Ammonia- and Methane-Oxidizing Bacteria: The Abundance, Niches and Compositional Differences for Diverse Soil Layers in Three Flooded Paddy Fields
Abstract
1. Introduction
2. Materials and Methods
2.1. Soil Sampling and Site Characteristics
2.2. Determination of Soil Properties
2.3. Potential Nitrification Rates (PNRs) and Methane Oxidation Potentials (MOP)
2.4. Molecular Analyses
2.5. Cloning, Sequencing, and Phylogenetic Analysis
3. Statistical Analysis
4. Results
4.1. Potential Nitrification Rates
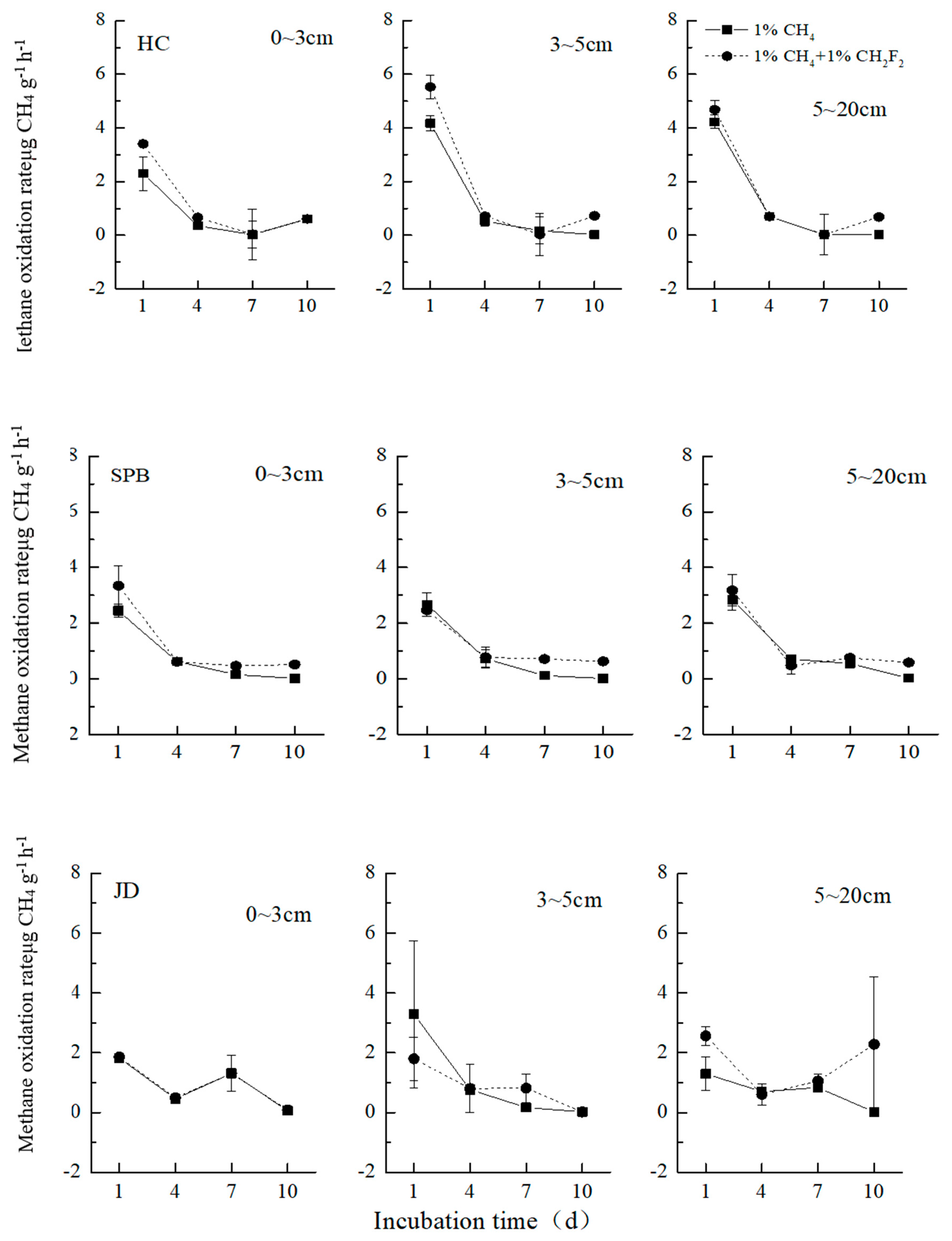
4.2. CH4 oxidation Potentials
4.3. AOA, AOB, and MOB Abundance
4.4. AOA, AOB, and MOB Community Composition
5. Discussion
5.1. Spatial Occurrence and Abundance of AOA, AOB and MOB among the FPFs
5.2. Community Structure of AOA, AOB, and MOB at Different Soil Depth among the FPFs
6. Conclusions
Author Contributions
Acknowledgments
Conflicts of Interest
References
- Song, H.; Che, Z.; Cao, W.; Huang, T.; Wang, J.; Dong, Z. Changing roles of ammonia-oxidizing bacteria and archaea in a continuously acidifying soil caused by over-fertilization with nitrogen. Environ. Sci. Pollut. Res. 2016, 23, 11964–11974. [Google Scholar] [CrossRef] [PubMed]
- Leininger, S.; Urich, T.; Schloter, M.; Schwark, L.; Qi, J.; Nicol, G.W.; Prosser, J.I.; Schuster, S.C.; Schleper, C. Archaea predominate among ammonia-oxidizing prokaryotes in soils. Nat. 2006, 442, 806–809. [Google Scholar] [CrossRef] [PubMed]
- Zheng, Y.; Zhang, L.-M.; Zheng, Y.-M.; Di, H.; He, J.-Z. Abundance and community composition of methanotrophs in a Chinese paddy soil under long-term fertilization practices. J. Soils Sediments 2008, 8, 406–414. [Google Scholar] [CrossRef]
- Qiu, Q.; Noll, M.; Abraham, W.-R.; Lu, Y.; Conrad, R. Applying stable isotope probing of phospholipid fatty acids and rRNA in a Chinese rice field to study activity and composition of the methanotrophic bacterial communities in situ. ISME J. 2008, 2, 602–614. [Google Scholar] [CrossRef] [PubMed]
- Yang, Y.; Shan, J.; Zhang, J.; Zhang, X.; Xie, S.; Liu, Y. Ammonia- and methane-oxidizing microorganisms in high-altitude wetland sediments and adjacent agricultural soils. Appl. Microbiol. Biotechnol. 2014, 98, 10197–10209. [Google Scholar] [CrossRef]
- Bodelier, P.L.E.; Roslev, P.; Henckel, T.; Frenzel, P. Stimulation by ammonium-based fertilizers of methane oxidation in soil around rice roots. Nat. 2000, 403, 421–424. [Google Scholar] [CrossRef]
- Faostat, F. Agricultural Organization of the United Nations. 2010. Available online: faostat.fao.org (accessed on 2 May 2019).
- Stieglmeier, M.; Kling, A.; Alves, R.J.E.; Rittmann, S.K.M.R.; Melcher, M.; Leisch, N.; Schleper, C. Nitrososphaera viennensisgen. nov., sp. nov., anaerobic and mesophilic, ammonia-oxidizing archae from soil and a member of the archaeal phylum Thaumarchaeota. Int. J. Syst. Evol. Microbiol. 2014, 64, 2738–2752. [Google Scholar] [CrossRef]
- Kampschreur, M.J.; Van Der Star, W.R.; Wielders, H.A.; Mulder, J.W.; Jetten, M.S.; Van Loosdrecht, M.C. Dynamics of nitric oxide and nitrous oxide emission during full-scale reject water treatment. Water Res. 2008, 42, 812–826. [Google Scholar] [CrossRef]
- Blainey, P.C.; Mosier, A.C.; Potanina, A.; Francis, C.A.; Quake, S.R. Genome of a Low-Salinity Ammonia-Oxidizing Archaeon Determined by Single-Cell and Metagenomic Analysis. PLoS ONE 2011, 6, e16626. [Google Scholar] [CrossRef]
- Tourna, M.; Freitag, T.E.; Nicol, G.W.; Prosser, J.I. Growth, activity and temperature responses of ammonia-oxidizing archaea and bacteria in soil microcosms. Environ. Microbiol. 2010, 10, 1357–1364. [Google Scholar] [CrossRef]
- Zhang, M.-M.; Alves, R.J.; Zhang, D.-D.; Han, L.-L.; He, J.-Z.; Zhang, L.-M. Time-dependent shifts in populations and activity of bacterial and archaeal ammonia oxidizers in response to liming in acidic soils. Soil Boil. Biochem. 2017, 112, 77–89. [Google Scholar] [CrossRef]
- Chen, Y.L.; Xu, Z.W.; Hu, H.W.; Hu, Y.J.; Hao, Z.P.; Jiang, Y.; Chen, B.D. Responses of ammonia-oxidizing bacteria and archaea to nitrogen fertilization and precipitation increment in a typical temperate steppe in Inner Mongolia [J]. Appl. Soil Ecol. 2013, 68, 36–45. [Google Scholar] [CrossRef]
- Yao, H.Y.; Gao, Y.M.; Nicol, G.W.; Campbell, C.D.; Prosser, J.I.; Zhang, L.M.; Han, W.Y.; Singh, B.K. Links between ammonia oxidizer community structure, abundance, and nitrification potential in acidic soils. Appl. Environ. Microbiol. 2001, 77, 4618–4625. [Google Scholar] [CrossRef] [PubMed]
- Jia, Z.; Conrad, R.; Jia, Z.J.; Conrad, R. Bacteria rather than Archaea dominate microbial ammonia oxidation in an agricultural soil. Environ Microbiol. 2009, 11, 1658–1671. [Google Scholar] [CrossRef]
- Zhang, F.-Q.; Pan, W.; Gu, J.-D.; Xu, B.; Zhang, W.-H.; Zhu, B.-Z.; Wang, Y.-X.; Wang, Y.-F. Dominance of ammonia-oxidizing archaea community induced by land use change from Masson pine to eucalypt plantation in subtropical China. Appl. Microbiol. Biotechnol. 2016, 100, 6859–6869. [Google Scholar] [CrossRef]
- Lehtovirta-Morley, L.E.; Stoecker, K.; Vilcinskas, A.; Prosser, J.I.; Nicol, G.W. Cultivation of an obligate acidophilic ammonia oxidizer from a nitrifying acid soil [J]. Proc. Natl. Acad. Sci. USA. 2011, 108, 15892–15897. [Google Scholar] [CrossRef]
- Ying, J.-Y.; Zhang, L.-M.; He, J.-Z. Putative ammonia-oxidizing bacteria and archaea in an acidic red soil with different land utilization patterns. Environ. Microbiol. Rep. 2010, 2, 304–312. [Google Scholar] [CrossRef]
- Zhang, J.; Liu, B.; Zhou, X.; Chu, J.; Li, Y.; Wang, M. Effects of emergent aquatic plants on abundance and community structure of ammonia-oxidising microorganisms. Ecol. Eng. 2015, 81, 504–513. [Google Scholar] [CrossRef]
- Shen, J.-P.; Zhang, L.-M.; Zhu, Y.-G.; Zhang, J.-B.; He, J.-Z. Abundance and composition of ammonia-oxidizing bacteria and ammonia-oxidizing archaea communities of an alkaline sandy loam. Environ. Microbiol. 2008, 10, 1601–1611. [Google Scholar] [CrossRef]
- Shen, X.Y.; Zhang, L.M.; Shen, J.P.; Li, L.H.; Yuan, C.L.; He, J.Z. Nitrogen loading levels affect abundance and com-position of soil ammonia oxidizing prokaryotes in semiarid temper-ate grassland. J. Soil Sediment. 2011, 11, 1243–1252. [Google Scholar] [CrossRef]
- Walkey, A.; Black, I.A. An examination of the Different method for determining soil organic matter, and a proposed modification of the chromic acid titration method. Soil Sci. 1934, 34, 29–38. [Google Scholar] [CrossRef]
- U.S. EPA Method Determination of Total Kjeldahl Nitrogen by Semi-Automated Colorimetry; EPA: Cincinnati, Ohio, USA, August 1993; 351, p. 2.
- Jiang, X.; Hou, X.; Zhou, X.; Xin, X.; Wright, A.; Jia, Z. pH regulates key players of nitrification in paddy soils. Soil Boil. Biochem. 2015, 81, 9–16. [Google Scholar] [CrossRef]
- Lü, Z.-M.; Min, H.; Chen, Z.-Y.; Lü, Q. [Contribution of anaerobic oxidation of methane to whole methane oxidation]. Huan jing ke xue= Huanjing kexue 2005, 26, 13–17. [Google Scholar] [PubMed]
- Rotthauwe, J.H.; Witzel, K.P.; Liesack, W. The ammonia monooxygenase structural gene amoA as a functional marker: molecular fine-scale analysis of natural ammonia-oxidizing populations. Appl. Environ. Microbiol. 1997, 63, 4704–4712. [Google Scholar] [CrossRef] [PubMed]
- Liebner, S.; Rublack, K.; Stuehrmann, T.; Wagner, D. Diversity of Aerobic Methanotrophic Bacteria in a Permafrost Active Layer Soil of the Lena Delta. Siberia. Microb Ecol. 2009, 57, 25–35. [Google Scholar] [CrossRef]
- Beman, J.M.; Francis, C.A. Diversity of Ammonia-Oxidizing Archaea and Bacteria in the Sediments of a Hypernutrified Subtropical Estuary: Bahía del Tóbari, Mexico▿. Appl. Environ. Microbiol. 2006, 72, 7767–7777. [Google Scholar] [CrossRef]
- Zhou, X.Q.; Wang, Y.F.; Huang, X.Z.; Tian, J.Q.; Hao, Y.B. Effect of grazing intensities on the activity and community structure of methane-oxidizing bacteria of grassland soil in inner mongolia. Nutr. Cycl. Agroecosys. 2008, 80, 145–152. [Google Scholar] [CrossRef]
- Tamura, K.; Dudley, J.; Nei, M.; Kumar, S. MEGA4: Molecular Evolutionary Genetics Analysis (MEGA) Software Version 4.0. Mol. Boil. Evol. 2007, 24, 1596–1599. [Google Scholar] [CrossRef]
- Isobe, K.; Koba, K.; Suwa, Y.; Ikutani, J.; Fang, Y.; Yoh, M.; Mo, J.; Otsuka, S.; Senoo, K. High abundance of ammonia-oxidizing archaea in acidified subtropical forest soils in southern China after long-term N deposition. FEMS Microbiol. Ecol. 2012, 80, 193–203. [Google Scholar] [CrossRef]
- Zhang, L.M.; Hu, H.W.; Shen, J.P.; He, J.Z. Ammonia-oxidizing archaea have more important role than ammonia-oxidizing bacteria in ammonia oxidation of strongly acidic soils. Isme. J. 2012, 6, 1032–1045. [Google Scholar] [CrossRef]
- Strauss, S.; Reardon, C.; Mazzola, M. The response of ammonia-oxidizer activity and community structure to fertilizer amendment of orchard soils. Soil Boil. Biochem. 2014, 68, 410–418. [Google Scholar] [CrossRef]
- Bannert, A.; Mueller-Niggemann, C.; Kleineidam, K.; Wissing, L.; Cao, Z.-H.; Schwark, L.; Schloter, M. Comparison of lipid biomarker and gene abundance characterizing the archaeal ammonia-oxidizing community in flooded soils. Boil. Fertil. Soils 2011, 47, 839–843. [Google Scholar] [CrossRef]
- Liu, Y.; Zhou, Z.; Pan, J.; Baker, B.J.; Gu, J.-D.; Li, M. Comparative genomic inference suggests mixotrophic lifestyle for Thorarchaeota. ISME J. 2018, 12, 1021–1031. [Google Scholar] [CrossRef] [PubMed]
- Kemmitt, S.J.; Wright, D.; Goulding, K.W.; Jones, D.L. pH regulation of carbon and nitrogen dynamics in two agricultural soils. Soil Boil. Biochem. 2006, 38, 898–911. [Google Scholar] [CrossRef]
- Liu, Z.; Xie, H.; Hu, Z.; Zhang, J.; Sun, H.; Lan, W. Role of Ammonia-Oxidizing Archaea in Ammonia Removal of Wetland Under Low-Temperature Condition. Water, Air, Soil Pollut. 2017, 228, 356–365. [Google Scholar] [CrossRef]
- Steenbergh, A.K.; Meima, M.M.; Kamst, M.; Bodelier, P.L. Biphasic kinetics of  a methanotrophic community is a combination of growth and increased activity per cell. FEMS Microbiol. Ecol. 2010, 71, 12–22. [Google Scholar] [CrossRef]
- Amaral, J.A.; Archambault, C.; Richards, S.R.; Knowles, R. Denitrification associated with groups i and ii methanotrophs in a gradient enrichment system. Fems. Microbiol. Ecology 2010, 18, 289–298. [Google Scholar] [CrossRef]
- Abell, G.C.; Stralis-Pavese, N.; Sessitsch, A.; Bodrossy, L. Grazing affects methanotroph activity and diversity in an alpine meadow soil. Environ. Microbiol. Rep. 2010, 1, 457–465. [Google Scholar] [CrossRef]
- Auman, A.J.; Stolyar, S.; Costello, A.M.; Lidstrom, M.E. Molecular Characterization of Methanotrophic Isolates from Freshwater Lake Sediment. Appl. Environ. Microbiol. 2000, 66, 5259–5266. [Google Scholar] [CrossRef]
- Einola, J.-K.M.; Kettunen, R.H.; Rintala, J.A. Responses of methane oxidation to temperature and water content in cover soil of a boreal landfill. Soil Boil. Biochem. 2007, 39, 1156–1164. [Google Scholar] [CrossRef]
- Stiehl-Braun, P.A.; Powlson, D.S.; Poulton, P.R.; Niklaus, P.A. Effects of N fertilizers and liming on the micro-scale distribution of soil methane assimilation in the long-term Park Grass experiment at Rothamsted. Soil Boil. Biochem. 2011, 43, 1034–1041. [Google Scholar] [CrossRef]
- Eller, G.; Frenzel, P. Changes in Activity and Community Structure of Methane-Oxidizing Bacteria over the Growth Period of Rice. Appl. Environ. Microbiol. 2001, 67, 2395–2403. [Google Scholar] [CrossRef] [PubMed]
- Krüger, M.; Frenzel, P. Effects of N-fertilisation on CH4 oxidation and production, and consequences for CH4 emissions from microcosms and rice fields. Glob. Chang. Biol. 2010, 9, 773–784. [Google Scholar] [CrossRef]












| Bei Bei (JD) | He Chuan (HC) | Sha Pingba (SPB) | |||||||
|---|---|---|---|---|---|---|---|---|---|
| 0–3 cm | 3–5 cm | 5–20 cm | 0–3 cm | 3–5 cm | 5–20 cm | 0–3 cm | 3–5 cm | 5–20 cm | |
| Average rainfall (mm) | 1105.4 | 1100–1300 | 1100 | ||||||
| Average temperature (°C) | 18.3 | 18.1 | 18.2 | ||||||
| Average sunshine (h) | 1276.7 | 1300 | 1150 | ||||||
| Frostless period (d) | 334 | 331 | 325 | ||||||
| pH | 6.6 | 6.8 | 6.5 | 6.7 | 6.6 | 6.8 | 6.7 | 6.8 | 6.6 |
| Eh (mV) | 361 b | 296 d | 252 f | 375 a | 301 d | 288 e | 344 c | 296 d | 254 f |
| Bulk density (g/cm3) | 1.44 ± 0.02 b | 1.46 ± 0.01 b | 1.49 ± 0.01 a | 1.12 ± 0.01 d | 1.13 ± 0.02 d | 1.33 ± 0.01 c | 1.31 ± 0.03 c | 1.33 ± 0.01 c | 1.43 ± 0.02 b |
| Organic matter (g/kg) | 23.8 ± 0.2 d | 25.0 ± 0.3 b | 22.9 ± 0.1 e | 18.0 ± 0.1 h | 19.5 ± 0.2 f | 18.5 ± 0.1 g | 25.1 ± 0.1 b | 25.7 ± 0.2 a | 24.3 ± 0.1 c |
| Total N (g/kg) | 1.31 ± 0.02 c | 1.43 ± 0.03 b | 1.34 ± 0.01 c | 1.17 ± 0.01 e | 1.23 ± 0.01 d | 1.11 ± 0.02 f | 1.44 ± 0.02 b | 1.49 ± 0.01 a | 1.46 ± 0.01 b |
| Target | Primer Sets | Primer Sequences(5‘-3’) | References |
|---|---|---|---|
| AOB amoA | amoA-1F amoA-2R | GGGGTTTCTACTGGTGGT CCCCTCKGSAAAGCCTTCTTC | Rotthauwe(1997) |
| AOA amoA MOB pmoA | Arch-amoAF Arch-amoAR A189gc 682r A189gc mb661 | STAATGGTCTGGCTTAGACG GCGGCCATCCATCTGTATGT GGNGACTGGGACTTCTGG GAASGCNGAGAAGAASGC GGNGACTGGGACTTCTGG CCGGMGCAACGTCYTTACC | Beman(2006) Liebner (2009) Zhou (2008) |
| Target | General PCR Reaction Conditions | Quantitative PCR Reaction Conditions |
|---|---|---|
| AOB amoA | 94 °C 5 min; 32 × (94 °C 45 s, 55 °C 45 s, 72 °C, 1 min);72 °C, 10 min, step at 4 °C. | 95 °C, 5.0 min; 35 × (95 °C, 30 s; 56 °C, 45 s; 72 °C, 1 min,); Melt curve 65.0 °C to 95.0 °C, increment 0.5 °C, 0:05+ plate read. |
| AOA amoA MOB pmoA | 94 °C 5 min, 32 × (94 °C 45 s, 53 °C 45 s, 72 °C 90 s );72 °C,10 min, step at 4 °C. Round 1: 94.0 °C, 3 min; 30 × (94.0 °C, 30 s; 56.0 °C,1 min; 72.0 °C, 1 min);72.0 °C, 7 min, step at 4 °C. The product obtained by the first round of PCR amplification is used as a template. Round 2: 95.0 °C, 3 min, 35 × (94.0 °C, 30 s; 56.0 °C, 1 min; 72.0 °C,1 min); 72.0 °C,7 min, step at 4 °C. | 95.0 °C, 90 s; 40 × (95.0 °C, 10 s; 55.0 °C, 30 s; 72.0 °C, 30 s; 80.0 °C, 5s with plate read; Melt curve 65.0 °C to 95.0 °C, increment 0.5 °C, 0:05 + plate read. |
| SPB | HC | JD | |||||||
|---|---|---|---|---|---|---|---|---|---|
| 0–3 cm | 3–5 cm | 5–20 cm | 0–3 cm | 3–5 cm | 5–20 cm | 0–3 cm | 3–5 cm | 5–20 cm | |
| AOA/AOB | 20.7 | 7.04 | 28.6 | 57.2 | 12.6 | 68.4 | 43.5 | 11.6 | 76.9 |
| AOA/MOB | 7.72 | 13.1 | 42.6 | 17.2 | 5.25 | 10.1 | 7.14 | 12.5 | 20.5 |
| AOB/MOB | 0.373 | 1.87 | 1.49 | 0.301 | 0.419 | 0.147 | 0.164 | 1.07 | 0.647 |
© 2020 by the authors. Licensee MDPI, Basel, Switzerland. This article is an open access article distributed under the terms and conditions of the Creative Commons Attribution (CC BY) license (http://creativecommons.org/licenses/by/4.0/).
Share and Cite
Zhang, J.; Olatunji, O.A.; Pan, K.; Jiang, X.; Meng, Y.; Li, J.; Li, J.; Shen, S.; Guo, D.; Luo, H. Ammonia- and Methane-Oxidizing Bacteria: The Abundance, Niches and Compositional Differences for Diverse Soil Layers in Three Flooded Paddy Fields. Sustainability 2020, 12, 953. https://doi.org/10.3390/su12030953
Zhang J, Olatunji OA, Pan K, Jiang X, Meng Y, Li J, Li J, Shen S, Guo D, Luo H. Ammonia- and Methane-Oxidizing Bacteria: The Abundance, Niches and Compositional Differences for Diverse Soil Layers in Three Flooded Paddy Fields. Sustainability. 2020; 12(3):953. https://doi.org/10.3390/su12030953
Chicago/Turabian StyleZhang, Jian, Olusanya A. Olatunji, Kaiwen Pan, Xianjun Jiang, Yao Meng, Jianjun Li, Jiabao Li, Si Shen, Dalu Guo, and Hongyan Luo. 2020. "Ammonia- and Methane-Oxidizing Bacteria: The Abundance, Niches and Compositional Differences for Diverse Soil Layers in Three Flooded Paddy Fields" Sustainability 12, no. 3: 953. https://doi.org/10.3390/su12030953
APA StyleZhang, J., Olatunji, O. A., Pan, K., Jiang, X., Meng, Y., Li, J., Li, J., Shen, S., Guo, D., & Luo, H. (2020). Ammonia- and Methane-Oxidizing Bacteria: The Abundance, Niches and Compositional Differences for Diverse Soil Layers in Three Flooded Paddy Fields. Sustainability, 12(3), 953. https://doi.org/10.3390/su12030953

