Variability of the Motor Behavior during Continued Practice of the Same Motor Game: A Preliminary Study
Abstract
1. Introduction
2. Materials and Methods
2.1. Participants
2.2. Procedure
2.3. Data Collection
2.4. Physical Dimension Assessment
2.5. Behavioral Dimension Assessment
2.6. Statistical Analysis
3. Results
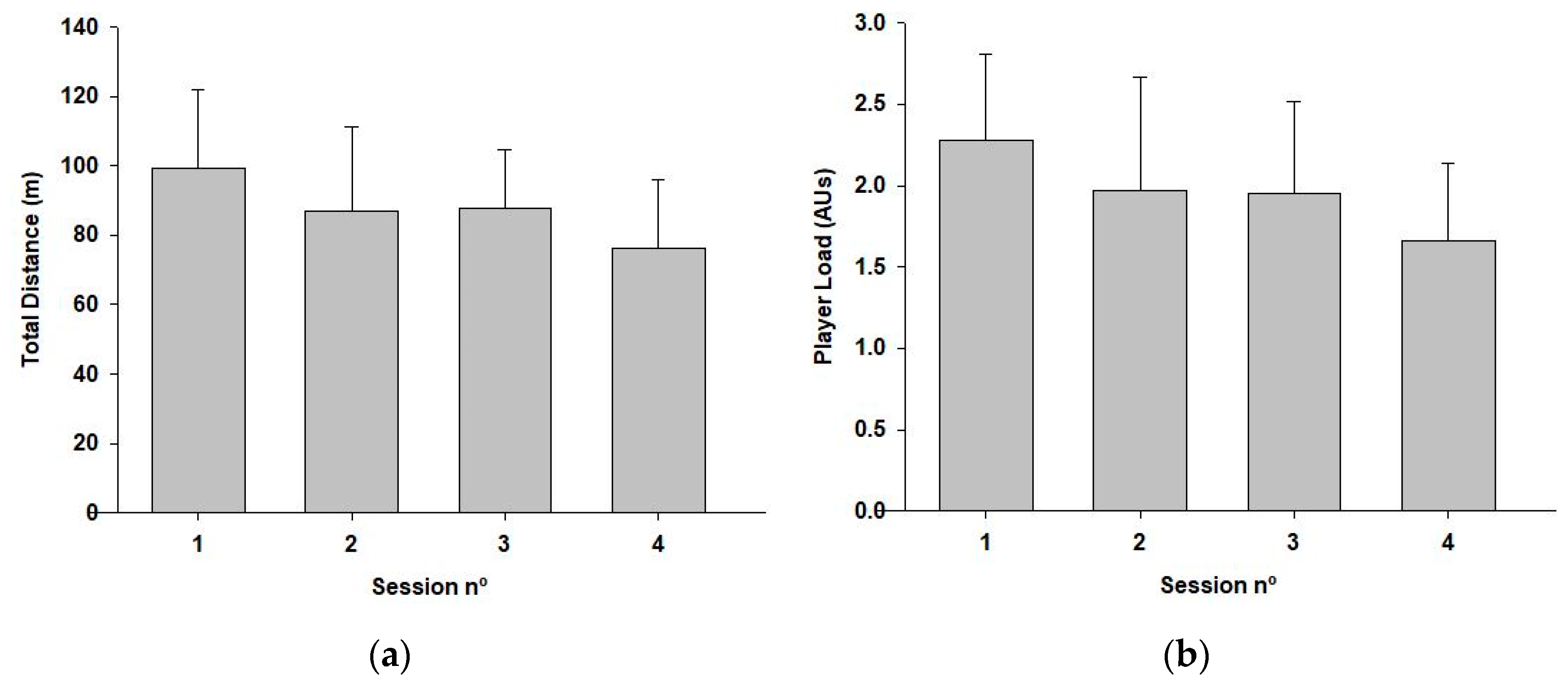
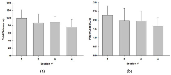
3.1. Physical Response
3.2. Behavioral Response
4. Discussion
5. Conclusions
Author Contributions
Funding
Acknowledgments
Conflicts of Interest
References
- Bunker, D.; Thorpe, R. A model for the teaching of games in secondary schools. Bull. Phys. Educ. 1982, 18, 5–8. [Google Scholar]
- Thorpe, R.; Bunker, D. A changing focus in games teaching. In The Place of Physical Education in Schools; Almond, L., Ed.; Kogan Page: London, UK, 1989; pp. 42–71. [Google Scholar]
- Launder, A.G. Play Practice: The Games Approach to Teaching and Coaching Sports; Human Kinetics: Champaign, IL, USA, 2001. [Google Scholar]
- Light, R. Coaches’ experiences of Game Sense: Opportunities and challenges. Phys. Educ. Sport Pedagog. 2004, 9, 115–131. [Google Scholar] [CrossRef]
- Light, R. Game Sense: Pedagogy for Performance, Participation and Enjoyment; Routledge: New York, NY, USA, 2012; ISBN 9780203114643. [Google Scholar]
- Gréhaigne, J.F.; Wallian, N.; Godbout, P. Tactical-decision learning model and students’ practices. Phys. Educ. Sport Pedagog. 2005, 10, 255–269. [Google Scholar] [CrossRef]
- Mitchell, S.A.; Oslin, J.L.; Griffin, L.L. Teaching Sports Concepts and Skills: A Tactical Games Approach; Human Kinetics: Champaign, IL, USA, 2006. [Google Scholar]
- Memmert, D.; Roth, K. The effects of non-specific and specific concepts on tactical creativity in team ball sports. J. Sports Sci. 2007, 25, 1423–1432. [Google Scholar] [CrossRef] [PubMed]
- Tallir, I.B.; Lenoir, M.; Valcke, M.; Musch, E. Do alternative instructional approaches result in different game performance learning outcomes? Authentic assessment in varying game conditions. Int. J. Sport Psychol. 2007, 38, 263–282. [Google Scholar]
- Mcneill, M.C.; Fry, J.M.; Wright, S.C.; Tan, C.W.K.; Rossi, T. Structuring time and questioning to achieve tactical awareness in games lessons. Phys. Educ. Sport Pedagog. 2008, 13, 231–249. [Google Scholar] [CrossRef]
- Forrest, G. Systematic assessment of game-centred approach practices—The game-centred approach Assessment Scaffold. Phys. Educ. Sport Pedagog. 2015, 20, 144–158. [Google Scholar] [CrossRef]
- Parlebas, P. Elementary Mathematical Modelization of Games and Sports. In The Explanatory Power of Models; Franck, R., Ed.; Springer: Dordrecht, The Netherlands, 2002; Volume 1, pp. 197–227. [Google Scholar]
- Newell, K.M. Constraints on the development of coordination. In Motor Development in Children. Aspects of Coordination and Control; Wade, M.G., Whiting, H.T.A., Eds.; Martinus Nijhoff: Dordrecht, The Netherlands, 1986; pp. 341–360. [Google Scholar]
- Lavega, P.; Alonso, J.I.; Etxebeste, J.; Lagardera, F.; March, J. Relationship between traditional games and the intensity of emotions experienced by participants. Res. Q. Exerc. Sport 2014, 85, 457–467. [Google Scholar] [CrossRef]
- Muñoz-Arroyave, V.; Lavega-Burgués, P.; Costes, A.; Damian, S.; Serna, J. Traditional games: A pedagogical tool to foster affectivity in physical education. Retos 2020, 38, 172. [Google Scholar]
- Parlebas, P. The Universals of Games and Sports. Front. Psychol. 2020, 11, 2583. [Google Scholar] [CrossRef]
- Belka, D.E. Strategies for Teaching Tag Games. J. Phys. Educ. Recreat. Danc. 1998, 69, 40–43. [Google Scholar] [CrossRef]
- Coledam, D.H.C.; Paludo, A.C.; de Oliveira, A.R.; Dos-Santos, J.W. Dynamic exercise versus tag game warm up: The acute effect on agility and vertical jump in children. J. Hum. Sport Exerc. 2012, 7, 243–253. [Google Scholar] [CrossRef]
- Parlebas, P. Motor Praxeology: A New Scientific Paradigm. In Playing Fields: Power, Practice, and Passion in Sport; Vaczi, M., Ed.; Center for Basque Studies: Reno, NV, USA, 2013; pp. 127–144. [Google Scholar]
- Belka, D.E. What Do Tag Games Teach? Teach. Elem. Phys. Educ. 2006, 17, 35–36. [Google Scholar]
- Yanci, J.; Reina, R.; Los Arcos, A.; Cámara, J. Effects of different contextual interference training programs on straight sprinting and agility performance of primary school students. J. Sport. Sci. Med. 2013, 12, 601–607. [Google Scholar]
- McGowan, C.J.; Pyne, D.B.; Thompson, K.G.; Rattray, B. Warm-Up Strategies for Sport and Exercise: Mechanisms and Applications. Sport Med. 2015, 45, 1523–1546. [Google Scholar] [CrossRef]
- Breslin, G.; Hodges, N.J.; Steenson, A.; Williams, A.M. Constant or variable practice: Recreating the especial skill effect. Acta Psychol. 2012, 140, 154–157. [Google Scholar] [CrossRef]
- Martínez-Santos, R.; Founaud, M.P.; Aracama, A.; Oiarbide, A. Sports Teaching, Traditional Games, and Understanding in Physical Education: A Tale of Two Stories. Front. Psychol. 2020, 11, 581721. [Google Scholar] [CrossRef]
- Los Arcos, A.; Martinez-Santos, R.; Yanci, J.; Martin, J.; Castagna, C. Variability of objective and subjective intensities during ball drills in youth soccer players. J. Strength Cond. Res. 2014, 28, 752–757. [Google Scholar] [CrossRef]
- Bourdon, P.C.; Cardinale, M.; Murray, A.; Gastin, P.; Kellmann, M.; Varley, M.C.; Gabbett, T.J.; Coutts, A.J.; Burgess, D.J.; Gregson, W.; et al. Monitoring Athlete Training Loads: Consensus Statement. Int. J. Sports Physiol. Perform. 2017, 12, 161–170. [Google Scholar] [CrossRef]
- Reche-Soto, P.; Cardona-Nieto, D.; Diaz-Suarez, A.; Bastida-Castillo, A.; Gómez-Carmona, C.D.; Garcia-Rubio, J.; Pino-Ortega, J. Player Load and Metabolic Power Dynamics as Load Quantifiers in Soccer. J. Hum. Kinet. 2019, 69, 259–269. [Google Scholar] [CrossRef]
- Bizzini, M.; Junge, A.; Dvorak, J. Implementation of the FIFA 11+ football warm up program: How to approach and convince the Football associations to invest in prevention. Br. J. Sports Med. 2013, 47, 803–806. [Google Scholar] [CrossRef] [PubMed]
- Bastida-Castillo, A.; Gómez-Carmona, C.D.; De La Cruz Sánchez, E.; Pino-Ortega, J. Comparing accuracy between global positioning systems and ultra-wideband-based position tracking systems used for tactical analyses in soccer. Eur. J. Sport Sci. 2019, 19, 1157–1165. [Google Scholar] [CrossRef] [PubMed]
- Alarifi, A.; Al-Salman, A.; Alsaleh, M.; Alnafessah, A.; Al-Hadhrami, S.; Al-Ammar, M.A.; Al-Khalifa, H.S. Ultra Wideband Indoor Positioning Technologies: Analysis and Recent Advances. Sensors 2016, 16, 707. [Google Scholar] [CrossRef] [PubMed]
- Rico-González, M.; Los Arcos, A.; Clemente, F.M.; Rojas-Valverde, D.; Pino-Ortega, J. Accuracy and Reliability of Local Positioning Systems for Measuring Sport Movement Patterns in Stadium-Scale: A Systematic Review. Appl. Sci. 2020, 10, 5994. [Google Scholar] [CrossRef]
- Rico-González, M.; Los Arcos, A.; Nakamura, F.Y.; Gantois, P.; Pino-Ortega, J. A comparison between UWB and GPS devices in the measurement of external load and collective tactical behaviour variables during a professional official match. Int. J. Perform. Anal. Sport 2020, 20, 994–1002. [Google Scholar] [CrossRef]
- Rico-González, M.; Los Arcos, A.; Rojas-Valverde, D.; Clemente, F.M.; Pino-Ortega, J. A Survey to Assess the Quality of the Data Obtained by Radio-Frequency Technologies and Microelectromechanical Systems to Measure External Workload and Collective Behavior Variables in Team Sports. Sensors 2020, 20, 2271. [Google Scholar] [CrossRef]
- Boyd, L.J.; Ball, K.; Aughey, R.J. The Reliability of MinimaxX Accelerometers for Measuring Physical Activity in Australian Football. Int. J. Sports Physiol. Perform. 2011, 6, 311–321. [Google Scholar] [CrossRef]
- Frencken, W.G.P.; Lemmink, K.A.P.M.; Delleman, N.; Visscher, C. Oscillations of centroid position and surface area of soccer teams in small-sided games. Eur. J. Sport Sci. 2011, 11, 215–223. [Google Scholar] [CrossRef]
- Sampaio, J.; Maçãs, V. Measuring Tactical Behaviour in Football. Int. J. Sports Med. 2012, 33, 395–401. [Google Scholar] [CrossRef]
- Cohen, J. Statistical Power Analysis for the Behavioral Sciences, 2nd ed.; Lawrence Erlbaum Associates: Hillsdale, NJ, USA, 1988. [Google Scholar]
- Romaratezabala, E.; Nakamura, F.Y.; Castillo, D.; Gorostegi-Anduaga, I.; Yanci, J. Influence of warm-up duration on physical performance and psychological perceptions in handball players. Res. Sport Med. 2018, 26, 230–243. [Google Scholar] [CrossRef]
- Yanci, J.; Iturri, J.; Castillo, D.; Pardeiro, M.; Nakamura, F.Y. Influence of warm-up duration on perceived exertion and subsequent physical performance of soccer players. Biol. Sport 2019, 36, 125–131. [Google Scholar] [CrossRef] [PubMed]
- Chow, J.Y.; Davids, K.; Button, C.; Shuttleworth, R.; Renshaw, I.; Araújo, D. The Role of Nonlinear Pedagogy in Physical Education. Rev. Educ. Res. 2007, 77, 251–278. [Google Scholar] [CrossRef]
- Chow, J.Y. Nonlinear Learning Underpinning Pedagogy: Evidence, Challenges, and Implications. Quest 2013, 65, 469–484. [Google Scholar] [CrossRef]
- Tan, C.W.K.; Chow, J.Y.; Davids, K. “How does TGfU work?”: Examining the relationship between learning design in TGfU and a nonlinear pedagogy. Phys. Educ. Sport Pedagog. 2012, 17, 331–348. [Google Scholar] [CrossRef]
- Russell, D.M.; Newell, K.M. On No-KR tests in motor learning, retention and transfer. Hum. Mov. Sci. 2007, 26, 155–173. [Google Scholar] [CrossRef]
- Schmidt, R.A.; Lee, T.D. Motor Control and Learning: A Behavioral Emphasis, 5th ed.; Human Kinetics: Champaign, IL, USA, 2005. [Google Scholar]


Publisher’s Note: MDPI stays neutral with regard to jurisdictional claims in published maps and institutional affiliations. |
© 2020 by the authors. Licensee MDPI, Basel, Switzerland. This article is an open access article distributed under the terms and conditions of the Creative Commons Attribution (CC BY) license (http://creativecommons.org/licenses/by/4.0/).
Share and Cite
Gonzalez-Artetxe, A.; Pino-Ortega, J.; Rico-González, M.; Los Arcos, A. Variability of the Motor Behavior during Continued Practice of the Same Motor Game: A Preliminary Study. Sustainability 2020, 12, 9731. https://doi.org/10.3390/su12229731
Gonzalez-Artetxe A, Pino-Ortega J, Rico-González M, Los Arcos A. Variability of the Motor Behavior during Continued Practice of the Same Motor Game: A Preliminary Study. Sustainability. 2020; 12(22):9731. https://doi.org/10.3390/su12229731
Chicago/Turabian StyleGonzalez-Artetxe, Asier, José Pino-Ortega, Markel Rico-González, and Asier Los Arcos. 2020. "Variability of the Motor Behavior during Continued Practice of the Same Motor Game: A Preliminary Study" Sustainability 12, no. 22: 9731. https://doi.org/10.3390/su12229731
APA StyleGonzalez-Artetxe, A., Pino-Ortega, J., Rico-González, M., & Los Arcos, A. (2020). Variability of the Motor Behavior during Continued Practice of the Same Motor Game: A Preliminary Study. Sustainability, 12(22), 9731. https://doi.org/10.3390/su12229731

