Impacts of Land Use Changes on Wetland Ecosystem Services in the Tumen River Basin
Abstract
1. Introduction
2. Materials and Methods
2.1. Study Area
2.2. Data
2.3. Methods
2.3.1. Wetland Extraction
2.3.2. Assessment of Wetland ES
3. Results
3.1. Evaluation of LUC Data Accuracy
3.2. Changes in Wetland Area from 1976 to 2016
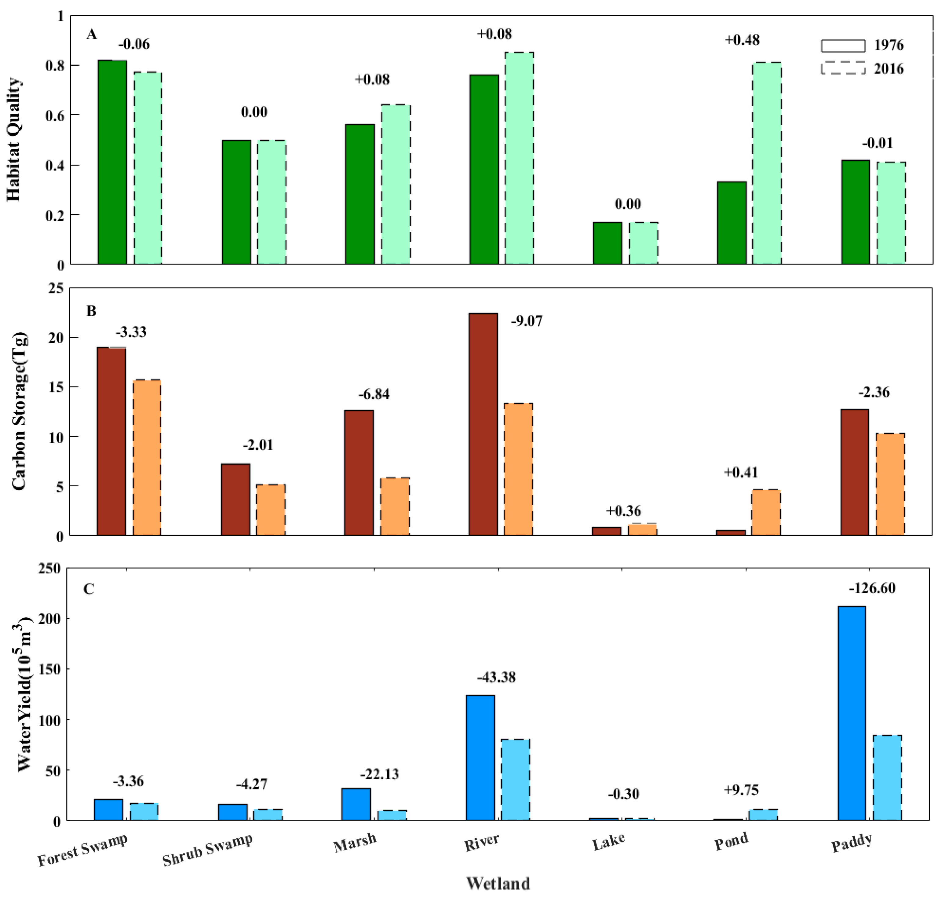
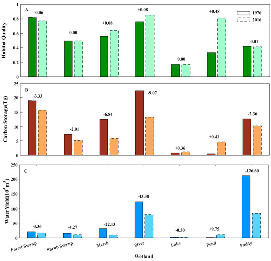
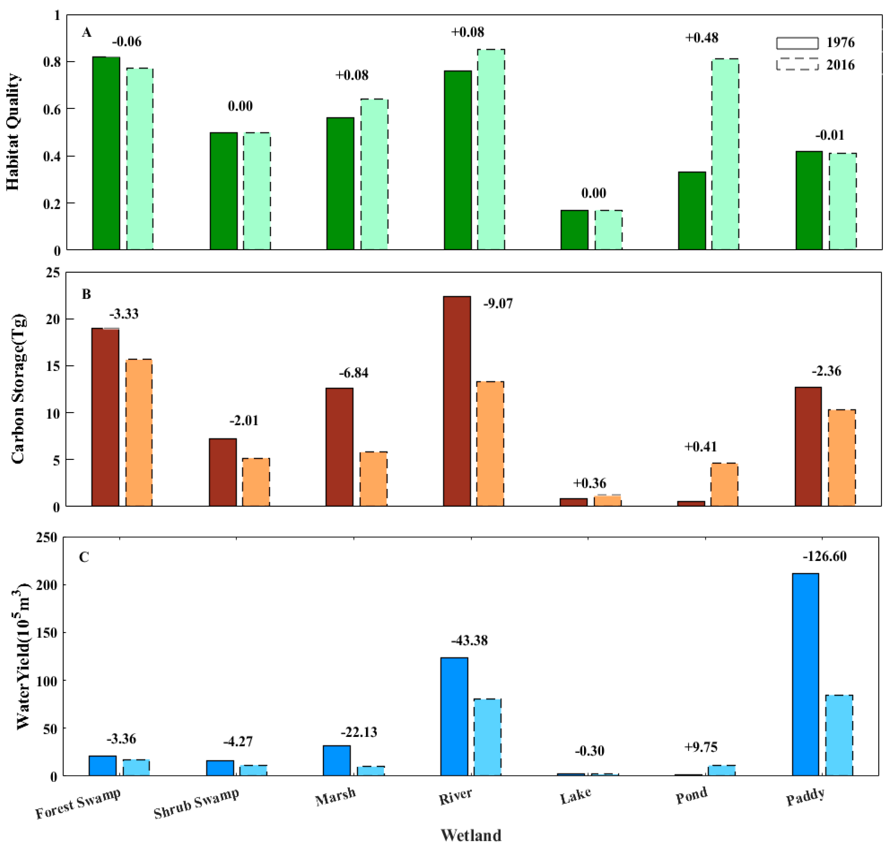
3.3. Changes in Wetland ES
4. Discussion
5. Conclusions
Supplementary Materials
Author Contributions
Funding
Acknowledgments
Conflicts of Interest
References
- Fu, B. Ecosysetem Service and Ecological Security; Higher Education Press: Beijing, China, 2013. [Google Scholar]
- Hawkins, C.F.; Smith, O.E. The convention on wetlands of international importance especially as waterfowl habitat. Environ Policy. Law 1983, 10, 70–71. [Google Scholar]
- Millennium Ecosystem Assessment (MEA). Ecosystems and Human Well-Being: Wetlands and Water; Island Press: Washington, DC, USA, 2005. [Google Scholar]
- Ricaurte, L.F.; Olaya-Rodriguez, M.H.; Cepeda-Valencia, J.; Lara, D.; Arroyave-Suarez, J.; Finlayson, C.M.; Palomo, I. Future impacts of drivers of change on wetland ecosystem services in Colombia. Glob. Environ. Chang. Human Policy Dimens. 2017, 44, 158–169. [Google Scholar] [CrossRef]
- Gong, P.; Li, X.; Zhang, W. 40-Year (1978–2017) Human settlement changes in China reflected by impervious surfaces from satellite remote sensing. Sci. Bull. 2019, 64, 756–763. [Google Scholar] [CrossRef]
- Zheng, Y.; Niu, Z.; Gong, P.; Wang, J. A database of global wetland validation samples for wetland mapping. Sci. Bull. 2015, 60, 428–434. [Google Scholar] [CrossRef]
- Gao, J.; Li, F.; Gao, H.; Zhou, C.; Zhang, X. The impact of land-use change on water-related ecosystem services: A study of the Guishui River Basin, Beijing, China. J. Clean Prod. 2017, 163, S148–S155. [Google Scholar] [CrossRef]
- Mitsch, W.J. Applying science to conservation and restoration of the world’s wetlands. Water Sci. Technol. 2005, 51, 13–26. [Google Scholar] [CrossRef]
- Bateman, I.J.; Harwood, A.R.; Mace, G.M.; Watson, R.T. Bringing ecosystem services into economic decision-making: Land use in the United Kingdom. Science 2013, 341, 45–50. [Google Scholar] [CrossRef]
- Fluet-Chouinard, E.; Lehner, B.; Rebelo, L.; Papa, F.; Hamilton, S.K. Development of a global inundation map at high spatial resolution from topographic downscaling of coarse-scale remote sensing data. Remote Sens. Environ. 2015, 158, 348–361. [Google Scholar] [CrossRef]
- Xu, S.; Liu, X.; Li, X.; Tian, C. Soil organic carbon changes following wetland restoration: A global meta-analysis. Geoderma 2019, 353, 89–96. [Google Scholar] [CrossRef]
- Murray, N.J.; Clemens, R.S.; Phinn, S.R.; Possingham, H.P.; Fuller, R.A. Tracking the rapid loss of tidal wetlands in the Yellow Sea. Front. Ecol. Environ. 2014, 12, 267–272. [Google Scholar] [CrossRef]
- Zhang, L.; Ouyang, Z. Focusing on rapid urbanization areas can control the rapid loss of migratory water bird habitats in China. Glob Ecol. Conserv. 2019, 20, e801. [Google Scholar] [CrossRef]
- Zhang, D.; Huang, Q.; He, C.; Wu, J. Impacts of urban expansion on ecosystem services in the Beijing-Tianjin-Hebei urban agglomeration, China: A scenario analysis based on the Shared Socioeconomic Pathways. Resour. Conserv. Recycl. 2017, 125, 115–130. [Google Scholar] [CrossRef]
- Zhang, D.; Huang, Q.; He, C.; Yin, D.; Liu, Z. Planning urban landscape to maintain key ecosystem services in a rapidly urbanizing area: A scenario analysis in the Beijing-Tianjin-Hebei urban agglomeration, China. Ecol. Indic. 2019, 96, 559–571. [Google Scholar] [CrossRef]
- Yang, Y.; Zhang, D.; Nan, Y.; Liu, Z.; Zheng, W. Modeling urban expansion in the transnational area of Changbai Mountain: A scenario analysis based on the zoned Land Use Scenario Dynamics-urban model. Sust. Cities Soc. 2019, 50, 101622. [Google Scholar] [CrossRef]
- Yang, Y.; Nan, Y.; Liu, Z.; Zhang, D.; Sun, Y. Direct and indirect losses of natural habitat caused by future urban expansion in the transnational area of Changbai Mountain. Sustain. Cities Soc. 2020, 63, 102487. [Google Scholar] [CrossRef]
- Zheng, X.; Sun, P.; Zhu, W.; Qin, L. Landscape dynamics and driving forces of wetlands in the Tumen River Basin of China over the past 50 years. Landsc. Ecol Eng. 2017, 13, 237–250. [Google Scholar] [CrossRef]
- Orimoloye, I.R.; Kalumba, A.M.; Mazinyo, S.P.; Nel, W. Geospatial analysis of wetland dynamics: Wetland depletion and biodiversity conservation of Isimangaliso Wetland, South Africa. J. King Saud Univ. Sci. 2020, 32, 90–96. [Google Scholar] [CrossRef]
- Böhme, B.; Becker, M.; Diekkrüger, B.; Förch, G. How is water availability related to the land use and morphology of an inland valley wetland in Kenya? Phys. Chem. Earth 2016, 93, 84–95. [Google Scholar] [CrossRef]
- Chu, X.; Han, G.; Xing, Q.; Xia, J.; Sun, B.; Li, X.; Yu, J.; Li, D.; Song, W. Changes in plant biomass induced by soil moisture variability drive interannual variation in the net ecosystem CO2 exchange over a reclaimed coastal wetland. Agric. For. Meteorol. 2019, 264, 138–148. [Google Scholar] [CrossRef]
- Du, H.; Nan, Y.; Zhu, W. Effect of land use change on ecosystem services value study in Tumen River. J. Jilin Univ. Earth Sci. Ed. 2010, 40, 671–677. [Google Scholar]
- Nan, Y.; Wang, B.; Zhang, D.; Liu, Z.; Qi, D.; Zhou, H. Spatial patterns of LULC and driving forces in the transnational area of Tumen River: A comparative analysis of the sub-regions of China, the DPRK, and Russia. Chin. Geogr. Sci. 2020, 30, 588–599. [Google Scholar] [CrossRef]
- Tao, H.; Nan, Y.; Liu, Z. Spatiotemporal patterns of forest in the transnational area of Changbai Mountain from 1977 to 2015: A comparative analysis of the Chinese and DPRK Sub-Regions. Sustainability 2017, 9, 1054. [Google Scholar] [CrossRef]
- Xiang, H.; Jia, M.; Wang, Z.; Li, L.; Mao, D.; Zhang, D.; Cui, G.; Zhu, W. Impacts of land cover changes on ecosystem carbon stocks over the transboundary Tumen River Basin in Northeast Asia. Chin. Geogr. Sci. 2018, 28, 973–985. [Google Scholar] [CrossRef]
- Bannari, A.; Al-Ali, Z.M. Assessing climate change impact on soil salinity dynamics between 1987–2017 in arid landscape using landsat TM, ETM+ and OLI data. Remote Sens. 2020, 12, 2794. [Google Scholar] [CrossRef]
- Ai, J.; Gao, W.; Gao, Z.; Shi, R.; Zhang, C.; Liu, C. Integrating pan-sharpening and classifier ensemble techniques to map an invasive plant (Spartina Alterniflora) in an estuarine wetland using landsat 8 imagery. J. Appl. Remote Sens. 2016, 10, 026001. [Google Scholar] [CrossRef]
- Mao, D.; Wang, Z.; Du, B.; Li, L.; Tian, Y.; Jia, M.; Zeng, Y.; Song, K.; Jiang, M.; Wang, Y. National wetland mapping in China: A new product resulting from object-based and hierarchical classification of Landsat 8 OLI images. ISPRS J. Photogramm. Remote Sens. 2020, 164, 11–25. [Google Scholar] [CrossRef]
- Jia, M.; Mao, D.; Wang, Z.; Ren, C.; Zhang, Y. Tracking long-term floodplain wetland changes: A case study in the china side of the amur river basin. Int. J. Appl. Earth Obs. Geoinf. 2020, 92, 102185. [Google Scholar] [CrossRef]
- Sharp, R.; Chaplin-Kramer, R.; Wood, S.; Guerry, A.; Tallis, H.; Ricketts, T.; Nelson, E.; Ennaanay, D.; Wolny, S.; Olwero, N.; et al. InVest User’s Guide; The Natural Capital Project; Stanford University; University of Minnesota; TThe Nature Conservancy; World Wildlife Fund: Minneapolis, MN, USA, 2015. [Google Scholar]
- Donohue, R.J.; Roderick, M.L.; McVicar, T.R. Roots, storms and soil pores: Incorporating key ecohydrological processes into Budyko’s hydrological model. J. Hydrol. 2012, 436–437, 35–50. [Google Scholar] [CrossRef]
- Sallustio, L.; De Toni, A.; Strollo, A.; Di Febbraro, M.; Gissi, E.; Casella, L.; Geneletti, D.; Munafò, M.; Vizzarri, M.; Marchetti, M. Assessing habitat quality in relation to the spatial distribution of protected areas in Italy. J. Environ Manag. 2017, 201, 129–137. [Google Scholar] [CrossRef]
- Bao, Y.; Liu, K.; Li, T.; Hu, S. Effects of land use change on habitat based on InVest model-Taking Yellow River Wetland Nature Reserve in Shaanxi province as an example. Arid Zone Res. 2015, 32, 622–629. [Google Scholar]
- Yan, S.; Mu, C.; Wang, B.; Wang, B. Carbon storage of natural broadleaved forested marsh wetland ecosystem in temperate Changbai Mountain of northeastern China. J. Beijing For. Univ. 2018, 40, 1–11. [Google Scholar]
- Fu, B. On the calculation of the evaporation from land surface. Chin. J. Atmos. Sci. 1981, 5, 23–31. [Google Scholar]
- Zhang, L.; Hickel, K.; Dawes, W.R.; Chiew FH, S.; Western, A.W.; Briggs, P.R. A rational function approach for estimating mean annual evapotranspiration. Water Resour. Res. 2004, 40, 89–97. [Google Scholar] [CrossRef]
- Canadell, J.; Jackson, R.B.; Ehleringer, J.B.; Mooney, H.A.; Sala, O.E.; Schulze, E.D. Maximum rooting depth of vegetation types at the global scale. Oecologia 1996, 108, 583–595. [Google Scholar] [CrossRef] [PubMed]
- Pessacg, N.; Flaherty, S.; Brandizi, L.; Solman, S.; Pascual, M. Getting water right: A case study in water yield modelling based on precipitation data. Sci. Total Environ. 2015, 537, 225–234. [Google Scholar] [CrossRef] [PubMed]
- Mehvar, S.; Filatova, T.; Sarker, M.H.; Dastgheib, A.; Ranasinghe, R. Climate change-driven losses in ecosystem services of coastal wetlands: A case study in the West coast of Bangladesh. Ocean Coast. Manag. 2019, 169, 273–283. [Google Scholar] [CrossRef]
- Bai, Y.; Ochuodho, T.O.; Yang, J. Impact of land use and climate change on water-related ecosystem services in Kentucky, USA. Ecol. Indic. 2019, 102, 51–64. [Google Scholar] [CrossRef]
- Jin, A. Temperature and precipitation varition during the recent 40 years in the lower reaches of Tumen river. J. Agric. Sci. Yanbian Univ. 2004, 26, 37–41. [Google Scholar]
- Glaeser, L.C.; Vitt, D.H.; Ebbs, S. Responses of the wetland grass, Beckmannia syzigachne, to salinity and soil wetness: Consequences for wetland reclamation in the oil sands area of Alberta, Canada. Ecol. Eng. 2016, 86, 24–30. [Google Scholar] [CrossRef]
- Davidson, N.C. How much wetland has the world lost? Long-term and recent trends in global wetland area. Mar. Freshw. Res. 2014, 65, 934. [Google Scholar] [CrossRef]
- Gómez-Baggethun, E.; Tudor, M.; Doroftei, M.; Covaliov, S.; Năstase, A.; Onără, D.-F.; Mierlă, M.; Marinov, M.; Doroșencu, A.-C.; Lupu, G.; et al. Changes in ecosystem services from wetland loss and restoration: An ecosystem assessment of the Danube Delta (1960–2010). Ecosyst. Serv. 2019, 39, 100965. [Google Scholar] [CrossRef]
- Mitsch, W.J.; Gosselink, J.J. Wetlands, 5th ed.; John Wiley & Sons: Hoboken, NJ, USA, 2015. [Google Scholar]
- Deák, B.; Valkó, O.; Török, P.; Kelemen, A.; Tóth, K.; Miglécz, T.; Tóthmérész, B. Reed cut. Habitat diversity and productivity in wetlands. Ecol. Complex. 2015, 22, 121–125. [Google Scholar] [CrossRef]
- Melts, I.; Ivask, M.; Geetha, M.; Takeuchi, K.; Heinsoo, K. Combining bioenergy and nature conservation: An example in wetlands. Renew. Sustain. Energ. Rev. 2019, 111, 293–302. [Google Scholar] [CrossRef]
- Miguel, M.; Catarina, F.; Marta, V.; Helena, C.; Artur, G. Spatial assessment of habitat conservation status in a Macaronesian island based on the InVEST model: A case study of Pico Island (Azores, Portugal). Land Use Policy 2018, 78, 637–649. [Google Scholar]
- Gaglio, M.; Aschonitis, V.; Pieretti, L.; Santos, L.; Gissi, E.; Castaldelli, G.; Fano, E.A. Modelling past, present and future Ecosystem Services supply in a protected floodplain under land use and climate changes. Ecol. Modell. 2019, 403, 23–34. [Google Scholar] [CrossRef]
- Cong, W.; Sun, X.; Guo, H.; Shan, R.F. Comparison of the SWAT and InVEST models to determine hydrological ecosystem service spatial patterns, priorities and trade-offs in a complex basin. Ecol. Indic. 2020, 112, 106089. [Google Scholar] [CrossRef]





| Year | Accuracy | Kappa |
|---|---|---|
| 2016 | 92.40 | 0.91 |
| 1976 | 88.55 | 0.87 |
| Wetland | 1976 | 2016 | Area |
|---|---|---|---|
| Reservoir/pond | 8.60 | 76.69 | 68.09 |
| Lake | 8.19 | 6.59 | −1.60 |
| Shrub swamp | 50.80 | 36.60 | −14.20 |
| Forest swamp | 132.34 | 107.78 | −24.56 |
| Marsh | 101.68 | 46.81 | −54.87 |
| Paddy | 499.90 | 412.59 | −87.31 |
| River | 374.22 | 216.60 | −157.62 |
| Sub-Watershed | Forest Swamp | Shrub Swamp | Marsh | River | Lake | Reservoir/Pond | Paddy |
|---|---|---|---|---|---|---|---|
| GPG | 0.00 | −6.40 | −1.13 | −1.48 | 0.00 | 0.05 | −0.14 |
| LDH | 0.00 | 0.00 | −0.45 | −2.11 | 0.00 | 0.57 | 0.78 |
| HQH | −3.26 | −3.29 | −0.91 | 6.62 | 0.00 | 0.03 | −0.92 |
| STH | 0.00 | 0.00 | 0.00 | −2.22 | 0.00 | 1.03 | −5.18 |
| MJH | −0.70 | 0.00 | 0.00 | −5.52 | 0.00 | −0.84 | 0.12 |
| HCH | −4.69 | −0.36 | −6.11 | −25.80 | 0.00 | 22.60 | −7.13 |
| YQG | 0.00 | 0.00 | 0.00 | −2.05 | 0.00 | 0.32 | −2.03 |
| HLJ | −0.09 | −0.04 | −1.17 | −14.93 | 0.00 | 7.10 | −15.59 |
| JXQ | −0.92 | 0.00 | −34.66 | −5.51 | 4.66 | 6.48 | 4.22 |
| GYH | −12.21 | −0.52 | −3.38 | −41.38 | 0.00 | 13.80 | −28.74 |
| BEH | −2.57 | −3.58 | −7.01 | −34.46 | 0.00 | 9.52 | −48.59 |
| Subwatershed | Conservation Area | Established Year | Habitat Quality | Carbon Storage (Tg) | Water Yield (105 m3) |
|---|---|---|---|---|---|
| GYH | Mantianxing National Forest Park | 2001 | - | - | 0.87 |
| Jilin Shang’tun Nature Reserve | 2014 | 0.91 | 0.17 | 0.10 | |
| Gayahe National Wetland Park | 2014 | - | 0.59 | 0.19 | |
| MJH | Jilin Hunchun Amur Tiger National Nature Reserve | 2005 | 0.82 | 0.06 | 2.26 |
| STH | Jilin Hunchun Amur Tiger National Nature Reserve | 2005 | 0.56 | 0.05 | 4.77 |
| HCH | Wangqing National Nature Reserve | 2012 | 0.91 | 0.00 | 1.72 |
| Lanjia Grand Canyon National Forest Park | 2013 | 0.88 | 0.13 | 0.22 | |
| Jilin Hunchun Nature Reserve | 2001 | 0.64 | 0.50 | 9.83 | |
| HLJ | Hailanjiangyuan Provincial Nature Reserve | 2014 | - | 0.00 | 0.09 |
| Xianfeng National Forest Park | 2002 | 0.80 | 0.00 | 0.01 | |
| JXQ | Tumen River National Forest Park | 1997 | - | - | 10.71 |
| Jilin Hunchun Nature Reserve | 2001 | 0.90 | 0.06 | 3.44 | |
| HQH | Zengfengling Mount National Nature Reserve | 2016 | - | 0.03 | 0.00 |
| LDH | Guchengli National Wetland Park | 2015 | 0.59 | 0.00 | 0.65 |
| GPG | Guchengli National Wetland Park | 2015 | 0.93 | 0.06 | 1.15 |
| Tumen River of the Legal Protected National Forest Park | 2002 | - | 0.00 | 13.86 |
Publisher’s Note: MDPI stays neutral with regard to jurisdictional claims in published maps and institutional affiliations. |
© 2020 by the authors. Licensee MDPI, Basel, Switzerland. This article is an open access article distributed under the terms and conditions of the Creative Commons Attribution (CC BY) license (http://creativecommons.org/licenses/by/4.0/).
Share and Cite
Zhang, Y.; Jin, R.; Zhu, W.; Zhang, D.; Zhang, X. Impacts of Land Use Changes on Wetland Ecosystem Services in the Tumen River Basin. Sustainability 2020, 12, 9821. https://doi.org/10.3390/su12239821
Zhang Y, Jin R, Zhu W, Zhang D, Zhang X. Impacts of Land Use Changes on Wetland Ecosystem Services in the Tumen River Basin. Sustainability. 2020; 12(23):9821. https://doi.org/10.3390/su12239821
Chicago/Turabian StyleZhang, Yanan, Ri Jin, Weihong Zhu, Da Zhang, and Xiaoxue Zhang. 2020. "Impacts of Land Use Changes on Wetland Ecosystem Services in the Tumen River Basin" Sustainability 12, no. 23: 9821. https://doi.org/10.3390/su12239821
APA StyleZhang, Y., Jin, R., Zhu, W., Zhang, D., & Zhang, X. (2020). Impacts of Land Use Changes on Wetland Ecosystem Services in the Tumen River Basin. Sustainability, 12(23), 9821. https://doi.org/10.3390/su12239821

