Investigating the Relationship between the Industrial Structure and Atmospheric Environment by an Integrated System: A Case Study of Zhejiang, China
Abstract
1. Introduction
2. Methods and Data Sources
2.1. Study Area
2.2. Data Pre-Processing
2.3. Methods
2.3.1. Theoretical Framework and Indicator Evaluation System of Industrial Structure and Atmospheric Environment system
2.3.2. The Coupling Coordination Degree Model of the IS-AE System
2.3.3. The Dynamic Coupling Coordination Degree Model
3. Results and Discussions
3.1. Analysis of the Industrial Structure and Atmospheric Environment Systems
3.2. Variations of Comprehensive Level of Industrial Structure and Atmospheric Environment Systems
3.3. Variations in CCD of IS and AE Systems
- (1)
- There was no serious uncoordinated city in the whole province during 2006–2017, which meant that the relationship between industrial structure and atmospheric environment system in Zhejiang generally maintained a benign development situation. Influenced by the natural environment near the sea, Zhejiang’s overall air circulation was strong and the perennial rain was sufficient, thus the air environment quality of each city was better than that of the whole country. Meanwhile, as a major province of private economy, Zhejiang had been constantly optimizing its industrial structure and gradually developing towards diversification, internationalization, and modernization. The IT industry, electronic equipment, and biological medicine industries had become the main development direction of the secondary industry, and the chemical industry, steel, cement, and other gas-related industries with high pollution had been gradually phased out [60];
- (2)
- Hangzhou, Ningbo, and Wenzhou took the lead in realizing the transformation from barely coordinated development to superior coordinated pattern, in 2016, 2017, and 2017, respectively. The three cities had the highest levels of economic development in Zhejiang, leading the industrial transformation and upgrading of Zhejiang. Due to the implementation of beautiful Zhejiang construction and air pollution control, the capital input for air environment control in the three cities had been continuously increased, pollutant emission had been gradually reduced, and the effect of air quality improvement had begun to be obvious. The optimized industrial structure and the continuously improved atmospheric environment system embody the superior coordinated pattern;
- (3)
- Shaoxing, Jinhua, Taizhou, Zhoushan, Lishui, and Quzhou remained at the stage of barely coordinated development. Moreover, the comprehensive level of industrial structure in these six cities was always lower than the atmospheric environment system score. This means that these six cities are facing a more severe challenge of industrial structure upgrading and optimization. For example, Shaoxing, Taizhou, and Jinhua are the leading textile, steel, cement, metallurgy, and power industries in Zhejiang province, the proportion of high-tech industry is relatively low, as well as the research and development (R&D) input and new product output. Therefore, these cities need to make more efforts in optimizing the industrial structure to meet the arrival of the superior coordinated stage [33];
- (4)
- Jiaxing and Huzhou realized the transformation from slightly uncoordinated development to barely coordinated development after 2007. As shown in Figure 4b, in 2006, the proportion of the secondary industry in Jiaxing and Huzhou exceeded 50%, the proportion of the fixed assets investment in the secondary industry was nearly 60%, and the high proportion of the high-pollution industries, such as chemical fiber, clothing, energy and power, cement and steel aggravated the pollutant emissions. This was the main reason why the two systems were located in a slightly uncoordinated development state. Since the 12th five-year plan, the industrial structure of Jiaxing and Huzhou has been continuously upgraded, the equipment manufacturing industry and strategic emerging industries have been developed rapidly, new energy, new materials, and new technologies have emerged, enterprises with outdated production capacity have been eliminated, pollution emissions have been reduced, and the air environment has been greatly improved [33].
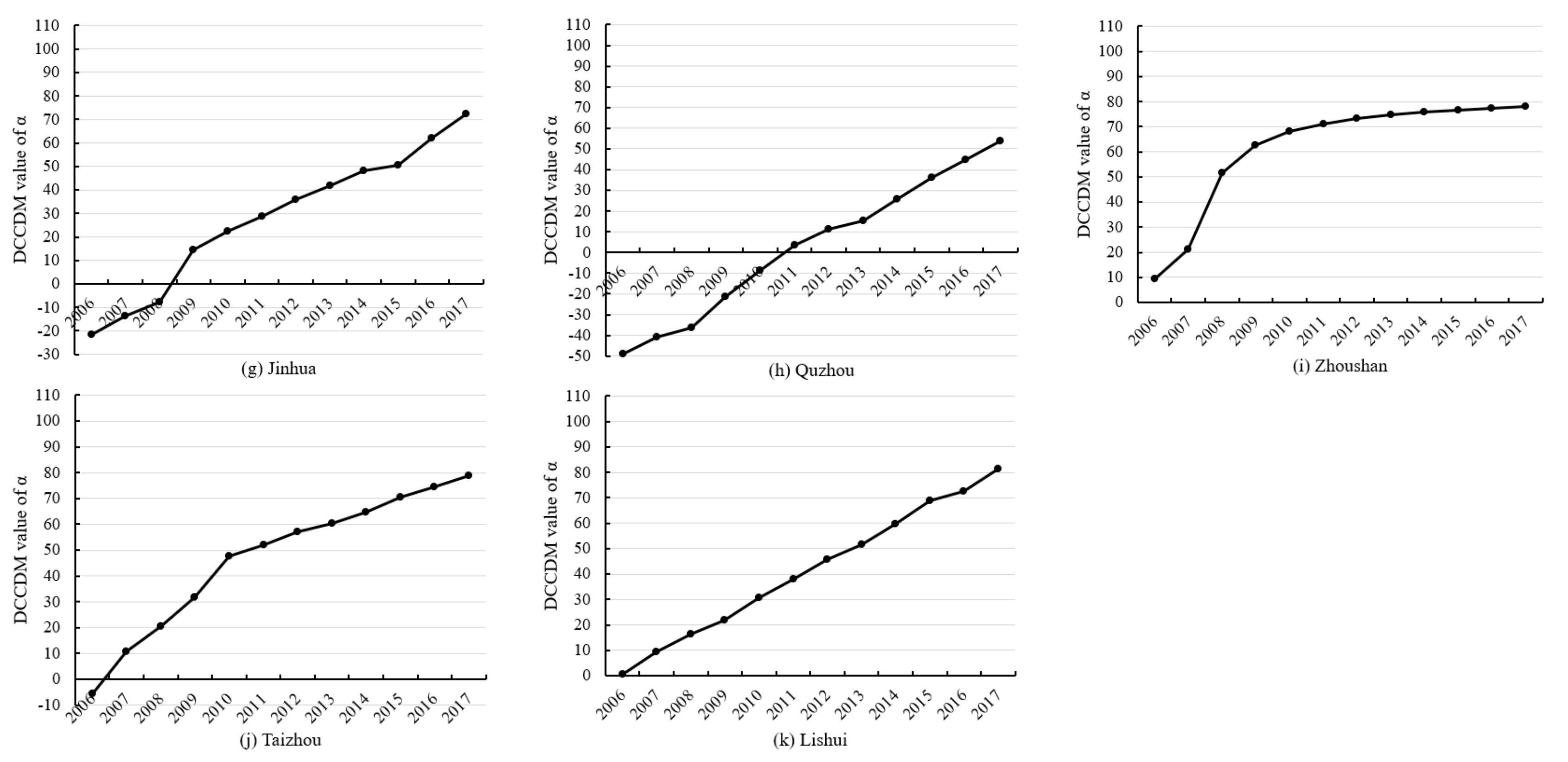
3.4. Variations in DCCD and Evaluation of the Coordinated Pattern
- (1)
- Upgraded—utmost development type, only Hangzhou. The phase of DCCD shifted from the harmonious development phase to the utmost development phase after 2016. Since the G20 summit, Hangzhou’s air environment improved drastically, with stricter emissions of air pollutants and more steady improvement in air quality [61,62]. As shown in Figure 5, after 2016, Hangzhou surpassed Ningbo and Jiaxing in the comprehensive score of the atmospheric environment system. Relying on the upgraded industrial structure of the service industry and digital economy industry in Hangzhou, its harmonious relationship between the atmospheric environment system is gradually developing into a positive direction;
- (2)
- Stable—harmonious development type, including Wenzhou, Lishui, and Zhoushan. These cities are in the stage of harmonious development phase with 0° < α < 90°. With the specific weight of secondary and tertiary industries rising, the contradiction between the transformation process of IS and the AE has become increasingly prominent and intensified [63]. Among them, industrial pollution in Wenzhou is more serious, which has a greater impact on the air environment system. Lishui and Zhoushan have better air environment systems, but relatively backward industrial structure and technology, which has potential development risks;
- (3)
- Transitional—harmonious development type, including the remaining seven cities. These cities have gone through a transition from low-grade symbiosis to the harmonious development stage. During 2006–2007, Ningbo, Shaoxing, and Jiaxing were in the stage of low-grade symbiosis, with the industrial structure leading by the secondary industry, resulting in the increase of air pollutant emissions and environmental pressure. After 2008, Ningbo, Shaoxing, and Jiaxing entered into the harmonious development phase, and the contradiction between the transformation process of IS and the AE became increasingly prominent and intensified. Apparently, the time span of these features varied in other cities;
- (4)
- No city has yet entered the stage of high-grade symbiosis. This signifies that there is still a long way before Zhejiang realizes the mutual promotion of industrial structure and atmospheric environment and the advanced coordinated co-development. How to take the air environment as an important factor to attract scientific and technological talents in the future, promote the concentration of talents and technologies, and improve the quality of regional industrial structure is one of the problems that Zhejiang needs to explore and solve in the next stage, especially in the coming 14th five-year plan (2021–2025).
3.5. Policy Implication
- (1)
- Develop differentiated regional optimization strategies. It could be seen from the previous analysis that both industrial structure and atmospheric environment system scores and the coupling and coordination degree of 11 cities had certain spatial differences. Figure 8 shows the distribution results of 12-year averages of IS and AE comprehensive score of 11 cities. On the basis of the distribution points, the 11 cities could be classified into four types: (Ⅰ) double fine city, only Wenzhou. In the future, Wenzhou should keep the coordinated pace of industrial structure optimization and air environment improvement; (Ⅱ) IS lag-behind city, including Quzhou, Lishui, Taizhou, and Zhoushan; the latter two cities tended to be closer to the double fine city class. In the future, we need to intensify the upgrading of industrial structure and increase investment in scientific and technological innovation; (Ⅲ) double backward city, including Jiaxing, Huzhou, Shaoxing, and Jinhua. These four cities are in the critical period of industrial restructuring, so they need to increase capital investment in technological innovation and resolutely implement the prevention and control of air pollution; (Ⅳ) AE lag-behind city, Hangzhou and Ningbo were listed in this class. As a result, they are obliged to improve their atmospheric environment actively and take the path of sustainable development;
- (2)
- Eliminate backward industries and reduce the proportion of high-polluting industries. For most cities in Zhejiang, the key task in the next stage is to continue to adjust and upgrade the industrial structure to usher into a high-grade symbiosis phase. Government departments need to increase investment to transform traditional industries, strictly implement the 13th five-year plan (2016–2020) for the prevention and control of industrial pollution in Zhejiang, which came into effect in 2016, and carry out the rectification of heavy-polluting industries, such as steel, cement, lead batteries, electroplating, printing and dyeing, paper-making, leather-making, and chemical industry. In particular, they need to strictly control the production capacity of “high-pollution and high-emission” industries. For instance, urban iron and steel enterprises should effectively adopt such methods as complete closure, transformation and development, local transformation, and overseas relocation to promote transformation and upgrading. Meanwhile, effective air pollution control and strict environmental impact assessments must be carried out before the approval of any new projects in the whole province [53];
- (3)
- Open up channels for scientific and technological innovation and add impetus to development. There are two dimensions of technological innovation: one is technological innovation of enterprises, through the research and development investment of new technologies and products to reduce the emission of pollutants; the other is technological innovation of atmospheric pollution control, fully co-opting and relying on the regional complex atmospheric pollution control technologies, such as power plant ultra-low emissions technology, coal-fired power plants to take off the white organic waste gas treatment technology. Many advanced applicable treatment technologies and process equipment have been developed and utilized effectively to pursue good social and ecological benefits. In fact, the government actively supports the cultivation of a number of internationally competitive large-scale leading enterprises in energy conservation and environmental protection, supports the development of enterprises’ technological innovation capacity, speeds up the acquisition of major key core technologies, and promotes the industrialization, dissemination, and application of key technologies and equipment for air pollution control.
4. Conclusions
Author Contributions
Funding
Conflicts of Interest
References
- Diao, B.; Ding, L.; Zhang, Q.; Na, J.; Cheng, J. Impact of Urbanization on PM2.5-Related Health and Economic Loss in China 338 Cities. Int. J. Environ. Res. Public Health 2020, 17, 990. [Google Scholar] [CrossRef] [PubMed]
- Zhu, L.; Hao, Y.; Lu, Z.; Wu, H.; Ran, Q. Do economic activities cause air pollution? Evidence from China’s major cities. Sustain. Cities Soc. 2019, 49, 101593. [Google Scholar] [CrossRef]
- Zheng, J.; Jiang, P.; Qiao, W.; Zhu, Y.; Kennedy, E. Analysis of air pollution reduction and climate change mitigation in the industry sector of Yangtze River Delta in China. J. Clean. Prod. 2016, 114, 314–322. [Google Scholar] [CrossRef]
- Chen, Y.; Zhao, L. Exploring the relation between the industrial structure and the eco-environment based on an integrated approach: A case study of Beijing, China. Ecol. Indic. 2019, 103, 83–93. [Google Scholar] [CrossRef]
- Wang, K.; Wu, M.; Sun, Y.; Shi, X.; Sun, A.; Zhang, P. Resource abundance, industrial structure, and regional carbon emissions efficiency in China. Resour. Policy 2019, 60, 203–214. [Google Scholar] [CrossRef]
- Cheng, Z.H.; Liu, J.; Li L, S. Research on the effects of industrial structure adjustment and technical progress on haze reduction. China Soft Sci. 2019, 1, 146–154. [Google Scholar]
- Fisher, A.G. Production, primary, secondary and tertiary. Econ. Rec. 1939, 15, 24–38. [Google Scholar] [CrossRef]
- Schafran, A.; McDonald, C.; Lopez Morales, E.; Akyelken, N.; Acuto, M. Replacing the services sector and three-sector theory: Urbanization and control as economic sectors. Reg. Stud. 2018, 52, 1708–1719. [Google Scholar] [CrossRef]
- Li, L.; Lei, Y.; Zhao, L.; Li, X. Study on the optimization of the industrial structure in a mining economic region: Taking carbon emissions as a restriction. Minerals 2015, 5, 203–220. [Google Scholar] [CrossRef]
- Cheng, Z.; Li, L.; Liu, J. Industrial structure, technical progress and carbon intensity in China’s provinces. Renew. Sustain. Energy Rev. 2018, 81, 2935–2946. [Google Scholar] [CrossRef]
- Mi, Z.F.; Pan, S.Y.; Yu, H.; Wei, Y.M. Potential impacts of industrial structure on energy consumption and CO2 emission: A case study of Beijing. J. Clean. Prod. 2015, 103, 455–462. [Google Scholar] [CrossRef]
- Almeida, T.A.D.N.; Cruz, L.; Barata, E.; García-Sánchez, I.M. Economic growth and environmental impacts: An analysis based on a composite index of environmental damage. Ecol. Indic. 2017, 76, 119–130. [Google Scholar] [CrossRef]
- Zhong, M.C.; Li, M.J.; Du, W.J. Can Environmental regulation force industrial structure adjustment: An empirical analysis based on provincial panel data. China Popul. Resour. Environ. 2015, 25, 107–115. [Google Scholar]
- Liu, X.; Bae, J. Urbanization and industrialization impact of CO2 emissions in China. J. Clean. Prod. 2018, 172, 178–186. [Google Scholar] [CrossRef]
- Grossman, G.M.; Krueger, A.B. Economic growth and the environment. Quart. J. Econ. 1995, 110, 353–377. [Google Scholar] [CrossRef]
- De Bruyn, S.M. Explaining the environmental Kuznets curve: Structural change and international agreements in reducing sulphur emissions. Environ. Dev. Econ. 1997, 2, 485–503. [Google Scholar] [CrossRef]
- Li, K.; Lin, B. Economic growth model, structural transformation, and green productivity in China. Appl. Energy 2017, 187, 489–500. [Google Scholar] [CrossRef]
- Wang, W.J.; Xiang, Q.F. Adjustment of industrial structure and the potential assessment of energy saving and carbon reduction. China Ind. Econ. 2014, 310, 44–56. [Google Scholar]
- Du, G.; Liu, S.; Lei, N.; Huang, Y. A test of environmental Kuznets curve for haze pollution in China: Evidence from the penal data of 27 capital cities. J. Clean. Prod. 2018, 205, 821–827. [Google Scholar] [CrossRef]
- Huang, L.X.; Wang, H.; Song, L.Y. Is China’s industrial change green? Nankai Econ. Stud. 2012, 3, 110–127. [Google Scholar]
- Fujii, H.; Managi, S. Economic development and multiple air pollutant emissions from the industrial sector. Environ. Sci. Pollut. Res. 2016, 23, 2802–2812. [Google Scholar] [CrossRef] [PubMed]
- Zheng, Y.; Peng, J.; Xiao, J.; Su, P.; Li, S. Industrial Structure Transformation and Provincial Heterogeneity Characteristics Evolution of Air Pollution: Evidence of a Threshold Effect from China. Atmos. Poll. Res. 2019, 11, 598–609. [Google Scholar] [CrossRef]
- Hao, Y.; Zheng, S.; Zhao, M.; Wu, H.; Guo, Y.; Li, Y. Reexamining the relationships among urbanization, industrial structure, and environmental pollution in China—New evidence using the dynamic threshold panel model. Energy Rep. 2020, 6, 28–39. [Google Scholar] [CrossRef]
- Chen, L.; Xu, L.; Xu, Q.; Yang, Z. Optimization of urban industrial structure under the low-carbon goal and the water constraints: A case in Dalian, China. J. Clean. Prod. 2016, 114, 323–333. [Google Scholar] [CrossRef]
- Wang, Q.; Yuan, X.; Zhang, J.; Mu, R.; Yang, H.; Ma, C. Key evaluation framework for the impacts of urbanization on air environment–A case study. Ecol. Ind. 2013, 24, 266–272. [Google Scholar] [CrossRef]
- Ding, L.; Zhao, W.; Huang, Y.; Cheng, S.; Liu, C. Research on the coupling coordination relationship between urbanization and the air environment: A case study of the area of Wuhan. Atmosphere 2015, 6, 1539–1558. [Google Scholar] [CrossRef]
- Guo, Q.; Wang, J.; Yin, H.; Zhang, G. A comprehensive evaluation model of regional atmospheric environment carrying capacity: Model development and a case study in China. Ecol. Ind. 2018, 91, 259–267. [Google Scholar] [CrossRef]
- Jiang, B.; Ding, L.; Fang, X. Sustainable development of new urbanization from the perspective of coordination: A new complex system of Urbanization‒Technology Innovation and the Atmospheric Environment. Atmosphere 2019, 10, 652. [Google Scholar] [CrossRef]
- Lu, Y.-Y.; He, Y.; Wang, B.; Ye, S.-S.; Hua, Y.; Ding, L. Efficiency Evaluation of Atmospheric Pollutants Emission in Zhejiang Province China: A DEA-Malmquist Based Approach. Sustainability 2019, 11, 4544. [Google Scholar] [CrossRef]
- Wang, Y.; Jin, C.; Lu, M.; Lu, Y. Assessing the suitability of regional human settlements environment from a different preferences perspective: A case study of Zhejiang Province, China. Habitat Int. 2017, 70, 1–12. [Google Scholar] [CrossRef]
- Chen, Y.; Zang, L.; Du, W.; Shen, G.; Zhang, Q.; Zou, Q.; Chen, J.; Zhao, M.; Yao, D. Ambient air pollution of particles and gas pollutants, and the predicted health risks from long-term exposure to PM 2.5 in Zhejiang province, China. Environ. Sci. Pollut. Res. 2018, 25, 23833–23844. [Google Scholar] [CrossRef] [PubMed]
- Wang, X.; Yang, Z. Application of Fuzzy Optimization Model Based on Entropy Weight Method in Atmospheric Quality Evaluation: A Case Study of Zhejiang Province, China. Sustainability 2019, 11, 2143. [Google Scholar] [CrossRef]
- Chen, M. The Outlook on Ecological Civilization Leads the Building of a Beautiful Zhejiang. In Chinese Dream and Practice in Zhejiang–Ecology; Springer: Singapore, 2019; pp. 1–28. [Google Scholar]
- Zhejiang Provincial Bureau of Statistics. Zhejiang Statistical Yearbook; China Statistics Press: Beijing, China, 2018.
- Zhejiang Provincial Bureau of Statistics. Zhejiang Natural Resources and Environment Statistical Yearbook; China Statistics Press: Beijing, China, 2018.
- Lin, C.Q.; Liu, G.; Lau, A.K.H.; Li, Y.; Li, C.C.; Fung, J.C.H.; Lao, X.Q. High-resolution satellite remote sensing of provincial PM2. 5 trends in China from 2001 to 2015. Atmos. Environ. 2018, 180, 110–116. [Google Scholar] [CrossRef]
- Wang, L.P.; Chen, J. Socio-economic influential factors of haze pollution in China: Empirical study by EBA Model using spatial panel data. Acta Sci. Circumst. 2016, 36, 3833–3839. [Google Scholar]
- Yang, H.; Zhang, L. An empirical study of the impact of evolution of industrial structure and urbanization on air quality in Beijing-Tianjin-Hebei Region. China Popul. Res. Environ. 2018, 28, 111–119. [Google Scholar]
- Liang, X.; Liang, W.; Zhang, L.; Guo, X. Risk assessment for long-distance gas pipelines in coal mine gobs based on structure entropy weight method and multi-step backward cloud transformation algorithm based on sampling with replacement. J. Clean. Prod. 2019, 227, 218–228. [Google Scholar] [CrossRef]
- Liu, F.; Zhao, S.; Weng, M.; Liu, Y. Fire risk assessment for large-scale commercial buildings based on structure entropy weight method. Saf. Sci. 2017, 94, 26–40. [Google Scholar] [CrossRef]
- Cheng, Q. Structure entropy weight method to confirm the weight of evaluating index. Syst. Eng. Theory Pract. 2010, 30, 1225–1228. [Google Scholar]
- Ji, P.; Zhang, H.; Wang, J. Selecting an outsourcing provider based on the combined MABAC–ELECTRE method using single-valued neutrosophic linguistic sets. Comput. Ind. Eng. 2018, 120, 429–441. [Google Scholar] [CrossRef]
- Ren, C.F.; Cheng, Y.M.; Zheng, X.; Zhou, L. Evaluation of ecological carrying capacity in Huaibei City based on the mean square deviation decision method. Ecol. Sci. 2019, 38, 168–177. [Google Scholar]
- Mamat, Z.; Yimit, H.; Eziz, M.; Ablimit, A. Analysis of the ecology-economy coordination degree in yanqi basin, Xinjiang, China. Asian J. Chem. 2013, 25, 9034–9040. [Google Scholar] [CrossRef]
- Wang, S.J.; Ma, H.; Zhao, Y.B. Exploring the relationship between urbanization and the eco-environment—A case study of Beijing–Tianjin–Hebei region. Ecol. Ind. 2014, 45, 171–183. [Google Scholar] [CrossRef]
- He, J.; Wang, S.; Liu, Y.; Ma, H.; Liu, Q. Examining the relationship between urbanization and the eco-environment using a coupling analysis: Case study of Shanghai, China. Ecol. Ind. 2017, 77, 185–193. [Google Scholar] [CrossRef]
- Liu, N.; Liu, C.; Xia, Y.; Da, B. Examining the coordination between urbanization and eco-environment using coupling and spatial analyses: A case study in China. Ecol. Ind. 2018, 93, 1163–1175. [Google Scholar] [CrossRef]
- Fang, C.; Cui, X.; Li, G.; Bao, C.; Wang, Z.; Ma, H.; Sun, S.; Liu, H.; Luo, K.; Ren, Y. Modeling regional sustainable development scenarios using the Urbanization and Eco-environment Coupler: Case study of Beijing-Tianjin-Hebei urban agglomeration, China. Sci. Total Environ. 2019, 689, 820–830. [Google Scholar] [CrossRef]
- Liu, W.; Jiao, F.; Ren, L.; Xu, X.; Wang, J.; Wang, X. Coupling coordination relationship between urbanization and atmospheric environment security in Jinan City. J. Clean. Prod. 2018, 204, 1–11. [Google Scholar] [CrossRef]
- Shen, L.; Huang, Y.; Huang, Z.; Lou, Y.; Ye, G.; Wong, S. Improved coupling analysis on the coordination between socio-economy and carbon emission. Ecol. Ind. 2018, 94, 357–366. [Google Scholar] [CrossRef]
- Wang, S.; Song, J.; Wang, X.E.; Yang, W. The Spatial and Temporal Research on the Coupling and Coordinated Relationship between Social Economy and Energy Environment in the Belt and Road Initiatives. Sustainability 2019, 11, 407. [Google Scholar] [CrossRef]
- Xing, L.; Xue, M.; Hu, M. Dynamic simulation and assessment of the coupling coordination degree of the economy–resource–environment system: Case of Wuhan City in China. J. Environ. Manag. 2019, 230, 474–487. [Google Scholar] [CrossRef]
- Fan, Y.; Fang, C.; Zhang, Q. Coupling coordinated development between social economy and ecological environment in Chinese provincial capital cities-assessment and policy implications. J. Clean. Prod. 2019, 229, 289–298. [Google Scholar] [CrossRef]
- Zhao, L.; Li, L.; Wu, Y. Research on the coupling coordination of a sea–land system based on an integrated approach and new evaluation index system: A case study in Hainan Province, China. Sustainability 2017, 9, 859. [Google Scholar] [CrossRef]
- Bertalanffy, L.V. General system theory: Foundation, development, applications. IEEE Trans. Syst. Man. Cybern. 1968, 4, 592. [Google Scholar] [CrossRef]
- Xu, X.R.; Wu, Z.J.; Zhang, J.R. Research on the path and early warning of sustainable development. Math. Prac. Theor. 2003, 33, 31–37. [Google Scholar]
- Qiao, B.; Fang, C.L. The dynamic coupling model of the harmonious development between urbanization and eco-environment and its application in arid area. Acta Ecol. Sin. 2005, 25, 3003–3009. [Google Scholar]
- Miao, J.T.; Phelps, N.A.; Lu, T.; Wang, C.C. The trials of China’s technoburbia: The case of the Future Sci-tech City Corridor in Hangzhou. Urb. Geogr. 2019, 40, 1–24. [Google Scholar] [CrossRef]
- Wu, X. Developing the Marine Economy and Building a Strong Marine Province. In Chinese Dream and Practice in Zhejiang–Economy; Springer: Singapore, 2019; pp. 177–207. [Google Scholar]
- Tao, L.; Zhang, S.; Xu, J. Analysis of Industrial Structure Change and Employment Effect in Zhejiang Province. Open J. Soc. Sci. 2019, 7, 426–432. [Google Scholar] [CrossRef]
- Feng, R.; Wang, Q.; Huang, C.; Liang, J.; Luo, K.; Fan, J.R. Investigation on air pollution control strategy in Hangzhou for post-G20/pre-Asian-games period (2018–2020). Atm. Pollut. Res. 2019, 10, 197–208. [Google Scholar] [CrossRef]
- Li, B.; Wang, F.; Yin, H.; Li, X. Mega events and urban air quality improvement: A temporary show? J. Clean. Prod. 2019, 217, 116–126. [Google Scholar] [CrossRef]
- Ma, T.; Duan, F.; He, K.; Qin, Y.; Tong, D.; Guannan, G.; Liu, X.; Li, H.; Yang, S.; Ye, S.; et al. Air pollution characteristics and their relationship with emissions and meteorology in the Yangtze River Delta region during 2014–2016. J. Environ. Sci. 2019, 83, 8–20. [Google Scholar] [CrossRef]









| Second Level Indicator | SEW1 | MSD1 | W1 | Primary Indicator | SEW2 | MSD2 | W2 | W3 | Effect |
|---|---|---|---|---|---|---|---|---|---|
| Industrial Structure Level | 0.296 | 0.311 | 0.303 | Gross domestic product (GDP) per capita (Yuan) | 0.228 | 0.266 | 0.247 | 0.075 | Positive |
| Proportion of secondary industry output to GDP (%) | 0.206 | 0.246 | 0.226 | 0.068 | Negative | ||||
| Proportion of tertiary industry output to GDP (%) | 0.332 | 0.237 | 0.285 | 0.087 | Positive | ||||
| Proportion of tertiary industry employment (%) | 0.234 | 0.251 | 0.242 | 0.073 | Positive | ||||
| Industrial Structure Quality | 0.369 | 0.309 | 0.339 | Proportion of secondary industry investment (%) | 0.212 | 0.268 | 0.240 | 0.081 | Negative |
| Proportion of tertiary industry investment (%) | 0.237 | 0.236 | 0.236 | 0.080 | Positive | ||||
| The added value of high-tech industry accounts for the proportion of industries above scale (%) | 0.266 | 0.254 | 0.260 | 0.088 | Positive | ||||
| Energy consumption per unit of GDP | 0.285 | 0.242 | 0.264 | 0.089 | Negative | ||||
| Industrial Structure Innovation | 0.335 | 0.380 | 0.358 | Number of research and development (R&D) personnel (10,000 people) | 0.188 | 0.261 | 0.225 | 0.080 | Positive |
| Proportion of R&D expenditure in GDP (%) | 0.336 | 0.268 | 0.302 | 0.108 | Positive | ||||
| Number of patent applications granted | 0.261 | 0.221 | 0.241 | 0.086 | Positive | ||||
| Output value of high and new technology industry | 0.215 | 0.249 | 0.232 | 0.083 | Positive |
| Second Level Indicator | SEW1 | MSD1 | W1 | Primary Indicator | SEW2 | MSD2 | W2 | W3 | Effect |
|---|---|---|---|---|---|---|---|---|---|
| Atmospheric Environment Pressure | 0.258 | 0.374 | 0.316 | Total volume of waste gas emission (100 million standard cubic meters) | 0.237 | 0.272 | 0.255 | 0.081 | Negative |
| Volume of sulfur dioxide emission (10,000 tons) | 0.201 | 0.214 | 0.207 | 0.065 | Negative | ||||
| Volume of nitrogen oxide emission (ton) | 0.248 | 0.238 | 0.243 | 0.077 | Negative | ||||
| Volume of smoke and dust emission (10,000 tons) | 0.314 | 0.276 | 0.295 | 0.093 | Negative | ||||
| Atmospheric Environment State | 0.453 | 0.365 | 0.409 | Sulfur dioxide concentration (μg/m3) | 0.174 | 0.205 | 0.190 | 0.078 | Negative |
| Nitrogen dioxide concentration (μg/m3) | 0.191 | 0.193 | 0.192 | 0.078 | Negative | ||||
| Particulate Matter 10 concentration (μg/m3) | 0.173 | 0.193 | 0.183 | 0.075 | Negative | ||||
| Particulate Matter 2.5 concentration (μg/m3) | 0.320 | 0.203 | 0.262 | 0.107 | Negative | ||||
| Good air quality rate | 0.142 | 0.206 | 0.174 | 0.071 | Positive | ||||
| Atmospheric Environment Response | 0.289 | 0.261 | 0.275 | Investment in environmental pollution control | 0.453 | 0.265 | 0.359 | 0.099 | Positive |
| Waste gas treatment facilities of unit industrial output | 0.246 | 0.414 | 0.330 | 0.091 | Positive | ||||
| Green coverage in built-up areas | 0.301 | 0.321 | 0.311 | 0.085 | Positive |
| Division of Development Stages | D | Coordination Types |
|---|---|---|
| Seriously uncoordinated development [0.0, 0.3] | 0.0 ≤ D < 0.1 | Extremely uncoordinated development |
| 0.1 ≤ D < 0.2 | Seriously uncoordinated development | |
| 0.2 ≤ D < 0.3 | Intermediate uncoordinated development | |
| Slightly uncoordinated development [0.3, 0.5] | 0.3 ≤ D < 0.4 | Slightly uncoordinated development |
| 0.4 ≤ D < 0.5 | On the verge of coordinated development | |
| Barely coordinated development [0.5, 0.8] | 0.5 ≤ D < 0.6 | Barely coordinated development |
| 0.6 ≤ D < 0.7 | Slightly coordinated development | |
| 0.7 ≤ D < 0.8 | Intermediate coordinated development | |
| Superior coordinated development [0.8, 1.0] | 0.8 ≤ D < 0.9 | Favorable coordinated development |
| 0.9 ≤ D < 1.0 | Quality coordinated development |
| Phase | System Status | Range of α | Performance |
|---|---|---|---|
| Ⅰ | Low-grade symbiosis phase | −90° < α ≤ 0° | The upgrading process of urban industrial structure was slow. During this period, the IS system started to exert pressure on the AE. Contradiction between the IS and the AE system appeared, but was not yet obvious. |
| Ⅱ | Harmonious development phase | 0° < α ≤ 90° | The trend of upgrading and optimizing IS system was gradually emerging. With the proportion of secondary and tertiary industries rising, the contradiction between the transformation process of IS and the AE had become increasingly prominent and intensified. |
| Ⅲ | Utmost development phase | 90° < α ≤ 180° | The industrial structure was undergoing rapid transformation and upgrading. Human beings took various measures to reconcile the contradiction between the IS and the AE. Through the constant adjustment and optimization of all the elements in the whole system, the coupling coordination relationship between them was developing into a benign process. |
| Ⅳ | High-grade symbiosis phase | −180° < α ≤ −90° | The relationship between the IS and the AE converted from serious interactive coercion to mutual promotion. The whole system tended to reach high-grade coordinated development. |
| City | Curve Fitting of IS System | R2 | City | Curve Fitting of AE System | R2 |
|---|---|---|---|---|---|
| Hangzhou | I = −8E−05x3 + 0.0024x2 + 0.0323x + 0.3267 | 0.999 | Hangzhou | A = 0.0008x3 − 0.0143x2 + 0.0885x + 0.2097 | 0.841 |
| Ningbo | I = −0.0005x3 + 0.0097x2 + 0.0031x + 0.2087 | 0.992 | Ningbo | A = 8E−05x3 + 0.0011x2 − 0.0064x + 0.3854 | 0.934 |
| Wenzhou | I = −8E−05x3 + 0.0025x2 +0.0149x + 0.2118 | 0.994 | Wenzhou | A = 9E−05x3 − 0.0001x2 + 0.0018x + 0.5301 | 0.747 |
| Jiaxing | I = −0.0003x3 + 0.0074x2 − 0.0047x + 0.1204 | 0.997 | Jiaxing | A = 0.0043x3 − 0.008x2 + 0.0454x + 0.4128 | 0.650 |
| Huzhou | I = −0.0002x3 + 0.0046x2 + 0.0016x + 0.1182 | 0.988 | Huzhou | A = 0.0005x3 − 0.0076x2 + 0.0371x + 0.4697 | 0.803 |
| Shaoxing | I =5E−05x3 − 0.0009x2 + 0.0375x + 0.0986 | 0.994 | Shaoxing | A = 0.001x3 − 0.0168x2 + 0.0788x + 0.4456 | 0.773 |
| Jinhua | I = −0.0001x3 + 0.0027x2 + 0.0102x + 0.1513 | 0.995 | Jinhua | A = 0.0005x3 − 0.0081x2 + 0.0426x + 0.4489 | 0.832 |
| Quzhou | I = −0.0002x3 + 0.0042x2 − 0.0078x + 0.1336 | 0.995 | Quzhou | A = 0.0007x3 − 0.011x2 + 0.0322x + 0.6561 | 0.787 |
| Zhoushan | I = −0.0002x3 + 0.0053x2 − 0.0158x + 0.3188 | 0.979 | Zhoushan | A = −3E−05x3 + 0.0005x2 + 0.0062x + 0.6453 | 0.881 |
| Taizhou | I = −0.0001x3 + 0.0028x2 + 0.0081x + 0.1910 | 0.995 | Taizhou | A = −0.0001x3 + 0.0039x2 − 0.0213x + 0.6332 | 0.887 |
| Lishui | I = −0.0002x3 + 0.0046x2 − 0.0157x + 0.1897 | 0.995 | Lishui | A = 0.0006x3 − 0.01x2 + 0.0508x + 0.65 | 0.840 |
© 2020 by the authors. Licensee MDPI, Basel, Switzerland. This article is an open access article distributed under the terms and conditions of the Creative Commons Attribution (CC BY) license (http://creativecommons.org/licenses/by/4.0/).
Share and Cite
Ding, L.; Chen, K.; Hua, Y.; Dong, H.; Wu, A. Investigating the Relationship between the Industrial Structure and Atmospheric Environment by an Integrated System: A Case Study of Zhejiang, China. Sustainability 2020, 12, 1278. https://doi.org/10.3390/su12031278
Ding L, Chen K, Hua Y, Dong H, Wu A. Investigating the Relationship between the Industrial Structure and Atmospheric Environment by an Integrated System: A Case Study of Zhejiang, China. Sustainability. 2020; 12(3):1278. https://doi.org/10.3390/su12031278
Chicago/Turabian StyleDing, Lei, Kunlun Chen, Yidi Hua, Hongan Dong, and Anping Wu. 2020. "Investigating the Relationship between the Industrial Structure and Atmospheric Environment by an Integrated System: A Case Study of Zhejiang, China" Sustainability 12, no. 3: 1278. https://doi.org/10.3390/su12031278
APA StyleDing, L., Chen, K., Hua, Y., Dong, H., & Wu, A. (2020). Investigating the Relationship between the Industrial Structure and Atmospheric Environment by an Integrated System: A Case Study of Zhejiang, China. Sustainability, 12(3), 1278. https://doi.org/10.3390/su12031278
