Next Article in Journal
Atmospheric Carbon Dioxide and Electricity Production Due to Lockdown
Previous Article in Journal
Integrating Spatial Valuation of Ecosystem Services into Protected Area Management: A Case Study of the Cangshan Nature Reserve in Dali, China
 
 
Font Type:
Arial Georgia Verdana
Font Size:
Aa Aa Aa
Line Spacing:
Column Width:
Background:
Article

Spatiotemporal Differentiation of Soil Organic Carbon of Grassland and Its Relationship with Soil Physicochemical Properties on the Northern Slope of Qilian Mountains, China

1
College of Geography and Environmental Science, Northwest Normal University, Lanzhou 730070, China
2
State Key Laboratory of Cryosphere Science, Northwest institute of Eco-Environment and Resources, Chinese Academy of Sciences, Lanzhou 730070, China
*
Author to whom correspondence should be addressed.
Sustainability 2020, 12(22), 9396; https://doi.org/10.3390/su12229396
Submission received: 11 September 2020 / Revised: 20 October 2020 / Accepted: 24 October 2020 / Published: 12 November 2020

Abstract

The soil organic carbon pool is an important part of the global carbon cycle, and its accumulation and decomposition affect the balance of the global carbon cycle. It is important to understand scientifically the temporal and spatial variation of soil organic carbon (SOC) and its influencing factors, which could aid further understanding of the accumulation and decomposition of SOC. In order to reveal the relationship between soil organic carbon and soil’s physicochemical properties, six plots were selected on the east, middle and west of forest steppes and typical grasslands on the northern slope of Qilian Mountains during two consecutive growing seasons from 2013 to 2014. Soil samples under 0–30 cm were used to study the spatiotemporal differentiation of SOC and its relationship with the soil’s physicochemical properties in the grassland of the study area. The results show that the content of SOC in the grassland in 2013 was higher than that in 2014, and that it decreased gradually from east to west. The content of SOC is significantly different between the soil layer of 0–10 cm and the soil layers of 10–20 cm and 20–30 cm (p < 0.05), and it decreases with increases in soil depth. The SOC content on forest steppe is higher than that on typical grassland. Significant positive correlations appear between SOC with soil water content and soil nutrients (alkaline nitrogen, available phosphorus, available potassium) (p < 0.01), but there are significant negative correlations between SOC and soil temperature, soil pH, and soil electrical conductivity (p < 0.01).

1. Introduction

Soil is an important part of the carbon pool of terrestrial ecosystems, in which carbon mostly in the form of organic matter is about 1400–1500 Pg, accounting for 65% of the total carbon pool of terrestrial ecosystems [1,2]. SOC is mainly composed of organic substances, such as humus, various animals and plant residues that are decomposed and synthesized by microorganisms [3,4]. The grassland ecosystem is the primary part of the global terrestrial ecosystem. As an important part of the terrestrial carbon cycle [5,6,7], it plays the double role of both carbon source and carbon sink in the global carbon cycle. Grassland not only provides lots of high-quality pasture for animal husbandry, but also plays significant roles in windproof and sand fixation, water source conservation, and ecological carbon fixation [8]. According to statistics, the grassland area in China is about 4 × 108 hm2, accounting for 41.7% of the total land area [9], and the carbon stock of the grassland ecosystem is 29.1 Pg C [10], accounting for about 10% of the total grassland carbon storage in the world. In grassland, soil carbon mainly exists in the form of organic carbon, which is concentrated in the surface layer at a depth of 0–30 cm [11]. Studies have shown that SOC of the surface layer can participate in the dynamic coupling of the carbon cycle in terrestrial ecosystems, and its reserves, distribution, and cycle are closely related to the environment [12]. Therefore, understanding the detailed distribution of SOC in the surface layer will provide a basis for the research on carbon cycles in terrestrial ecosystems.
The spatiotemporal distribution of SOC can reflect the regional SOC change trend. Many studies have estimated the distribution and reserves of SOC on global [13,14], national [15], and regional scales [16]. For example, based on 2696 soil profiles in the world, Post et al. estimated that the global carbon storage is 1395.5 Gt [17]. Based on the 3411 soil profiles of the second national soil survey in China, Wu et al. estimated that the storage of SOC in the surface layer was about 3.25 × 1010 t, and pointed out that the spatial distribution of SOC was higher in the east and lower in the west [18]. Using measured data and GIS methods, Wen et al. studied the spatiotemporal distribution of SOC in Yangjuangou watershed in Loess Plateau and found that it is closely related to land use patterns [19]. In the study of carbon cycle at the regional scale, it was found that the SOC of the surface layer is very sensitive to vegetation types [19]. Diverse combinations of water and heat will directly affect the decomposition and transformation of SOC by microorganisms [12]. As one of the indicators to measure grassland soil quality, the content and quality changes of SOC in grassland definitely affect soil physicochemical properties [20], and the reverse is also true. Therefore, studying the spatiotemporal distribution of SOC in the surface layer and its relationship with physicochemical properties can help to improve the understanding of the cycle mechanism of SOC in specific regions.
Studies on SOC in grassland mostly focus on the dynamic changes of organic carbon storage [21,22], and center on the influence of natural factors on it [23,24]. However, there are few studies on the correlation between SOC and its physicochemical properties. Regarding soil nutrients, Raven et al. [25] revealed that the changes of soil nutrients cause those of soil microbes, which further lead to those of SOC. At present, it is unclear how the soil environment factors affect the SOC, so it is necessary to discuss the correlation between SOC and soil physicochemical properties.
The Qilian Mountains have a special geographical location at the confluence of the Qinghai-Tibetan Plateau, Inner Mongolia Plateau, and Loess Plateau [26], and located in a semi-arid region in northwest China [27]. It has a large area of forests and grasslands, so it is an important ecological barrier in northwest China. In recent years, many scholars have studied SOC in the Qilian Mountains [28,29,30,31], but few studies have explored the relationship between SOC and soil physicochemical properties. Therefore, two different grassland types were selected on the northern slope of Qilian Mountain, and the spatiotemporal differentiation of SOC and its correlation with soil physicochemical properties were studied. The aim is to provide a preliminary basis for the theoretical research of grassland ecosystems and the ecological environment construction of the Qilian Mountains.

2. Materials and Methods

2.1. Description of the Study Area

The study was carried out in the Qilian Mountains (Figure 1), that is situated in the northeast of Qinghai-Tibetan Plateau, and crosses Qinghai and Gansu provinces in China, and borders Hexi Corridor in the north, Qaidam Basin in the south, Wushaoling in the east and the Dangjin mountain pass in the west, and coordinates of about 35°43′ N to 39°36′ N latitude and 93°30′ E to 103°00′ E longitude. The Qilian Mountains are composed of several parallel mountains and wide valleys from northwest to southeast, of which the total length is about 1000 km and the maximum width is about 300 km [32]. Affected by the alpine climate of Qinghai-Tibetan Plateau and the arid climate of northwest China, the Qilian Mountains have typical characteristics of both a continental climate and plateau climate. The annual temperature is below 4 °C, and the annual precipitation is concentrated in May to September and varies between 400 to 700 mm. Because of complex natural geographical conditions, the vegetation of the Qilian Mountains has various types, and it has obvious vertical zonality. From low to high altitude, the vegetation types are in turn desert steppe, typical grassland, forest steppe, alpine shrub meadow vegetation, and alpine cold desert meadow; correspondingly the soil types are in turn mountain calcareous soil, mountain chestnut soil, forest gray cinnamon soil, alpine shrub meadow soil, and alpine cold desert soil [33].

2.2. Soil Sample Collection

From May to September in 2013 and 2014, the sample plots from east to west were set up at Qingyangshancha located in Menyuan county, Womashan located in Minle county and Ebotaizi located in Sunanin county on the northern slope of the Qilian Mountains, and soil samples were collected in the forest steppes and typical grasslands (Figure 1, Table 1). In each sample plot, three sample plots of 3 m × 3 m were arranged randomly, and five small plots of 1 m × 1 m were set at the four corners and the center of each sample plot. Samples were collected from soil layers 0–10 cm, 10–20 cm, and 20–30 cm; the five repeated samples were mixed into one soil sample, which was put into aluminum box and sampling bag and sealed. In two consecutive years from 2013 to 2014, a total of 360 soil samples were collected. From those, 180 soil samples were used to determine soil water content (W%), and 180 soil samples used to determine soil physicochemical properties. At the same time, ground thermometers were inserted into the sample plot to observe and record the ground temperature at 5 cm, 10 cm, and 15 cm.

2.3. Soil Sample Analysis

After the soil wet weights (Mw) were determined, the soil samples used to determine soil water content were dried to a constant weight in an oven at 105 °C, and then the dry weights (Md) were determined. Prior to the soil analysis, the soil samples used to determine soil physicochemical properties were dried under room temperature for two weeks and were put through 0.15 mm and 1 mm sieves to remove plant residues and gravel. The soil organic matter was determined by a potassium dichromate external heating method [34]. The soil pH was measured with a PH meter, and the soil EC was measured by a conductivity meter. The alkaline nitrogen, available phosphorus and available potassium were measured by a TFC-1B rapid colorimetrical tester that is mainly determined by the traditional curve coordinate method through the use of the transmittance T value and absorbance A value of the instrument. The above experiments were completed in the Soil Analysis Laboratory of the college of Geography and Environmental Science, Northwest Normal University.

2.4. Research Method

Using Equation (1), the soil water content was calculated.
soil   water   content   = M w M d M d 100 %
where Mw represents the soil wet weight and Md represents the soil dry weight.
The SOC content was calculated by Equation (2).
C = ( V 0 V ) C 2 0.003 1000 M 10
where C represents the content of organic carbon (g/kg), V0 represents the volume of ferrous sulfate consumed by each blank sample, V represents the volume of ferrous sulfate consumed by each sample, M represents the quality of the sample, C2 represents the standard solution concentration of ferrous sulfate, and V1 represents volume of ferrous sulfate consumed.
In addition, four plots—east plot (EP), middle plot (MP), western plot (WP) and whole plot (AP)—were used for comparative analysis, and each area contained two different grassland types: forest steppe and typical grassland.

3. Results

3.1. SOC Changes of Grassland

3.1.1. Temporal Changes of SOC of Grassland

As shown in Figure 2, the contents of SOC of forest steppe and typical grassland at the EP in 2013 reached maximum values on July, which were 48.10 g/kg and 38.75 g/kg, respectively. While in 2014, the maximum values of SOC of them appeared on May, which were 47.4 g/kg and 37.17 g/kg, respectively. At the MP, the SOC content of forest steppe was higher than that of typical grassland. Contrary to forest steppe, the distribution of SOC of typical grassland was unstable; the maximum value reached 37.25 g/kg in July of 2013, but reached 39.59 g/kg in September of 2014. At the WP, the SOC content of typical grassland was higher than that of forest steppe in July and September of 2013 and in May, June and August of 2014, in which the contents of them were 36.32 g/kg, 31.66 g/kg, 29.40 g/kg, 23.61 g/kg and 23.33 g/kg, respectively. At the AP, the highest SOC values of forest steppe all occurred in May, which were 42.07 g/kg in 2013 and 38.60 g/kg in 2014, respectively. The highest SOC value of typical grassland was 34.11 g/kg in July of 2013, but that was 33.29 g/kg in September of 2014.

3.1.2. Vertical Changes of SOC of Grassland

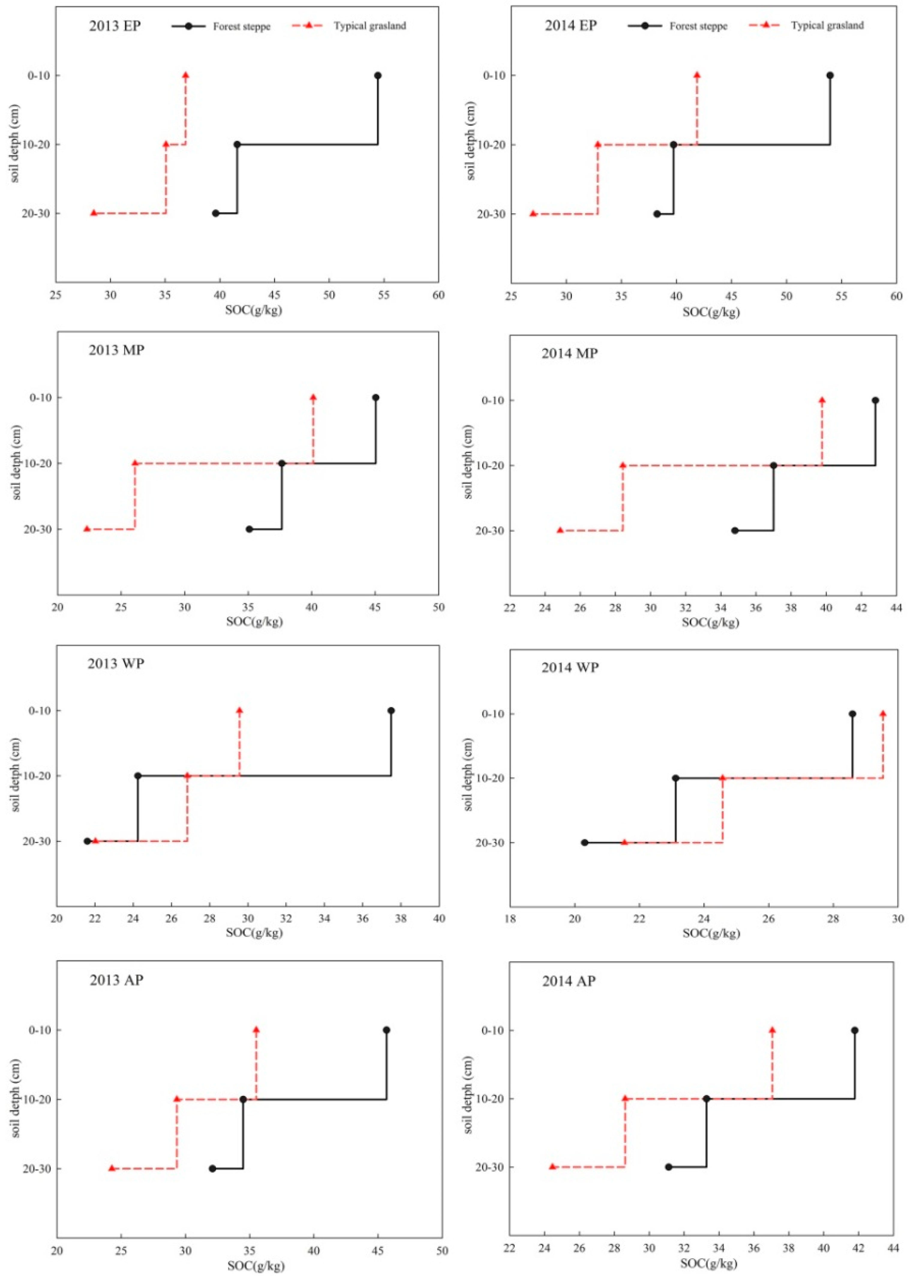
As can be seen from Figure 3, the SOC content of different grassland types on the northern slope of the Qilian Mountains show a decreasing trend with an increase in soil depth. The SOC content of forest steppe varies widely in different soil depths. In the soil layers of 0–10 cm, 10–20 cm and 20–30 cm at the AP, the SOC contents of forest steppe in 2013 were 45.66 g/kg, 34.49 g/kg and 32.10 g/kg, respectively, and those in 2014 were 41.78 g/kg, 33.29 g/kg and 31.12 g/kg, respectively. Being different from forest steppe, the SOC contents of typical grassland vary little at each soil layer. In the soil layers of 0–10 cm, 10–20 cm and 20–30 cm, the contents of SOC in 2013 were 35.52 g/kg, 29.33 g/kg and 24.27 g/kg, respectively, and those in 2014 were 37.06 g/kg, 28.62 g/kg and 24.46 g/kg, respectively. The SOC of forest steppe is concentrated on the surface layer, but that of typical grassland is evenly distributed in each soil layer. In terms of space, the contents of SOC of forest steppe and typical grassland all decrease gradually from east to west. At each plot, the SOC content shows a negative correlation with soil depth; the content of organic carbon decreases as the soil depth deepens. At the same time, the SOC content of forest steppe is slightly higher than that of typical grassland in each soil layer. However, the SOC content of typical grassland was higher than that of forest steppe at the WP in 2014.

3.1.3. Spatial Changes of SOC of Grassland

The spatial heterogeneity of SOC in the study area is large, which is reflected by the fact that the contents of SOC are different under different soil layers. Descriptive statistical analysis was made for the contents of SOC of different grassland types in different depths during two consecutive years (Table 2). It can be seen from Table 2 that the contents of SOC of forest steppe and typical grassland on the northern slope of the Qilian Mountain in 2013 was higher than that in 2014. Taking the EP as an example, the SOC content of forest grassland in 2013 varied from 35.29 g/kg to 61.18 g/kg, and that of typical grassland varied from 23.85 g/kg to 41.67 g/kg. In 2014, the SOC content of forest steppe varied from 32.21 g/kg to 60.19 g/kg, and that of typical grassland varied from 23.85 g/kg to 41.38 g/kg. From east to west (EP → MP → WP) the contents of SOC of forest steppe and typical grassland all decreased gradually in two consecutive growing seasons. For example, in the soil layer of 0–10 cm at the EP, MP and WP, the SOC contents of forest steppe in 2013 were 54.45 g/kg, 45.05 g/kg, and 37.49 g/kg, respectively, and those in 2014 were 53.96 g/kg, 42.08 g/kg and 28.59 g/kg, respectively.
The SOC contents of forest steppe in 2013 were significantly different from the soil layer of 20–30 cm and soil layers of 0–10 cm or 10–20 cm (p < 0.05), but there were not significantly differences between each soil depth in 2014. Similar to this, the contents of SOC of typical grasslands in 2013 varied significantly in each soil layer (p < 0.05), and in 2014 showed significant differences from the soil layer of 0–10 cm and soil layers of 10–20 cm or 20–30 cm (p < 0.05). In two consecutive growing seasons, the SOC contents also showed strong differences among different grassland types. Comparing three sampling plots in the vertical profile, the most significant difference in SOC between them occurs at the MP. From 2013 to 2014, the SOC contents of forest steppe were higher than those of typical grassland, except for that at the WP in 2014.

3.2. Changes of Soil Physicochemical Properties of Grassland

3.2.1. Changes of Soil Physical Properties of Grassland

It can be seen from Table 3 that the soil water content of sample plots in 2013 varied from 11.57% to 35.62%, and there was no significant difference in different soil layers of forest steppe and typical grassland in the same plot. In 2014, the soil water content varied from 9.75% to 34.65%. At the EP, the soil water content of forest steppe and typical grassland in the soil layer of 0–10 cm is different significantly from that in soil layers of 10–20 cm and 20–30 cm. At the MP, the soil water content of typical steppe in soil layer of 20–30 cm is significantly different from that in soil layers of 0–10 cm and 10–20 cm, but that of forest steppe is not different significantly in different soil layers. At the WP, the water content of forest steppe in the soil layer of 20–30 cm is different significantly from that in soil layers of 0–10 cm and 10–20 cm, but there is no significant difference of soil water content between soil layers of typical grassland. With the deepening of the soil layer, the soil water content of three sample plots shows a continuous decreasing trend. To sum up, the soil water content in 2013 was higher than in 2014, and that of same soil layers decreases from east to west (EP → MP → WP).
In 2013, the soil temperature was 13.54–21.12 °C, and there was no significant difference in different soil layers of forest steppe and typical grassland in the same plot. In 2014, the soil temperature was 10.86–20.56 °C. At the EP, the soil temperature of forest steppe in the soil layer of 20–30 cm is different significantly from that of soil layers of 0–10 cm and 10–20 cm, but there is no significant difference of soil temperature between soil layers of typical grassland. At the MP, the soil temperature of forest steppe and typical grassland is not significantly different in different soil layers. At the WP, the soil temperature of forest steppe and typical grassland in soil layer of 20–30 cm is significantly different from that of soil layers of 0–10 cm and 10–20 cm. To sum up, the soil temperature in 2013 was higher than that in 2014, and the soil temperature of same soil layers decreases from east to west (EP → MP → WP), and the soil tempearture decreases with the deepening of soil depth in the vertical section.

3.2.2. Changes of Soil Chemical Properties of Grassland

It can be seen from Table 4 that the content of alkaline nitrogen in 2013 varied from 12.58 mg/kg to 56.08 mg/kg. At the EP, there is no significant difference in alkaline nitrogen content of forest steppe and typical grassland in each soil layer. At the MP, the content of alkaline nitrogen of forest steppe in the soil layer of 10–20 cm is lower significantly than that in soil layers of 0–10 cm and 20–30 cm, while that of typical grassland in the soil layer of 20–30 cm is significantly higher than that in soil layers of 0–10 cm and 10–20 cm. At the WP, the alkaline nitrogen content of forest steppe in the soil layer of 0–10 cm is significantly higher than that in soil layers of 10–20 cm and 20–30 cm, but that of typical grassland in the soil layer of 0–10cm is significantly lower than that in soil layers of 10–20 cm and 20–30 cm. In 2014, the content of alkaline nitrogen varied from 8.47 mg/kg to 34.72 mg/kg. At the EP, there is no significant difference in the alkaline nitrogen content of forest steppe in different soil layers, but that of tyoical grassland in the soil layer of 10–20 cm is significantly lower than that in soil layers of 0–10cm and 20–30 cm. At the MP, the content of alkaline nitrogen of forest steppe in the soil layer of 20–30 cm is lower significantly than that in soil layers of 0–10 cm and 10–20 cm, while that of typical grassland is not significantly different in each soil layer. At the WP, there is no significant difference in alkaline nitrogen content of forest steppe and typical grassland in different soil layers.
In 2013, the content of available phosphorus was 28.7–210.8 mg/kg. At the EP, the content of available phosphorus of forest steppe in the soil layer of 20–30 cm is significantly lower than that in soil layers of 0–10 cm and 10–20 cm, while that of typical grassland is not significantly different in each soil layer. At the MP, the content of available phosphorus of forest steppe and typical grassland is not obviously different in different soil layers. At the WP, the content of available phosphorus of forest steppe in the soil layer of 20–30 cm is lower significantly than that in soil layers of 0–10 cm and 10–20 cm, but there is no significant difference in available phosphorus content of typical grassland in each soil layer. In 2014, the content of available phosphorus was 35–78.8 mg/kg. There was no significant difference in available phosphorus content of forest steppe and typical grassland in different soil layers.
In 2013, the content of available potassium varied from 8.6 mg/kg to 268 mg/kg. At the EP, the content of available potassium in forest steppe is significantly lower than that in soil layers of 0–10 cm and 10–20 cm, while there is no significant difference in that in typical grassland in each soil layer. At the MP, the content of available potassium of forest steppe and typical grassland in the soil layer of 0–10 cm is significantly higher than that in soil layers of 10–20 cm and 20–30 cm. At the WP, the content of available potassium of forest steppe and typical grassland is not significantly different in different soil layers. In 2014, the content of available potassium varied from 28.2 mg/kg to 273.3 mg/kg. At the EP, there is no significant difference in the available potassium content of forest steppe and typical grassland in each soil layer. At the MP, the content of available potassium of forest steppe in the soil layer of 10–20cm is significantly lower than that in soil layers of 0–10 cm and 20–30 cm, while that of typical grassland in the soil layer of 0–10 cm is significantly higher than that in soil layers of 10–20 cm and 20–30 cm. In the WP, there is no significant difference of available potassium content of forest steppe in different soil layers, while that of typical grassland in the soil layer of 20–30 cm is significantly lower than that in soil layers of 0–10 cm and 10–20 cm.
The soil pH in 2013 was 8.04–8.54, and that in 2014 was 8.1–8.61. There is no significant difference of soil pH of forest steppe and typical grassland in different soil layers. In 2013, the soil electrical conductivity varied from 3.59 us/cm to 10.37 us/cm. At the EP, the soil electrical conductivity of forest steppe in the soil layer of 10–20 cm is significantly lower than that in soil layers of 0–10 cm and 20–30 cm, while the soil electrical conductivity of typical grassland in the soil layer of 0–10 cm is significantly lower than that in soil layers of 10–20 cm and 20–30 cm. At the MP, the soil electrical conductivity of forest steppe and typical grassland is not significantly different in each soil layer. At the WP, the soil electrical conductivity of forest steppe and typical grassland in the soil layer of 20–30 cm is significantly higher than that in soil layers of 0–10 cm and 10–20 cm. In 2014, the soil electrical conductivity varied from 3.2 us/cm to 11.21 us/cm. At the EP, the soil electrical conductivity of forest steppe is not significantly different in different soil layers, but that of typical grassland in the soil layer of 0–10 cm is significantly lower than that in soil layers of 10–20 cm and 20–30 cm. In the MP and WP, there is no significant difference in the soil electrical conductivity of forest steppe and typical grassland in each soil layer.

4. Discussion

4.1. Differences of SOC Content between Forest Steppe and Typical Grassland

The content of soil organic carbon is a quantitative index to measure the storage of soil organic carbon. On the northern slope of the Qilian Mountains, the contents of SOC of forest steppe and typical grassland in 2013 were higher than those in 2014. This may be due to the relatively high temperature and relatively low precipitation in 2013, which led to more input and less decomposition of organic matter. Duncan’s multiple tests showed that there are significant differences in the SOC of forest steppe and typical grassland in different months. But the temporal changes of SOC of forest steppe and typical grassland are consistent, and the content of SOC of forest steppe is slightly higher than that of typical grassland. In vertical profile, the distribution of underground plant roots could affect the content of organic carbon. At different soil layer depths, the contents of SOC of forest steppes and typical grassland are the largest in the soil layer of 0–10 cm, and decrease gradually with increasing soil depth. This is consistent with previous studies [35,36,37,38,39]. In the grassland ecosystem, the vegetation roots mainly distribute on the surface layer of soil with a depth of 0–30 cm [40], and the humus concentrates on it, so the organic carbon also concentrates on the surface layer of soil. However, with the increase of soil depth, the distribution of vegetation roots and the accumulation of organic matter decrease, so the content of SOC also decreases correspondingly. From east to west (EP → MP → WP), the SOC contents of forest grassland and typical grassland reduces gradually. This may be related to the amount of precipitation. Affected by the continent climate, the precipitation from east to west decreases gradually, which causes the accumulation rate of organic matter to decrease and the decomposition rate to slow down, further reducing the content of SOC. In two consecutive growing seasons, the content of SOC of forest steppe is significantly higher than that of typical grasslands. This is because the plant roots of typical grassland are shallower and the input of organic matter is less, which in turn affects the accumulation of SOC [5]. Studies by Nepstad et al. [41] and Trumbore et al. [42] have shown that the main source of SOC in the deep soil layer is plant roots, which controls its circulation and distribution. Compared to typical grassland, forest steppe has more underground plant roots, so the content of SOC in the deeper soil layer is slightly higher. In summary, the spatial heterogeneity of SOC occurs with different times, different regions and different grassland types.

4.2. Relationships between Soil Physicochemical Properties and SOC of Grassland

4.2.1. Relationship between SOC and Soil Temperature and Soil Water Content of Grassland

It can be seen from Figure 4 that the SOC of different grassland types in different soil layers on the northern slope of Qilian Mountains has a significant negative correlation with soil temperature (p < 0.01), and that the negative correlation becomes weaker and weaker as the soil depth deepens. Studies have shown that the lower the soil temperature is, the weaker the soil respiration is, and vice versa [43,44,45]. When the soil respiration is weak, the decomposition rate of soil organic matter decreases and the SOC content increases [46,47]. Therefore, there is a negative correlation between soil temperature and SOC content. In soil layers of 0–10 cm, 10–20 cm and 20–30 cm, the correlation coefficients of SOC and soil temperature of forest steppe are 0.729, 0.704 and 0.556, respectively, and those of typical grassland are 0.689, 0.686 and 0.592, respectively. In different soil layers, the contents of SOC of forest steppe and typical grassland are significantly and negatively correlated with soil temperature, which is consistent with the previous studies [39,48]. For forest steppe or typical grassland, the correlation coefficient of soil temperature and SOC at the soil layer of 0–10 cm is the largest, and the smallest at the soil layer of 20–30 cm. Soil temperature affects the accumulation and differentiation of soil organic matter. If the soil temperature rises, the decomposition rate of soil organic matter accelerates, and the amount of SOC accumulation decreases. Because the affection of soil temperature to SOC becomes smaller, the negative correlation is most significant at the soil layer of 0–10 cm. In different soil layers, the correlation coefficients of soil temperature and SOC of forest steppe are all higher than those of typical grassland, which indicates that the accumulation of SOC in forest steppe is easily affected by soil temperature.
It can be seen from Figure 5 that SOC and soil water content of different grassland types in different soil layers on the northern slope of Qilian Mountains have a significant positive correlation (p < 0.01). In the soil layers of 0–10 cm, 10–20 cm and 20–30 cm, the correlation coefficients of SOC and soil water content in forest steppe are 0.846, 0.841 and 0.701, respectively, and those of typical grassland are 0.756, 0.699 and 0.592, respectively. In different soil layers, the correlations between SOC and soil water content of forest steppe are all higher than those of typical grassland. More soil water can prevent the decomposition of SOC, so the content of SOC is higher in the soil layer that has more soil water. Compared to typical grassland, the soil water in different soil layers is higher at forest steppe. Taking the soil layer of 0–10 cm and 10–20 cm as an example, the soil water contents of forest steppe are 28.28% and 22.74%, but that of typical grassland are 22.03% and 17.33%. In different soil layers, the contents of organic carbon are consistent with the contents of soil water. Changes in soil water conditions affect the accumulation and decomposition of organic matter. If the content of soil water increases, the aboveground vegetation and root biomass increase, and the decomposition rate of litter and roots accelerate [49], which has a certain impact on the accumulation of SOC. Therefore, there is a positive correlation between soil water and SOC. In each soil layer, the contents of SOC and soil water contents of forest steppe and typical grassland are significantly and positively correlated, which is consistent with the researches of Yang [50] in the Tibetan grassland of China and Fu [51] in the Alxa grassland of China.

4.2.2. Relationship between SOC and Soil Nutrients of Grassland

From Table 5, in different soil layers, the SOC and soil nutrients of different grassland types on the northern slope of Qilian Mountains have a significant positive correlation (p < 0.01). The content of SOC of forest steppe has the highest correlation with alkaline nitrogen in the soil layer of 10–20 cm (r = 0.440), but that of typical grassland has the highest correlation with alkaline nitrogen in soil layer of 0–10 cm (r = 0.298). The content of alkaline nitrogen is related to the content and quality of organic matter in the soil, and is related to the amount of nitrogen fertilizer put into the soil. The growth of vegetation in the study area is not affected by human factors, so the content of soil alkaline nitrogen is only related to the content and quality of organic matter. Nitrogen exists in the soil in the form of organic nitrogen. Plants can’t absorb and use organic nitrogen directly, but it can be converted into effective nitrogen that plants can use (Alkaline Nitrogen) by the mineralization of soil microorganisms [11]. Among different soil layers, the contents of SOC of forest steppe and typical grassland show a significant and positive correlation with alkaline nitrogen. In soil layers of 0–10 cm, the content of SOC of typical grassland has the highest correlation with alkaline nitrogen. The correlation between them is the most obvious, because the mineralization of soil microorganisms is the fastest, which makes nitrogen more quickly convert into alkaline nitrogen and promotes the accumulation of organic matter. Compared to typical grassland, the vegetation root of forest steppe distributes in deeper soil layers, so the correlation between SOC and alkaline nitrogen in the soil layer of 10–20 cm is the highest.
Phosphorus is a necessary nutrient element for all living organisms and is closely related to the content of SOC [52]. For forest steppe and typical grassland, the correlation coefficients between SOC and available phosphorus are all the largest in the soil layer of 0–10 cm, and they are 0.443 and 0.338, respectively. As the soil depth increases, the correlation between SOC and available phosphorus becomes smaller. The level of available phosphorus indicates the storage and supply capacity of phosphorus in soil, which reflects the change in soil phosphorus nutrients. As the depth of soil layer increases, the content of available phosphorus in soil decreases, which is consistent with the change of SOC with depth. Potassium is one of the nutrients for plant growth, which exists in soil in the form of effective potassium. Potassium can not only promote crop respiration and photosynthesis, but also act as an activator for many enzymes in crops [53]. The correlations between SOC and available potassium of forest steppe and typical grassland are obviously different in different soil layers. The correlation is the highest in the soil layer of 20–30 cm, and the correlation coefficients of them are 0.230 and 0.559, respectively.
In summary, the correlations between SOC with alkaline nitrogen and available phosphorus of forest steppe are higher, while the correlation between SOC and available potassium of typical grassland is higher. In addition, the content of soil nutrients is related to the soil microbial activity. If the microbial activity is more frequent, the conversion rate of soil organic matter is faster and the content of soil nutrients is higher. With the increase of the soil depth, the soil nutrients decrease gradually, which is consistent with the change of SOC. For surface soil, because the soil structure is loose, the soil aeration is better, there are more underground plant roots and the biological activities are more frequent, the soil nutrients are richer and the content of SOC is higher.

4.2.3. Relationship between SOC and pH Value and Electrical Conductivity of Grassland

Soil acidity and alkalinity affect the presence, conversion and effectiveness of soil organic matter [54], and pH values that are too high (>8.5) or too low (<5.5) will inhibit the activity of microorganisms and reduce the decomposition SOC rate [33]. The soil of forest steppe and typical grassland on the northern slope of Qilian Mountains is alkaline (Figure 6). The value of soil pH of forest steppe varies between 7.6 and 9.9, and that of typical grassland varies between 7.2 and 8.9. There are significant negative correlations between SOC and the soil pH of forest steppe and typical grassland at different soil layers (p < 0.01), which is consistent with the researched results by Zhang Peng et al. [33]. The soil environment of the study area is generally alkaline, which inhibits the activity of microbes, and affects soil respiration and reduces the input of organic carbon [54]. In each soil layer of 0–10 cm, 10–20 cm and 20–30 cm, the correlation coefficients between SOC and soil pH of forest steppe are 0.745, 0.680 and 0.495, respectively, and those of typical grassland are 0.829, 0.764 and 0.510, respectively. As the soil layer deepens, the soil pH increases correspondingly.
As can be seen from Figure 7, in different soil layers, SOC and soil electrical conductivity of forest steppe and typical grassland have significantly negative correlations (p < 0.01), which is consistent with the results of Feng Jin et al. [20]. The soil electrical conductivity reflects the state of soil salinity under certain water conditions. The soil electrical conductivity of forest steppe in soil layers of 0–10 cm and 20–30 cm concentrates on 2–6 us/cm, but in soil layers of 10–20 cm concentrate on 3 us/cm–5 us/cm. However, the soil electrical conductivity of typical grassland in soil layers of 0–10 cm and 20–30 cm concentrate on 3–5 us/cm, but in soil layer of 10–20 cm concentrates on 2–6 us/cm. In general, the correlations between SOC and soil electrical conductivity become weaker with the soil layer deepening.

4.2.4. Effects of Soil Physicochemical Properties on SOC of Grassland

In different soil layers, the differences of soil physicochemical properties of grassland affect the content of SOC [55], which in turn affects the distribution of SOC of grassland. In addition, the accumulation of SOC of grassland comes mostly from the littering of aboveground vegetation and the transformation of underground plant roots. Water and heat conditions affect the spatial distribution pattern of SOC [56,57]. From east to west of the Qilian Mountain (EP → MP → WP), in both forest steppe and typical grassland, the content of soil water reduces gradually and the soil temperature also reduces gradually, which causes the accumulation of soil organic matter to decrease, and further causes the content of SOC to decrease. Studies have shown that the content of SOC directly affects the soil nutrient status [58]. When the content of SOC increases, more nitrogen, phosphorus and potassium are released in the soil, which promote the growth of aboveground vegetation, and promote the content of SOC. The soil pH values of forest steppe and typical grassland in the study area exceed 7, and the content of SOC is significantly and negatively correlated with the soil pH. Soil electrical conductivity has a significant impact on soil organic matter. The soil electrical conductivity is higher, soil salinity is also higher, but the accumulation of soil organic matter is lower. In each soil layer, soil electrical conductivity and SOC of forest steppe and typical grassland show a significant and negative correlation. Although there are close relationships between soil physicochemical properties and SOC of grassland in study area, their change mechanism and process need to be further studied.

5. Conclusions

After selecting six plots on the east, middle and west of forest steppe and typical grasslands on the northern slope in the Qilian Mountains during two consecutive growing seasons from 2013 to 2014, the spatiotemporal differentiation of SOC and its relationships with soil physicochemical properties were studied. The following results were concluded from this the research in the study area.
  • The spatial and temporal difference of SOC at forest steppe and typical grassland is significant. On the time scale, the content of SOC in 2013 was higher than that in 2014. On the spatial scale, the content of SOC of forest steppe and typical grassland decreased gradually from east to west.
  • The contents of SOC of forest steppes are higher than those of typical grassland, and both of them decrease with the increase of soil depth. There is a significant difference in the content of SOC among soil layers of 0~10 cm, 10–20 cm and 20–30 cm (p < 0.05). In each soil layer, the variation coefficients of SOC increase from east to west (EP > MP > WP).
  • Positive correlations appear significantly between SOC and soil water content and soil nutrients (alkaline nitrogen, available phosphorus, available potassium) (p < 0.01), but negative correlations appear significantly between SOC and soil temperature, soil pH and soil electrical conductivity (p < 0.01).
The physicochemical properties of soil have an important impact on the growth of plants, which in turn affects the accumulation of soil organic carbon. The dynamic change process of soil organic carbon of grassland includes two aspects; on the one hand the input of carbon is the process by which humus solidifies animal and plant residues in the soil, and on the other hand the output of carbon is the process of soil respiration. From a micro level, the soil surface and the microenvironment in the soil surface affect the input and transformation of carbon, and control the formation and decomposition of organic carbon. From a macro perspective, climate conditions and the human environment affect the formation and decomposition of regional organic carbon. With the background of global warming, the grassland ecosystem may change from a “carbon pool” to a “carbon source”. Therefore, improving the carbon sequestration capacity of grasslands and promoting the virtuous cycle of the ecosystem are important aspects of future research into the carbon cycle.

Author Contributions

Data curation, W.J.; Investigation, W.J.; Methodology, L.Y.; Software, Y.S., Z.Z., H.X.; Writing—original draft preparation L.Y.; Writing—review and editing, W.J., G.Z. All authors have read and agreed to the published version of the manuscript.

Funding

This research was supported by National Natural Science Foundation of China (41661005, 41867030, 41661084), National Natural Science Foundation innovation research group science foundation of China (41421061), and Autonomous project of State Key Laboratory of Cryosphere Sciences (SKLCS-ZZ-2017).

Acknowledgments

The authors greatly thank the colleagues in the Northwest Normal University for their help in field work, laboratory analysis, data processing. We are grateful to anonymous reviewers and editorial staff for their constructive and helpful suggestions.

Conflicts of Interest

The authors declare no conflict of interest.

References

  1. Post, W.M.; Emanuel, W.R.; Zinke, P.J.; Stangenberger, A.G. Soil carbon pools and world life zones. Nature 1982, 298, 156–159. [Google Scholar] [CrossRef]
  2. Schlesinger, W.H. Evidence from chronoseauence studies for a low carbon-storage potential of soil. Nature 1990, 348, 232–234. [Google Scholar] [CrossRef]
  3. Li, X.Y. Soil Chemistry; Higher Education Press: Beijing, China, 2001. [Google Scholar]
  4. Wen, Q.X. The composition, formation and decomposition of soil organic matter. Soil 1984, 16, 121–129. [Google Scholar]
  5. Jobbágy, E.G.; Jackson, R.B. The Vertical Distribution of Soil Organic Carbon and Its Relation to Climate and Vegetation. Ecol. Appl. 2000, 10, 423–436. [Google Scholar] [CrossRef]
  6. Curlock, J.M.O.S.; Hall, D.O. The global carbon sink: A grassland perspective. Glob. Chang. Biol. 2010, 4, 229–233. [Google Scholar] [CrossRef]
  7. Wang, W.; Fang, J.Y. Soil respiration and human effects on global grasslands. Glob. Planet. Chang. 2008, 67, 20–28. [Google Scholar] [CrossRef]
  8. Bai, Y.F.; Huang, J.H.; Zheng, S.X.; Pan, Q.M. Drivers and regulating mechanisms of grassland and desert ecosystem services. Chin. J. Plant Ecol. 2014, 38, 93–102. [Google Scholar]
  9. Bai, Y.F.; Chen, S.P. Carbon sequestration of Chinese grassland ecosystems: Stock, rate and potential. Chin. J. Plant Ecol. 2018, 42, 261–264. [Google Scholar]
  10. Fang, J.; Yang, Y.; Ma, W.; Mohammat, A.; Shen, H. Ecosystem carbon stocks and their changes in China’s grasslands. Sci. China Life Sci. 2010, 53, 757–765. [Google Scholar] [CrossRef] [PubMed]
  11. Cao, J.J. Effects of Grassland Management Changes on Soil Organic Carbon and Nitrogen Pools in the Qilian Mountains, China. Master’s Thesis, Gansu Agricultural University, Gansu, China, 2010. [Google Scholar]
  12. Xue, M.Y. Spatiotemporal Variations and Environmental Controls of Topsoil Organic Carbon in Yunnan Province; Yunnan University: Yunnan, China, 2017. [Google Scholar]
  13. Bohn, H.L. Estimate of Organic Carbon in World Soils. Soil Sci. Soc. Am. J. 1976, 40, 468–470. [Google Scholar] [CrossRef]
  14. Eswaran, H.; Berg, E.V.D.; Reich, P. Organic Carbon in Soils of the World. Soil Sci. Soc. Am. J. 1993, 90, 269–273. [Google Scholar] [CrossRef]
  15. Wang, S.Q.; Zhou, C.H.; Li, K.R. Analysis on Spatial Distribution Characteristics of Soil Organic Carbon Reservoir in China. Acta Geogr. Sin. 2000, 55, 533–544. [Google Scholar]
  16. Pan, G.X. Soil Organic Carbon Stock, Dynamics and Climate Change Mitigation of China. Clim. Chang. Res. 2008, 4, 282–289. [Google Scholar]
  17. Post, W.M.; Deangelis, D.L. The Global Carbon Cycle. Am. Sci. 1990, 241, 1736–1737. [Google Scholar]
  18. Wu, H.; Guo, Z.; Peng, C. Distribution and storage of soil organic carbon in China. Glob. Biogeochem. Cycles 2003, 17, 1048. [Google Scholar] [CrossRef]
  19. Wen, W.; Zhou, B.T.; Wang, Y.F. Effects of spatio-temporal changes of land-use on soil organic carbon inYangjuangou watershed in Loess Plateau, China. Acta Ecol. Sin. 2015, 35, 6060–6069. [Google Scholar]
  20. Feng, J.; Cui, D.S.; Guo, J. Soil organic carbon in relation to soil physicochemical properties in Xinjiang. Pratacultural Sci. 2017, 34, 692–697. [Google Scholar]
  21. Dai, E.F.; Zhai, R.X.; Ge, Q.S. Topsoil organic carbon storage and its changes in Inner Mongolia grassland from the 1980s to 2010s. Acta Geogr. Sin. 2014, 69, 1651–1660. [Google Scholar]
  22. Sun, F.D.; Lu, H.; Hu, Y.X. The Soil Organic Carbon Storage and Its Spatial Characteristics in an Alpine Degraded Grassland of Zoige, Southwest China. Chin. J. Grassl. 2016, 38, 78–84. [Google Scholar]
  23. Wang, W.; Li, Z.B.; Li, P. Effect of Ecological Construction on Soil Organic Carbon Distribution on Slope land. Res. Soil Water Conserv. 2020, 27, 35–41. [Google Scholar]
  24. Guo, L.H.; Gao, J.B.; Wu, S.H. Spatial-Temporal Change of Soil Organic Carbon and Its Susceptibility to Climate Change in Inner Mongolia Grassland during 1981–2010. Res. Environ. Sci. 2016, 29, 1050–1058. [Google Scholar]
  25. Raven, J.A.; Handley, L.L.; Andrews, M. Global aspects of C/N interactions determining plant-environment interactions. J. Exp. Bot. 2004, 55, 11–25. [Google Scholar] [CrossRef] [PubMed]
  26. Li, H.Y.; Yao, T.; Zhang, J.H. Temporal and Spatial Variation Characteristics of Grassland Soil Nutrients in Different Disturbed Habitats in Eastern Qilian Mountains. J. Soil Water Conserv. 2018, 32, 249–257. [Google Scholar]
  27. Chen, L.F.; He, Z.B.; Du, J.; Yang, J.J.; Zhu, X. Patterns and environmental controls of soil organic carbon and total nitrogen in alpine ecosystems of northwestern China. Catena 2016, 137, 37–43. [Google Scholar] [CrossRef]
  28. Zhu, M.; Feng, Q.; Qin, Y.Y.; Cao, J.J.; Zhang, M.X.; Liu, W.; Deo, R.C.; Zhang, C.Q.; Li, R.L.; Li, B.F. The role of topography in shaping the spatial patterns of soil organic carbon. Catena 2019, 176, 296–305. [Google Scholar] [CrossRef]
  29. Song, X.D.; Brus, D.J.; Liu, F.; Li, D.C.; Zhao, Y.G.; Yang, J.L.; Zhang, G.L. Mapping soil organic carbon content by geographically weighted regression: A case study in the Heihe River Basin, China. Geoderma 2016, 261, 11–22. [Google Scholar] [CrossRef]
  30. Yang, R.; Su, Y.Z.; Wang, M.; Wang, T.; Yang, X.; Fan, G.P.; Wu, T.C. Spatial pattern of soil organic carbon in desert grasslands of the diluvial-alluvial plains of northern Qilian Mountains. J. Arid Land 2014, 6, 136–144. [Google Scholar] [CrossRef]
  31. He, Z.B.; Zhao, W.Z.; Liu, H.; Su, Y.Z. Characteristics and influencing factors of topsoil organic carbon in Qinghai spruce forest in Qilian Mountains. Acta Ecol. Sin 2006, 26, 2572–2577. [Google Scholar]
  32. Zhang, Y.; Jia, W.; Zhao, Y.; Liu, Y.; Zhao, Z.; Chen, J. Spatio-temporal Variations of Net Primary Productivity of Qilian Mountains Vegetation Based on CASA model. Acta Bot. Boreali-Occident. Sin. 2014, 34, 2085–2091. [Google Scholar]
  33. Zhang, P.; Zhang, T.; Chen, N.L. Vertical distribution patterns of soil organic carbon and total nitrogen and related affecting factors along northern slope of Qilian Mountains. Chin. J. Appl. Ecol. 2009, 20, 518–524. [Google Scholar]
  34. Zhu, M.; Feng, Q.; Qin, Y.; Cao, J.; Li, H.; Zhao, Y. Soil organic carbon as functions of slope aspects and soil depths in a semiarid alpine region of Northwest China. Catena 2017, 152, 94–102. [Google Scholar] [CrossRef]
  35. Gu, Z.K.; Du, G.Z.; Zhu, W.X. Distribution pattern of soil nutrients in different grassland types and soil depths in the eastern Tibet Plateau. Pratacultural Sci. 2012, 29, 507–512. [Google Scholar]
  36. Lavado, C.R.S. Soil Nutrients and Salinity after Long-Term Grazing Exclusion in a Flooding Pampa Grassland. J. Range Manag. 1996, 49, 182–187. [Google Scholar] [CrossRef]
  37. Fang, Y.T.; Mo, J.M.; Sandra, B. Storage and distribution of soil organic carbon in Dinghushan Biosphere Reserve. Acta Ecol. Sin. 2004, 24, 135–142. [Google Scholar]
  38. Sampson, R.N.; Apps, M.; Brown, S.; Cole, C.V.; Downing, J.; Heath, L.S.; Ojima, D.S.; Smith, T.M.; Solomon, A.M.; Wisniewski, J. Workshop Summary Statement: Terrestrial Bioshperic Carbon Fluxes Quantification of Sinks and Sources of CO2. Water Air Soil Pollut. 1993, 70, 3–15. [Google Scholar] [CrossRef]
  39. Liu, W.; Cheng, J.; Gao, Y. Distribution of soil organic carbon in grassland on loess plateau and its influencing factors. Acta Pedol. Sin. 2012, 49, 68–76. [Google Scholar]
  40. Li, M.F.; Dong, Y.S.; Geng, Y.B.; Qi, Y.C. Analyses of the Correlation between the Fluxes of CO2 and the Distribution of C&N in Grassland Soils. Environ. Sci. 2004, 25, 7–11. [Google Scholar]
  41. Nepstad, D.C.; de Carvalho, C.R.; Davidson, E.A.; Jipp, P.H.; Lefebvre, P.A.; Negreiros, G.H.; da Silva, E.D.; Stone, T.A.; Trumbore, S.E.; Vieira, S. The role of deep roots in the hydrological and carbon cycles of Amazonian forests and pastures. Nature 1994, 372, 666–669. [Google Scholar] [CrossRef]
  42. Trumbore, S.E.; Davidson, E.A.; Barbosa de Camargo, P.; Nepstad, D.C.; Martinelli, L.A. Belowground cycling of carbon in forests and pastures of eastern Amazonia. Glob. Biogeochem. Cycles 1995, 9, 515–528. [Google Scholar] [CrossRef]
  43. Yan, J.X.; Qin, Z.D.; Zhang, Y.H.; Li, H.J. Effect of soil temperature and moisture on soil CO2efflux in a Pinus tabulaeformis forest. Acta Ecol. Sin. 2009, 29, 6366–6376. [Google Scholar]
  44. Curiel, Y.J.; Janssens, I.A.; Carrara, A.; Ceulemans, R. Interactive effects of temperature and precipitation on soil respiration in a temperate maritime pine forest. Tree Physiol. 2003, 23, 1263–1270. [Google Scholar]
  45. Janssens, I.; Pilegaard, K. Large seasonal changes in Q10of soil respiration in a beech forest. Glob. Chang. Biol. 2003, 9, 911–918. [Google Scholar] [CrossRef]
  46. Wan, S.; Norby, R.J.; Ledford, J.; Weltzin, J.F. Responses of soil respiration to elevated CO2, air warming, and changing soil water availability in a model old-field grassland. Glob. Chang. Biol. 2007, 13, 2411–2424. [Google Scholar] [CrossRef]
  47. Dufresne, J.; Fairhead, L.; le Treut, H.; Berthelot, M.; Bopp, L.; Ciais, P.; Friedlingstein, P.; Monfray, P. On the magnitude of positive feedback between future climate change and the carbon cycle. Geophys. Res. Lett. 2002, 29. [Google Scholar] [CrossRef]
  48. Dintwe, K.; Okin, G.S. Soil organic carbon in savannas decreases with anthropogenic climate change. Geoderma 2018, 309, 7–16. [Google Scholar] [CrossRef]
  49. Cheng, J.M.; Wan, H.E.; Hu, X.M.; Zhao, Y.Y. Accumulation and decomposition of litter in the semiarid enclosed grassland. Acta Ecol. Sin. 2006, 26, 1207–1212. [Google Scholar]
  50. Yang, Y.; Fang, J.; Tang, Y.; Ji, C.; Zheng, C.; He, J.; Zhu, B. Storage, patterns and controls of soil organic carbon in the Tibetan grasslands. Glob. Chang. Biol. 2008, 14, 1592–1599. [Google Scholar] [CrossRef]
  51. Hua, F.; Yaming, C.; Yanrong, W.; Changgui, W. Organic carbon content in major grassland types in Alex, Inner Mongolia. Acta Ecol. Sin. 2004, 24, 469–476. [Google Scholar]
  52. Chen, Q.M.; Wang, S.Q.; Yu, G.R. Spatial characteristics of soil organic carbon and nitrogen in Inner Mongolia. Chin. J. Appl. Ecol. 2003, 14, 699–704. [Google Scholar]
  53. Guo, Y.E.; Li, F.; Li, Y.D.; Duan, T.Y. Progress in the elucidation of the mechanisms of arbuscular mycorrhizal fungi in promotion of phosphorus uptake and utilization by plants. Pratacultural Sci. 2016, 33, 2379–2390. [Google Scholar]
  54. Xue, Y.; Wu, Z.J.; Zhang, L.L.; Li, G.P.; Dong, X.X.; Nie, Y.X. Inhibitory effect of DMPP on soil nitrification as affected by soil moisture content, pH and organic matter. Chin. J. Appl. Ecol. 2012, 23, 2663–2669. [Google Scholar]
  55. Jin, V.L.; Haney, R.L.; Fay, P.A.; Polley, H.W. Soil type and moisture regimecontrol microbial C and N mineralization in grassland soils morethan atmospheric CO2- induced changes in litter quality. Soil Biol. Biochem. 2013, 58, 172–180. [Google Scholar] [CrossRef]
  56. Jonathan, B.; Brian, H.; Andrew, W.; Mark, O.H.; Robert, B. Slope, aspect and climate: Spatially explicit and implicit models of topographic microclimate in chalk grassland. Ecol. Model. 2008, 216, 47–59. [Google Scholar]
  57. Bruce, M.C.; Dylan, K. Equations for potential annual direct incident radiation and heat load. J. Veg. Sci. 2002, 13, 603–606. [Google Scholar]
  58. Mi, N.; Wang, S.Q.; Liu, J.Y.; Yu, G.R.; Zhang, W.J.; Jobbágy, E. Soil inorganic carbon storage pattern in China. Glob. Chang. Biol. 2008, 14, 2380–2387. [Google Scholar] [CrossRef]
Figure 1. Location of the Qilian Mountains and distribution of sampling points.
Figure 1. Location of the Qilian Mountains and distribution of sampling points.
Sustainability 12 09396 g001
Figure 2. Temporal changes of SOC of different grassland types.
Figure 2. Temporal changes of SOC of different grassland types.
Sustainability 12 09396 g002
Figure 3. Vertical changes of SOC of different grassland types.
Figure 3. Vertical changes of SOC of different grassland types.
Sustainability 12 09396 g003
Figure 4. Relationship between SOC and soil temperature of different grassland types in different soil layers.
Figure 4. Relationship between SOC and soil temperature of different grassland types in different soil layers.
Sustainability 12 09396 g004
Figure 5. Relationship between SOC and soil water content of different grassland types in different soil layers.
Figure 5. Relationship between SOC and soil water content of different grassland types in different soil layers.
Sustainability 12 09396 g005
Figure 6. Relationship between SOC and soil pH of different grassland types in different soil layers.
Figure 6. Relationship between SOC and soil pH of different grassland types in different soil layers.
Sustainability 12 09396 g006
Figure 7. Relationship between SOC and EC of different grassland types in different soil layers.
Figure 7. Relationship between SOC and EC of different grassland types in different soil layers.
Sustainability 12 09396 g007
Table 1. Basic overview of sampling points.
Table 1. Basic overview of sampling points.
Sampling PointVegetation TypesLong-ELat-NAlt(m)Coenotype
QingyangshanchaForest steppe101.9337.732710Stipa sareptana var. krylovii + Carex heterostachya
Typical grassland101.9737.792487Artemisia capillaris + Medicago ruthenica (L.) Trautv.
WomashanForest steppe100.6638.412722Stipa sareptana var. krylovii + Carex spp
Typical grassland100.6638.402534Stipa sareptana var. krylovii + Potentilla acaulis
EbotaiziForest steppe99.5938.792762Leymus secalinus + Stipa grandis
Typical grassland99.6038.802608Carex spp + Stipa grandis
Table 2. Descriptive statistics of SOC content of different grassland types in different soil layers.
Table 2. Descriptive statistics of SOC content of different grassland types in different soil layers.
Sample PlotVegetation TypesSoil Depth (cm)2013(Year)2014(Year)
SOC (g/kg)Min (g/kg)Max (g/kg)SECV (%)SOC (g/kg)Min (g/kg)Max (g/kg)SECV (%)
EPForest Steppe0–1054.45 ± 4.28a50.2961.184.287.8653.96 ± 4.72a48.3160.194.728.75
10–2041.58 ± 0.20b41.2341.670.200.4739.73 ± 3.23b34.0841.563.238.12
20–3039.62 ± 2.54c35.2941.452.546.4138.24 ± 3.48b32.2140.573.489.11
Typical Grassland0–1036.87 ± 2.76a34.7841.672.767.5041.87 ± 4.38a38.0849.304.3810.46
10–2035.07 ± 3.74b31.7841.453.7410.6832.85 ± 6.06b24.7341.386.0618.44
20–3028.48 ± 3.71b23.8533.133.7113.0326.97 ± 3.51b23.8532.323.5113.02
MPForest steppe0–1045.05 ± 3.57a40.7949.633.577.9242.80 ± 4.92a37.4250.794.9211.49
10–2037.65 ± 2.96a34.8541.672.967.8637.00 ± 2.82a32.6540.352.827.63
20–3035.09 ± 0.93b34.1936.390.932.6434.80 ± 3.43a31.3340.133.439.86
Typical Grassland0–1040.13 ± 15.39a25.5462.5015.3938.3639.77 ± 12.95a25.7155.5712.9532.58
10–2026.09±3.85b22.9731.993.8514.7728.42 ± 5.58b22.8635.185.5819.62
20–3022.31 ± 4.47c15.4927.594.4720.0424.86 ± 5.15b19.2331.005.1520.72
WPForest Steppe0–1037.49 ± 14.12a28.1862.5014.1237.6628.59 ± 4.03a22.4133.134.0314.11
10–2024.24 ± 3.80b20.9930.673.8015.6623.12 ± 1.81b20.9924.951.817.81
20–3021.60 ± 2.88b18.7926.272.8813.3420.31 ± 3.20b15.6023.853.2015.77
Typical Grassland0–1029.56 ± 6.74a23.6341.016.7422.8229.54 ± 5.26a24.3938.085.2617.81
10–2026.83±4.41b23.0134.084.4116.4424.57 ± 1.80b21.8726.491.807.33
20–3022.03 ± 1.36b19.8923.231.366.1721.54 ± 1.82b18.7923.631.828.45
APForest Steppe0–1045.66 ± 10.83a28.1862.5010.8323.7341.78 ± 11.55a22.4160.1911.5527.64
10–2034.49 ± 8.10b20.9941.678.1023.4933.29 ± 7.93b20.9941.567.9323.82
20–3032.10 ± 8.20b18.7941.458.2025.5331.12 ± 8.63b15.6040.578.6327.73
Typical Grassland0–1035.52 ± 10.19a23.6362.5010.1928.6937.06 ± 9.61a24.3955.579.6125.94
10–2029.33 ± 5.62b22.9741.455.6219.1528.62 ± 5.71b21.8741.385.7119.94
20–3024.27 ± 4.43b15.4933.134.4318.2724.46 ± 4.17b18.7932.324.1717.06
The soil organic carbon data are the mean ± SE. Different letters in the same type indicate significant differences (p < 0.05) SE: standard error, CV: coefficient of variation.
Table 3. Changes of soil physical properties in different soil layers.
Table 3. Changes of soil physical properties in different soil layers.
Sample PlotVegetation TypesSoil Depth (cm)2013(Year)2014(Year)
Soil Water Content (%)Soil Temperature (°C)Soil Water Content (%)Soil Temperature (°C)
EPForest Steppe0–1035.62 ± 9.7a17.1 ± 6.16a34.65 ± 10.22a17.96 ± 4.95a
10–2031.37 ± 10.98a14.78 ± 4.69a27.06 ± 7.86b13.72 ± 4.1a
20–3028.69 ± 11.8a13.54 ± 3.35a24.39 ± 8.17b10.92 ± 2.48b
Typical Grassland0–1025.26 ± 9.97a21.12 ± 5.54a23.17 ± 4.41a20.56 ± 4.69a
10–2017.33 ± 6.47a19.26 ± 5.71a19.4 ± 4.86b19.44 ± 5.5a
20–3014.77 ± 6.76a17.44 ± 3.81a18.42 ± 5.25b16.42 ± 4.36a
MPForest Steppe0–1023.49 ± 15.1a17.12 ± 5.57a33.98 ± 3.74a14.8 ± 4.25a
10–2019.2 ± 13.59a14.9 ± 2.94a29.28 ± 2.42a11.66 ± 3.99a
20–3018.31 ± 10.46a14.54 ± 2.37a25.33 ± 5.66a10.86 ± 3.21a
Typical Grassland0–1019.08 ± 13.76a19.32 ± 5.32a26.48 ± 2.68a20.92 ± 2.95a
10–2012.22 ± 8.78a17.34 ± 4.35a23.74 ± 3.59a17.86 ± 4.44a
20–3011.57 ± 8.93a16.42 ± 3.43a20.62 ± 6.2b14.54 ± 3.35a
WPForest steppe0–1019.24 ± 11.21a15.4 ± 4.43a19.71 ± 4.83a19.44 ± 9.04a
10–2016.37 ± 11.58a14.82 ± 2.93a11.18 ± 2.69a16 ± 6.58a
20–3015.23 ± 12.01a14.36 ± 2.67a9.75 ± 2.16b13.44 ± 3.57b
Typical Grassland0–1019.49 ± 11.66a15.9 ± 4.39a18.7 ± 4.31a18.76 ± 6.23a
10–2016.99 ± 12.14a15.08 ± 3.91a14.31 ± 3.42a15.54 ± 5.35a
20–3015.72 ± 12.59a14.96 ± 2.94a11.91 ± 2.97a12.78 ± 3.96b
Different letters in the same type indicate significant differences (p < 0.05).
Table 4. Changes of soil chemical properties in different soil layers.
Table 4. Changes of soil chemical properties in different soil layers.
Sample PlotVegetation Types 2013 (Year) 2014 (Year)
Soil Detph (cm)Alkaline Nitrogen (mg/kg)Available Phosphorus (mg/kg)Available Potassium (mg/kg)pHSoil EC (us/cm)Alkaline Nitrogen (mg/kg)Available Phosphorus (mg/kg)Available Potassium (mg/kg)pHSoil EC (us/cm)
EPForest Steppe0–1054.45 ± 4.28a160.8 ± 133.04a194.6 ± 159.74a8.04 ± 0.3a7.47 ± 1.77a24.11 ± 14.25a60.4 ± 58.99a161.4 ± 54.14a24.11 ± 14.25a5.07 ± 1.82a
10–2041.58 ± 0.2a210.8 ± 153.19a72.4 ± 79.92a8.15 ± 0.15a6.24 ± 0.86b20.16 ± 15.89a48.2 ± 45.91a92.9 ± 75.08a20.16 ± 15.89a4.24 ± 0.96a
20–3039.62 ± 2.54a52.8 ± 27.55b33.2 ± 37.27b8.19 ± 0.22a7.49 ± 3.8a30.95 ± 25.97a68.6 ± 70.34a62.8 ± 54.43a30.95 ± 25.97a4.02 ± 0.69a
Typical Grassland0–1036.87 ± 2.76a76.9 ± 60.2a246 ± 99.97a8.18 ± 0.5a5.23 ± 0.75b19.2 ± 23.71a61.2 ± 47.71a273.3 ± 102.49a19.2 ± 23.71a4.29 ± 1.03b
10–2035.07 ± 3.74a89.6 ± 78.42a268 ± 78.77a8.24 ± 0.11a9.73 ± 4.29a12.77 ± 5.19b39.2 ± 36.99a261.9 ± 124.93a12.77 ± 5.19b11.21 ± 7.06a
20–3028.48 ± 3.71a79.2 ± 96.95a188.2 ± 103.73a8.3 ± 0.09a10.37 ± 4.52a23.35 ± 11.56a72.5 ± 97.81a254.3 ± 74.98a23.35 ± 11.56a8.25 ± 6.88a
MPForest Steppe0–1032.25 ± 32.62a48.2 ± 59.88a160.6 ± 113.57a8.1 ± 0.15a5.4 ± 1.09a20.04 ± 13.88a60.3 ± 51.34a67.6 ± 29.71a20.04 ± 13.88a3.21 ± 0.29a
10–2020.68 ± 10.46b99.2 ± 107.58a25.4 ± 32.07b8.26 ± 0.11a4.49 ± 0.77a18.73 ± 13.18a63.1 ± 45.08a34.5 ± 47.23b18.73 ± 13.18a3.22 ± 0.47a
20–3030.68 ± 33.77a94.6 ± 69.86a21.8 ± 13.37b8.29 ± 0.12a4.59 ± 0.76a8.47 ± 6.62b53.2 ± 63.14a70.6 ± 118.78a8.47 ± 6.62b3.2 ± 0.42a
Typical Grassland0–1014.6 ± 8.53b28.7 ± 21.76a63.6 ± 55.68a8.37 ± 0.12a4.06 ± 0.42a23.45 ± 32.98a47.8 ± 38.57a176.1 ± 132.01a23.45 ± 32.98a3.87 ± 0.77a
10–2019.8 ± 19.87b30.7 ± 27.39a8.6 ± 3.78b8.33 ± 0.07a3.98 ± 0.21a18.78 ± 17.46a35 ± 25.32a40.2 ± 58.68b18.78 ± 17.46a3.83 ± 0.78a
20–3032.65 ± 29.01a49.6 ± 45.57a10.6 ± 8.82b8.49 ± 0.17a3.59 ± 0.96a34.72 ± 41.6a46.2 ± 53.27a28.2 ± 48.93b34.72 ± 41.6a3.82 ± 0.71a
WPForest Steppe0–1056.08 ± 96.26a64.1 ± 51.59a206.6 ± 114.28a8.3 ± 0.17a4.68 ± 0.62b8.6 ± 5.23a45.7 ± 47.07a175.3 ± 64.46a8.6 ± 5.23a3.01 ± 0.80a
10–2012.58 ± 8.92b92.95 ± 146.86a143.2 ± 88.16a8.42 ± 0.07a4.21 ± 0.34b10.95 ± 8.08a53.7 ± 78.04a197.6 ± 88.69a10.95 ± 8.08a3 ± 0.58a
20–3025.8 ± 25.96b38.15 ± 56.97b171.4 ± 120.95a8.54 ± 0.21a5.2 ± 2.31a13.1 ± 10.05a78.8 ± 114.07a216.3 ± 106.86a13.1 ± 10.05a3.62 ± 0.74a
Typical Grassland0–1023.56 ± 19.48b38.1 ± 31.6a78.8 ± 64.29a8.44 ± 0.1a4.24 ± 0.23b9.15 ± 8.53a77.9 ± 68a138.6 ± 73.12a9.15 ± 8.53a3.69 ± 1.17a
10–2031.62 ± 38.67a33 ± 18.12a70.8 ± 53.18a8.49 ± 0.06a5.57 ± 2.89b9.45 ± 5.42a73.7 ± 75.75a105.6 ± 60.05a9.45 ± 5.42a5.39 ± 1.65a
20–3038.96 ± 46.81a44.4 ± 42.95a43.4 ± 55.67a8.55 ± 0.12a9.14 ± 8.69a18.4 ± 15.89a42.7 ± 47a65.6 ± 52.17b18.4 ± 15.89a5.08 ± 2.61a
Different letters in the same type indicate significant differences (p < 0.05).
Table 5. Relationship between SOC and soil nutrient elements of different grassland types in different soil layers.
Table 5. Relationship between SOC and soil nutrient elements of different grassland types in different soil layers.
IndexSoil Depth (cm)Forest SteppeTypical Grassland
Regression EquationCorrelation Coefficient rSignificance Level pRegression EquationCorrelation Coefficient rSignificance Level p
Alkaline Nitrogen (mg/kg)0–10y = 0.08x + 41.1630.315<0.01y = 0.15x + 33.5260.298< 0.01
10–20y = 0.18x + 29.7240.440<0.01y = 0.01x + 28.8240.032< 0.01
20–30y = 0.03x + 30.4480.126<0.01y = 0.03x + 23.3240.228< 0.01
Available Phosphorus (mg/kg)0–10y = 0.06x + 39.0770.443<0.01y = 0.07x + 32.4180.338< 0.01
10–20y = 0.02x + 31.5170.310<0.01y = 0.02x + 27.8520.205< 0.01
20–30y = 0.01x + 30.3880.114<0.01y = 0.01x + 24.0670.077< 0.01
Available Potassium (mg/kg)0–10y = 0.02x + 39.9850.210<0.01y = 0.03x + 30.7040.405< 0.01
10–20y = 0.02x + 32.0010.190<0.01y = 0.02x + 25.9040.540< 0.01
20–30y = 0.05x + 25.8910.230<0.01y = 0.02x + 22.2260.559< 0.01
Publisher’s Note: MDPI stays neutral with regard to jurisdictional claims in published maps and institutional affiliations.

Share and Cite

MDPI and ACS Style

Yang, L.; Jia, W.; Shi, Y.; Zhang, Z.; Xiong, H.; Zhu, G. Spatiotemporal Differentiation of Soil Organic Carbon of Grassland and Its Relationship with Soil Physicochemical Properties on the Northern Slope of Qilian Mountains, China. Sustainability 2020, 12, 9396. https://doi.org/10.3390/su12229396

AMA Style

Yang L, Jia W, Shi Y, Zhang Z, Xiong H, Zhu G. Spatiotemporal Differentiation of Soil Organic Carbon of Grassland and Its Relationship with Soil Physicochemical Properties on the Northern Slope of Qilian Mountains, China. Sustainability. 2020; 12(22):9396. https://doi.org/10.3390/su12229396

Chicago/Turabian Style

Yang, Le, Wenxiong Jia, Yang Shi, Zhiyuan Zhang, Hui Xiong, and Guofeng Zhu. 2020. "Spatiotemporal Differentiation of Soil Organic Carbon of Grassland and Its Relationship with Soil Physicochemical Properties on the Northern Slope of Qilian Mountains, China" Sustainability 12, no. 22: 9396. https://doi.org/10.3390/su12229396

APA Style

Yang, L., Jia, W., Shi, Y., Zhang, Z., Xiong, H., & Zhu, G. (2020). Spatiotemporal Differentiation of Soil Organic Carbon of Grassland and Its Relationship with Soil Physicochemical Properties on the Northern Slope of Qilian Mountains, China. Sustainability, 12(22), 9396. https://doi.org/10.3390/su12229396

Note that from the first issue of 2016, this journal uses article numbers instead of page numbers. See further details here.

Article Metrics

Back to TopTop