scales. Glob. Biogeochem. Cycles 2011, 25, 271–284. [Google Scholar] [CrossRef]
- Yu, Q.Z.; Zhang, Z.L.; Lu, J.S.; Sun, J.J. Spatial and temporal variation of vegetation carbon storage in nansihu lake wetland from 1987 to 2008. Ecol. Environ. Sci. 2012, 21, 1527–1532. (In Chinese) [Google Scholar] [CrossRef]
- Zhao, G.M.; Sun, X.; Ling, L.; Liu, Z.P. Innovative artificial agro-ecosystems enhance soil carbon sequestration in Coastal Zones of Southeast China. CLEAN Soil Air Water 2013, 41, 581–586. [Google Scholar] [CrossRef]
- Sigua, G.C.; Coleman, S.W.; Albano, J. Beef cattle pasture to wetland reconversion: Impact on soil organic carbon and phosphorus dynamics. Ecol. Eng. 2009, 35, 1231–1236. [Google Scholar] [CrossRef]
- Debusk, W.F.; Reddy, K.R. Turnover of detrital organic carbon in a nutrient-impacted everglades marsh. Soil Sci. Soc. Am. J. 1998, 62, 1460–1468. [Google Scholar] [CrossRef]
- Cao, Q.Q.; Wang, H.; Chen, X.C.; Wang, R.Q.; Liu, J. Composition and distribution of microbial communities in natural river wetlands and corresponding constructed wetlands. Ecol. Eng. 2017, 98, 40–48. [Google Scholar] [CrossRef]
- Fernandes, J.P.; Almeida, C.M.R.; Pereira, A.C.; Ribeiro, I.L.; Reis, I.; Carvalho, P.; Clara, M.; Basto, P.; Mucha, A.P. Microbial community dynamics associated with veterinary antibiotics removal in constructed wetlands microcosms. Bioresour. Technol. 2015, 182, 26–33. [Google Scholar] [CrossRef] [PubMed]
- Freeman, C.; Fenner, N.; Ostle, N.J.; Kang, H.; Dowrick, D.J.; Reynolds, B.; Lock, M.; Sleep, D.; Hughes, S.L.; Hudson, J. Export of dissolved organic carbon from peatlands under elevated carbon dioxide levels. Nature 2004, 430, 195–198. [Google Scholar] [CrossRef]
- Bartlett, R.; Bottrell, S.; Coulson, J. Behaviour of sulphur during diagenesis of a maritime ombrotrophic peat from yell, Shetland Islands, UK. Appl. Geochem. 2005, 20, 1597–1605. [Google Scholar] [CrossRef]
- Saviozzi, A.; Levi-Minzi, R.; Cardelli, R.; Riffaldi, R. A comparison of soil quality in adjacent cultivated, forest and native grassland soils. Plant Soil 2001, 233, 251–259. [Google Scholar] [CrossRef]
- Wang, L.L.; Song, C.C.; Yang, G.S. Dissolved organic carbon characteristics in surface ponds from contrasting wetland ecosystems: A case study in the Sanjiang Plain, Northeast China. Hydrol. Earth Syst. Sci. 2013, 17, 371–378. [Google Scholar] [CrossRef]
- Srivastava, P.; Singh, P.K.; Singh, R.; Bhadouria, R.; Singh, D.K.; Singh, S.; Afreen, T.; Tripathi, S.; Singh, P.; Singh, H.; et al. Relative availability of inorganic N-pools shifts under land use change: An unexplored variable in soil carbon dynamics. Ecol. Indic. 2016, 64, 228–236. [Google Scholar] [CrossRef]
- Szoboszlay, M.; Dohrmann, A.B.; Poeplau, C.; Don, A.; Tebbe, C.C. Impact of land-use change and soil organic carbon quality on microbial diversity in soils across Europe. FEMS Microbiol. Ecol. 2017, 93, 1–12. [Google Scholar] [CrossRef] [PubMed]
- Avnimelech, Y.; Ritvo, G.; Meijer, L.E.; Kochba, M. Water content, organic carbon and dry bulk density in flooded sediments. Aquacult. Eng. 2001, 25, 25–33. [Google Scholar] [CrossRef]
- Zhang, J.B.; Song, C.C.; Yang, W.Y. Tillage effects on soil carbon fractions in the Sanjiang Plain, Northest China. Soil Till. Res. 2007, 93, 102–108. [Google Scholar] [CrossRef]
- Frolking, S.; Roulet, N.T.; Moore, T.R.; Richard, P.J.H.; Lavoie, M.; Muller, S.D. Modeling Northern Peatland decomposition and peat accumulation. Ecosystems 2001, 4, 479–498. [Google Scholar] [CrossRef]
- Reddy, K.R.; Patrick, W.H. Effect of alternate aerobic and anaerobic conditions on redox potential, organic matter decomposition and nitrogen loss in flooded soils. Soil Biol. Biochem. 1975, 7, 87–94. [Google Scholar] [CrossRef]
- Osher, L.J.; Matson, P.A.; Amundson, R. Effect of land use change on soil carbon in Hawaii. Biogeochemistry 2003, 65, 213–232. [Google Scholar] [CrossRef]
- Yan, X.; Zhou, H.; Zhu, Q.H.; Wang, X.F.; Zhang, Y.Z.; Yu, X.C.; Peng, X. Carbon sequestration efficiency in paddy soil and upland soil under long-term fertilization in southern China. Soil Till. Res. 2013, 130, 42–51. [Google Scholar] [CrossRef]
- Song, X.Y.; Spaccini, R.; Pan, G.; Piccolo, A. Stabilization by hydrophobic protection as a molecular mechanism for organic carbon sequestration in maize-amended rice paddy soils. Sci. Total Environ. 2013, 458–460, 319–330. [Google Scholar] [CrossRef]
- Zhang, G.L.; Gong, Z.T. Pedogenic evolution of paddy soils in different soil landscapes. Geoderma 2003, 115, 15–29. [Google Scholar] [CrossRef]
- Mcdonagh, J.F.; Thomsen, T.B.; Magid, J. Soil organic matter decline and compositional change associated with cereal cropping in southern Tanzania. Land Degrad. Dev. 2001, 12, 13–26. [Google Scholar] [CrossRef]
- Birch-Thomsen, T.; Elberling, B.; Fog, B.; Magid, J. Temporal and spatial trends in soil organic carbon stocks following maize cultivation in semi-arid tanzania, east Africa. Nutr. Cycl. Agroecosyst. 2007, 79, 291–302. [Google Scholar] [CrossRef]
- Zhang, W.J.; Xu, M.G.; Wang, X.J.; Huang, Q.H.; Nie, J.; Li, Z.Z.; Li, S.L.; Hwang, S.W.; Lee, K.B. Effects of organic amendments on soil carbon sequestration in paddy fields of subtropical China. J. Soil Sediment. 2012, 12, 457–470. [Google Scholar] [CrossRef]








| Natural Wetland | Constructed Wetland | Dry Land | Paddy Field | Fishpond | Significant | |
|---|---|---|---|---|---|---|
| Moisture content % | 0.60 ± 0.24 | 0.79 ± 0.46 | 0.22 ± 0.06 | 0.57 ± 0.12 | 0.49 ± 0.05 | ** |
| Bulk density g cm−3 | 0.76 ± 0.21 | 0.68 ± 0.26 | 0.80 ± 0.21 | 0.81 ± 0.17 | 0.80 ± 0.13 | |
| pH | 7.88 ± 0.08 | 7.63 ± 0.10 | 8.12 ± 0.07 | 8.04 ± 0.05 | 8.09 ± 0.05 | ** |
| Clay % | 8.76 ± 6.06 | 8.65 ± 4.08 | 4.32 ± 1.53 | 22.15 ± 7.10 | 12.37 ± 1.23 | ** |
| Sand % | 11.45 ± 5.68 | 9.10 ± 5.21 | 3.90 ± 1.03 | 3.61 ± 1.57 | 2.40 ± 1.01 | ** |
| Silt % | 79.79 ± 8.30 | 82.26 ± 5.50 | 91.78 ± 2.11 | 74.25 ± 7.82 | 85.24 ± 1.90 | ** |
| AP mg kg−1 | 4.06 ± 2.61 | 5.24 ± 2.32 | 4.48 ± 3.36 | 13.84 ± 5.65 | 3.30 ± 2.66 | ** |
| LF-N mg g−1 | 0.0290 ± 0.03 | 0.0120 ± 0.01 | 0.0242 ± 0.03 | 0.0326 ± 0.01 | 0.0097 ± 0.01 | * |
| HF-N mg g−1 | 0.5815 ± 0.35 | 1.9620 ± 0.66 | 0.1370 ± 0.15 | 2.2808 ± 0.51 | 1.0981 ± 0.78 | ** |
| Moisture Content | Bulk Density | pH | Clay | Sand | Silt | AP | LF-N | HF-N | |
|---|---|---|---|---|---|---|---|---|---|
| DOC | 0.772 ** | −0.478 ** | −0.536 ** | 0.007 | 0.371 * | −0.233 | 0.213 | 0.423 ** | 0.395 * |
| LFOC | 0.179 | −0.267 | −0.072 | −0.057 | 0.235 | −0.091 | 0.139 | 0.841 ** | −0.020 |
| HFOC | 0.546 ** | −0.117 | −0.389 * | 0.586 ** | 0.271 | −0.712 ** | 0.409 ** | 0.132 | 0.902 ** |
© 2020 by the authors. Licensee MDPI, Basel, Switzerland. This article is an open access article distributed under the terms and conditions of the Creative Commons Attribution (CC BY) license (http://creativecommons.org/licenses/by/4.0/).
Share and Cite
Zhao, D.; Dong, J.; Ji, S.; Huang, M.; Quan, Q.; Liu, J. Effects of Contemporary Land Use Types and Conversions from Wetland to Paddy Field or Dry Land on Soil Organic Carbon Fractions. Sustainability 2020, 12, 2094. https://doi.org/10.3390/su12052094
Zhao D, Dong J, Ji S, Huang M, Quan Q, Liu J. Effects of Contemporary Land Use Types and Conversions from Wetland to Paddy Field or Dry Land on Soil Organic Carbon Fractions. Sustainability. 2020; 12(5):2094. https://doi.org/10.3390/su12052094
Chicago/Turabian StyleZhao, Di, Junyu Dong, Shuping Ji, Miansong Huang, Quan Quan, and Jian Liu. 2020. "Effects of Contemporary Land Use Types and Conversions from Wetland to Paddy Field or Dry Land on Soil Organic Carbon Fractions" Sustainability 12, no. 5: 2094. https://doi.org/10.3390/su12052094
APA StyleZhao, D., Dong, J., Ji, S., Huang, M., Quan, Q., & Liu, J. (2020). Effects of Contemporary Land Use Types and Conversions from Wetland to Paddy Field or Dry Land on Soil Organic Carbon Fractions. Sustainability, 12(5), 2094. https://doi.org/10.3390/su12052094

