Next Article in Journal
A Positive Impact Rating for Business Schools: Case Study
Previous Article in Journal
Organisational Strategies for Implementing Education for Sustainable Development in the UK Primary Schools: A Service Innovation Perspective
 
 
Font Type:
Arial Georgia Verdana
Font Size:
Aa Aa Aa
Line Spacing:
Column Width:
Background:
Article

Food Security Challenges in Rapidly Urbanizing Developing Countries: Insight from Indonesia

1
Department of Agricultural Economics and Management, Northeast Forestry University, Harbin 150040, Heilongjiang, China
2
Center for Regional Systems Analysis, Planning and Development (CRESTPENT/P4W), IPB University, Bogor 16144, Indonesia
3
Research Center for Plant Conservation and Botanic Gardens, Indonesian Institute of Sciences, Bogor 16003, Indonesia
*
Author to whom correspondence should be addressed.
Sustainability 2020, 12(22), 9550; https://doi.org/10.3390/su12229550
Submission received: 14 September 2020 / Revised: 2 October 2020 / Accepted: 18 October 2020 / Published: 17 November 2020

Abstract

Urbanization has become a global phenomenon that affects the food system. Some studies revealed that urbanization increases income/capita, thus transforming food consumption from cereals to animal products, vegetables, and fruits. Urbanization, particularly in developing countries, not only produces economic benefits but also various issues that might lessen peoples’ capacity to afford food. This study aims to analyze the impact of urbanization on food consumption, food composition, as well as farming performance. Series of consumption data since 1976 and statistical descriptive approaches were employed. The results showed a trend of declining the share of food expenditures, especially in urban areas, which is commonly regarded as a sign of increasing prosperity. Surprisingly, food composition remained stable, dominated by rice, due to lower-income and higher non-food expenditures of urban inhabitants mainly for housing, transportation, water and energy. The stagnancy of food composition provides less incentive for farmers; thus, farming is dominated by low-revenue paddy fields, uneducated laborers, and older farmers. Based on these findings, some recommendations can be suggested: (1) incorporating food composition and farming performance into food security policies, instead of merely focusing on the compliance of food supply and demand, (2) linking food issues with non-food issues, especially with urban planning, housing development, and transportation management to increase the income capacity of the society to purchase a greater variety of food, and (3) developing food diversification served by urban food vendors to support the benefits of the farming business.

1. Introduction

The relationship between urbanization and the food system has become an important issue as a global society is becoming more urban, and this change alters the food supply and demand [1,2,3,4]. Numerous studies have stated that urbanization has pushed economic growth and income per capita, thus enhancing people’s capacity to access food [5,6,7]. As a result, the quality of consumption is improving as people have more money to buy a greater variety of food [5,8,9,10]. Meanwhile, people’s consumption of processed and preserved food tends to increase in parallel with increasing eating-out behavior [2,6].
Growing urban populations might stimulate an increased demand for food, which is beneficial for farmers [2]. The change in urban diets has provided opportunities for farmers to diversify and develop their products [1,11]. Furthermore, increasing rural-to-urban migration is believed to increase rural income [1,12] and farming efficiency as the ratio of farmers to farmland is declining [13].
However, it should be of concern that vast urbanization has converted large tracts of primarily agricultural land [14,15,16], reduced water availability for farming [17,18], and increased the cost of food transportation as the distance between production land and urban market increases [2,11,19]. More people rely on the market for food sources; thus, their capacity to afford food is greatly affected by income spent on non-food expenditures [1]. Furthermore, increasing rural-to-urban migration has left rural areas and agriculture with less human resources, [12] as well as increased poverty and informal sectors in urban regions [20,21]. The situation becomes worse as more farmers lose their land ownership due to increasing land purchases in rural areas, mainly for property investment [22,23].
The relationship between urbanization, food, and farming is not a simple matter. This complexity leads to debates that are difficult to resolve due to the lack of data and empirical research. A study in China and India, as two populous nations with emerging economies, revealed that urbanization, which underpins economic growth, has caused a decline in the share of food expenditures and a shift in food composition from food grain to animal products, vegetables, and fruits [5]. However, in most developing countries, the shift of food composition is complicated as cities have a more diverse food system where formal and informal as well as modern and traditional food markets coexist [24].
As a part of the food system [25], food security is the capacity of a region/nation to enhance its food availability, accessibility, utility and stability [26]. It is believed that urbanization will support food accessibility and utility by increasing income per capita. However, this is still questionable as urbanization also creates negative effects that might reduce the capacity of urbanities to purchase food [1,4,27]. Particularly, poor people living in urban areas are usually alienated from urban government policy supports [1,28], while their number is increasing in developing countries due to excessive rural-to-urban migration [29,30]. Even in India, increasing urbanization and poverty occurred concurrently, leading to the emerging issue of urban food insecurity [28,31]. Therefore, the increasing rate of urban poverty, urban informality, and other urban issues cannot be neglected as factors that influence the overall food consumption. Furthermore, problems also threaten food availability and stability, as farming is increasingly under pressure from the expanding urban effects on the agricultural landscape and social–economic life [32,33]. Therefore, further research must be conducted in various urbanization settings, especially in the rapidly urbanizing developing countries [24]. This is important to broaden our perspective about the link between urbanization, food security, and farming performance.
Indonesia, as a country with a large population like China and India, has undergone accelerated urbanization and economic growth, but these processes have also led to negative impacts such as income disparity, urban poverty, urban informality, gated communities, urban sprawl, losses of natural and agricultural land, among others [34,35]. These issues are quite common in urban areas in developing countries [36]; therefore, Indonesia could become a good reference for finding strategies to enhance food security in the urbanizing world, which is now dominated by rapid urbanization in Asia and Africa that exhibit similar characteristics.
It has been predicted that, globally, the urban population will reach 72.8% by 2050 [37]. Indonesia, which ranks the fourth-largest population worldwide, is following the global trend where 54.7% of the population lived in urban areas in 2017 [37]. However, the benefits of urbanization have not reached an optimal return, as it is driven by expanding metropolitan regions (i.e., large urban areas that cover cities, suburban areas, and sometimes rural areas) where tremendous economic growth is eroded by various issues including inadequate infrastructure, poor market access, institutional inefficiencies, inefficient spatial structure, the predominance of low value-added economic activities, and an unsupportive business climate [30]. As a result, urban inequality is increasing, showing that the economic benefits of urbanization are not evenly gained by all inhabitants [38].
This paper has the objective to analyze food security challenges under rapid urbanization in Indonesia which could be similar in most developing countries. Particularly, we focus on food accessibility, that including affordability, allocation, and preferences, and food availability which includes production, distribution, and exchange [25]. This paper aims to (1) identify the changes in food and non-food expenditures during urbanization, (2) describe the changes in food and non-food composition consumed by rural and urban inhabitants, and (3) define the effect of food composition dynamics on farming performance.

2. Data and Method

This study was based on descriptive statistic approaches that were used to analyze the time-series data of household consumption expenditures obtained from Susenas (i.e., the National Social Economic Survey). The data have been regularly surveyed by Indonesia’s National Statistics Office (Badan Pusat Statistik, BPS) since 1963. Using food expenditures data as a representation of food consumption is commonly done, such as in the study of Humphries et al. [39] and Colozza and Avendano [24], especially when the aim is to observe a trend over time.
The first Susenas involved 16,000 household samples [40], and the survey has grown to include 300,000 households. Susenas data were collected based on two groups of consumption, i.e., food and non-food groups. The food group has 14 commodity groups, i.e., cereals, tubers, fish/shrimp/common squid/shells, meat, eggs and milk, vegetables, legumes, fruits, oil and coconut, beverages, spices, miscellaneous food items, prepared food and beverages, and cigarettes. The non-food group has eight commodity groups, i.e., housing and household facilities, goods and services, education cost, health cost, clothing, footwear and headgear, durable goods, taxes and insurance, and parties and ceremonies. In total, there are more than 350 items within all groups. Some items were corrected to adjust to the consumption patterns of society over time. Data on food consumption were based on the household food expenses for one week, while data on non-food consumption were based on the household non-food expenses for one month or year depending on the durability of the goods. Then, the data were used to calculate the value of expenditures per household per month. In this study, the value was then divided by the number of household members to produce the expenditure value per capita per month.
This paper used the Susenas data from as early as 1976, as urbanization in Indonesia has experienced a significant rate increase since the early 1970s [41]. The sample frame was designed to obtain estimates at the national and regional levels, classified by urban and rural regions. The sample location was defined as the probability proportional to size. Susenas was usually integrated with other surveys. For instance, the Indonesian population census, which is performed every decade, was used to form the sampling frame of Susenas. Susenas has repeatedly undergone several amendments, but no major changes have occurred thus far; therefore, the data are largely comparable among years. As a complement for expenditure data, we used the data of income groups again from Susenas, to define the different food expenditures between groups. These data have been highly accepted for research, planning, and policymaking in Indonesia. Many empirical studies have used Susenas data, such as research on the elasticity of demand for staple food groups, mainly rice [42], non-food group consumption [43], food demand elasticity for 11 food commodities [44], food demand commodities of urban areas by income groups [45], impacts of the economic crises on household welfare [46], income inequality [38,47,48,49,50], spatial econometrics model in understanding food expenditure [51], as well as policy evaluation studies [52,53].
Furthermore, the Agricultural Census Data established by BPS were employed. The data were collected every 10 years. The last census was performed in 2013. Some comparisons with the Agricultural Census Data 2003 were conducted to define the dynamics of farming as a response to food consumption changes under rapid and vast urbanization in Indonesia.

3. Results and Discussion

3.1. Changes in Food and Non-Food Expenditures with Urbanization

Urbanization has a strong correlation with an increase in the gross domestic product (GDP) per capita [54,55], and this is also found in Indonesia (Figure 1). Here, urbanization refers to the number of populations who live in urban regions defined by BPS based on criteria of high population density, non-agriculture economic-based, and urban-standard facilities. However, there was a significant disturbance between 1996 and 1998 that reversed the growth of GDP per capita as the economic crisis hit Southeast Asia, including Indonesia. Before the crisis, the growth of GDP per capita was followed by a high rate of urbanization. From 1976 to 1996, the annual rate of GDP per capita growth (i.e., constant price in 2010) was 4.45%, while the annual rate of urban population growth was 5.15%. After the crisis, the annual rate of GDP per capita growth was lower (3.90%), but the annual rate of urban population growth dropped considerably to 2.95% (Figure 2).
Urban population growth that was lower than the increasing rate of GDP per capita typically indicates increasing urban productivity. However, it should be noted that the declining rate of urbanization occurred when urban inhabitants accounted for more than 40% of the national population; thus, this result likely indicates that the capacity of urban areas to accommodate larger populations has declined. Recently, urban development in Indonesia has faced various socio-ecological issues (i.e., poverty, informality, lack of infrastructure, inequality of income and land property, etc.); thus, immigrants find it difficult to achieve a decent quality of life.
The percentage of the monthly average expenditures per capita for food and non-food consumption from 1976 to 2017 are presented in Figure 3A for the national level, Figure 3B for the rural level, and Figure 3C for the urban level. Figure 3A shows that the percentage of food consumption per capita continuously declined, while the percentage of non-food consumption per capita continuously increased until both converged in 2007, with only slight differences afterwards. Figure 3B shows that the declining food consumption per capita and the increasing non-food consumption per capita are not convergent, and both lines even diverged at the time of crisis between 1996 and 1998. Figure 3C shows that the declining food consumption per capita and the increasing non-food consumption per capita converged in 1993 but experienced an anomaly where, once again, the food consumption per capita became higher than the non-food consumption per capita at the time of crisis between 1996 and 1999. Afterwards, the previous trend returned, where the non-food consumption per capita was consistently higher than the food consumption per capita. As is shown in Figure 3B,C, the economic crisis had a great impact on consumption patterns. Studdert et al. [57] reported that, by May 1998, food prices had risen 74% higher than the previous year’s price.
By adding a linear trend line in each curve of the graph, the slope of every trend could be captured. At the national level, the absolute value of the slope including the food and non-food curves was higher (0.868) than the rural (0.7302) and urban (0.6164) values. Although the national slope is quite high, surprisingly, the share of food expenditures was still dominant until 2007, or more than three decades of urbanization. This result is likely because of (1) the lower slope of the rural trend and (2) the discontinuity of the urban trend due to the economic crisis.
According to Engle’s law, economic growth can encourage people to increase their prosperity, indicated by rising the consumption of goods and services other than food [10]. This study shows that declining food and increasing non-food expenditures occurred in both rural and urban areas. Seemingly, this is following Engel’s law. Nevertheless, it should be noted that it is not a single indicator of increasing prosperity. Assessing the composition of food and non-food items will explain whether the declining share of food expenditures represents an increase in life prosperity, or contrarily, a decline in food affordability.

3.2. Changes in the Composition of Food and Non-Food Consumption in Urban and Rural Areas

3.2.1. The Composition of Food Consumption

The changes in the percentage of consumption per capita of different food items are shown in Figure 4A for the national level, Figure 4B for the rural areas, and Figure 4C for the urban areas from 1976 to 2017. At the national level, cereal consumption declined, compensated by increasing the consumption of prepared food and beverages (see Figure 4A). The consumption of cigarettes had increased from 7.32% in 1976 to 12.42% in 2017. Although cigarettes are usually not considered as food, their consumption in Indonesia is quite high [58] and suppress food affordability. By excluding cigarettes, Figure 5A shows that the share of cereals and prepared food and beverages to reach nearly 50% of total expenditures. This value was relatively stable, particularly from 2007 to 2016, and reached more than 50% in 2017. The consumption of other food increased slightly or remained stable, except eggs and milk, which noticeably increased from 2.62% in 1976 to 6.35% in 2017. As noted, from 1976 to 1987, oil and coconut, beverages (i.e., coffee, tea, syrup, sugar), and spices were grouped as miscellaneous food items, but they were shown separately from 1990 to 2017.
In rural areas, cereal consumption also declined but not as sharply as the decline at the national level (Figure 4B). The consumption of prepared food and beverages increased and became higher than that of cereals. Both of these food items had shares of approximately 40% over time. Again, the consumption of cigarettes was doubled from 6.99% in 1976 to 14.72% in 2017, while other items remained stable. Only eggs and milk noticeably increased. By excluding cigarettes, Figure 5B shows that cereals and prepared food and beverages reached 40–50% of the total food consumption and fluctuated little from 1976 to 2017.
In urban areas, cereal consumption was continuously lower than that in rural areas (Figure 4C). The consumption of prepared food and beverages constantly increased. The consumption of cigarettes had also increased, although this was not as high as the consumption at national or rural areas. The consumption of cereals and prepared food and beverages were relatively high, at approximately 40% to 50% when cigarettes were excluded (Figure 5C).
The decreasing trend in the consumption of cereals and, conversely, the increasing trend in the purchase of ready to eat food and beverages occurred at the national level, including rural and urban areas, with the highest intensity found in the urban society. This finding indicated an increase in eating-out behavior, along with urbanization [6]. Anggraini et al. [59] even found that in the urban poor population in Indonesia, there are street food vendors, small shops (warung) and small cafes (warung makan) providing various prepared food and beverages.
When comparing consumption in rural and urban areas, the consumption of vegetables was higher in rural areas, while urban inhabitants consumed more eggs, milk, and meat than did rural dwellers. Rural inhabitants appear to have more access to food from cultivated crops, while urban inhabitants have more access to livestock products that are available in the market. It is uncommon for rural farmers to consume their livestock products which have higher prices in the market.
It could be highlighted, that the change in food composition from 1976 to 2017 was mainly described by a shift from cereals to prepared food and beverages, followed by an increase in cigarettes, a small increase in eggs and milk, and a slight increase or stable consumption in other food items. Interestingly, Susenas data further show that more than 50% of the food ingredients of prepared food and beverages were still dominated by cereals, mainly rice and noodles.
Prepared food dominated with rice consisting of nasi rames (i.e., a plate of rice accompanied by a mixture of dishes); nasi goreng (fried rice); soto/gule/sop/rawon/cincang (i.e., various soups with rice); gado-gado/ketoprak/pecel (i.e., salad with peanut sauce eaten with rice); and lontong/ketupat sayur (i.e., rice steamed in banana or coconut leaves). Prepared food dominated by noodles include mie bakso (meat ball noodles), mie rebus (steamed noodles), and mie goreng (fried noodles). These data showed that the consumption of cereals was consistently high. The only difference is that in the past, households bought cereals mainly for cooking, but currently, they buy prepared food dominated by cereals.
Urbanization not only affected the number of foods consumed but also affected the composition of diets [60,61,62]. Diets were influenced by changes in income and exposure to urban lifestyles. Food grain consumption tends to decrease, while other foods, including animal products and fruits, tend to increase [5,63,64]. Surprisingly, Indonesia, as a highly urbanized country, exhibits a different pattern, as the declining share of food expenditures was not followed by changes in food composition. The consumption of meat and dairy products as well as fruit and vegetables were relatively stable or increased slightly, whereas the consumption of cereals was constantly high. This confirms findings by Colozza and Avendano [24] that urbanization did not change the composition of diets of Indonesian people as they predominantly consumed traditional cuisine, which is high in cereals and plant products. However, instead of mentioning culture as the only factor that drives the consumption pattern, this study attempts to analyze this phenomenon from the perspective of the changes in total expenditures and income capacity along with urbanization.

3.2.2. The Composition of Non-Food Consumption

Most studies of changes in food consumption with urbanization mainly focused on the composition of food expenditures but neglected the effect of non-food expenditures. As all of the goods and services must be purchased in urban settings, the composition of non-food consumption is certainly crucial and affects food consumption.
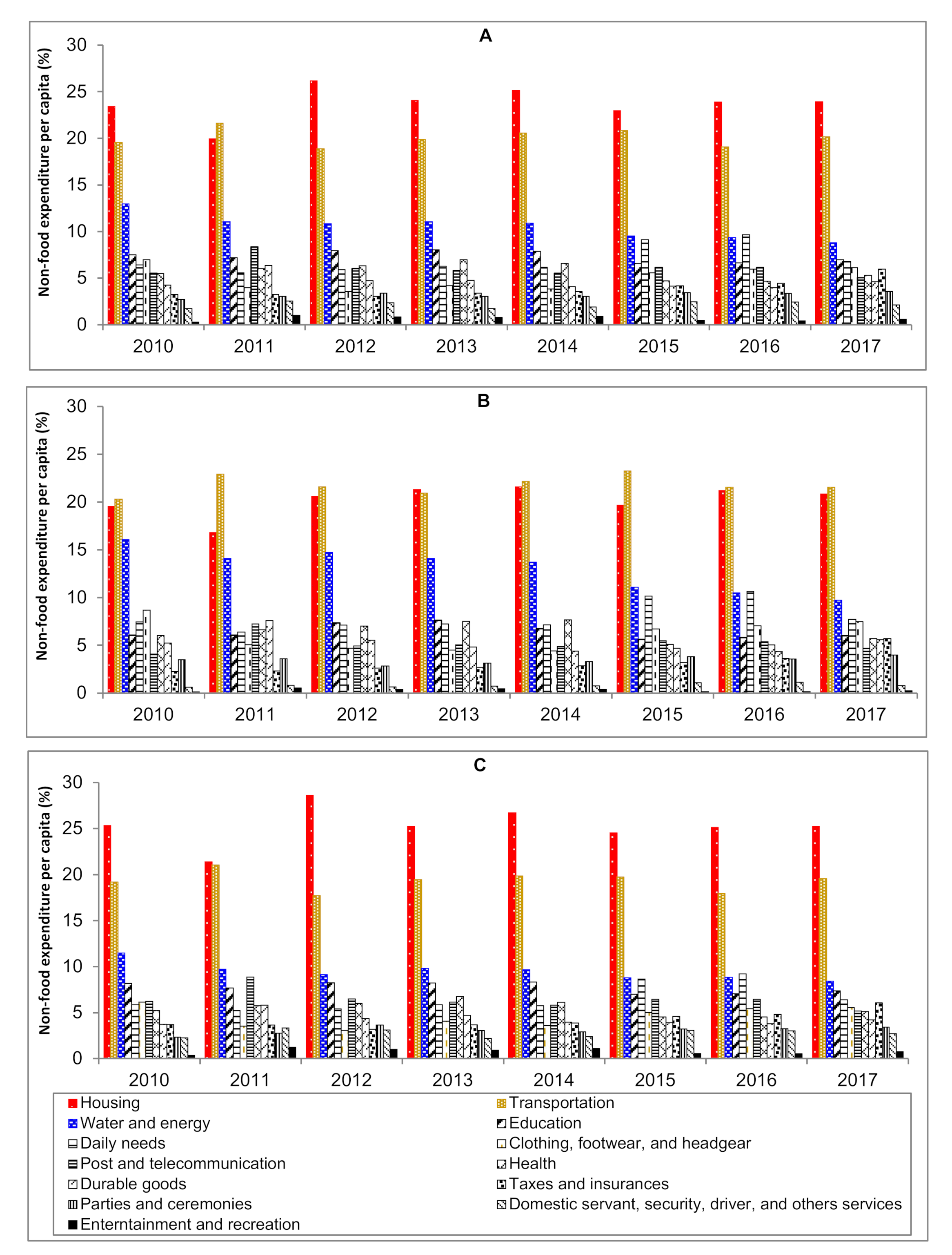
Figure 6A shows that non-food consumption at the national level was dominated by housing, transportation, and water and energy, respectively. These variables represent the basic needs as people need houses, transport to work, water and energy (i.e., electricity and gasoline) for living. Less money was spent on education, health, clothes, daily needs (i.e., toiletries, cleaning supplies, cosmetics, maintenance materials, tissue, diapers) as well as non-basic needs, such as entertainment, tourism, parties and ceremonies, whereas all of these commonly represent improved prosperity. Urban areas had a similar condition as that of the national level, but the housing expenditures were constantly higher than others (Figure 6C). Urban housing has become a big issue in Indonesia due to land scarcity that led to soaring land prices [65]. Contrarily, in rural areas, expenditures for transportation were more dominant, followed by housing, and water and energy (Figure 6B). It can be understood that the remoteness and dispersal of rural areas have made transportation cost, as well as the cost of gasoline distribution and power plant construction, more expensive.
This situation highlights that declining food expenditures with limited changes in food composition are partly affected by the increased expenditures on non-food basic items. Urbanization has led to increasing housing prices, rising transportation costs due to severe congestion and extended travelling time from the home to the office, and higher consumption of water and energy. In turn, these have reduced the capacity of people to afford food. Therefore, we cannot simply conclude that an increase in non-food consumption surpassing food consumption indicates better prosperity as mentioned in Engel’s law.

3.3. Changes in Food Consumption and its Relationship with Income

Like many studies, our results revealed that income is a key factor that affects food consumption behavior [66,67,68], analyzing the income per capita is important for explaining the cause of stagnancy of food composition in Indonesia. At the national level, Figure 7A shows that even in 2017, food consumption was still higher than that of non-food consumption until the income class reached more than one IDR million (equal to USD 74.70 with a currency rate of IDR 13,388 per dollar as of 31 March 2017 [69]) per capita per month. The situation is quite similar to that in rural and urban areas (Figure 7B,C). These findings imply that exchanges in the share of food and non-food consumption occurred only in a wealthier group of people.
The additional linear trend line in each curve of the graph (Figure 7) shows that, at the national and urban areas, the declining food and increasing non-food consumption changes were sharper than those found in rural areas. The absolute value of the slope in urban areas (3.7543) was higher than that of the national level (3.3312), while rural areas had the lowest slope (2.6621). These findings indicate that urban dwellers face more economic pressure as they have a greater variety of needs than do rural inhabitants. Therefore, the increase in income per capita was immediately followed by a decline in food consumption and an increase in non-food consumption.
Furthermore, Figure 8 shows that food composition distinctly shifted for the group of people who have incomes higher than IDR 1 million (USD 74.70) per capita per month. A similar trend was found at national, rural, and urban areas (see Figure 8A–C). At incomes of less than IDR 1 million, cigarettes were consistently increased, while the consumption of meat, eggs, milk, seafood, and fruit was only slightly increased. This figure emphasizes the study by Pangaribowo and Tsegai [58], who found that cigarettes were considered as luxury goods by the poorest citizens and can be afforded at a cheap price. There was a different result for people with incomes higher than IDR 1 million per month, i.e., these people smoke less and consume more meat, eggs, milk, seafood and fruit. Furthermore, the consumption of prepared food and beverages has sharply increased. These richer people reduce cigarettes consumption as they become more concerned about health issues. The government did a big campaign against smoking to increase people’s health and established regulations to prohibit smoking in schools, hospitals, offices, public transports, and other public places. However, it seemingly does not work in the poorer population who live in urban slump or rural area.
The only difference between national, urban, and rural is the position of the intersecting line between cereals and prepared food and beverages. At the national level, the intersection occurred at the income per capita of IDR 300-499 thousand per month, similar to rural areas. In urban areas, the intersection occurred at the income per capita of IDR 200-299 thousand per month. This result indicates that in urban areas, people have a strong dependency on food vendors, even when their incomes are lower. Consequently, these people are vulnerable to increasing food prices.
Since that, the consumption patterns between people with income higher or lower than IDR 1 million were different, considering the number of people belongs to those two groups is significant. Based on a report by the World Bank [70], the number of Indonesian people with an income of IDR 29,513.8 per day per capita (i.e., equal to IDR 885,414 per month per capita) in 2017 reached 155.4 million or 58.9% of the total population. Therefore, it can be estimated that the number of people who have an income lower than IDR 1 million per month was not less than 60%. Moreover, according to BPS [71,72], income inequality, particularly in urban areas, also increased, with a Gini index of 0.38 in 2010 and 0.41 in 2017. As noted, the Gini index is a measure of statistical dispersion that represents the income inequality within a nation or any other group of people, where a value closer to 0 indicates better equality. As more than half of the population lives in urban areas, the number of urban inhabitants with a lower income is relatively high; therefore, it can be understood that food composition was not significantly changed with urbanization.

3.4. The Impact of Urbanization on Farming Performance

Urbanization could bring at least two positive impacts on food and agricultural production as mentioned in the literature. First, as many villagers migrate to the city, farmers have more space to increase their farming scale [13]. Second, growing urban regions have created larger urban markets for food production [73,74]. These arguments should be assessed regarding the urbanization in the developing countries, which have different characteristics, as we have shown in food consumption and food composition dynamics in Indonesia.
Regarding the first argument, the Indonesian Agricultural Census in 2013 showed that the total number of farmers declined by 15%, from 31.2 million in 2003 to 26.1 million in 2013 [75]. Furthermore, the number of small household agricultural farmers (i.e., holding farmland less than 0.5 hectares) had been reduced by 7.5% from 2003 to 2013. At a first glance, this situation led to the conclusion that the transition from agriculture to non-agriculture had occurred [76]; thus, farming was expected to become more efficient and profitable.
However, the Agricultural Census data exhibited that farmers were characterized by less educated laborers and older people. Approximately 70.7% of agricultural laborers were educated up to only elementary school or never had any formal education [77]. Most of the farmers were within the age group of 45–54 years; thus, they were at the end of their working capacity [75].
Therefore, the assumption that the declining number of farmers and small household agricultural farmers indicated increasing farming efficiency is questionable. Ageing of farmers likely occurred as many productive younger individuals have moved to the city looking for jobs and better incomes [12]. Therefore, if there is no effort to enhance human resources in agriculture, the income gap between agricultural and non-agricultural households would further increase. As farmers are regarded as a key to supporting national food security, this continuing gap could potentially lead to social unrest [78].
Regarding the second argument, growing urbanization without significant changes in food composition will primarily increase the demand for cereals, especially rice, which accounted for 95% of cereal consumption in 2017 [79]. Consequently, the number of paddy farmer households was still high, reaching 54% of total farmer household or 80% of farmer household cultivating food crops in Indonesia [75]. Paddy farmers have low revenue because the price is controlled by the government to maintain consumer purchasing power and to suppress inflation, which is mainly influenced by food prices [80]. Rice, as the main staple food, has become a political commodity to maintain national social–economic stability [81,82].
Paddy farming has increasingly faced serious challenges, not only from the pressure of urban land expansion but also from the effect of global climate changes. Java and Bali Island, as the center of rice production in Indonesia, has undergone the fastest and largest urban expansion; thus, paddy fields lost as much as 95,173 hectares from 2003 to 2015, which is equal to 7900 hectares per year [83]. Furthermore, Barus [84] found that most paddy fields located on lands that are prone to flooding as a typical disaster occurred in urbanized areas. Caruso et al. [85] also found that increasing the minimum temperature in Indonesia has reduced rice yields.
The lack of benefits, coupled with the increasing risk of crop failures, has threatened the sustainability of paddy farming. Without any progress in the food diversification program, it is difficult to enhance farming activities that are still dominated by rice production.

4. Conclusion and Policy Implication

Until now, the Indonesian government has been focusing food security policy on balancing food supply and demand. As this study analyzed the changes in food consumption over the years, surprisingly, there were no significant changes in food composition along with urbanization since the 1970s. Colozza and Avendano [24] argued that this was likely caused by Indonesian people’s preference for traditional food; still, they suggested further investigation to explain this phenomenon. This study found that unchanged food composition likely was not simply caused by people’s preference but also socio–economic factors, mainly related to income and how the people spend it. The shifting food composition occurred only in a wealthier group of people (i.e., income per capita per month > IDR 1 million) in both rural and urban areas. At least 60% of the population still had an income of less than 1 IDR million per capita per month and the share of food expenditures in their consumption was still dominant. Particularly for urban inhabitants, their ability to buy food was also reduced by expenses for non-food basic needs, especially housing, transportation, and water and energy.
The growing number of urban inhabitants with the stagnant food composition will not provide sufficient incentive for farmers to develop and diversify their products. Farmers were trapped in low-revenue paddy farming which is increasingly threatened by expanded urbanization and emerging global climate change issues. A lack of incentive will make highly educated younger generations reluctant to be involved in agriculture; thus, farming businesses will collapse shortly if they continue to rely on older farmers. In this situation, the valorization of short food supply chains and local productions could be beneficial both for farmers (increased remuneration) and consumers (higher quality and more sustainable food). Furthermore, the strengthening of this local microeconomy could be essential in case of a crisis like the current COVID-19 pandemic [86].
The stagnancy of food composition and lowering farming performance highlight food security vulnerability, although urbanization is continually supported to accelerate economic growth. Urbanization coupled with economic growth has been regarded as a panacea for alleviating poverty and strengthening food accessibility, without considering that adverse impacts of urbanization might reduce the capacity of underprivileged urban inhabitants, who recently increased in number [36], to afford food. Furthermore, declining farming performance should be of concern for a populous country like Indonesia as internal production is important to ensure food availability when the future food supply in the global market will become increasingly unstable [87].
Unfortunately, the government is not alarmed, as food supply and demand, particularly rice as the main staple food, can be maintained. Rice production has lots of support to reach national food self-sufficiency such as infrastructure development, subsidized fertilizers, and mechanization assistance [88]. However, when the price of rice increased during non-harvesting periods, the government imported rice to stabilize the price. In this case, consumers can buy rice at affordable prices while paddy farmers still survive, though they only receive minimum profit. It should be of concern that neglecting the dynamics of food composition and farming performance will threaten food security in the long run.
To address this situation, some recommendations can be suggested. First, the changes in food composition and farming performances should be considered in food security policies, instead of merely focusing on the balancing of food supply and demand. Haysom and Tawodzera [89] stated that the measurement of food security should be developed as the world is currently experiencing a rapid urban transition that complicates food system. Shifting food composition to more diverse and high-quality diets (i.e., shifting from cereals to animal products, vegetables, and fruits) not only enhances the quality of human resources in supporting economic development, but also provides incentives for farmers to develop their products, obtain higher incomes, and minimized crop failures as food demand is not highly dependent on a single commodity.
Second, increasing income per capita is key to developing the composition of diets [68]. This implies that urbanization should be managed properly. Unmanaged spatial planning has led to (1) uncontrolled urban development that increases land prices and hampers housing provision, (2) urban sprawl that extends the distance between settlements and workplaces followed by increasing transportation cost, and (3) rapid urban population growth that exceeds the capacity of infrastructures and services, particularly in providing water and energy. These three non-food basic needs have reduced disposable income; thus, inhabitants have limited budgets to buy high-quality food. Note the finding of Abu Hatab et al. [36], who stated that food security amid urbanization in the developing countries should be integrated with non-food issues, such as urban spatial planning, rural-urban linkages, transportation management, etc.
Third, policies to support food diversification should consider the increasing trend of eating out of home behavior. Although this behavior sometimes leads to the consumption of fast food (i.e, high in sugar and fat), in Indonesia people still prefer to buy home-cooked food [24]. As reported by Anggraini et al. [59], small shops and street food vendors can be used as channels to improve food consumption. Therefore, standardizing and improving the quality of processed food and beverages sold by various food stalls and food vendors should be done as a way to increase the diversity and quality of foods consumed. On the other hand, the capacity of farmers to meet developing food demand should be enhanced. Linking farming to urban food markets, especially culinary businesses, could increase farming benefits by developing various farming products. This condition will certainly attract productive and educated younger generations to be involved in innovative and profitable farming businesses.
This study was the first which attempted to analyze food security in the framework of benefits and drawbacks of urbanization in developing countries. Thus, this can extend our perspective about the connections between food security and urbanization. It is important to deal with food security issues in urbanization in the developing countries, which are characterized by growing metropolitans/megacities that produce not only economic growth but also socio–ecological problems. Still, further research is required to define the driving factors that influence changes in the composition of food and non-food consumption as well as a farming performance at the regional level that might be specific between provinces/municipalities. More quantitative approaches can be employed as sufficient amounts of data will be available at the regional level to support modelling development.

Author Contributions

A.S.P. designed the research, methodology and collected the data. A.S.P. data curation. A.S.P and D.O.P formal analysis. A.S.P. and D.O.P writing original draft preparation, writing review and editing. G.T. supervision. All authors have read and approved the final manuscript.

Funding

The research was supported by the "One Belt and One Road" initiative on the implementation mechanism of agricultural capacity cooperation between China and countries along the route (18JLD310), the Heilongjiang Provincial Philosophy and Social Science Office, and a Ph.D. scholarship from the China Scholarship Council (CSC), the China Government, for the first author.

Acknowledgments

Thank you to the editor and all reviewers for their valuable advice on this paper.

Conflicts of Interest

The authors declare no conflict of interest.

References

  1. Satterthwaite, D.; McGranahan, G.; Tacoli, C. Urbanization and its implications for food and farming. Philos. Trans. R. Soc. B Biol. Sci. 2010, 365, 2809–2820. [Google Scholar] [CrossRef] [PubMed]
  2. Seto, K.C.; Ramankutty, N. Hidden linkages between urbanization and food systems. Science 2016, 352, 943–945. [Google Scholar] [CrossRef] [PubMed]
  3. Wenban-Smith, H.; Faße, A.; Grote, U. Food security in Tanzania: The challenge of rapid urbanisation. Food Secur. 2016, 8, 973–984. [Google Scholar] [CrossRef]
  4. Filippini, R.; Mazzocchi, C.; Corsi, S. The contribution of Urban Food Policies toward food security in developing and developed countries: A network analysis approach. Sustain. Cities Soc. 2019, 47, 101506. [Google Scholar] [CrossRef]
  5. Gandhi, V.P.; Zhou, Z. Food demand and the food security challenge with rapid economic growth in the emerging economies of India and China. Food Res. Int. 2014, 63, 108–124. [Google Scholar] [CrossRef]
  6. Liu, H.; Wahl, T.I.; Seale, J.L.; Bai, J. Household composition, income, and food-away-from-home expenditure in urban China. Food Policy 2015, 51, 97–103. [Google Scholar] [CrossRef]
  7. Regmi, A.; Dyck, J. Effects of Urbanization on Global Food Demand. In Changing Structure of Global Food Consumption and Trade; Regmi, A., Ed.; ERS WRS 01-1; USDA, ERS: Washington, DC, USA, 2001; pp. 23–30. [Google Scholar]
  8. Huang, J.; Bouis, H. Structural Changes in the Demand for Food in Asia. Int. Food Policy Res. Inst. 1996. [Google Scholar] [CrossRef]
  9. Pingali, P. Westernization of Asian diets and the transformation of food systems: Implications for research and policy. Food Policy 2007, 32, 281–298. [Google Scholar] [CrossRef]
  10. Regmi, A.; Meade, B. Demand side drivers of global food security. Glob. Food Sec. 2013, 2, 166–171. [Google Scholar] [CrossRef]
  11. Reardon, T.; Timmer, C.P. Five inter-linked transformations in the Asian agrifood economy: Food security implications. Glob. Food Sec. 2014, 3, 108–117. [Google Scholar] [CrossRef]
  12. Liu, Y.; Yamauchi, F. Population density, migration, and the returns to human capital and land: Insights from Indonesia. Food Policy 2014, 48, 182–193. [Google Scholar] [CrossRef]
  13. Masters, W.A.; Djurfeldt, A.A.; De Haan, C.; Hazell, P.; Jayne, T.; Jirström, M.; Reardon, T. Urbanization and farm size in Asia and Africa: Implications for food security and agricultural research. Glob. Food Sec. 2013, 2, 156–165. [Google Scholar] [CrossRef]
  14. Martellozzo, F.; Ramankutty, N.; Hall, R.J.; Price, D.T.; Purdy, B.; Friedl, M.A. Urbanization and the loss of prime farmland: A case study in the Calgary–Edmonton corridor of Alberta. Reg. Environ. Chang. 2015, 15, 881–893. [Google Scholar] [CrossRef]
  15. van Vliet, J.; Eitelberg, D.A.; Verburg, P.H. A global analysis of land take in cropland areas and production displacement from urbanization. Glob. Environ. Chang. 2017, 43, 107–115. [Google Scholar] [CrossRef]
  16. Wang, J.; Lin, Y.; Glendinning, A.; Xu, Y. Land-use changes and land policies evolution in China’s urbanization processes. Land Use Policy 2018, 75, 375–387. [Google Scholar] [CrossRef]
  17. Yan, T.; Wang, J.; Huang, J. Urbanization, agricultural water use, and regional and national crop production in China. Ecol. Modell. 2015, 318, 226–235. [Google Scholar] [CrossRef]
  18. Djehdian, L.A.; Chini, C.M.; Marston, L.; Konar, M.; Stillwell, A.S. Exposure of Urban Food-Energy-Water (FEW) Systems to Water Scarcity. Sustain. Cities Soc. 2019, 50, 101621. [Google Scholar] [CrossRef]
  19. Pretty, J.N.; Ball, A.S.; Lang, T.; Morison, J.I.L. Farm costs and food miles: An assessment of the full cost of the UK weekly food basket. Food Policy 2005, 30, 1–19. [Google Scholar] [CrossRef]
  20. Dahiya, B. Cities in Asia, 2012: Demographics, economics, poverty, environment and governance. Cities 2012, 29, S44–S61. [Google Scholar] [CrossRef]
  21. Singh, R.B. Urban Development Challenges, Risks and Resilience in Asian Mega Cities; Springer: Tokyo, Japan, 2015; ISBN 4431550429. [Google Scholar]
  22. Firman, T. Rural to urban land conversion in Indonesia during boom and bust periods. Land Use Policy 2000, 17, 13–20. [Google Scholar] [CrossRef]
  23. Pribadi, D.O.; Zasada, I.; Müller, K.; Pauleit, S. Multifunctional adaption of farmers as response to urban growth in the Jabodetabek Metropolitan Area, Indonesia. J. Rural Stud. 2017, 55, 100–111. [Google Scholar] [CrossRef]
  24. Colozza, D.; Avendano, M. Urbanisation, dietary change and traditional food practices in Indonesia: A longitudinal analysis. Soc. Sci. Med. 2019, 233, 103–112. [Google Scholar] [CrossRef] [PubMed]
  25. Ingram, J. A food systems approach to researching food security and its interactions with global environmental change. Food Secur. 2011, 3, 417–431. [Google Scholar] [CrossRef]
  26. FAO. Food security. Policy Brief. 2006, 2, 1–4. [Google Scholar]
  27. Maxwell, D.G. The political economy of urban food security in Sub-Saharan Africa. World Dev. 1999, 27, 1939–1953. [Google Scholar] [CrossRef]
  28. Agarwal, S.; Sethi, V.; Gupta, P.; Jha, M.; Agnihotri, A.; Nord, M. Experiential household food insecurity in an urban underserved slum of North India. Food Secur. 2009, 1, 239–250. [Google Scholar] [CrossRef]
  29. Smit, W. Urban governance and urban food systems in Africa: Examining the linkages. Cities 2016, 58, 80–86. [Google Scholar] [CrossRef]
  30. World Bank. Indonesia-The Rise of Metropolitan Regions: Towards Inclusive and Sustainable Regional Development; World Bank: Washington, DC, USA, 2012; Available online: http://documents.worldbank:curated/en/520931468269430645/Indonesia-The-rise-of-metropolitan-regions-towards-inclusive-and-sustainable-regional-development (accessed on 23 October 2018). (In English)
  31. Maitra, C. Adapting an experiential scale to measure food insecurity in urban slum households of India. Glob. Food Sec. 2017, 15, 53–64. [Google Scholar] [CrossRef]
  32. Li, G.; Zhao, Y.; Cui, S. Effects of urbanization on arable land requirements in China, based on food consumption patterns. Food Secur. 2013, 5, 439–449. [Google Scholar] [CrossRef]
  33. Chatterjee, R.; Atta-ur-Rahman; Tran, T.; Shaw, R. Urban Food Security in Asia: A Growing Threat. In Urban Disasters and Resilience in Asia; Elsevier Inc.: Butterworth-Heinemann, UK, 2016; pp. 161–178. [Google Scholar]
  34. Rustiadi, E.; Pribadi, D.O.; Pravitasari, A.E.; Indraprahasta, G.S.; Iman, L.S. Jabodetabek megacity: From city development toward urban complex management system. In Urban Development Challenges, Risks and Resilience in Asian Mega Cities; Springer: Tokyo, Japan, 2015; pp. 421–445. [Google Scholar]
  35. Roitman, S.; Recio, R.B. Understanding Indonesia’s gated communities and their relationship with inequality. Hous. Stud. 2019, 1–25. [Google Scholar] [CrossRef]
  36. Abu Hatab, A.; Cavinato, M.E.R.; Lindemer, A.; Lagerkvist, C.J. Urban sprawl, food security and agricultural systems in developing countries: A systematic review of the literature. Cities 2019, 94, 129–142. [Google Scholar] [CrossRef]
  37. United Nations. World Urbanization Prospects: The 2018 Revision, Online Edition. United Nations, Department of Economic and Social Affairs, Population Division. Available online: https://population.un:wup/Country-Profiles/ (accessed on 3 October 2018).
  38. Akita, T.; Miyata, S. Urbanization, educational expansion, and expenditure inequality in Indonesia in 1996, 1999, and 2002. J. Asia Pac. Econ. 2008, 13, 147–167. [Google Scholar] [CrossRef]
  39. Humphries, D.L.; Dearden, K.A.; Crookston, B.T.; Woldehanna, T.; Penny, M.E.; Behrman, J.R. Household food group expenditure patterns are associated with child anthropometry at ages 5, 8 and 12 years in Ethiopia, India, Peru and Vietnam. Econ. Hum. Biol. 2017, 26, 30–41. [Google Scholar] [CrossRef] [PubMed]
  40. Surbakti, P. Indonesia’s National Socio-Economic Survey: A Continual Data Source for Analysis on Welfare Development; BPS: Jakarta, Indonesia, 1995; ISBN 9795981803. [Google Scholar]
  41. Pribadi, D.O.; Pauleit, S. The dynamics of peri-urban agriculture during rapid urbanization of Jabodetabek Metropolitan Area. Land Use Policy 2015, 48, 13–24. [Google Scholar] [CrossRef]
  42. Alderman, H.C.; Timmer, C.P. Food Policy and Food Demand in Indonesia. Bull. Indones. Econ. Stud. 1980, 16, 83–93. [Google Scholar] [CrossRef]
  43. Kakwani, N. On the estimation of Engel elasticities from grouped observations with application to Indonesian data. J. Econom. 1977, 6, 1–19. [Google Scholar] [CrossRef]
  44. Deaton, A. Price elasticities from survey data. Extensions and Indonesian results. J. Econom. 1990, 44, 281–309. [Google Scholar] [CrossRef]
  45. Jensen, H.H.; Manrique, J. Demand for food commodities by income groups in Indonesia. Appl. Econ. 1998, 30, 491–501. [Google Scholar] [CrossRef][Green Version]
  46. Friedman, J. The Distributional Impacts of Indonesia’s Financial Crisis on Household Welfare: A “Rapid Response” Methodology. World Bank Econ. Rev. 2002, 16, 397–423. [Google Scholar] [CrossRef]
  47. Akita, T.; Lukman, R.A.; Yamada, Y. Inequality in the distribution of household expenditures in Indonesia: A Theil decomposition analysis. Dev. Econ. 1999, 37, 197–221. [Google Scholar] [CrossRef]
  48. Bird, K.; Manning, C. Minimum Wages and Poverty in a Developing Country: Simulations from Indonesia’s Household Survey. World Dev. 2008, 36, 916–933. [Google Scholar] [CrossRef]
  49. Nugraha, K.; Lewis, P. Towards a better measure of income inequality in Indonesia. Bull. Indones. Econ. Stud. 2013, 49, 103–112. [Google Scholar] [CrossRef]
  50. Yusuf, A.A.; Sumner, A.; Rum, I.A. Twenty Years of Expenditure Inequality in Indonesia, 1993–2013. Bull. Indones. Econ. Stud. 2014, 50, 243–254. [Google Scholar] [CrossRef]
  51. Putra, A.S.; Tong, G.; Pribadi, D.O. Spatial Analysis of Socio-Economic Driving Factors of Food Expenditure Variation between Provinces in Indonesia. Sustainability 2020, 12, 1638. [Google Scholar] [CrossRef]
  52. Sumarto, S.; Suryadarma, D.; Suryahadi, A. Predicting Consumption Poverty using Non-Consumption Indicators: Experiments using Indonesian Data. Soc. Indic. Res. 2007, 81, 543–578. [Google Scholar] [CrossRef]
  53. Sparrow, R.; Suryahadi, A.; Widyanti, W. Social health insurance for the poor: Targeting and impact of Indonesia’s Askeskin programme. Soc. Sci. Med. 2013, 96, 264–271. [Google Scholar] [CrossRef]
  54. Henderson, V. The urbanization process and economic growth: The so-what question. J. Econ. Growth 2003, 8, 47–71. [Google Scholar] [CrossRef]
  55. Chen, M.; Zhang, H.; Liu, W.; Zhang, W. The global pattern of urbanization and economic growth: Evidence from the last three decades. PLoS ONE 2014, 9, e103799. [Google Scholar] [CrossRef]
  56. World Bank. World Bank Open Data. Available online: https://data.worldbank:country/indonesia/ (accessed on 3 October 2018).
  57. Studdert, L.J.; Frongillo, E.A., Jr.; Valois, P. Household food insecurity was prevalent in Java during Indonesia’s economic crisis. J. Nutr. 2001, 131, 2685–2691. [Google Scholar] [CrossRef]
  58. Pangaribowo, E.; Tsegai, D. Food demand analysis of Indonesian households with particular attention to the poorest. ZEF-Discuss. Pap. Dev. Policy. 2011, pp. 1–42. Available online: https://ssrn.com/abstract=1945226 (accessed on 11 March 2018).
  59. Anggraini, R.; Februhartanty, J.; Bardosono, S.; Khusun, H.; Worsley, A. Food store choice among urban slum women is associated with consumption of energy-dense food. Asia Pac. J. Public Health 2016, 28, 458–468. [Google Scholar] [CrossRef]
  60. De Haen, H.; Stamoulis, K.; Shetty, P.; Pingali, P. The World Food Economy in the Twenty-first Century: Challenges for International Co-operation. Dev. Policy Rev. Overseas Dev. Inst. 2003, 21, 683–696. [Google Scholar] [CrossRef]
  61. Popkin, B.M. Urbanization, lifestyle changes and the nutrition transition. World Dev. 1999, 27, 1905–1916. [Google Scholar] [CrossRef]
  62. Popkin, B.M.; Adair, L.S.; Ng, S.W. Global nutrition transition and the pandemic of obesity in developing countries. Nutr. Rev. 2012, 70, 3–21. [Google Scholar] [CrossRef] [PubMed]
  63. Huang, J.; Rozelle, S. Market development and food demand in rural China. China Econ. Rev. 1998, 9, 25–45. [Google Scholar] [CrossRef]
  64. Burggraf, C.; Kuhn, L.; Zhao, Q.; Teuber, R.; Glauben, T. Economic growth and nutrition transition: An empirical analysis comparing demand elasticities for foods in China and Russia. J. Integr. Agric. 2015, 14, 1008–1022. [Google Scholar] [CrossRef]
  65. Firman, T. The continuity and change in mega-urbanization in Indonesia: A survey of Jakarta–Bandung Region (JBR) development. Habitat Int. 2009, 33, 327–339. [Google Scholar] [CrossRef]
  66. Lusk, J.L. Income and (Ir) rational food choice. J. Econ. Behav. Organ. 2019. [Google Scholar] [CrossRef]
  67. Diehl, J.A.; Oviatt, K.; Chandra, A.J.; Kaur, H. Household food consumption patterns and food security among low-income migrant urban farmers in Delhi, Jakarta, and Quito. Sustainability 2019, 11, 1378. [Google Scholar] [CrossRef]
  68. Gerbens-Leenes, P.W.; Nonhebel, S.; Krol, M.S. Food consumption patterns and economic growth. Increasing affluence and the use of natural resources. Appetite 2010, 55, 597–608. [Google Scholar] [CrossRef]
  69. Bank of Indonesia. Foreign Exchange Rates, Exchange Rates on Transaction Currencies USD. Available online: https://www.bi.go.id/id/moneter/informasi-kurs/transaksi-bi/Default.aspx (accessed on 11 January 2019).
  70. World Bank. Poverty and Equity Brief Indonesia; The World Bank: Jakarta, Indonesia, 2018. [Google Scholar]
  71. BPS (Indonesia Statistical Office). Statistical Yearbook of Indonesia 2011; BPS: Jakarta, Indonesia, 2011. [Google Scholar]
  72. BPS (Indonesia Statistical Office). Statistical Yearbook of Indonesia 2018; BPS: Jakarta, Indonesia, 2018. [Google Scholar]
  73. Wittman, H.; Beckie, M.; Hergesheimer, C. Linking local food systems and the social economy? Future roles for farmers’ markets in Alberta and British Columbia. Rural Sociol. 2012, 77, 36–61. [Google Scholar] [CrossRef]
  74. Newman, L.; Powell, L.J.; Wittman, H. Landscapes of food production in agriburbia: Farmland protection and local food movements in British Columbia. J. Rural Stud. 2015, 39, 99–110. [Google Scholar] [CrossRef]
  75. BPS (Indonesia Statistical Office). Census of Agriculture 2013. National Figures the Result of the Complete Enumeration; BPS: Jakarta, Indonesia, 2014. [Google Scholar]
  76. BPS (Indonesia Statistical Office). Indonesian Agricultural Potential. Analysis of the Result Complete Enumeration of Agricultural Census 2013; BPS: Jakarta, Indonesia, 2014. [Google Scholar]
  77. BPS (Indonesia Statistical Office). Labour Force Situation in Indonesia in August 2015; BPS: Jakarta, Indonesia, 2015. [Google Scholar]
  78. Anderson, K.; Strutt, A. Food security policy options for China: Lessons from other countries. Food Policy 2014, 49, 50–58. [Google Scholar] [CrossRef]
  79. BPS (Indonesia Statistical Office). Consumption Expenditure of the Population of Indonesia; Based on the March 2017 Susenas. Book 1; BPS: Jakarta, Indonesia, 2017. [Google Scholar]
  80. BPS (Indonesia Statistical Office). Consumer Price Index. No. 01/01/Th. XXI, 2 January 2018; BPS: Jakarta, Indonesia, 2018. [Google Scholar]
  81. Dawe, D.; Timmer, C.P. Why stable food prices are a good thing: Lessons from stabilizing rice prices in Asia. Glob. Food Sec. 2012, 1, 127–133. [Google Scholar] [CrossRef]
  82. Warr, P. Agricultural liberalization, poverty and inequality: Indonesia and Thailand. J. Asian Econ. 2014, 35, 92–106. [Google Scholar] [CrossRef]
  83. BPS (Indonesia Statistical Office). Paddy Fields Area, 2013–2015. Available online: https://bps.go.id/indicator/53/179/1/luas-lahan-sawah.html (accessed on 4 May 2018).
  84. Barus, B. Changes of the Land Use and Environment at Java Island are Linked to the Island Spatial Plan. Presented at the National Dialogue on the Java Island Crisis. Jakarta, Indonesia, 23 December 2008. [Google Scholar]
  85. Caruso, R.; Petrarca, I.; Ricciuti, R. Climate change, rice crops, and violence: Evidence from Indonesia. J. Peace Res. 2016, 53, 66–83. [Google Scholar] [CrossRef]
  86. Cappelli, A.; Cini, E. Will the COVID-19 pandemic make us reconsider the relevance of short food supply chains and local productions? Trends Food Sci. Technol. 2020, 99, 566–567. [Google Scholar] [CrossRef]
  87. FAO; IFAD; IMF; OECD; UNCTAD; WFP; World Bank; WTO; IFPRI; UN HLTF. Price Volatility in Food and Agricultural Markets: Policy Responses; FAO: Roma, Italy, 2011. [Google Scholar]
  88. Hamilton-Hart, N. Indonesia’s Quest for Food Self-sufficiency: A New Agricultural Political Economy? J. Contemp. Asia 2019, 49, 734–758. [Google Scholar] [CrossRef]
  89. Haysom, G.; Tawodzera, G. “Measurement drives diagnosis and response”: Gaps in transferring food security assessment to the urban scale. Food Policy 2018, 74, 117–125. [Google Scholar] [CrossRef]
Figure 1. The relationship between urbanization level and GDP per capita constant price of 2010 from 1976 to 2017.
Figure 1. The relationship between urbanization level and GDP per capita constant price of 2010 from 1976 to 2017.
Sustainability 12 09550 g001
Figure 2. Indonesia’s economic growth, GDP per capita growth and urbanization growth 1961–2017. Source: authors’ development based on the World Bank data [56].
Figure 2. Indonesia’s economic growth, GDP per capita growth and urbanization growth 1961–2017. Source: authors’ development based on the World Bank data [56].
Sustainability 12 09550 g002
Figure 3. Change in food and non-food expenditures over the years: (A) national level, (B) rural areas and (C) urban areas.
Figure 3. Change in food and non-food expenditures over the years: (A) national level, (B) rural areas and (C) urban areas.
Sustainability 12 09550 g003
Figure 4. Percentage per capita of food consumption by commodity group at (A) national level, (B) rural areas and (C) urban areas over time, including cigarettes. Note: in 1976–1987, oil and coconut, beverages, and spices were still grouped as miscellaneous food.
Figure 4. Percentage per capita of food consumption by commodity group at (A) national level, (B) rural areas and (C) urban areas over time, including cigarettes. Note: in 1976–1987, oil and coconut, beverages, and spices were still grouped as miscellaneous food.
Sustainability 12 09550 g004
Figure 5. Percentage per capita of food consumption by commodity group at (A) national level, (B) rural areas and (C) urban areas over time without cigarettes. Note: in 1976–1987, oil and coconut, beverages, and spices were still grouped as miscellaneous food.
Figure 5. Percentage per capita of food consumption by commodity group at (A) national level, (B) rural areas and (C) urban areas over time without cigarettes. Note: in 1976–1987, oil and coconut, beverages, and spices were still grouped as miscellaneous food.
Sustainability 12 09550 g005
Figure 6. Expenditures of the main items in the non-food group for 2010–2017 at (A) national level, (B) rural areas and (C) urban areas.
Figure 6. Expenditures of the main items in the non-food group for 2010–2017 at (A) national level, (B) rural areas and (C) urban areas.
Sustainability 12 09550 g006
Figure 7. Monthly expenditure per capita class of food and non-food in 2017 at (A) national level, (B) rural areas and (C) urban areas.
Figure 7. Monthly expenditure per capita class of food and non-food in 2017 at (A) national level, (B) rural areas and (C) urban areas.
Sustainability 12 09550 g007
Figure 8. Relationship of percentage per capita food consumption by commodity group with income in 2017 at (A) national level, (B) rural areas and (C) urban areas.
Figure 8. Relationship of percentage per capita food consumption by commodity group with income in 2017 at (A) national level, (B) rural areas and (C) urban areas.
Sustainability 12 09550 g008
Publisher’s Note: MDPI stays neutral with regard to jurisdictional claims in published maps and institutional affiliations.

Share and Cite

MDPI and ACS Style

Putra, A.S.; Tong, G.; Pribadi, D.O. Food Security Challenges in Rapidly Urbanizing Developing Countries: Insight from Indonesia. Sustainability 2020, 12, 9550. https://doi.org/10.3390/su12229550

AMA Style

Putra AS, Tong G, Pribadi DO. Food Security Challenges in Rapidly Urbanizing Developing Countries: Insight from Indonesia. Sustainability. 2020; 12(22):9550. https://doi.org/10.3390/su12229550

Chicago/Turabian Style

Putra, Andi Syah, Guangji Tong, and Didit Okta Pribadi. 2020. "Food Security Challenges in Rapidly Urbanizing Developing Countries: Insight from Indonesia" Sustainability 12, no. 22: 9550. https://doi.org/10.3390/su12229550

APA Style

Putra, A. S., Tong, G., & Pribadi, D. O. (2020). Food Security Challenges in Rapidly Urbanizing Developing Countries: Insight from Indonesia. Sustainability, 12(22), 9550. https://doi.org/10.3390/su12229550

Note that from the first issue of 2016, this journal uses article numbers instead of page numbers. See further details here.

Article Metrics

Back to TopTop