Effects of Deep and Shallow Tillage with Straw Incorporation on Soil Organic Carbon, Total Nitrogen and Enzyme Activities in Northeast China
Abstract
1. Introduction
2. Materials and Methods
2.1. Site Description
2.2. Experiment Design and Crop Management
2.3. Sampling and Measurements
2.4. Statistical Analysis
3. Results
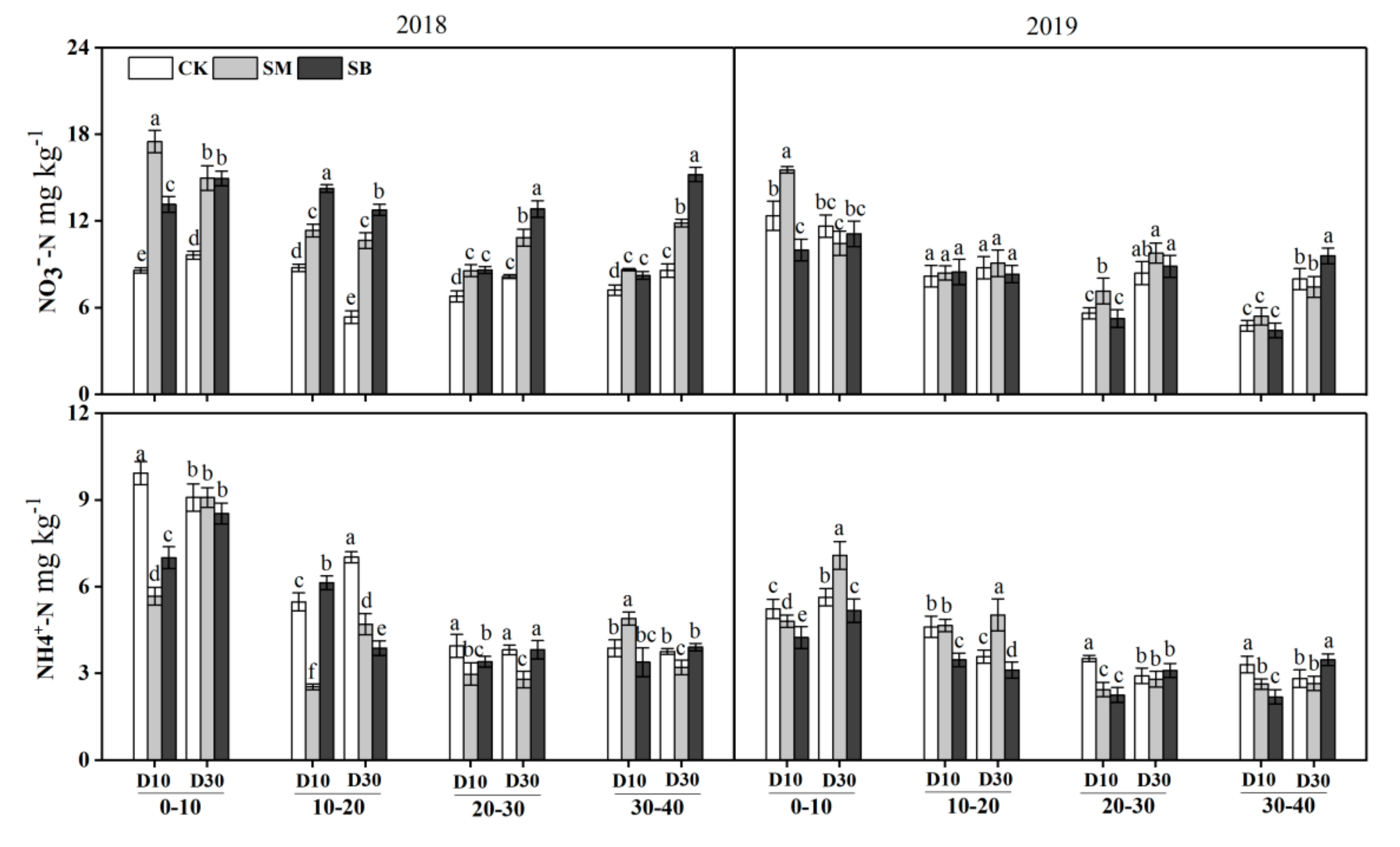
3.1. Soil Physicochemical Properties and Enzyme Activity
3.2. Relationships between Soil Enzyme Activity and Soil Properties
3.3. Grain Yield
3.4. Impacts of the Tillage Depth and Straw Management Induced Factors on the Maize Grain Yield
4. Discussion
4.1. Responses of the Soil Physicochemical Properties and Enzyme Activity to Tillage and Straw Management
4.2. Maize Grain Yield Affected by Tillage and Straw Managements
4.3. Modeling Analysis of the Impacts of Tillage and Straw Managements on Maize Grain Yield via Altering Soil Properties
5. Conclusions
Author Contributions
Funding
Conflicts of Interest
References
- Rattan, L. Restoring soil quality to mitigate soil degradation. Sustainability 2015, 7, 5875–5895. [Google Scholar]
- Turmel, M.-S.; Speratti, A.; Baudron, F.; Verhulst, N.; Govaerts, B. Crop residue management and soil health: A systems analysis. Agric. Syst. 2015, 134, 6–16. [Google Scholar] [CrossRef]
- Tian, P.; Sui, P.; Lian, H.; Wang, Z.; Meng, G.; Sun, Y.; Wang, Y.; Su, Y.; Ma, Z.; Qi, H.; et al. Maize straw returning approaches affected straw decomposition and soil carbon and nitrogen storage in Northeast China. Agronomy 2019, 9, 818. [Google Scholar] [CrossRef]
- Tisdale, S.L.; Nelson, W.L.; Beaton, J.D. Soil Fertility and Fertilizers; Macmillan Publishing Company: New York, NY, USA, 1985. [Google Scholar]
- Li, H.; Cao, Y.; Wang, X.; Ge, X.; Li, B.; Jin, C. Evaluation on the production of food crop straw in China from 2006 to 2014. BioEnergy Res. 2017, 10, 949–957. [Google Scholar] [CrossRef]
- Qu, C.; Li, B.; Wu, H.; Giesy, J.P. Controlling air pollution from straw burning in China calls for efficient recycling. Environ. Sci. Technol. 2012, 46, 7934–7936. [Google Scholar] [CrossRef]
- Zhang, J.; Hang, X.; Lamine, S.M.; Jiang, Y.; Afreh, D.; Qian, H.; Feng, X.; Zheng, C.; Deng, A.; Song, Z.; et al. Interactive effects of straw incorporation and tillage on crop yield and greenhouse gas emissions in double rice cropping system. Agric. Ecosyst. Environ. 2017, 250, 37–43. [Google Scholar] [CrossRef]
- Zhang, S.; Li, Q.; Zhang, X.; Wei, K.; Chen, L.; Liang, W. Effects of conservation tillage on soil aggregation and aggregate binding agents in black soil of Northeast China. Soil Tillage Res. 2012, 124, 196–202. [Google Scholar] [CrossRef]
- Mu, X.; Zhao, Y.; Liu, K.; Ji, B.; Guo, H.; Xue, Z.; Li, C. Responses of soil properties, root growth and crop yield to tillage and crop residue management in a wheat–maize cropping system on the North China Plain. Eur. J. Agron. 2016, 78, 32–43. [Google Scholar] [CrossRef]
- Chen, Z.; Ti, J.; Chen, F. Soil aggregates response to tillage and residue management in a double paddy rice soil of the Southern China. Nutr. Cycl. Agroecosyst. 2017, 109, 103–114. [Google Scholar] [CrossRef]
- Cerdà, A.; González–Pelayo, Ó.; Giménez–Morera, A.; Jordán, A.; Pereira, P.; Novara, A.; Brevik, E.C.; Prosdocimi, M.; Mahmoodabadi, M.; Keesstra, S.; et al. Use of barley straw residues to avoid high erosion and runoff rates on persimmon plantations in Eastern Spain under low frequency–high magnitude simulated rainfall events. Soil Res. 2016, 54, 154. [Google Scholar] [CrossRef]
- Li, H.; Zhang, Y.; Yang, S.; Wang, Z.; Feng, X.; Liu, H.; Jiang, Y. Variations in soil bacterial taxonomic profiles and putative functions in response to straw incorporation combined with N fertilization during the maize growing season. Agric. Ecosyst. Environ. 2019, 283, 106578. [Google Scholar] [CrossRef]
- Zhao, S.; Li, K.; Zhou, W.; Qiu, S.; Huang, S.; He, P. Changes in soil microbial community, enzyme activities and organic matter fractions under long–term straw return in north–central China. Agric. Ecosyst. Environ. 2016, 216, 82–88. [Google Scholar] [CrossRef]
- Sommer, R.; Ryan, J.; Masri, S.; Singh, M.; Diekmann, J. Effect of shallow tillage, moldboard plowing, straw management and compost addition on soil organic matter and nitrogen in a dryland barley/wheat–vetch rotation. Soil Tillage Res. 2011, 115, 39–46. [Google Scholar] [CrossRef]
- Dikgwatlhe, S.B.; Chen, Z.-D.; Lal, R.; Zhang, H.-L.; Chen, F. Changes in soil organic carbon and nitrogen as affected by tillage and residue management under wheat–maize cropping system in the North China Plain. Soil Tillage Res. 2014, 144, 110–118. [Google Scholar] [CrossRef]
- Xue, J.-F.; Pu, C.; Liu, S.-L.; Chen, Z.-D.; Chen, F.; Xiao, X.-P.; Lal, R.; Zhang, H.-L. Effects of tillage systems on soil organic carbon and total nitrogen in a double paddy cropping system in Southern China. Soil Tillage Res. 2015, 153, 161–168. [Google Scholar] [CrossRef]
- Pu, C.; Kan, Z.-R.; Liu, P.; Ma, S.-T.; Qi, J.-Y.; Zhao, X.; Zhang, H.-L. Residue management induced changes in soil organic carbon and total nitrogen under different tillage practices in the North China Plain. J. Integr. Agric. 2019, 18, 1337–1347. [Google Scholar] [CrossRef]
- Heijboer, A.; Berge, H.F.T.; De Ruiter, P.C.; Jørgensen, H.B.; Kowalchuk, G.A.; Bloem, J. Plant biomass, soil microbial community structure and nitrogen cycling under different organic amendment regimes; a 15N tracer–based approach. Appl. Soil Ecol. 2016, 107, 251–260. [Google Scholar] [CrossRef]
- Lu, F. How can straw incorporation management impact on soil carbon storage? A meta–analysis. Mitig. Adapt. Strat. Glob. Chang. 2014, 20, 1545–1568. [Google Scholar] [CrossRef]
- Yang, H.; Feng, J.; Zhai, S.; Dai, Y.; Xu, M.; Wu, J.; Shen, M.; Bian, X.; Koide, R.T.; Liu, J. Long–term ditch–buried straw return alters soil water potential, temperature, and microbial communities in a rice–wheat rotation system. Soil Tillage Res. 2016, 163, 21–31. [Google Scholar] [CrossRef]
- Sarker, J.R.; Singh, B.P.; Fang, Y.; Cowie, A.L.; Dougherty, W.J.; Collins, D.; Dalal, R.C.; Singh, B.K. Tillage history and crop residue input enhanced native carbon mineralization and nutrient supply in contrasting soils under long–term farming systems. Soil Tillage Res. 2019, 193, 71–84. [Google Scholar] [CrossRef]
- Helgason, B.; Gregorich, E.; Janzen, H.H.; Ellert, B.H.; Lorenz, N.; Dick, R. Long–term microbial retention of residue C is site–specific and depends on residue placement. Soil Biol. Biochem. 2014, 68, 231–240. [Google Scholar] [CrossRef]
- Schneider, F.; Don, A.; Hennings, I.; Schmittmann, O.; Seidel, S.J. The effect of deep tillage on crop yield–What do we really know? Soil Tillage Res. 2017, 174, 193–204. [Google Scholar] [CrossRef]
- Essel, E.; Xie, J.; Deng, C.; Peng, Z.; Wang, J.; Shen, J.; Xie, J.; Coulter, J.A.; Li, L. Bacterial and fungal diversity in rhizosphere and bulk soil under different long–term tillage and cereal/legume rotation. Soil Tillage Res. 2019, 194, 104302. [Google Scholar] [CrossRef]
- Nyborg, M.; Solberg, E.; Izaurralde, R.; Malhi, S.; Molina-Ayala, M. Influence of long–term tillage, straw and N fertilizer on barley yield, plant–N uptake and soil–N balance. Soil Tillage Res. 1995, 36, 165–174. [Google Scholar] [CrossRef]
- Christian, D.; Bacon, E.; Brockie, D.; Glen, D.; Gutteridge, R.J.; Jenkyn, J. Interactions of straw disposal methods and direct drilling or cultivations on winter wheat (Triticum aestivum) grown on a clay soil. J. Agric. Eng. Res. 1999, 73, 297–309. [Google Scholar] [CrossRef]
- Malhi, S.S.; Nyborg, M.; Solberg, E.; Dyck, M.; Puurveen, D. Improving crop yield and N uptake with long–term straw retention in two contrasting soil types. Field Crop. Res. 2011, 124, 378–391. [Google Scholar] [CrossRef]
- Brennan, J.; Hackett, R.; McCabe, T.; Grant, J.; Fortune, R.; Forristal, P. The effect of tillage system and residue management on grain yield and nitrogen use efficiency in winter wheat in a cool Atlantic climate. Eur. J. Agron. 2014, 54, 61–69. [Google Scholar] [CrossRef]
- You, D.; Tian, P.; Sui, P.; Zhang, W.; Yang, B.; Qi, H. Short–term effects of tillage and residue on spring maize yield through regulating root–shoot ratio in Northeast China. Sci. Rep. 2017, 7, 13314. [Google Scholar] [CrossRef]
- Hu, N.; Wang, B.; Gu, Z.; Tao, B.; Zhang, Z.; Hu, S.; Zhu, L.; Meng, Y. Effects of different straw returning modes on greenhouse gas emissions and crop yields in a rice–wheat rotation system. Agric. Ecosyst. Environ. 2016, 223, 115–122. [Google Scholar] [CrossRef]
- Liu, Z.; Yang, X.; Hubbard, K.G.; Lin, X. Maize potential yields and yield gaps in the changing climate of northeast China. Glob. Chang. Biol. 2012, 18, 3441–3454. [Google Scholar] [CrossRef]
- Joseph, G.; Henry, H.A. Soil nitrogen leaching losses in response to freeze–thaw cycles and pulsed warming in a temperate old field. Soil Biol. Biochem. 2008, 40, 1947–1953. [Google Scholar] [CrossRef]
- Wang, Q.-Y.; Zhou, D.-M.; Cang, L. Microbial and enzyme properties of apple orchard soil as affected by long–term application of copper fungicide. Soil Biol. Biochem. 2009, 41, 1504–1509. [Google Scholar] [CrossRef]
- Peng, X.; Wang, W. Stoichiometry of soil extracellular enzyme activity along a climatic transect in temperate grasslands of northern China. Soil Biol. Biochem. 2016, 98, 74–84. [Google Scholar] [CrossRef]
- Karlen, D.L.; Mausbach, M.J.; Doran, J.W.; Cline, R.G.; Harris, R.F.; Schuman, G.E. Soil quality: A concept, definition, and framework for evaluation. Soil Sci. Soc. Am. J. 1997, 61, 4–10. [Google Scholar] [CrossRef]
- Chen, J.; Zheng, M.-J.; Pang, D.-W.; Yin, Y.-P.; Han, M.-M.; Li, Y.-X.; Luo, Y.-L.; Xu, X.; Li, Y.; Wang, Z.-L. Straw return and appropriate tillage method improve grain yield and nitrogen efficiency of winter wheat. J. Integr. Agric. 2017, 16, 1708–1719. [Google Scholar] [CrossRef]
- Zhou, Y.; Zhang, Y.; Tian, D.; Mu, Y. The influence of straw returning on N2O emissions from a maize–wheat field in the North China Plain. Sci. Total Environ. 2017, 584, 935–941. [Google Scholar] [CrossRef]
- Francis, G. Management practices for minimising nitrate leaching after ploughing temporary leguminous pastures in Canterbury, New Zealand. J. Contam. Hydrol. 1995, 20, 313–327. [Google Scholar] [CrossRef]
- Sui, P.X.; Tian, P.; Lian, H.L.; Wang, Z.Y.; Ma, Z.Q.; Qi, H.; Mei, N.; Sun, Y.; Wang, Y.Y.; Su, Y.H.; et al. Tillage incorporation management affects maize grain yield through regulating root distribution and nitrogen uptake. Agronomy 2020, 10, 324. [Google Scholar] [CrossRef]
- Heinze, S.; Rauber, R.; Joergensen, R.G. Influence of mouldboard plough and rotary harrow tillage on microbial biomass and nutrient stocks in two long–term experiments on loess derived Luvisols. Appl. Soil Ecol. 2010, 46, 405–412. [Google Scholar] [CrossRef]
- Urioste, A.; Hevia, G.; Hepper, E.; Anton, L.; Bono, A.; Buschiazzo, D. Cultivation effects on the distribution of organic carbon, total nitrogen and phosphorus in soils of the semiarid region of Argentinian Pampas. Geoderma 2006, 136, 621–630. [Google Scholar] [CrossRef]
- Kabiri, V.; Raiesi, F.; Ghazavi, M.A. Tillage effects on soil microbial biomass, SOM mineralization and enzyme activity in a semi–arid Calcixerepts. Agric. Ecosyst. Environ. 2016, 232, 73–84. [Google Scholar] [CrossRef]
- López-Garrido, R.; Madejón, E.; León-Camacho, M.; Girón, I.; Moreno, F.; Murillo, J. Reduced tillage as an alternative to no–tillage under Mediterranean conditions: A case study. Soil Tillage Res. 2014, 140, 40–47. [Google Scholar] [CrossRef]
- Dick, R.P.; Rasmussen, P.E.; Kerle, E.A. Influence of long–term residue management on soil enzyme activities in relation to soil chemical properties of a wheat–fallow system. Biol. Fertil. Soils 1988, 6, 159–164. [Google Scholar] [CrossRef]
- Xu, J.; Han, H.; Ning, T.; Li, Z.; Lal, R. Long–term effects of tillage and straw management on soil organic carbon, crop yield, and yield stability in a wheat–maize system. Field Crop. Res. 2019, 233, 33–40. [Google Scholar] [CrossRef]
- Berhe, F.; Fanta, A.; Alamirew, T.; Melesse, A.M. The effect of tillage practices on grain yield and water use efficiency. Catena 2013, 100, 128–138. [Google Scholar] [CrossRef]
- Guan, D.; Al-Kaisi, M.M.; Zhang, Y.; Duan, L.; Tan, W.; Zhang, M.; Li, Z. Tillage practices affect biomass and grain yield through regulating root growth, root–bleeding sap and nutrients uptake in summer maize. Field Crop. Res. 2014, 157, 89–97. [Google Scholar] [CrossRef]
- Xu, X.; He, P.; Pampolino, M.F.; Li, Y.; Liu, S.; Xie, J.; Hou, Y.; Zhou, W. Narrowing yield gaps and increasing nutrient use efficiencies using the Nutrient Expert system for maize in Northeast China. Field Crop. Res. 2016, 194, 75–82. [Google Scholar] [CrossRef]







| Year | Soil Properties | Tillage Depth (T) | Straw Management (S) | T×S |
|---|---|---|---|---|
| 2018 | Penetration resistance | 142.6 *** | 0.1 ns | 2.4 ns |
| pH | 368.2 *** | 0.7 ns | 11.2 *** | |
| Ammonium | 71.5 *** | 204.1 *** | 15.2 *** | |
| Nitrate | 126.9 *** | 583.3 *** | 76.4 *** | |
| Soil organic carbon | 4.8 * | 0.7 ns | 12.8 *** | |
| Total nitrogen | 1.1 ns | 0.1 ns | 5.0 * | |
| Invertase | 589.8 *** | 258.4 *** | 44.3 *** | |
| Urease | 0.1 ns | 55.1 *** | 0.9 ns | |
| Acid phosphatase | 121.3 *** | 44.9 *** | 4.2 * | |
| Grain yield | 3.3 ns | 6.8 * | 0.3 ns | |
| 2019 | Penetration resistance | 63.7 *** | 12.7 *** | 22.0 *** |
| pH | 1.8 ns | 3.7 * | 0.1 ns | |
| Ammonium | 147.5 *** | 211.6 *** | 188.8 *** | |
| Nitrate | 399.4 *** | 440.5 *** | 567.3 *** | |
| Soil organic carbon | 6.5 * | 10.6 *** | 1.6 ns | |
| Total nitrogen | 2.6 ns | 7.9 ** | 1.0 ns | |
| Invertase | 152.9 *** | 168.5 *** | 112.5 *** | |
| Urease | 0.3 ns | 4.7 * | 15.5 *** | |
| Acid phosphatase | 54.1 *** | 38.0 *** | 6.4 ** | |
| Grain yield | 0.1 ns | 2.5 ns | 0.1 ns |
| Year | Treatment | Soil Penetration Resistance, KPa | Soil pH | |||||||
|---|---|---|---|---|---|---|---|---|---|---|
| 0–10 cm | 10–20 cm | 20–30 cm | 30–40 cm | 0–10 cm | 10–20 cm | 20–30 cm | 30–40 cm | |||
| 2018 | D10 | CK | 277.5ab | 589.3a | 689.3a | 659.5a | 5.7a | 5.2b | 5.6a | 5.9a |
| SM | 267.5b | 690.5a | 739.9a | 680.2a | 5.2b | 5.2b | 5.7a | 5.8a | ||
| SB | 312.7ab | 654.8a | 640.1a | 579.2ab | 5.7a | 5.1b | 5.8a | 5.8a | ||
| D30 | CK | 348.3ab | 267.7b | 322.8b | 553.8ab | 6.0a | 5.5a | 5.7a | 6.0a | |
| SM | 279.4ab | 252.8b | 264.3b | 533.2ab | 6.0a | 5.7a | 5.7a | 6.0a | ||
| SB | 371.1a | 322.9b | 269.9b | 496.5b | 5.8a | 5.6a | 5.8a | 6.0a | ||
| 2019 | D10 | CK | 240.7a | 450.5b | 579.1b | 580.2ab | 5.8a | 6.2a | 6.4ab | 6.8a |
| SM | 227.0ab | 487.1b | 631.9ab | 644.5a | 5.7a | 5.9a | 6.4ab | 6.5a | ||
| SB | 210.5ab | 677.7a | 705.4a | 651.4a | 5.6ab | 6.1a | 6.6a | 6.8a | ||
| D30 | CK | 195.8ab | 329.7c | 419.3c | 543.4b | 5.9a | 6.0a | 6.2b | 6.7a | |
| SM | 104.7b | 193.1d | 260.8d | 410.3c | 5.5b | 5.8a | 6.1b | 6.6a | ||
| SB | 138.8ab | 296.4c | 364.0c | 501.0b | 5.8a | 6.0a | 6.2b | 6.6a | ||
Publisher’s Note: MDPI stays neutral with regard to jurisdictional claims in published maps and institutional affiliations. |
© 2020 by the authors. Licensee MDPI, Basel, Switzerland. This article is an open access article distributed under the terms and conditions of the Creative Commons Attribution (CC BY) license (http://creativecommons.org/licenses/by/4.0/).
Share and Cite
Tian, P.; Lian, H.; Wang, Z.; Jiang, Y.; Li, C.; Sui, P.; Qi, H. Effects of Deep and Shallow Tillage with Straw Incorporation on Soil Organic Carbon, Total Nitrogen and Enzyme Activities in Northeast China. Sustainability 2020, 12, 8679. https://doi.org/10.3390/su12208679
Tian P, Lian H, Wang Z, Jiang Y, Li C, Sui P, Qi H. Effects of Deep and Shallow Tillage with Straw Incorporation on Soil Organic Carbon, Total Nitrogen and Enzyme Activities in Northeast China. Sustainability. 2020; 12(20):8679. https://doi.org/10.3390/su12208679
Chicago/Turabian StyleTian, Ping, Hongli Lian, Zhengyu Wang, Ying Jiang, Congfeng Li, Pengxiang Sui, and Hua Qi. 2020. "Effects of Deep and Shallow Tillage with Straw Incorporation on Soil Organic Carbon, Total Nitrogen and Enzyme Activities in Northeast China" Sustainability 12, no. 20: 8679. https://doi.org/10.3390/su12208679
APA StyleTian, P., Lian, H., Wang, Z., Jiang, Y., Li, C., Sui, P., & Qi, H. (2020). Effects of Deep and Shallow Tillage with Straw Incorporation on Soil Organic Carbon, Total Nitrogen and Enzyme Activities in Northeast China. Sustainability, 12(20), 8679. https://doi.org/10.3390/su12208679

