Development of Savonius Rotors Integrated into Control Valves for Energy Harvesting
Abstract
1. Introduction
2. System Description and Objective
2.1. GreenValve Description
2.2. Runner Design Procedure
2.3. Objective of the Present Study
3. Numerical Approach
3.1. Grid Generation
3.2. Governing Equation and Turbulence Model
3.3. Data Analysis
3.4. Validation
4. Results and Discussion
4.1. TSR Conditions
4.2. Effect of Blade Profile Flatness on Performance of the GreenValve
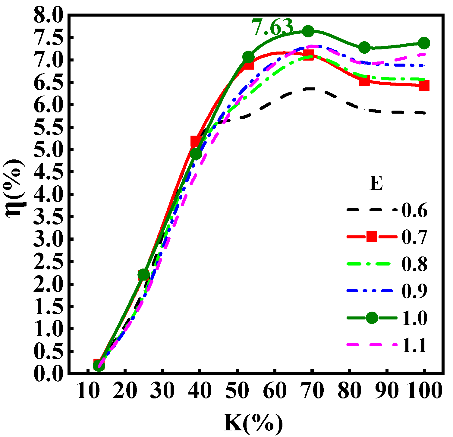
4.2.1. Energy Harvesting Characteristics
4.2.2. Fluid Regulating Characteristics
4.3. Effect of Runner Aspect Ratio on Performance of the GreenValve
4.3.1. Energy Harvesting Characteristics
4.3.2. Fluid Regulating Characteristics
4.4. Flow Field Characteristics and Transient Mechanism
4.4.1. Instantaneous Moment Characteristics of Runners with Different Aspect Ratios
4.4.2. Surface Pressure Characteristics of Blades
4.4.3. Vortex Contours of the GreenValve Equipped with AR0.8-E0.7 at Different Openings
4.4.4. Velocity Distribution of the GreenValve with AR0.8-E0.7 at Different Phase Angles
5. Conclusions
- The newly developed runner has been improved in the roundness of the tip position and, thus, it can match well with the control valve structurally.
- When = 25%, high-strength vortices will form at the inlet of the spool, and the hydrodynamic force carried by the vortices will be diffused to the advancing blade, which is conducive to energy harvesting of the runner. In addition, no obvious tip vortex is formed on the advancing blade, which indicates that the hydrodynamic force is fully captured by the runner and not dissipated from the blade tip position. Hence, the shaft power of GreenValve at = 25% is always higher than that at other openings regardless of the aspect ratio and the flatness.
- The water head loss of the GreenValve is hardly affected by the flatness and the aspect ratio of the runner.
- Compared with other runners, E0.7 and E1.0 perform better in terms of energy harvesting characteristics. However, the maximum flow coefficient of the GreenValve with E0.7 is 5.6% higher than that with E1.0. Hence, 0.7 is considered to be the optimal value of the flatness.
- Although the maximum flow coefficient of GreenValve decreases by 16.6% when the aspect ratio changes from 0.9 to 0.8, the maximum shaft power increases by 94.6%. Therefore, 0.8 is considered to be a more promising value of aspect ratio.
Author Contributions
Funding
Acknowledgments
Conflicts of Interest
References
- Ali, H.; Choi, J. A Review of underground pipeline leakage and sinkhole monitoring methods based on wireless sensor networking. Sustainability 2019, 11, 4007. [Google Scholar] [CrossRef]
- Qiang, X.R.L.Q. Review on water leakage control in distribution networks and the associated environmental benefits. J. Environ. Sci. China 2014, 26, 955–961. [Google Scholar]
- Wang, S.; Cao, T.; Chen, B. Urban energy—Water nexus based on modified input—Output analysis. Appl. Energy 2017, 196, 208–217. [Google Scholar] [CrossRef]
- Wu, J.; Ma, D.; Wang, W.; Han, Z. Research on sensor placement for disaster prevention in water distribution networks for important users. Sustainability 2020, 12, 723. [Google Scholar] [CrossRef]
- Mohamed, M.I.; Wu, W.Y.; Moniri, M. Power harvesting for smart sensor networks in monitoring water distribution system. In Proceedings of the 2011 International Conference on Networking, Sensing and Control, Delft, The Netherlands, 11–13 April 2011; pp. 393–398. [Google Scholar]
- Akhtar, F.; Rehmani, M.H. Energy replenishment using renewable and traditional energy resources for sustainable wireless sensor networks: A review. Renew. Sustain. Energy Rev. 2015, 45, 769–784. [Google Scholar] [CrossRef]
- Hao, W.; Garcia, R. Development of a digital and battery-free smart flowmeter. Energies 2014, 7, 3695–3709. [Google Scholar] [CrossRef]
- Rosenbloom, D.; Meadowcroft, J. Harnessing the sun: Reviewing the potential of solar photovoltaics in Canada. Renew. Sustain. Energy Rev. 2014, 40, 488–496. [Google Scholar] [CrossRef]
- Jiyun, D.; Hongxing, Y.; Zhicheng, S.; Xiaodong, G. Development of an inline vertical cross-flow turbine for hydropower harvesting in urban water supply pipes. Renew Energy 2018, 127, 386–397. [Google Scholar] [CrossRef]
- Fontana, N.; Giugni, M.; Portolano, D. Losses reduction and energy production in water-distribution networks. J. Water Resour. Plan. Manag. 2012, 138, 237–244. [Google Scholar] [CrossRef]
- Williams, A.A.; Smith, N.P.A.; Bird, C.; Howard, M. Pumps as turbines and induction motors as generators for energy recovery in water supply systems. Water Environ. J. 1998, 12, 175–178. [Google Scholar] [CrossRef]
- García, J.P.; Marco, A.C.; Santos, S.N. Use of centrifugal pumps operating as turbines for energy recovery in water distribution networks. Two case study. Adv. Mater. Res. 2010, 107, 87–92. [Google Scholar] [CrossRef]
- Shao, Y.; Yu, Y.; Yu, T.; Chu, S.; Liu, X. Leakage control and energy consumption optimization in the water distribution network based on joint scheduling of pumps and valves. Energies 2019, 12, 2969. [Google Scholar] [CrossRef]
- Chen, J.; Yang, H.X.; Liu, C.P.; Lau, C.H.; Lo, M. A novel vertical axis water turbine for power generation from water pipelines. Energy 2013, 54, 184–193. [Google Scholar] [CrossRef]
- Jiyun, D.; Zhicheng, S.; Hongxing, Y. Numerical study on the impact of runner inlet arc angle on the performance of inline cross-flow turbine used in urban water mains. Energy 2018, 158, 228–237. [Google Scholar] [CrossRef]
- Malavasi, S.; Rossi, M.M.A.; Ferrarese, G. GreenValve: Hydrodynamics and applications of the control valve for energy harvesting. Urban Water J. 2018, 15, 200–209. [Google Scholar] [CrossRef]
- Ferrarese, G.; Malavasi, S. Perspectives of water distribution networks with the GreenValve system. Water 2020, 12, 1579. [Google Scholar] [CrossRef]
- Alizadeh, H.; Jahangir, M.H.; Ghasempour, R. CFD-based improvement of Savonius type hydrokinetic turbine using optimized barrier at the low-speed flows. Ocean Eng. 2020, 202, 107178. [Google Scholar] [CrossRef]
- Roy, S.; Saha, U.K. Review on the numerical investigations into the design and development of Savonius wind rotors. Renew. Sustain. Energy Rev. 2013, 24, 73–83. [Google Scholar] [CrossRef]
- Roy, S.; Saha, U.K. Review of experimental investigations into the design, performance and optimization of the Savonius rotor. Proc. Inst. Mech. Eng. Part A J. Power Energy 2013, 227, 528–542. [Google Scholar] [CrossRef]
- Saha, U.K.; Rajkumar, M.J. On the performance analysis of Savonius rotor with twisted blades. Renew. Energy 2006, 31, 1776–1788. [Google Scholar] [CrossRef]
- Ghatage, S.V.; Joshi, J.B. Optimisation of vertical axis wind turbine: CFD simulations and experimental measurements. Can. J. Chem. Eng. 2012, 90, 1186–1201. [Google Scholar] [CrossRef]
- Roy, S.; Saha, U.K. Wind tunnel experiments of a newly developed two-bladed Savonius-style wind turbine. Appl. Energy 2015, 137, 117–125. [Google Scholar] [CrossRef]
- Alom, N.; Saha, U.K. Evolution and progress in the development of savonius wind turbine rotor blade profiles and shapes. J. Sol. Energy Eng. 2019, 141, 030801. [Google Scholar] [CrossRef]
- Alom, N.; Saha, U.K. Examining the aerodynamic drag and lift characteristics of a newly developed elliptical-bladed savonius rotor. J. Energy Resour. Technol. 2019, 141, 051201. [Google Scholar] [CrossRef]
- Alom, N.; Saha, U.K. Drag and Lift Characteristics of a Novel Elliptical-Bladed Savonius Rotor With Vent Augmenters. J. Sol. Energy Eng. 2019, 141, 051007–051048. [Google Scholar] [CrossRef]
- Alom, N.; Saha, U.K. Influence of blade profiles on Savonius rotor performance: Numerical simulation and experimental validation. Energy Convers. Manag. 2019, 186, 267–277. [Google Scholar] [CrossRef]
- Alom, N.; Saha, U.K. Performance evaluation of vent-augmented elliptical-bladed savonius rotors by numerical simulation and wind tunnel experiments. Energy 2018, 152, 277–290. [Google Scholar] [CrossRef]
- Al-Kayiem, H.H.; Bhayo, B.A.; Assadi, M. Comparative critique on the design parameters and their effect on the performance of S-rotors. Renew. Energy 2016, 99, 1306–1317. [Google Scholar] [CrossRef]
- Kamoji, M.A.; Kedare, S.B.; Prabhu, S.V. Experimental investigations on single stage modified Savonius rotor. Appl. Energy 2009, 86, 1064–1073. [Google Scholar] [CrossRef]
- Bhayo, B.A.; Al-Kayiem, H.H. Experimental characterization and comparison of performance parameters of S-rotors for standalone wind power system. Energy 2017, 138, 752–763. [Google Scholar] [CrossRef]
- Jaohindy, P.; McTavish, S.; Garde, F.; Bastide, A. An analysis of the transient forces acting on Savonius rotors with different aspect ratios. Renew. Energy 2013, 55, 286–295. [Google Scholar] [CrossRef]
- Sobczak, K. Numerical investigations of an influence of the aspect ratio on the Savonius rotor performance. J. Phys. Conf. Ser. 2018, 1101, 12034. [Google Scholar] [CrossRef]
- Patel, V.; Bhat, G.; Eldho, T.I.; Prabhu, S.V. Influence of overlap ratio and aspect ratio on the performance of Savonius hydrokinetic turbine. Int. J. Energy Res. 2017, 41, 829–844. [Google Scholar] [CrossRef]
- Ferrari, G.; Federici, D.; Schito, P.; Inzoli, F.; Mereu, R. CFD study of Savonius wind turbine: 3D model validation and parametric analysis. Renew. Energy 2017, 105, 722–734. [Google Scholar] [CrossRef]
- Williamson, S.J.; Stark, B.H.; Booker, J.D. Performance of a low-head pico-hydro Turgo turbine. Appl. Energy 2013, 102, 1114–1126. [Google Scholar] [CrossRef]
- Ostos, I.; Ruiz, I.; Gajic, M.; Gomez, W.; Bonilla, A.; Collazos, C. A modified novel blade configuration proposal for a more efficient VAWT using CFD tools. Energy Convers. Manag. 2019, 180, 733–746. [Google Scholar] [CrossRef]
- Tian, W.; Mao, Z.; Zhang, B.; Li, Y. Shape optimization of a Savonius wind rotor with different convex and concave sides. Renew. Energy 2018, 117, 287–299. [Google Scholar] [CrossRef]
- Jiyu, D.; Shen, Z.; Yang, H. Study on the effects of runner geometries on the performance of inline cross-flow turbine used in water pipelines. Sustain. Energy Technol. Assess. 2020, 40, 100762. [Google Scholar]
- Malavasi, S.; Ferrarese, G.; Rossi, M.M.A. A control valve for energy harvesting. Procedia Eng. 2014, 89, 588–594. [Google Scholar] [CrossRef]
- Du, J.; Shen, Z.; Yang, H. Effects of different block designs on the performance of inline cross-flow turbines in urban water mains. Appl. Energy 2018, 228, 97–107. [Google Scholar] [CrossRef]




















| Geometrical Parameters | Symbols | Values |
|---|---|---|
| Pipe diameter | 100 mm | |
| Chord length of the runner | 78–88 mm | |
| Overlap distance | 6.31–7.09 mm | |
| Aspect ratio | (H/D) | 0.8–0.9 |
| Overlap ratio | (S/2a) | 0.15 |
| Flatness | (b/a) | 0.6–1.1 |
| Height of the runner | 70 mm | |
| Blade thickness | 1 mm |
| E0.6 | E0.7 | E0.8 | E0.9 | E1.0 | E1.1 | |
|---|---|---|---|---|---|---|
| AR0.9 | AR0.9-E0.6 | AR0.9-E0.7 | AR0.9-E0.8 | AR0.9-E0.9 | AR0.9-E1.0 | AR0.9-E1.1 |
| AR0.85 | AR0.85-E0.7 | |||||
| AR0.8 | AR0.8-E0.7 |
| (%) | 13 | 25 | 39 | 53 | 69 | 84 | 100 |
| 0.5 | 1.7 | 1.3 | 1.3 | 1.0 | 0.9 | 0.8 |
Publisher’s Note: MDPI stays neutral with regard to jurisdictional claims in published maps and institutional affiliations. |
© 2020 by the authors. Licensee MDPI, Basel, Switzerland. This article is an open access article distributed under the terms and conditions of the Creative Commons Attribution (CC BY) license (http://creativecommons.org/licenses/by/4.0/).
Share and Cite
Lv, K.; Xie, Y.; Zhang, X.; Wang, Y. Development of Savonius Rotors Integrated into Control Valves for Energy Harvesting. Sustainability 2020, 12, 8579. https://doi.org/10.3390/su12208579
Lv K, Xie Y, Zhang X, Wang Y. Development of Savonius Rotors Integrated into Control Valves for Energy Harvesting. Sustainability. 2020; 12(20):8579. https://doi.org/10.3390/su12208579
Chicago/Turabian StyleLv, Kai, Yudong Xie, Xinbiao Zhang, and Yong Wang. 2020. "Development of Savonius Rotors Integrated into Control Valves for Energy Harvesting" Sustainability 12, no. 20: 8579. https://doi.org/10.3390/su12208579
APA StyleLv, K., Xie, Y., Zhang, X., & Wang, Y. (2020). Development of Savonius Rotors Integrated into Control Valves for Energy Harvesting. Sustainability, 12(20), 8579. https://doi.org/10.3390/su12208579
