Farmland Trace Metal Contamination and Management Model—Model Development and a Case Study in Central Taiwan
Abstract
1. Introduction
2. Materials and Methods
2.1. Establishment of Background Information
- The collection of the related background information.
- The establishment of the background information.
- The model establishment and application of the GIS (Geographic Information System).
- Results and discussion.
- Review of the prevention, management, and remediation of TM-contaminated farmland.
- Conclusions and suggestions.
2.2. Model Development
2.2.1. Mass Balance Equation
2.2.2. External Inputs
2.2.3. Estimation of TMs from Irrigation Water
2.2.4. TM Adsorption
2.2.5. Bottom Sediments
2.2.6. Atmospheric Deposition and Fertilizers
2.2.7. Leaching
2.2.8. Plant Uptake
2.2.9. Governing Equations
2.2.10. Combined Bottom Sediments
2.2.11. Case Study
2.2.12. Model Parameters
2.2.13. Model Calibration and Verification
2.2.14. Model Limits
2.3. Software
3. Results
3.1. Model Calibration and Verification
3.2. Model Simulation Analysis
3.3. Irrigation Water without Sediment Transportation
3.4. Irrigation Channel Sediment
3.5. Plant Uptake
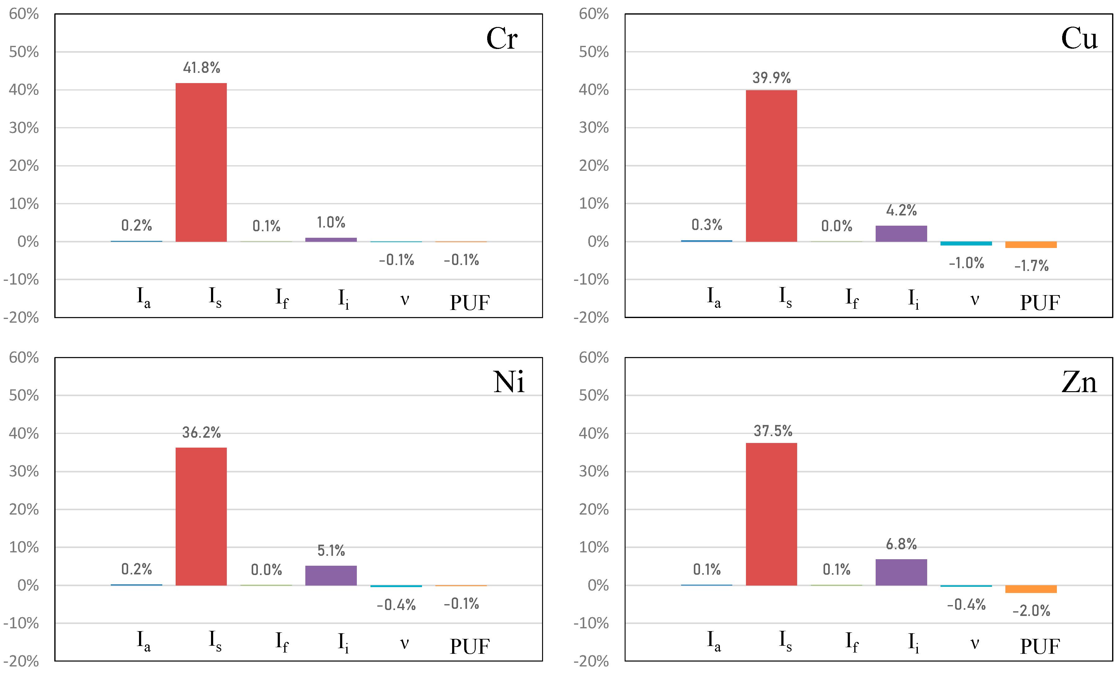
3.6. Model Sensitivity Analysis
3.7. Review on the Prevention, Management, and Remediation of TM-Contaminated Farmlands
4. Conclusions
Author Contributions
Funding
Acknowledgments
Conflicts of Interest
References
- Cheng, B.Y.; Fang, W.T.; Shyu, G.S.; Chang, T.K. Distribution of heavy metals in the sediments of agricultural fields adjacent to urban areas in Central Taiwan. Paddy Water Environ. 2013, 11, 343–351. [Google Scholar] [CrossRef]
- Chen, Z.S. Relationship between heavy metal concentrations in soils of Taiwan and uptake by crops. Food Fertil. Technol. Cent. Tech. Bull. 2000, 149, 1–15. [Google Scholar]
- Cipullo, S.; Snapir, B.; Tardif, S.; Campo, P.; Prpich, G.; Coulon, F. Insights into mixed contaminants interactions and its implication for heavy metals and metalloids mobility, bioavailability and risk assessment. Sci. Total Environ. 2018, 645, 662–673. [Google Scholar] [CrossRef] [PubMed]
- Zhang, X.; Zhong, T.; Liu, L.; Ouyang, X.; Qian, Q. Impact of Soil Heavy Metal Pollution on Food Safety in China. PLoS ONE 2015, 10, e0135182. [Google Scholar] [CrossRef]
- Huang, S.H.; Wang, Y.L.; Li, S.H.; Chien, L.C.; Chang, T.C.; Hseu, Z.Y.; Hsi, H.C. Environmental and health risks of heavy metals in farmland soils of drinking water protection areas and a contaminated paddy field in Taiwan. Sustainability 2019, 11, 5166. [Google Scholar] [CrossRef]
- Emenike, C.U.; Jayanthi, B.; Agamuthu, P.; Fauziah, S.H. Biotransformation and removal of heavy metals: A review of phytoremediation and microbial remediation assessment on contaminated soil. Environ. Rev. 2018, 26, 156–168. [Google Scholar] [CrossRef]
- Taiwan Environmental Protection Administration (EPA Taiwan). Annual Report Soil and Groundwater Pollution Remediation. Soil and Groundwater Pollution Fund Management Board. 2018. Available online: https://sgw.epa.gov.tw/public/download/annual-report/e845ec08-16c2-432d-942f-1a62b69f4f9a (accessed on 10 May 2019).
- Lin, Y.P.; Chang, T.K. Geostatistical simulation and estimation of the spatial variability of soil zinc. J. Environ. Sci. Health A 2000, 35, 327–347. [Google Scholar] [CrossRef]
- Juang, K.W.; Chen, Y.S.; Lee, D.Y. Using sequential indicator simulation to assess the uncertainty of delineating heavy-metal contaminated soils. Environ. Pollut. 2004, 127, 229–238. [Google Scholar] [CrossRef]
- Lin, Y.P.; Cheng, B.Y.; Shyu, G.S.; Chang, T.K. Combining a finite mixture distribution model with indicator kriging to delineate and map the spatial patterns of soil heavy metal pollution in Chunghua County, central Taiwan. Environ. Pollut. 2010, 158, 235–244. [Google Scholar] [CrossRef]
- Lin, Y.P.; Teng, T.P.; Chang, T.K. Multivariate analysis of soil heavy metal pollution and landscape pattern in Changhua county in Taiwan. Landsc. Urban. Plan. 2002, 62, 19–35. [Google Scholar] [CrossRef]
- Lin, Y.P. Simulating spatial distributions, variability and uncertainty of soil arsenic by geostatistical simulations in geographic information systems. Open Environ. Sci. 2008, 2, 26–33. [Google Scholar] [CrossRef]
- Taiwan Environmental Protection Administration (EPA Taiwan). Investigation of Contaminated Farmlands in Central Taiwan, EPA, R.O.C.; Editor. 2012. Available online: https://data.epa.gov.tw/dataset/soil_p_06 (accessed on 9 October 2012).
- Lin, Y.P.; Chang, T.K.; Shih, C.W.; Tseng, C.H. Factorial and indicator kriging methods using a geographic information system to delineate spatial variation and pollution sources of soil heavy metals. Environ. Geol. 2002, 42, 900–909. [Google Scholar] [CrossRef]
- Zhang, C.; Appel, E.; Qiao, Q. Heavy metal pollution in farmland irrigated with river water near a steel plant—Magnetic and geochemical signature. Geophys. J. Int. 2012, 192, 963–974. [Google Scholar] [CrossRef]
- Peng, C.; Wang, M.; Chen, W. Modelling cadmium contamination in paddy soils under long-term remediation measures: Model development and stochastic simulations. Environ. Pollut. 2016, 216, 146–155. [Google Scholar] [CrossRef]
- Feng, W.; Guo, Z.; Peng, C.; Xiao, X.; Shi, L.; Han, X.; Ran, H. Modelling mass balance of cadmium in paddy soils under long term control scenarios. Environ. Sci. Process. Impacts 2018, 20, 1158–1166. [Google Scholar] [CrossRef]
- Posch, M.; de Vries, W. Dynamic modelling of metals—Time scales and target loads. Environ. Model. Softw. 2009, 24, 86–95. [Google Scholar] [CrossRef]
- Oporto, C.; Smolders, E.; Vandecasteele, C. Identifying the cause of soil cadmium contamination with Monte Carlo mass balance modelling: A case study from Potosi, Bolivia. Environ. Technol. 2012, 33, 555–561. [Google Scholar] [CrossRef]
- Hladun, K.R.; Parker, D.R.; Trumble, J.T. Cadmium, Copper, and Lead Accumulation and Bioconcentration in the Vegetative and Reproductive Organs of Raphanus sativus: Implications for Plant Performance and Pollination. J. Chem. Ecol. 2015, 41, 386–395. [Google Scholar] [CrossRef]
- Taiwan Environmental Protection Administration (EPA Taiwan). Control and Investigation Project for National Agricultural Land with High Potential of Heavy Metal Pollution (IV); EPA, R.O.C.: Taipei, Taiwan, 2017.
- Wu, Z.Z.; Wang, B.S. Investigation on the content of heavy metals in fertilizer materials. J. Agric. 2012, 82, 6–10. [Google Scholar]
- Changhua County Environmental Protection Bureau. Changhua County Air Pollution Prevention and Control Plan (104–108); Changhua County Government: Changhua County, Taiwan, 2017.
- Zhang, L.; Fang, G.C.; Liu, C.K.; Huang, Y.L.; Huang, J.H.; Huang, C.S. Dry deposition fluxes and deposition velocities of seven trace metal species at five sites in central Taiwan—A summary of surrogate surface measurements and a comparison with model estimations. Atmos. Chem. Phys. 2012, 12, 3405–3417. [Google Scholar] [CrossRef]
- Taiwan Environmental Protection Administration (EPA Taiwan). Investigation and Research on the Content of Elements in the Air in the South of Taichung. 2010. Available online: https://www.epa.gov.tw/DisplayFile.aspx?FileID=B9D3CF7D40B58057&P=75d59dfa-1fb7-4e3f-a661-e79509236c43 (accessed on 5 May 2020).
- Chen, F.W.; Liu, C.W. Estimation on consumptive characteristic of irrigation water for paddy fields using water balance theorem. J. Taiwan Agric. Eng. 2013, 59, 77–98. [Google Scholar]
- Taiwan Environmental Protection Administration (EPA Taiwan). The Investigation in Effects of the Irrigation Water and Sediment on the Heavy Metal Contaminate of Rice Land; EPA, R.O.C.: Taipei, Taiwan, 2006.
- Fan, S.Y.; Chen, J.Y.; Chang, Y.C.; Kan, C.E.; Cheng, C.C. The reasonable scale of water reuse system in irrigation area: A case study of Chitong irrigation district in Taiwan. Paddy Water Environ. 2013, 11, 35–44. [Google Scholar] [CrossRef]
- Liu, C.W.; Chen, S.K.; Jou, S.W.; Kuo, S.F. Estimation of the infiltration rate of a paddy field in Yun-Lin, Taiwan. Agric. Syst. 2001, 68, 41–54. [Google Scholar] [CrossRef]
- Allison, J.D.; Allison, T.L. Partition Coefficients for Metals in Surface Water, Soil, and Waste; U.S. Environmental Protection Agency: Washington, DC, USA, 2005.
- Council of Argricultral, Executive Yuan (R.O.C.). Rice Planting, Harvest Area and Yield in Taiwan; COA, R.O.C.: Taipei, Taiwan, 2011–2019. Available online: https://agrstat.coa.gov.tw/sdweb/public/official/OfficialInformation.aspx (accessed on 13 August 2020).
- Zhao, K.; Zhang, W.; Zhou, L.; Liu, X.; Xu, J.; Huang, P. Modeling transfer of heavy metals in soil–rice system and their risk assessment in paddy fields. Environ. Earth Sci. 2009, 59, 519–527. [Google Scholar] [CrossRef]
- Kunhikrishnan, A.; Go, W.-R.; Park, J.H.; Kim, K.-R.; Kim, H.S.; Kim, K.-H.; Kim, W.-I.; Cho, N.-J. Heavy Metal(loid) Levels in Paddy Soils and Brown Rice in Korea. Korean J. Soil Sci. Fertil. 2015, 48, 515–521. [Google Scholar] [CrossRef]
- Xiong, P.; Shi, J.; Pei, L.; Ding, S. A novel linear time-varying GM (1,N) model for forecasting haze: A case study of Beijing, China. Sustainability 2019, 11, 3832. [Google Scholar] [CrossRef]
- Rattan, R.K.; Datta, S.P.; Chhonkar, P.K.; Suribabu, K.; Singh, A.K. Long-term impact of irrigation with sewage effluents on heavy metal content in soils, crops and groundwater—A case study. Agric. Ecosyst. Environ. 2005, 109, 310–322. [Google Scholar] [CrossRef]
- Hseu, Z.Y.; Su, S.W.; Lai, H.Y.; Guo, H.Y.; Chen, T.C.; Chen, Z.S. Remediation techniques and heavy metal uptake by different rice varieties in metal-contaminated soils of Taiwan: New aspects for food safety regulation and sustainable agriculture. Soil Sci. Plant. Nutr. 2010, 56, 31–52. [Google Scholar] [CrossRef]
- Kong, X.; Liu, T.; Yu, Z.; Chen, Z.; Lei, D.; Wang, Z.; Zhang, H.; Li, Q.; Zhang, S. Heavy metal bioaccumulation in rice from a high geological background area in Guizhou Province, China. Int. J. Environ. Res. Public Health 2018, 15, 2281. [Google Scholar] [CrossRef]
- Rahimi, G.; Kolahchi, Z.; Charkhabi, A.; Ghasem, R. Uptake and translocation of some heavy metals by rice crop (Oryza sativa) in paddy soils. Agriculture 2017, 63, 163–175. [Google Scholar] [CrossRef]









| Model Parameters | Definition | Assigned Values | Units | Sources |
|---|---|---|---|---|
| t | Simulation period | 0–40 | year | Case study |
| C0,i | The background mass concentration of i type TM in the soil | Cr: 97.2 | mg/kg | Case study [10] |
| Cu: 85.9 | ||||
| Ni: 108.4 | ||||
| Zn: 215.5 | ||||
| Ct,i | The total soil TM concentration in year t (without combined sediments) | mg/kg | Case study | |
| CT,i | The total soil TM concentration in year t (combined sediments) | mg/kg | Case study | |
| z | Soil depth | 0.2 | m | Case study |
| ρ | Soil bulk density | 1300 | kg/m3 | Case study |
| ΣWF | The total average weight of different fertilization applied in each year | 0.2 | kg/m2/year | [22] |
| CF,i | Concentration of TMs in fertilizer (mean) | Cr: 14.6 | mg/kg | [22] |
| Cu: 3.4 | ||||
| Ni: 10.2 | ||||
| Zn: 56.1 | ||||
| DA | Air deposition (dust fall) | 0.033 | kg/m2/year | [23,24] |
| CA,i | Concentration of TMs in air deposition (mean) | Cr: 141 | mg/kg | [25] |
| Cu: 908 | ||||
| Ni: 262 | ||||
| Zn: 5360 | ||||
| QI | Irrigation water | 3.384 | m3/m2/year | [26] |
| CWI,i | Irrigation water quality (mean) | Cr: 38 | mg/m3 | [27] |
| Cu: 165 | ||||
| Ni: 172 | ||||
| Zn: 676 | ||||
| QR | Runoff water | 1.928 | m3/m2/year | [28] |
| QP | Precipitation | 1.851 | m3/m2/year | [28] |
| ET | Evapotranspiration | 2.931 | m3/m2/year | [28] |
| CWR,i | Runoff water quality | Cr: 38 | mg/m3 | Case study |
| Cu: 165 | ||||
| Ni: 172 | ||||
| Zn: 676 | ||||
| QL | Percolation water | 0.376 | m3/m2/year | [29] |
| v | Percolation rate | 0.376 | m/year | [29] |
| θ | Moisture content of soil | 0.27 | m3/m3 | Case study |
| CS,i | Sediment TM concentration (mean) | Cr: 756.8 | mg/kg | [27] |
| Cu: 757.0 | ||||
| Ni: 594.8 | ||||
| Zn: 1802.8 | ||||
| Kd,i | Partition coefficients | Cr: 7.9 | kg/m3 | [30] |
| Cu: 0.5 | ||||
| Ni: 1.3 | ||||
| Zn: 1.3 | ||||
| Yi | Uptake with the yield of the plant | mg/m2/year | Case study | |
| Yg | Yield of rice grain | 1.1 | kg/m2/year | [31] |
| BCFi | Bioconcentration factor: TM concentration ratio in the harvested plant part (based on dry matter) to soil. | Cr: 0.017 | unitless | [32] [2] [33] |
| Cu: 0.399 | ||||
| Ni: 0.033 | ||||
| Zn: 0.473 | ||||
| b | Sediment ratio, the ratio of sediment alluvial weight to the total weight of soil in the unit square meter per year | 0.005–0.02 | unitless | Case study |
| (0.0141) | ||||
| Ii | The input sources of TMs | mg/m2/year | Case study | |
| II,i | The input sources of TMs by irrigation water | mg/m2/year | Case study | |
| IF,i | The input sources of TMs by fertilizers | mg/m2/year | Case study | |
| IA,i | The input sources of TMs by air deposition | mg/m2/year | Case study | |
| IS,i | The input sources of TMs by sedimentation | mg/m2/year | Case study | |
| Ui | Plant uptake (rice) is the amount of TMs removed from the soil by plants | mg/m2/year | Case study | |
| Li | TM output pathway from soil by leaching | mg/m2/year | Case study | |
| Ri | TM output pathway from soil by runoff | mg/m2/year | Case study |
| Item | Cr | Cu | Ni | Zn | Remarks |
|---|---|---|---|---|---|
| C0,i | 97.2 | 85.9 | 108.4 | 215.5 | Background concentration of each TM in the topsoil [10] |
| CT,i | 391.7 | 392.6 | 352.9 | 1000.4 | Prediction for the target year of each TM concentration |
| Cm,i | 409.9 (119) | 463.5 (119) | 348.1 (119) | 1023.8 (119) | Measured TM mean concentrations in the contaminated soil of two different areas [21]. (Numbers in brackets are expressed as sample size) |
| 390.3 (174) | 430.3 (174) | 295.8 (174) | 1056.2 (174) | ||
| Calibration | 4% | 15% | 1% | 2% | Model evaluation criterion, MAPE: |
| Verification | 0% | 9% | 19% | 5% | <10% high prediction |
| 10~20% good prediction | |||||
| 20~50% reasonable prediction | |||||
| >50% inaccurate prediction |
| Item | As | Cd | Cr | Cu | Hg | Ni | Pb | Zn | |
|---|---|---|---|---|---|---|---|---|---|
| mg/kg | |||||||||
| Normal land | Control standard a | 60 | 20 | 250 | 400 | 20 | 200 | 2000 | 2000 |
| Monitoring standard b | 30 | 10 | 175 | 220 | 10 | 130 | 1000 | 1000 | |
| Farmland | Control standard a | 60 | 5 | 250 | 200 | 5 | 200 | 500 | 600 |
| Monitoring standard b | 30 | 2.5 | 175 | 120 | 2 | 130 | 300 | 260 | |
| Item | Cd | Cr | Cu | Hg | Ni | Pb | Zn |
|---|---|---|---|---|---|---|---|
| mg/L | |||||||
| Mean | 0.003 | 0.038 | 0.165 | 0.000 | 0.172 | 0.053 | 0.676 |
| SD | 0.002 | 0.032 | 0.215 | 0.000 | 0.099 | 0.081 | 1.259 |
| Maximum | 0.005 | 0.102 | 0.653 | 0.000 | 0.324 | 0.147 | 3.780 |
| Minimum | 0.000 | 0.004 | 0.016 | 0.000 | 0.048 | 0.000 | 0.094 |
| Standard a | 0.01 | 0.1 | 0.2 | 0.002 | 0.2 | 0.1 | 2 |
Publisher’s Note: MDPI stays neutral with regard to jurisdictional claims in published maps and institutional affiliations. |
© 2020 by the authors. Licensee MDPI, Basel, Switzerland. This article is an open access article distributed under the terms and conditions of the Creative Commons Attribution (CC BY) license (http://creativecommons.org/licenses/by/4.0/).
Share and Cite
Yang, H.-Y.; Chen, S.-K.; Wang, J.-S.; Lu, C.-J.; Lai, H.-Y. Farmland Trace Metal Contamination and Management Model—Model Development and a Case Study in Central Taiwan. Sustainability 2020, 12, 10066. https://doi.org/10.3390/su122310066
Yang H-Y, Chen S-K, Wang J-S, Lu C-J, Lai H-Y. Farmland Trace Metal Contamination and Management Model—Model Development and a Case Study in Central Taiwan. Sustainability. 2020; 12(23):10066. https://doi.org/10.3390/su122310066
Chicago/Turabian StyleYang, Hsin-Yi, Sheng-Kung Chen, Jiun-Shiuan Wang, Chih-Jen Lu, and Hung-Yu Lai. 2020. "Farmland Trace Metal Contamination and Management Model—Model Development and a Case Study in Central Taiwan" Sustainability 12, no. 23: 10066. https://doi.org/10.3390/su122310066
APA StyleYang, H.-Y., Chen, S.-K., Wang, J.-S., Lu, C.-J., & Lai, H.-Y. (2020). Farmland Trace Metal Contamination and Management Model—Model Development and a Case Study in Central Taiwan. Sustainability, 12(23), 10066. https://doi.org/10.3390/su122310066

