Research on the Mode Choice Intention of the Elderly for Autonomous Vehicles Based on the Extended Ecological Model
Abstract
1. Introduction
2. Background
2.1. Travel Mode Choice of the Elderly According to Autonomous Vehicle
2.2. Application of the Ecological Model in Elderly Travel Mode Choice
3. Extended Ecological Model
3.2. Extended Travel Attribute Variable
3.3. Theoretical Framework
4. Methodology
4.1. Questionnaire Survey and Implementation
4.2. The Models
4.2.1. Multiple Indicators and Multiple Causes (MIMIC) Model
4.2.2. A Generalized RRM Model (G-RRM)
5. Results and Discussions
5.1. Extended Psychological Latent Variable
5.1.1. Perceived Characteristic and Attitudes
5.1.2. Subjective Well-Being
5.1.3. Social Network
5.1.4. Hypothesis
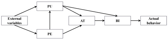
The Relationship between PU, PE, and AT
The Role of SWB in the Extended Ecological Model
Social Influence (SI)
5.2. Descriptive Statistical Analysis
5.3. Measurement Model
5.4. Multiple Indicators and Multiple Causes (MIMIC) Model
5.4.1. Model Construction and Fitting Effect Analysis
5.4.2. The Relationship between Observed and Latent Variables
5.4.3. The Relationship between Latent Variables
5.5. A Generalized RRM Model (G-RRM)
5.5.1. Parameter Calibration and Model Estimation
5.5.2. Sensitivity Analysis
6. Limitations and Conclusions
Author Contributions
Funding
Conflicts of Interest
Glossary
| AVs | Autonomous Vehicles |
| SAVs | Shared Autonomous Vehicles |
| TAM | Technology Acceptance Model |
| PU | Perceived Usefulness |
| PE | Perceived Ease of use |
| PC | Perceived Characteristics |
| AT | Attitude |
| BI | Behavioral Intention |
| SWB | Subjective Well-Being |
| SN | Social Network |
| SI | Social Influence |
| MIMIC | Multiple Indicators and Multiple Causes |
| G-RRM | Generalized Random Regret Minimization Model |
| RRM | Random Regret Minimization Model |
| CFI | Comparative Fit Index |
| TLI | Tucker-Lewis Index |
| RMSEA | Root Mean Squared Error of Approximation |
| SRMR | Standardized Root Mean Squared Residual |
| AVE | Average Variance Extracted |
References
- Wong, R.C.P.; Szeto, W.Y.; Yang, L.; Li, Y.C.; Wong, S.C. Public transport policy measures for improving elderly mobility. Transp. Policy 2018, 63, 73–79. [Google Scholar] [CrossRef]
- Banister, D.; Bowling, A. Quality of life for the elderly: The transport dimension. Transp. Policy 2004, 11, 105–115. [Google Scholar] [CrossRef]
- Newbold, K.B.; Scott, D.M.; Spinney, J.E.L.; Kanaroglou, P.; Páez, A. Travel behavior within Canada’s older population: A cohort analysis. J. Transp. Geogr. 2005, 13, 340–351. [Google Scholar] [CrossRef]
- Olawole, M.O.; Aloba, O. Mobility characteristics of the elderly and their associated level of satisfaction with transport services in Osogbo, Southwestern Nigeria. Transp. Policy 2014, 35, 105–116. [Google Scholar] [CrossRef]
- Hu, X.; Wang, J.; Wang, L. Understanding the travel behavior of elderly people in the developing country: A case study of changchun, China. Procedia Soc. Behav. Sci. 2013, 96, 873–880. [Google Scholar] [CrossRef]
- Boschmann, E.E.; Brady, S.A. Travel behaviors, sustainable mobility, and transit-oriented developments: A travel counts analysis of older adults in the Denver, Colorado metropolitan area. J. Transp. Geogr. 2013, 33, 1–11. [Google Scholar] [CrossRef]
- Muhammad, T.; Kashmiri, F.A.; Naeem, H.; Qi, X.; Chia-Chun, H.; Lu, H. Simulation study of autonomous vehicles’ effect on traffic flow characteristics including autonomous buses. J. Adv. Transp. 2020, 2020, 1–17. [Google Scholar] [CrossRef]
- Harper, C.D.; Hendrickson, C.T.; Mangones, S.; Samaras, C. Estimating potential increases in travel with autonomous vehicles for the non-driving, elderly and people with travel-restrictive medical conditions. Transp. Res. Part. C Emerg. Technol. 2016, 72, 1–9. [Google Scholar] [CrossRef]
- Tan, L.; Ma, C.; Xu, X.; Xu, J. Choice behavior of autonomous vehicles based on logistic models. Sustainability. 2020, 12, 54. [Google Scholar] [CrossRef]
- Nuzzolo, A.; Persia, L.; Comi, A.; Polimeni, A. Shared autonomous electrical vehicles and urban mobility: A vision for rome in 2035. In Data Analytics: Paving the Way to Sustainable Urban. Mobility; Nathanail, E.G., Karakikes, I.D., Eds.; Springer International Publishing: Berlin/Heidelberg, Germany, 2019; pp. 772–779. [Google Scholar] [CrossRef]
- Tan, W.-K.; Lin, C.-Y. Driverless car rental at tourist destinations: From the tourists’ perspective. Asia Pac. J. Tour. Res. 2020, 25, 1153–1167. [Google Scholar] [CrossRef]
- Liu, P.; Ma, Y.; Zuo, Y. Self-driving vehicles: Are people willing to trade risks for environmental benefits? Transp. Res. Part. A Policy Pract. 2019, 125, 139–149. [Google Scholar] [CrossRef]
- Moreno, A.T.; Michalski, A.; Llorca, C.; Moeckel, R. Shared autonomous vehicles effect on vehicle-Km traveled and average trip duration. J. Adv. Transp. 2018, 2018, 1–10. [Google Scholar] [CrossRef]
- Asmussen, K.E.; Mondal, A.; Bhat, C.R. A socio-technical model of autonomous vehicle adoption using ranked choice stated preference data. Transp. Res. Part C Emerg. Technol. 2020, 121, 102835. [Google Scholar] [CrossRef]
- Menon, N.; Barbour, N.; Zhang, Y.; Pinjari, A.R.; Mannering, F. Shared autonomous vehicles and their potential impacts on household vehicle ownership: An exploratory empirical assessment. Int. J. Sustain. Transp. 2019, 13, 111–122. [Google Scholar] [CrossRef]
- Levin, M.W.; Boyles, S.D. Effects of autonomous vehicle ownership on trip, mode, and route choice. Transp. Res. Rec. 2015, 2493, 29–38. [Google Scholar] [CrossRef]
- Hough, J.A.; Cao, X.; Handy, S.L. Exploring travel behavior of elderly women in rural and small urban North Dakota: An ecological modeling approach. Transp. Res. Rec. 2008, 2082, 125–131. [Google Scholar] [CrossRef]
- Mifsud, D.; Attard, M.; Ison, S. To drive or to use the bus? An exploratory study of older people in Malta. J. Transp. Geogr. 2017, 64, 23–32. [Google Scholar] [CrossRef]
- Truong, L.T.; Somenahalli, S.V.C. Exploring frequency of public transport use among older adults: A study in Adelaide, Australia. Travel Behav. Soc. 2015, 2, 148–155. [Google Scholar] [CrossRef]
- Feng, J. The influence of built environment on travel behavior of the elderly in urban China. Transp. Res. Part. D Transp. Environ. 2017, 52, 619–633. [Google Scholar] [CrossRef]
- Srnettzer, S.R. Constraints on Elderly Daily Travel Behaviour. Ph.D. Thesis, The University of Western Ontario, London, ON, Canada, 1997. [Google Scholar]
- Payyanadan, R.P.; Lee, J.D. Understanding the ridesharing needs of older adults. Travel Behav. Soc. 2018, 13, 155–164. [Google Scholar] [CrossRef]
- Schmöcker, J.-D.; Quddus, M.A.; Noland, R.B.; Bell, M.G.H. Mode choice of older and disabled people: A case study of shopping trips in London. J. Transp. Geogr. 2008, 16, 257–267. [Google Scholar] [CrossRef]
- Amen, P.A.M.V. Exploring Elderly Mobility in the Greater Rotterdam Area: Assessing the Influence of Personal Characteristics and Weather Conditions on Mode Choice & the Number of Trips. Master’s Thesis, Faculty of Geosciences Theses, Utrecht University, Utrecht, The Netherlands, 2014. [Google Scholar]
- Rahman, M.M.; Strawderman, L.; Adams-Price, C.; Turner, J.J. Transportation alternative preferences of the aging population. Travel Behav. Soc. 2016, 4, 22–28. [Google Scholar] [CrossRef]
- Liu, S.; Chen, W.; Chi, Q.; Yan, H. Comparison of the elderly travel behavior in the south and the north of China. J. Guizhou Univ. (Nat. Sci.). 2016, 33, 604–608. [Google Scholar] [CrossRef]
- Haboucha, C.J.; Ishaq, R.; Shiftan, Y. User preferences regarding autonomous vehicles. Transp. Res. Part C Emerg. Technol. 2017, 78, 37–49. [Google Scholar] [CrossRef]
- LaMondia, J.J.; Fagnant, D.J.; Qu, H.; Barrett, J.; Kockelman, K. Shifts in long-distance travel mode due to automated vehicles: Statewide mode-shift simulation experiment and travel survey analysis. Transp. Res. Rec. 2016, 2566, 1–11. [Google Scholar] [CrossRef]
- Yap, M.D.; Correia, G.; van Arem, B. Preferences of travellers for using automated vehicles as last mile public transport of multimodal train trips. Transp. Res. Part A Policy Pract. 2016, 94, 1–16. [Google Scholar] [CrossRef]
- Liu, D.; Du, H.; Southworth, F.; Ma, S. The influence of social-psychological factors on the intention to choose low-carbon travel modes in Tianjin, China. Transp. Res. Part A Policy Pract. 2017, 105, 42–53. [Google Scholar] [CrossRef]
- Nazari, F.; Noruzoliaee, M.; Mohammadian, A.K. Shared versus private mobility: Modeling public interest in autonomous vehicles accounting for latent attitudes. Transp. Res. Part C Emerg. Technol. 2018, 97, 456–477. [Google Scholar] [CrossRef]
- Pakusch, C.; Stevens, G.; Boden, A.; Bossauer, P. Unintended effects of autonomous driving: A study on mobility preferences in the future. Sustainability 2018, 10. [Google Scholar] [CrossRef]
- Pettigrew, S.; Dana, L.M.; Norman, R. Clusters of potential autonomous vehicles users according to propensity to use individual versus shared vehicles. Transp. Policy 2019, 76, 13–20. [Google Scholar] [CrossRef]
- Acheampong, R.A.; Cugurullo, F. Capturing the behavioural determinants behind the adoption of autonomous vehicles: Conceptual frameworks and measurement models to predict public transport, sharing and ownership trends of self-driving cars. Transp. Res. 2019, 62, 349–375. [Google Scholar] [CrossRef]
- Davey, J.A. Older people and transport: Coping without a car. Ageing Soc. 2007, 27, 49–65. [Google Scholar] [CrossRef]
- Xia, X. Study on Travel Behavior of the Elderly. Ph.D. Thesis, Beijing University of Technology, Beijing, China, 2015. [Google Scholar]
- Shergold, I. Taking part in activities, an exploration of the role of discretionary travel in older people’s wellbeing. J. Transp. Health 2019, 12, 195–205. [Google Scholar] [CrossRef]
- Krueger, R.; Rashidi, T.H.; Rose, J.M. Preferences for shared autonomous vehicles. Transp. Res. Part C Emerg. Technol. 2016, 69, 343–355. [Google Scholar] [CrossRef]
- Davis, F.D. Perceived usefulness, perceived ease of use, and user acceptance of information technology. MIS Q. 1989, 13, 319–340. [Google Scholar] [CrossRef]
- Zhang, T.; Tao, D.; Qu, X.; Zhang, X.; Lin, R.; Zhang, W. The roles of initial trust and perceived risk in public’s acceptance of automated vehicles. Transp. Res. Part. C Emerg. Technol. 2019, 98, 207–220. [Google Scholar] [CrossRef]
- Panagiotopoulos, I.; Dimitrakopoulos, G. An empirical investigation on consumers’ intentions towards autonomous driving. Transp. Res. Part C Emerg. Technol. 2018, 95, 773–784. [Google Scholar] [CrossRef]
- Bergstad, C.J.; Gamble, A.; Gärling, T.; Hagman, O.; Polk, M.; Ettema, D.; Olsson, L.E. Subjective well-being related to satisfaction with daily travel. Transportation 2011, 38, 1–15. [Google Scholar] [CrossRef]
- Chen, X.; Li, X.; Zhu, H. Condition evaluation of urban metro shield tunnels in Shanghai through multiple indicators multiple causes model combined with multiple regression method. Tunn. Undergr. Space Technol. 2019, 85, 170–181. [Google Scholar] [CrossRef]
- Levy, H. Regret theory: State dominance and expected utility. J. Math. Psychol. 2017, 79, 1–12. [Google Scholar] [CrossRef]
- Loomes, G.; Sugden, R. Regret theory: An alternative theory of rational choice under uncertainty. Econ. J. 1982, 92, 805–824. [Google Scholar] [CrossRef]
- Chorus, C.G. A generalized random regret minimization model. Transp. Res. Part B Methodol. 2014, 68, 224–238. [Google Scholar] [CrossRef]
- Ma, L.; Zhang, X.; Ding, X.; Wang, G. Bike sharing and users’ subjective well-being: An empirical study in China. Transp. Res. Part A Policy Pract. 2018, 118, 14–24. [Google Scholar] [CrossRef]
- Watts, D.J. Networks, dynamics, and the small-world phenomenon. Am. J. Sociol. 1999, 105, 493–527. [Google Scholar] [CrossRef]
- Montazemi, A.R.; Conrath, D.W. The use of cognitive mapping for information requirements analysis. MIS Q. 1986, 10, 45–56. [Google Scholar] [CrossRef]
- Kim, J.; Rasouli, S.; Timmermans, H.J. Investigating heterogeneity in social influence by social distance in car-sharing decisions under uncertainty: A regret-minimizing hybrid choice model framework based on sequential stated adaptation experiments. Transp. Res. Part C Emerg. Technol. 2017, 85, 47–63. [Google Scholar] [CrossRef]
- Davis, F.D. User acceptance of information technology: System characteristics, user perceptions and behavioral impacts. Int. J. Man-Machine Stud. 1993, 38, 475–487. [Google Scholar] [CrossRef]
- Chen, C.-F.; Chao, W.-H. Habitual or reasoned? Using the theory of planned behavior, technology acceptance model, and habit to examine switching intentions toward public transit. Transp. Res. Part F Traffic Psychol. Behav. 2011, 14, 128–137. [Google Scholar] [CrossRef]
- Chen, S.-Y. Using the sustainable modified TAM and TPB to analyze the effects of perceived green value on loyalty to a public bike system. Transp. Res. Part A Policy Pract. 2016, 88, 58–72. [Google Scholar] [CrossRef]
- Liu, J.; Kockelman, K.M.; Boesch, P.M.; Ciari, F. Tracking a system of shared autonomous vehicles across the Austin, Texas network using agent-based simulation. Transportation 2017, 44, 1–18. [Google Scholar] [CrossRef]
- Stark, J.; Hössinger, R. Attitudes and mode choice: Measurement and evaluation of interrelation. Transp. Res. Procedia 2018, 32, 501–512. [Google Scholar] [CrossRef]
- Kim, M.J.; Lee, C.-K.; Preis, M.W. The impact of innovation and gratification on authentic experience, subjective well-being, and behavioral intention in tourism virtual reality: The moderating role of technology readiness. Telemat. Inform. 2020, 49, 101349. [Google Scholar] [CrossRef]
- Adam, Z.; Walasek, L.; Meyer, C. Workforce commuting and subjective well-being. Travel Behav. Soc. 2018, 13, 183–196. [Google Scholar] [CrossRef]
- Ajzen, I.; Fishbein, M. Understanding Attitudes and Predicting Social Behavior; Prentice-Hall: Englewood Cliffs, NJ, USA, 1980. [Google Scholar]
- Bagozzi, R.P. Evaluating structural equation models with unobservable variables and measurement error: A Comment. J. Mark. Res. 1981, 18, 375–381. [Google Scholar] [CrossRef]








| Authors (Year) | Theoretical Model | Travel Mode | Explanatory Variables |
|---|---|---|---|
| Hough, Cao, and Handy 2008 [17] | The ecological model | Private car | Individual factors, Social environment, Physical environment |
| Schmoecker et al. 2008 [23] | - | Bus, Private car | Personal travel characteristic, Family travel characteristic, Travel attribute |
| Amen 2014 [24] | - | Bus, Private car | Personal characteristic, Family characteristic, Weather conditions, Built environment |
| Rahman et al. 2016 [25] | - | Private car | Socioeconomic variables |
| Liu et al. 2016 [26] | - | Bus, Walking | Personal characteristic, Family characteristic |
| Mifsud, Attard, and Ison 2017 [18] | The ecological model | Bus, Private car | Individual factors, Social environment, Physical environment |
| Payyanadan and Lee 2018 [22] | - | Sharing car | Socioeconomic variables, Travel characteristic |
| Authors (Year) | Subject | Travel Mode | Explanatory Variables |
|---|---|---|---|
| Levin and Boyles 2015 [16] | commuter | Public transport, AVs, SAVs | Travel attribute |
| Lamondia et al. 2016 [27] | traveler | Bus, Private car, AVs, Bus | Socioeconomic variables, Travel attribute |
| Yap, Correia, and van Arem 2016 [28] | commuter | Public transport, Cycle, Private car, AVs | Socioeconomic variables, Latent attitude variables |
| J. Liu et al. 2017 [29] | urban resident | Private car, SAVs | Socioeconomic variables, Travel attribute |
| Haboucha, Ishaq, and Shiftan 2017 [30] | commuter | Bus, AVs, SAVs | Socioeconomic variables, Travel attribute, Psychological variables |
| Moreno et al. 2018 [13] | traveler | AVs, SAVs | Socioeconomic variables, Travel attribute, Psychological variables |
| Nazari, Noruzoliaee, and Mohammadian 2018 [31] | traveler | Autonomous taxi, AVs, SAVs | Socioeconomic variables, Travel attribute, Psychological variables, environmental variables |
| Pakusch et al. 2018 [32] | traveler | Traditional car, Traditional car-sharing, AVs, SAVs, Bus | Socioeconomic variables, Travel attribute, Psychological variables |
| Menon et al. 2019 [15] | Private car owner | Traditional car, SAVs | Socioeconomic variables, Psychological variables |
| Pettigrew, Dana, and Norman 2019 [33] | traveler | AVs, SAVs | Socioeconomic variables, Travel attribute, Psychological variables |
| Acheampong and Cugurullo 2019 [34] | traveler | Bus, AVs, SAVs | Socioeconomic variables, Psychological variables |
| Constructs | Item | Source |
|---|---|---|
| Perceived Usefulness (PU) | I expect that the following travel modes are useful for my life in the future. | (Davis et al., 1989) [39] |
| I expect that the following travel modes are helpful for me in the future. | ||
| I expect that the following travel modes are functional for me in the future. | ||
| Perceived Ease of use (PE) | I think the following travel modes are easy for me in the future. | (Davis et al., 1989) [39] |
| I think the operation of the following travel modes is easy for me in the future. | ||
| I think it is easy for me to use the facilities and services of the following travel modes. | ||
| Attitude (AT) | I prefer to using the following travel modes in the future. | (Davis et al., 1989; Zhang et al., 2019) [39,40] |
| I think it is a good idea to use the following travel modes in the future. | ||
| I support the use of the following travel modes in the future. | ||
| Behavioral Intention (BI) | I will intend to use following travel modes in the future. | (Panagiotopoulos and Dimitrakopoulos, 2018) [41] |
| I will use the following travel modes in the future. | ||
| I will recommend my relatives and friends to use the following travel modes in the future. | ||
| Subjective Well-Being (SWB) | I believe the following travel modes are close to my ideal in the future. | Bergstad et al. (2011) [42] |
| I am satisfied with the following travel modes in the future. | ||
| When I choose one of the following travel modes to use in the future, I believe I have the best one. |
| Personal Particulars | Group | Sample Size | Percentage (%) |
|---|---|---|---|
| Gender | Male | 225 | 51.37% |
| Female | 213 | 48.63% | |
| Age | 60–69 years | 287 | 65.53% |
| 70–79 years | 110 | 25.11% | |
| 80 years or above | 41 | 9.36% | |
| Education | Below primary | 12 | 2.74% |
| Primary or junior | 206 | 47.03% | |
| Senior | 153 | 34.93% | |
| College or above | 67 | 15.30% | |
| Income | 0 | 68 | 15.53% |
| <3000 | 124 | 28.31% | |
| 3000–6000 | 153 | 34.93% | |
| >6000 | 93 | 21.23% | |
| Physical health | Terrible | 57 | 13.01% |
| Bad | 106 | 24.20% | |
| Average | 150 | 34.25% | |
| Well | 82 | 18.72% | |
| Excellent | 43 | 9.82% | |
| Mental health | Terrible | 35 | 7.99% |
| Bad | 52 | 11.87% | |
| Average | 90 | 20.55% | |
| Well | 174 | 39.73% | |
| Excellent | 87 | 19.86% | |
| License | Yes | 239 | 54.57% |
| No | 199 | 45.43% | |
| Living status | Alone | 42 | 9.59% |
| Couple living together | 217 | 49.54% | |
| Living alone with children | 83 | 18.95% | |
| Couples live together with children | 96 | 21.92% | |
| Rely on | Yes | 198 | 45.21% |
| No | 240 | 54.79% | |
| Participate in social activities | Never | 74 | 16.89% |
| Occasionally | 195 | 44.52% | |
| Frequently | 169 | 38.59% | |
| Station distance | <500 m | 82 | 18.72% |
| 500–1000 m | 157 | 35.85% | |
| 1000–2000 m | 101 | 23.06% | |
| >200 m | 98 | 22.37% | |
| Frequency of using public transport | Never | 18 | 4.11% |
| Several times a year | 69 | 15.75% | |
| Several times a month | 142 | 32.42% | |
| Two or three times a week | 107 | 24.43% | |
| Everyday | 102 | 23.29% |
| Constructs | Items | Standardized Factor Loading | Cronbach’s α | AVE |
|---|---|---|---|---|
| Public transport | ||||
| Perceived usefulness (PU) | PT_PU1 | 0.835 | 0.864 | 0.679 |
| PT_PU2 | 0.859 | |||
| PT_PU3 | 0.795 | |||
| Perceived ease of use (PE) | PT_PE1 | 0.827 | 0.872 | 0.695 |
| PT_PE2 | 0.812 | |||
| PT_PE3 | 0.879 | |||
| Attitude (AT) | PT_AT1 | 0.794 | 0.876 | 0.701 |
| PT_AT2 | 0.841 | |||
| PT_AT3 | 0.883 | |||
| Subjective well-being (SWB) | PT_SWB1 | 0.916 | 0.915 | 0.781 |
| PT_SWB2 | 0.908 | |||
| PT_SWB3 | 0.848 | |||
| Social influence (SI) | PT_SI1 | 0.795 | 0.867 | 0.685 |
| PT_SI2 | 0.886 | |||
| PT_SI3 | 0.813 | |||
| Behavioral intention (BI) | PT_BI1 | 0.825 | 0.854 | 0.736 |
| PT_BI2 | 0.872 | |||
| PT_BI3 | 0.796 | |||
| AVs | ||||
| Perceived usefulness (PU) | AV_PU1 | 0.742 | 0.821 | 0.604 |
| AV_PU2 | 0.827 | |||
| AV_PU3 | 0.775 | |||
| Perceived ease of use (PE) | AV_PE1 | 0.904 | 0.906 | 0.764 |
| AV_PE2 | 0.836 | |||
| AV_PE3 | 0.898 | |||
| Attitude (AT) | AV_AT1 | 0.755 | 0.801 | 0.573 |
| AV_AT2 | 0.794 | |||
| AV_AT3 | 0.733 | |||
| Subjective well-being (SWB) | AV_SWB1 | 0.882 | 0.840 | 0.638 |
| AV_SWB2 | 0.748 | |||
| AV_SWB3 | 0.778 | |||
| Social influence (SI) | AV_SI1 | 0.705 | 0.815 | 0.597 |
| AV_SI2 | 0.856 | |||
| AV_SI3 | 0.764 | |||
| Behavioral intention (BI) | AV_BI1 | 0.748 | 0.794 | 0.576 |
| AV_BI2 | 0.762 | |||
| AV_BI3 | 0.712 | |||
| SAVs | ||||
| Perceived usefulness (PU) | SAV_PU1 | 0.696 | 0.760 | 0.514 |
| SAV_PU2 | 0.746 | |||
| SAV_PU3 | 0.725 | |||
| Perceived ease of use (PE) | SAV_PE1 | 0.802 | 0.878 | 0.707 |
| SAV_PE2 | 0.893 | |||
| SAV_PE3 | 0.834 | |||
| Attitude (AT) | SAV_AT1 | 0.727 | 0.821 | 0.605 |
| SAV_AT2 | 0.825 | |||
| SAV_AT3 | 0.792 | |||
| Subjective well-being (SWB) | SAV_SWB1 | 0.934 | 0.912 | 0.776 |
| SAV_SWB2 | 0.844 | |||
| SAV_SWB3 | 0.876 | |||
| Social influence (SI) | SAV_SI1 | 0.888 | 0.881 | 0.713 |
| SAV_SI2 | 0.792 | |||
| SAV_SI3 | 0.863 | |||
| Behavioral intention (BI) | SAV_BI1 | 0.863 | 0.854 | 0.685 |
| SAV_BI2 | 0.847 | |||
| SAV_BI3 | 0.803 | |||
| Fitting Index | χ2/df | CFI | TLI | RMSEA | SRMR | Fitting Effect |
|---|---|---|---|---|---|---|
| Reasonable range | <3, Good; <5, Acceptable | >0.90 | >0.90 | <0.05, Excellent; <0.08, Good | <0.08, Acceptable | -- |
| PT | 3.473 | 0.912 | 0.921 | 0.057 | 0.041 | √ |
| AVs | 3.241 | 0.917 | 0.918 | 0.053 | 0.044 | √ |
| SAVs | 3.059 | 0.915 | 0.920 | 0.049 | 0.043 | √ |
| Variables | Gender | Age | Edu | Income | Career | Physical Health | Mental Health | License |
|---|---|---|---|---|---|---|---|---|
| PT | ||||||||
| PU | 0.035 | −0.071 * | 0.038 | −0.013 | 0.113 | 0.108 * | −0.009 | −0.015 * |
| PE | 0.014 | 0.179 | 1.372 | 0.004 | 0.004 | −0.056 * | 0.010 | 0.019 |
| AT | 0.006 | −0.280 | 0.062 | 0.001 | 0.517 | 1.004 | −0.064 * | 0.431 |
| SWB | −0.013 | −0.059 | 0.053 | −0.226 | 0.226 | 0.182 ** | −0.103 * | −0.055 * |
| SI | 0.042 | 0.061 | −0.007 | 0.043 | 0.093 | 0.087 | 0.066 | 0.049 |
| AVs | ||||||||
| PU | 0.011 | 0.049 | 0.194 | 0.162 ** | 0.056 | 0.604 | 0.092 | 0.007 |
| PE | 0.013 * | −0.017 ** | 0.272 ** | 0.099 | 0.113 | 0.075 | −0.611 | 0.084 ** |
| AT | 0.247 | 0.101 | 0.205 | 0.041 | 0.039 * | 0.049 *** | −0.055 * | 1.052 |
| SWB | 0.406 | 0.308 | 0.177 | 0.118 * | 0.001 | 0.125 ** | 0.412 | 0.010 |
| SI | 0.088 | −0.052 | 0.005 | 0.010 | 0.022 | 0.037 | −0.043 | 0.002 |
| SAVs | ||||||||
| PU | 0.042 * | 0.507 | 0.065 * | 0.056 * | 0.107 | 0.904 | 0.370 | −0.226 * |
| PE | 0.033 | −0.026 | 0.047 * | 0.787 | 0.004 | 0.220 | 0.011 | 0.003 |
| AT | 0.274 | 0.904 | 0.663 | 0.065 | 1.073 | 0.031 ** | 0.558 | 0.060 |
| SWB | 0.180 | 0.085 * | 0.330 | 0.539 | 0.006 | −0.319 ** | 0.036 | −0.017 |
| SI | 1.005 | −0.013 | 0.007 | −0.044 | 0.809 | 0.542 | 0.031 | 0.029 |
| Variables | Living Status | Rely On | Social Activity | Station Distance | Frequency |
|---|---|---|---|---|---|
| PT | |||||
| PU | 0.074 | 0.240 | 0.015 | −0.032 ** | 0.013 * |
| PE | 0.009 | −0.189 | 0.004 | −0.107 * | 1.057 |
| AT | 0.015 | 0.004 | 0.080 | −0.040 | 0.379 * |
| SWB | −0.063 | 0.011 | 0.331 | −0.551 | 0.002 |
| SI | 0.550 | −0.061 | 1.027 | 0.033 | 0.010 |
| AVs | |||||
| PU | 0.044 * | 0.028 ** | 0.099 | 0.005* | 0.018 |
| PE | 0.107 | −0.937 | 0.012 | 0.046 | −0.044 |
| AT | 0.028 | 0.011 * | 0.225 | 0.119 | 0.006 |
| SWB | 0.003 | 0.050 | 0.100 | 0.260 | 0.057 ** |
| SI | 0.083 | −0.228 | 0.147 ** | 0.007 | 0.050 |
| SAVs | |||||
| PU | −0.009 | 0.105 * | 0.339 | 1.005 | −0.032 |
| PE | 0.201 | −0.016 | 0.060 | 0.049 | 0.030 |
| AT | 0.018 * | 0.499 | 0.247 | 0.020 | −0.011 |
| SWB | −0.056 | 0.070 | 0.023 | 0.177 | 0.409 |
| SI | 0.037 | 0.002 | 0.021 ** | 0.204 | 0.032 |
| Mediating Variable | Public Transport | AVs | SAVs |
|---|---|---|---|
| The mediating effect of the PU between PE and AT | |||
| PU (included) | 0.64 *** (10.41) | 0.53 ** (5.32) | 0.44 ** (4.76) |
| PU (excluded) | 0.79 *** (16.94) | 0.69 ** (11.05) | 0.61 ** (8.23) |
| The mediating effect of the AT between SI and BI | |||
| AT (included) | 0.35 * (5.27) | 0.39 *** (5.13) | 0.54 ** (7.05) |
| AT (excluded) | 0.59 * (9.14) | 0.62 *** (12.70) | 0.73 ** (14.09) |
| Modes | Travel Time | Travel Variability Time | Travel Cost | Travel Comfort |
|---|---|---|---|---|
| Public Transport | 30 | 8 | 1 | 1 |
| 45 | 14 | 2 | 2 | |
| 60 | 18 | 3 | 3 | |
| AVs | 10 | 2 | 20 | 0 |
| 20 | 5 | 25 | 0 | |
| 34 | 8 | 35 | 0 | |
| SAVs | 15 | 5 | 15 | 0 |
| 25 | 10 | 20 | 0 | |
| 40 | 15 | 30 | 0 |
| Indicators | Travel Time | Travel Variability Time | Travel Cost | Travel Comfort |
|---|---|---|---|---|
| Weights | 3.59 | 3.51 | 3.75 | 3.82 |
| Normalized coefficients | 0.247 | 0.244 | 0.254 | 0.255 |
| Variables | G-RRM | RUM | ||
|---|---|---|---|---|
| Parameter Estimation | t-Test | Parameter Estimation | t-Test | |
| Travel time | −0.0194 | −4.83 ** | −0.0465 | −4.92 ** |
| Travel variability time | −0.0325 | −5.61 ** | −0.0650 | −5.64 ** |
| Travel cost | −0.0169 | −2.37 ** | −0.0329 | −2.32 ** |
| Travel comfort | −0.0083 | −1.96 ** | −0.0167 | −2.08 ** |
| Samples | 1314 | 1314 | ||
| LL(β) | −2,283,143 | −2,314,908 | ||
| LL(0) | −3926.427 | −3,970,683 | ||
| ρ2 | 0.425 | 0.417 | ||
| Selected Modes | Direct Elasticity | Unselected Modes | Indirect Elasticity | ||||||
|---|---|---|---|---|---|---|---|---|---|
| Travel Time | Travel Variability Time | Travel Cost | Travel Comfort | Travel Time | Travel Variability Time | Travel Cost | Travel Comfort | ||
| Public transport | −0.201 | −0.174 | −0.421 | 0.927 | AVs | 0.090 | 0.089 | 0.210 | −0.461 |
| SAVs | 0.097 | 0.082 | 0.217 | −0.469 | |||||
| AVs | −0.217 | −0.192 | −0.475 | 0.948 | Public transport | 0.102 | 0.091 | 0.224 | −0.472 |
| SAVs | 0.113 | 0.098 | 0.239 | −0.479 | |||||
| SAVs | −0.208 | −0.187 | −0.468 | 0.935 | PT | 0.102 | 0.087 | 0.224 | −0.468 |
| AVs | 0.110 | 0.090 | 0.230 | −0.462 | |||||
Publisher’s Note: MDPI stays neutral with regard to jurisdictional claims in published maps and institutional affiliations. |
© 2020 by the authors. Licensee MDPI, Basel, Switzerland. This article is an open access article distributed under the terms and conditions of the Creative Commons Attribution (CC BY) license (http://creativecommons.org/licenses/by/4.0/).
Share and Cite
Sun, H.; Jing, P.; Zhao, M.; Chen, Y.; Zhan, F.; Shi, Y. Research on the Mode Choice Intention of the Elderly for Autonomous Vehicles Based on the Extended Ecological Model. Sustainability 2020, 12, 10661. https://doi.org/10.3390/su122410661
Sun H, Jing P, Zhao M, Chen Y, Zhan F, Shi Y. Research on the Mode Choice Intention of the Elderly for Autonomous Vehicles Based on the Extended Ecological Model. Sustainability. 2020; 12(24):10661. https://doi.org/10.3390/su122410661
Chicago/Turabian StyleSun, Huiqian, Peng Jing, Mengxuan Zhao, Yuexia Chen, Fengping Zhan, and Yuji Shi. 2020. "Research on the Mode Choice Intention of the Elderly for Autonomous Vehicles Based on the Extended Ecological Model" Sustainability 12, no. 24: 10661. https://doi.org/10.3390/su122410661
APA StyleSun, H., Jing, P., Zhao, M., Chen, Y., Zhan, F., & Shi, Y. (2020). Research on the Mode Choice Intention of the Elderly for Autonomous Vehicles Based on the Extended Ecological Model. Sustainability, 12(24), 10661. https://doi.org/10.3390/su122410661

