Next Article in Journal
Bacterial Concrete as a Sustainable Building Material?
Previous Article in Journal
Science and Technology Resource Allocation, Spatial Association, and Regional Innovation
 
 
Font Type:
Arial Georgia Verdana
Font Size:
Aa Aa Aa
Line Spacing:
Column Width:
Background:
Article

Evaluating Dual Ecological and Well-Being Benefits from an Urban Restoration Project

1
Department of Environment and Geography, University of York, Wentworth Way, York YO10 5NG, UK
2
Department of Health Sciences, University of York, York YO10 5DD, UK
*
Author to whom correspondence should be addressed.
Sustainability 2020, 12(2), 695; https://doi.org/10.3390/su12020695
Submission received: 22 November 2019 / Revised: 9 January 2020 / Accepted: 10 January 2020 / Published: 17 January 2020

Abstract

The degradation of urban natural spaces reduces their ability to benefit human populations. Restoration can support urban sustainability by improving both the ecological health of these spaces and the public benefits they provide, but studies rarely combine both perspectives. We assessed the ecological and social benefits of an urban river restoration project relative to an unrestored river on the basis of the following four principles: Increasing ecological integrity; benefitting and engaging society; taking account of the past and future; and sustainability. Ecological health at each site was assessed by analyzing macroinvertebrate samples. The social benefits were measured by conducting focus groups with local users of green spaces surrounding the two rivers and comparing their responses. Restoration increased the ecological health of the river and was viewed positively by users, enhancing the river as a space to visit for psychological benefits. However, there were concerns over the erasure of the cultural heritage of the area. Our findings indicate that the long-term sustainability of restoration projects, particularly in urban areas, can be enhanced by integrating ecological and social dimensions. Although short-term ecological improvements may be small, they have the potential to provide a range of benefits for human populations.

1. Introduction

The majority of the world’s population live in urban areas, a proportion which is only predicted to increase [1]. Urban environments create opportunities for sustainability, such as the decrease in carbon emissions due to fewer people driving in compact cities [2]. However, urbanization also causes problems; a major issue is the pressure that development places on green space and biodiversity in cities [1,3]. Urban natural spaces provide many benefits for people, including wider environmental benefits such as air quality improvement, or improved health as a result of visiting these spaces [4].
Ecological restoration offers the opportunity to improve degraded natural spaces and therefore the benefits they provide to society [4]. It has been defined as “the process of assisting the recovery of an ecosystem that has been degraded, damaged, or destroyed” [5]. Whilst the primary aim of restoration is environmental, it is guided by cultural expectations and values which determine both the goals set for restoration and whether projects are judged to be successful [6]. Considering this wider context makes it clear that ecological restoration projects can offer benefits that extend beyond the environmental, to the social and economic [7,8]. Recently, four principles have been proposed in relation to dual ecological and social goals of restoration: Increasing ecological integrity; benefitting and engaging society; taking account of the past and future; and sustainability [9]. Whilst there are frameworks—such as the ecosystem service approach—used to integrate environmental and social perspectives regarding the provision of benefits by the natural environment, these have been found to be lacking, particularly in regard to health benefits [10]. Neither do they acknowledge debates within the field of restoration ecology such as that regarding the aims of restoration [6,8]. Suding et al.’s [9] principles are therefore used as a framework for assessing and integrating the ecological and social success of ecological restoration in this paper.
It should be noted that there is debate over the definition and use of the term ‘restoration’ [11]. Renovation or rehabilitation have been suggested as more appropriate when projects aim to improve ecosystem function rather than achieve pre-disturbance conditions, such as in urban environments where the extent of degradation or ongoing environmental pressures make return to a historical state unlikely [12]. However, even when pre-disturbance conditions are the goal of restoration, we do not always know what these historical conditions were, or whether they are achievable [6,13]. We use the term restoration pragmatically in this paper, referring to all projects seeking to improve ecosystems as restoration projects, therefore acknowledging the importance of the wider context in which restoration takes place [6]. As our case study is an urban river, we focus on the evidence regarding the ecological restoration of freshwater environments.

1.1. Increasing Ecological Integrity

River restoration often focuses on making physical changes to rivers under the assumption that this will lead to improvements in biotic communities. This is known as the ‘field of dreams’ hypothesis [14]. A recent meta-analysis found that fish, macroinvertebrates, and macrophytes are all positively affected by restoration, with habitat creation [15] and increases in the retention of organic matter being important in the improvement of macroinvertebrate communities [16]. However, the evidence is not conclusive [14]. Increases in macroinvertebrate abundance and biomass have been found to be greater than increases in biodiversity [15]. Some studies have found that restoration has limited [17] or no effect [18] on biotic communities. The presence of multiple anthropogenic stressors such as pollutants and impervious surfaces in the riparian zone in urban environments may inhibit the effectiveness of restoration at individual sites, with success needing improvements at catchment level [18,19].

1.2. Benefitting and Engaging Society

Ecological restoration projects may have aims other than increasing ecological integrity, often with the wider goal of benefitting society [20]. These include reducing flood risk, water quality improvement, and improvements to health and wellbeing [8,21]. Restoration can also bring aesthetic benefits [22,23,24], with local users preferring restored river landscapes which are naturalized, attractive, and offer access to the river. However, sites valued by people as being more natural are not necessarily those which are most ecologically healthy [13]. The context of the restoration is important, with socio-economic and cultural factors influencing the provision of benefits [20].

1.3. Taking Account of the Past and Future

Setting goals for restoration success requires consideration of the past state of an ecosystem as this will inform expectations for the future. The influence of future conditions also needs to be considered, particularly with the pressures of climate change and urbanization [6,8]. Achieving ecological and social benefits can be challenging from this perspective. Local users’ perceptions of river landscapes may be influenced more by local history and memory than by measurable outcomes of restoration [25], and this place attachment can sometimes result in opposition to restoration [22]. Restorations therefore increasingly incorporate historical features into project design, creating spaces for future use; for example, the Cheonggyecheon restoration in Seoul, South Korea used former bridges as decorative elements [26].

1.4. Sustainability

A successful restoration should be sustainable from an environmental perspective, resulting in an ecosystem which is self-sustaining; continues to perform ecosystem functions with minimal (or, in heavily populated areas, in spite of) human intervention; and resilient, meaning it will persist in the future and adapt to future environmental changes including climate change [9,11]. As the return of ecosystem functioning may lag behind the restoration of structure [11], the integration of social objectives, creating social sustainability, can help ensure that projects have time to reach ecological goals, especially in urban areas [8]. Social benefits, such as the provision of recreational space, whether opportunistic or planned, ensure that people value the space and care for it, justifying its provision and management and contributing to the long-term success of the restoration [8,23].

1.5. Study Objectives

A recent review found that few studies have assessed the social impacts of restoration [27]; an even smaller number have considered both the environmental and social benefits [20,24,28]. Here we use the restoration of an urban river as a case study to investigate both the ecological and social benefits of ecological restoration. Informed by Suding et al.’s [9] framework, we combined quantitative assessments of ecological health with qualitative work on the perceptions of local users.

2. Materials and Methods

2.1. Case Study

The river Medlock is located in the Irwell catchment, a 770 km2 area in the northwest of the UK. The majority of the catchment is urbanized and has an industrial heritage, meaning many of its rivers are affected by diffuse urban pollution and physical modifications [29].
The Medlock itself flows into Manchester, one of the largest cities in the UK, where it has been heavily modified due to industrialization and urbanization. A 1.6 km section was culverted following serious flooding in 1872, becoming known locally as the Red River due to the bricks used to line the river channel. The UK’s Environment Agency ran a project which restored a section of the Medlock over a nine-month period between September 2013 and May 2014, as shown in Figure 1. The project aimed to improve water flow and provide habitats for wildlife as well as increasing access for local people. Restoration involved widening the channel, removing the bricks to allow the formation of riffles and pools with natural substrates, and the addition of footpaths.
As the study took place post-restoration, we used a space-for-time substitution, where sites with similar spatial characteristics are used for comparative purposes when it is not possible to collect data at different time points [30]. Like the river Medlock, the river Irk is a tributary of the river Irwell and is part of the same catchment. It flows through a similar area with the same industrial history but has not had any restoration work. The Irk therefore served as a pre-restoration baseline for comparison.
Both rivers are accessible via green spaces used by local communities. For the Medlock, these are Philips Park, which contains an unrestored section of the river, and Clayton Vale, the site of the restored section of river (Figure 2). The Irk flows through Queen’s Park and Blackley Forest in Manchester and has not been restored in either space. Figure 3 shows all six sites visually; additional information on the characteristics of the sites can be found in Appendix A.

2.2. Ecological Evaluation

We assessed ecological health by sampling aquatic macroinvertebrates. Macroinvertebrates provide information on biotic and abiotic conditions so are considered good indicators for assessing the ecological health of the aquatic environment [19,31], and have been widely used to investigate the effects of river restoration [16,18,32].

2.2.1. Ecological Sampling

We used a space-for-time substitution to investigate the effects of the restoration, sampling both the restored river Medlock and the unrestored river Irk as a comparison. Three sites on each river were sampled for macroinvertebrates (Figure 2). One upstream site was sampled on each river to give an indication of the initial ecological health of each river [18]. The upstream Medlock site is referred to as M-U and the upstream Irk site as I-U. The second site sampled on the Medlock was the downstream restored site (M-Dr), followed by a downstream unrestored site (M-Du) as a comparison. On the Irk, two downstream sites—both unrestored—were sampled (I-Du1 and I-Du2) to serve as comparisons to M-Dr and M-Du on the Medlock. These four sites—M-Dr, M-Du, I-Du1, I-Du2—were all located in green spaces accessible to the public.
The rivers were first sampled in spring (April/May) 2015, one year after the completion of the restoration, then again in autumn (September/October) 2015, and finally in spring (April/May) 2016. During each sampling season, all sites were visited three times and four macroinvertebrate samples were taken on each visit, resulting in 12 samples per site per sampling season. A Surber net was used to sample the macroinvertebrates [32]; samples were taken over a 10 m stretch of river, encompassing the sides and middle of the channel as well as the different habitat types present at the site. When taking a Surber sample, large stones were brushed, and the riverbed disturbed to a depth of 5 cm for 1 min [32]. Each sample was preserved using ethanol, prior to identification in the lab. Classification was performed at family level, the lowest taxonomic level required to allow calculation of our chosen metrics, apart from oligochaetes which were identified to the lowest possible level (Class) [17].

2.2.2. Ecological Data Analysis

The four samples collected at each site on each sampling occasion were aggregated, giving us data on macroinvertebrates at three points during each sampling season. Metrics were calculated for each of the three data points for all three sampling seasons. Ecological health at the different sites was evaluated using metrics relating to macroinvertebrate community structure and diversity. In addition to total taxonomic richness and total abundance, we calculated:
  • Shannon diversity, a biodiversity metric which takes into account the abundance of each taxa as well as the number of taxa. The distribution of abundance is important to consider as, whilst the same number of taxa might be found at two sites, if at one site most individuals were of one species this would indicate poorer ecological health than at a site where individuals were more evenly distributed among taxa.
  • Ephemeroptera, Plecoptera, Trichopera (EPT) richness and abundance [18]; a high score for these metrics indicates the presence of pollution-sensitive taxa, suggesting a site has lower pollution and better ecological health.
  • The biological monitoring working party (BMWP) score, which indicates the overall pollution tolerance of the macroinvertebrate community and therefore water quality at each site. The number of taxa found was taken into account by dividing the BMWP score by the number of scoring taxa found to give an average score per taxon (ASPT) [33].
To allow comparison between the rivers we quantified the differences between sites on the restored and unrestored rivers using Osenberg response ratios as in Verdonschot et al. [17]:
Δ r =   ln ( X R X D )
with XR being the restored site (M-Dr) on the Medlock, or unrestored site (I-Du1) on the Irk, and XD being the unrestored downstream (M-Du and I-Du2) or upstream sites (M-U or I-U) (Table 1). Response ratios were calculated for each of the three data points for all three sampling seasons. A modified version of the formula from Verdonschot et al. [17] was used to calculate response ratios for EPT richness and EPT abundance to account for 0-values in the data. Response ratios of >0 indicate a positive effect (an increase in diversity or abundance), whilst values of <0 indicate a negative effect, so Mann-Whitney U tests were first used to determine whether the response ratios for each metric differed significantly from zero. Kruskal Wallis tests were used to compare response ratios between the different time points at which sampling took place, to determine if there was any seasonal variation within sites. Mann-Whitney U tests were then employed to test whether there were significant differences in the response ratios for each metric between the restored and unrestored rivers (Table 1). Additional comparisons were also made between the opposite upstream and downstream sites on each river (reported in Appendix B). False discovery rates were calculated for all sets of tests to correct for multiple testing [34].

2.3. Social Evaluation

To explore the social benefits, we used focus groups. The population in the vicinity of the restoration project we examined is disadvantaged, and focus groups were chosen as an appropriate method for this context as they can provide insight into the views of hard to reach groups [35,36]. Participants are often more comfortable talking in a group than engaging in an individual interview and these settings are more suitable for participants who may not be able to easily express their thoughts as the interaction of the group encourages individuals to explain their views [37]. We applied framework analysis (as detailed in Section 2.3.2), a form of thematic analysis, as a method to analyze qualitative data collected in the focus groups. Thematic analysis aims to identify common patterns or topics in the data [38]. Data collection and analysis were concurrent.

2.3.1. Social Sampling

Participants for focus groups were recruited from users of the green spaces around the rivers: Philips Park and Clayton Vale on the restored Medlock, and Queen’s Park and Blackley Forest on the unrestored Irk (Figure 2). Posters and flyers were displayed around the four green spaces and at all local venues willing to show them in the neighborhoods around the green spaces including shops, libraries, and community centers. All local user groups with a specific interest in the parks were contacted. These comprised of the Friends of Philips Park, Friends of Clayton Vale, Friends of Blackley Forest, and the Big Local Initiative at Queen’s Park, as well as the regular walking groups at Philips Park, Clayton Vale, and Blackley Forest. One author (SDB) also attended local events such as the walking groups to invite people to participate in the research. Focus groups were conducted until views had been collected from local users of all four green spaces. Data collection and analysis were concurrent so this was considered to be when no new codes, and therefore themes (as detailed in Section 2.3.2 below), were required to capture the range of views expressed by study participants (saturation had been reached) [39,40,41].
The focus groups were conducted during October 2015—18 months after the completion of the restoration. The focus groups lasted between 20 min and one hour 40 min and were all conducted by a single author, SDB. Five focus groups were conducted, with 12 participants in total: One at Philips Park (n = 3), one at Clayton Vale (n = 3), two at Queen’s Park (the first with n = 1 due to non-attendance of several participants, referred to as a group for simplicity; a second group was conducted, n = 3), and one at Blackley Forest (n = 2). Of the participants, ten were female and two male, all were 45 years or older, six had been residents of the area for their entire lives, four for more than five years, and two between one and five years. Five were members of groups associated with the green spaces whilst seven were local users who were not associated with these groups.
We sought informed consent from all participants and ethical approval for data collection was obtained from the University of York Department of Environment and Geography Ethics Committee. Each focus group began by welcoming participants and asking them how often they used their local green space, their activities in the space, and areas they liked and disliked. This was followed by a photo-elicitation exercise [42], using pictures of parks containing different natural elements such as trees and flowers under either natural or formal management regimes. These were used to encourage discussion of participants’ preferences in green and blue space and the importance of nature to their visits to provide context for discussion of the restoration. The second part of each focus group focused on the ecological restoration. Photographs of the river pre-, during, and post-restoration were used to elicit discussion of the restoration. Participants from the restored river were asked about their preferences before and after restoration, how they used the space, and whether they had felt impacted by the process of restoration as well as their opinions on restoration of the unrestored section of the Medlock. Opinions were also collected from local users of the unrestored river to serve as a comparison. They were asked about their visits to the unrestored river. Photos of the restored river were then used to discuss their preferences for the river pre- and post-restoration and prompt discussion of restoration of the unrestored river. A focus group guide is available in Appendix C.

2.3.2. Social Data Analysis

All focus groups were recorded and fully transcribed, and then analyzed using framework analysis. Framework analysis is a systematic method of analyzing data which allows comparison of views between different groups [39]. It has five distinct stages: Data familiarization; development of a thematic framework; application of the framework to the data; charting; interpretation. Following familiarization with the data set, sub-themes were identified which were consistent with the four principles suggested by Suding et al. [9]: (i) Increasing ecological integrity; (ii) benefitting and engaging society; (iii) taking account of the past and future; and (iv) sustainability. These sub-themes were therefore located under the four main themes to create a theme-based framework. The data were coded using this framework in NVivo 11 and then charted, which involved summarizing the views of users of the restored river and unrestored river for each sub-theme. Finally, interpretation of the data set was undertaken; the themes were compared and contrasted both within and between the two groups (restored and unrestored) of local users.

3. Results

The results from the ecological and social analysis are presented below according to the four principles suggested by Suding et al. [9].

3.1. Increasing Ecological Integrity

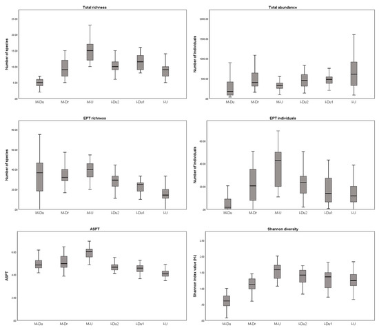
On the Medlock, the restored site (M-Dr) had better ecological health than the unrestored downstream site (M-Du). Four out of six metrics differed significantly from zero: Richness (Mann-Whitney U = 90.00, p < 0.001), total abundance (Mann-Whitney U = 180.00, p < 0.001), EPT abundance (Mann-Whitney U = 72.00, p < 0.001), and Shannon diversity (Mann-Whitney U = 144.00, p < 0.001) were higher at the restored site (M-Dr) indicating increased diversity, abundance, and pollution tolerance (Figure 4; Table 2). However, the ecological health of the restored site (M-Dr) was lower than that of the upstream site (M-U), with richness (Mann-Whitney U = 1242.00, p < 0.001), abundance (Mann-Whitney U = 324.00, p < 0.001), EPT richness (Mann-Whitney U = 954.00, p < 0.001), ASPT (Mann-Whitney U = 1080.00, p < 0.001), and Shannon diversity (Mann-Whitney U = 1260.00, p < 0.001) differing significantly from zero; all measures apart from abundance were lower at the restored site (Figure 4; Table 2).
On the unrestored Irk, there was some difference in ecological health between the two unrestored downstream sites (I-Du1 and I-Du2). Response ratios differed significantly from zero for richness (Mann-Whitney U = 450.00, p = 0.022), EPT richness (Mann-Whitney U = 972.00, p < 0.001), and Shannon diversity (Mann-Whitney U = 900.00, p = 0.003). These metrics were all higher at I-Du1, indicating more diversity and pollution tolerant macroinvertebrates but no difference in abundance (Figure 4; Table 2). In contrast to the Medlock, the downstream unrestored site I-Du1 was more ecologically healthy than the upstream site (I-U), as richness (Mann-Whitney U = 288.00, p < 0.001), EPT abundance (Mann-Whitney U = 216.00, p < 0.001), and ASPT (Mann-Whitney U = 216.00, p < 0.001) all differed significantly from zero, with all apart from EPT abundance being higher at the unrestored site (I-Du1) (Figure 4; Table 2).
Tests of seasonal differences between response ratios at each site found few significant differences so are reported in Appendix B.
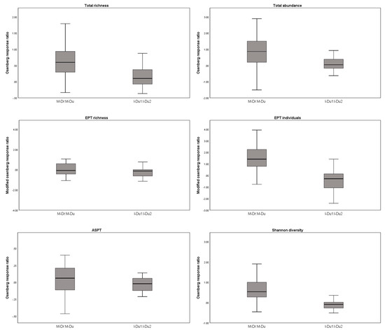
There were significant differences in response ratios between the restored (M-Dr) and upstream (M-U) sites and comparison sites (I-Du1 and I-U) on the unrestored river for richness (Mann-Whitney U = 1250.00, p < 0.001), abundance (Mann-Whitney U = 393.00, p = 0.005), EPT richness (Mann-Whitney U = 1084.00, p < 0.001), EPT abundance (Mann-Whitney U = 867.00, p = 0.017), ASPT (Mann-Whitney U = 1156.00, p < 0.001), and Shannon diversity (Mann-Whitney U = 1163.00, p < 0.001) (Table 3; Figure 5). The difference was larger between these sites for richness and abundance on the Medlock, and on the Irk for all other metrics, indicating that there is a larger difference in pollution tolerance between the upstream sites (I-Du1 and I-U) on the Irk than the restored (M-Dr) and upstream (M-U) sites on the Medlock (Table 3; Figure 5).
A comparison of metrics between the restored site (M-Dr) and unrestored downstream site (M-Dr), and comparison sites (I-Du1 and I-Du2) on the unrestored river showed there were significant differences between response ratios for richness (Mann-Whitney U = 231.50, p < 0.001), total abundance (Mann-Whitney U = 318.00, p < 0.001), EPT abundance (Mann-Whitney U = 96.00, p < 0.001), ASPT (Mann-Whitney U = 468.00, p = 0.041), and Shannon richness (Mann-Whitney U = 147.00, p < 0.001), although no significant difference was seen for EPT richness. Response ratios were higher on the restored river, indicating a bigger difference in ecological health between the restored (M-Dr) and unrestored (M-Du) site than the comparison sites (I-Du1 and I-Du2) on the unrestored river (Table 3; Figure 6).
Findings from the focus groups are summarized in Table 4. Users of the restored and unrestored rivers both felt that the restoration of the Medlock had been successful in improving the ecological health of the river. When comparing the unrestored and restored sites on the Medlock, users of the unrestored river commented “that’s more … contrived again … (unrestored site), that’s more natural (restored site)”, whilst local users noted that the restoration “just shows how nature quickly takes over”. Local users of the restored river emphasized that the restoration had improved the variety of wildlife at the site: “All of a sudden a kingfisher was fishing there, and you could see little shoals of fish … and … these three dragonflies … all dancing over the river”.
In contrast, comments by users of the unrestored river indicated that they perceived ecological health to be equated with the neatness of the site: “I do think it (the Irk) could perhaps do with a bit of tidying up … there’s a tendency to want to let stuff grow at the sides … (which) … acts as a sort of filter for collecting rubbish”.

3.2. Benefitting and Engaging Society

All participants viewed the restoration of the Medlock as a success, with users of the restored river commenting, “that has been the biggest change, the Vale, it is lovely when you’re walking along”. Seeing the changes in the river led users of the unrestored river to reflect on the possible restoration of the Irk: “They’re doing it all up, aren’t they, with this … Big Local thing, the walkway … that’ll be nice”.
Positive views of the restoration were related to the benefits participants attributed to urban natural spaces. Users of both rivers felt that spending time in a natural environment improved their mental well-being, with a user of the restored river commenting on Clayton Vale: “I suffer from depression and I think going out here it lifts you”, whilst another user observed, “everyone feels better after you’ve been to the park”, when discussing the natural spaces around the unrestored river. Emphasis was placed on the role of the natural environment as a space to escape the urban environment. Users of the unrestored river felt that the natural spaces around the river were important in, “just getting away from it all … if we go to town, it’s all cars and whatnot, so it’s nice just to think you’ve gone away somewhere (to) be out of yourself”. Users of the restored river expressed similar views: “If you stand there and listen, you get in the center of Clayton Vale, you can’t hear any traffic, you can hear birds … it’s just a little oasis in the center of Manchester, it’s lovely”.
The importance of natural elements such as plants and wildlife in the natural spaces around the unrestored river was emphasized by users as important when they felt stress: “When I’m having a bit of a stressful day, I’ll … walk around there … listen to the birds and what have you (be) cause I think it’s all about nature”. Users of the restored river also commented on natural features in the green spaces around the restored river: “Trees and that are important because if you’ve got no trees in there what’s the point in walking down it, nothing to look at, no point in going is there?”, emphasizing their importance as focal points for visits to natural spaces.
Whilst users of both rivers described their rivers as important places for stress reduction and considered nature to play a role in this, the restoration was thought to have particularly enhanced the Medlock for this purpose. From an aesthetic point of view, the variety of natural habitats were felt to make it more interesting. When looking at pictures of the restored site, participants who were familiar with the restored river commented specifically on how at the restored site, “you’ve got a variety of colors and that … stands out”, and users of the unrestored river agreed, “it’s more varied isn’t it, I’ve got more different habitats there for finding plants”.
Water was considered important in natural spaces. Discussing pictures of natural spaces containing water, the relaxing and calming nature of watching water was emphasized by users of the unrestored river: “It’d just be calming I think, you know, you could sit and it’d be calming … to sit there and watch that”; and by users of the restored river: “Very tranquil, just the sound of the water … it’s very relaxing”.
In terms of the restoration work, users of the restored river commented that they, “don’t remember the work being done” and felt that, “they (users) were more concerned about the cycle track than they were about that (the Medlock restoration)”. Improving ecological health was important to users of both rivers and, although the Medlock restoration did not offer volunteering opportunities, contributing to other restoration work was successful in engaging local users with the restored river: “That’s one of the reasons why I joined anyway and we’re really interested in what’s on here … the wildlife and everything … it’s terribly important especially the bees”; and the unrestored river: “I quite like the river … it’s one of the reasons we turned up on the clear-up day to try and improve the river”.

3.3. Taking Account of the Past and Future

Discussions among participants indicated that, in their view, the restoration had been less successful in terms of taking the past and future into account, with comments pointing to a conflict for some between ecological restoration and the heritage of the restoration site.
Some users of both rivers felt that improving the ecological health of the space matters more than its history. Comments from users of the restored river included: “It’s part of our heritage… I’m into heritage and old buildings and things like that but some things you’ve got to change, especially for the better”. Whilst looking at pictures of the brick channel of the Medlock, users of the unrestored river discussed how built features could be undesirable despite their historical importance; regarding the Medlock, one participant said, “That looks more like a … sewer thing really”. Some users of the unrestored river also placed less value on the areas of the Irk that had poor ecological health as a result of past industry: “I’m not worried what they’re doing with that part really, I don’t know what it was before but it looks as though it’s been reclaimed”.
However, not all participants felt this way. The history of their urban natural spaces was important to some local users, on both the restored river: “That red brick is part of our history … it’s part of the history of Philips Park, it’s part of the history of Clayton”; and the unrestored river: “The industry is part of its heritage in a modern way”. These users felt that restoration should respect local history and the heritage of the area. Whilst users of the restored river commented of the unrestored section of the Medlock that, “I really would like to see something done to it as long as … it’s done properly”; they expressed the view that, “that (red brick) is also part of our history and some of it should be left”. This view was echoed by users of the unrestored river: “The industry is part of its heritage … and although we moan about it and about the quality of the water for people, I’m not sure it’s as much of an issue”.
Users of both rivers felt that familiar manmade features were either unnoticed or acceptable in natural landscapes. On the restored river, one user commented on the brick channel of the Medlock: “I suppose when you think about it, (it’s) not very natural looking, but it was something you’d always seen so you didn’t really think about it”. Users of both rivers also compared the Medlock pre-restoration to other landscapes, for example, “when you’re up there (the Pennines) … there’s this whole load of manmade stuff up there which I don’t find unpleasant”.

3.4. Sustainability

Despite the perceived improvement in ecological health, users of the restored river felt that the long-term environmental sustainability of the project was a concern. Users expressed the view that there is a general problem with the management of natural spaces in urban areas: “You come into Manchester, they’re (green spaces) badly neglected at the moment”; and were concerned that this would affect the restoration: “It was nice when I went through there (Clayton Vale) the first time … but … what it’s like now I don’t know … it’s the follow up … that’s the problem”.
Despite this, restoration was considered essential to ensuring that people continue to use natural spaces in urban areas, thus suggesting that restoration was integral to their social sustainability. Both groups felt that restoration was needed to provide access to natural spaces. Users of the restored river commented on the unrestored section of the Medlock, “it’d be nice to have it opened up, I mean at the moment it’s all fenced off”. Similarly, users of the unrestored river said, “it’s (unrestored park and river) got to be done up, they’re building more (houses) up here now, there’s going to be no green space so we’ll need it even more”.
Users of the restored and unrestored rivers agreed that, to ensure long-term social and environmental sustainability of urban natural spaces, ecological restoration is not sufficient. They emphasized the need for restorations which provide amenities and facilities so that parks appeal to people: “We need these goalposts putting back in … that will as I say attract a lot more”. These facilities were also considered essential in allowing a wide range of users to access the parks, including children: “Especially when you’re taking little ones, I think you’d really need them (toilets)”; and elderly users: “We need the community to go through there (Queen’s Park), so we need a couple of benches … the elderly can go maybe walk through with their grandchildren”.

4. Discussion

Macroinvertebrate data indicate that restoration has led to some improvement in the ecological health of the Medlock. Compared to the downstream unrestored site on the same river, there is greater taxonomic richness and abundance, and more pollution-intolerant macroinvertebrates in the restored section of the Medlock. However, the restored site was less ecologically healthy than the upstream comparison site. Larger differences in richness, abundance, and the presence of less pollution-tolerant macroinvertebrates between sites on the Medlock compared with the Irk suggest that the restoration on the Medlock has led to an improvement in ecological health.
Users of the restored and unrestored rivers attributed psychological benefits to visiting the natural spaces around their own river and, in the case of users of the restored river, to the presence of a variety of habitats and wildlife there. Overall, both groups viewed the restoration positively. However, there were differences of opinion within groups regarding the importance of restoring ecological health compared to preserving the presence of built features relating to the cultural and industrial heritage of the area. Despite expressing some concerns over the long-term sustainability of the restored space, users of the Medlock agreed with users of the Irk that restoration was essential to ensure that people use urban natural spaces.

4.1. Ecological and Social Benefits of Restoration

We chose aquatic invertebrates to evaluate ecological health as they are an indicator of both abiotic and biotic conditions [19,29], and reflect ecological outcomes better than other measures of change such as chemical water quality. The restoration of the Medlock involved the removal of the brick channel and introduction of boulders and gravel, so improvements in ecological health, as evidenced by increases in diversity and abundance of macroinvertebrates, may be a response to the creation of new habitats within the river as found in other studies [e.g., [15,19]].
Differences in ecological health were also seen between sites on the unrestored river. We were unable to take before and after measurements from the Medlock, a problem often experienced when evaluating restoration projects, so used a space-for-time substitution [35]. As the restoration is relatively recent, the river may need longer to recover more fully [32,43], through colonization by taxa from upstream communities for example [44,45], which we found to be more ecologically healthy than downstream sites. However, the differences seen may also result from the sites chosen for comparison and the urban area surrounding the majority of the Medlock catchment, especially the lower reaches of the river which are in the center of Manchester and have been affected by an industrial past. It is likely that achieving a larger improvement in ecological health would require the adoption of a wider catchment approach to address impacts from the urban environment [19].
A focus on both the ecological and social benefits adds important breadth to assessments of the success of a scheme such as this one. Local users highlighted the benefits of the restoration for wildlife and commented on seeing birds and insects at the site. Wildlife seen by local users may be directly attributable to the abundance of macroinvertebrates attracting them to feed at the site. However, the public has been found to be better at perceiving morphological rather than ecological improvements resulting from restoration [24], and more generally, studies have found that green space users’ observations of wildlife may not be accurate [13,46,47], so it may be generally indicative of the improvement in the site’s ecological health.
Whether or not their perceptions of nature are accurate, the Medlock restoration has been successful in reconnecting people with nature locally; this connection with nature is essential in building support for the conservation and restoration of the natural environment [7,48]. Connection with nature has also been linked to gaining health benefits from natural spaces [49]. Our findings suggest a link between ecological integrity and wellbeing benefits from restoration. Whilst psychological benefits were identified by both user groups as a result of visiting their river and associated natural spaces, visitors to the restored river reflected on the improved appearance and enhanced sensory appeal of the site, e.g., the distinctive sound of flowing water due to changes in the river bed. These findings correspond with increasing evidence of the benefits of visiting natural environments [50], particularly those containing water [51] and which are aesthetically pleasing [52]. There is also evidence that people find spaces they perceive as more biodiverse to be more psychologically restorative [21,53].
There is some indication that, as for the ecological benefits, it may take time for the full social benefits of restoration to become apparent [23], although our findings suggest that the social benefits of the restoration of the Medlock are evident even in the short-term. Associated activities such as practical management of the site by volunteers offers social benefits by increasing user group activity [54] and can directly contribute to improving the ecological health and the sustainability of restoration projects.

4.2. Concerns Regarding Restoration

Despite the positive views held of the restoration overall, concerns regarding the project were identified by local users. Many of these negative views were linked to ‘taking account of the past and future’ [9], and lack of consideration of the site’s industrial past. Studies have found that people place value on features which reflect the history or cultural heritage of their local environment [3,22,25], even if these features are linked with activities that pose threats to ecological health, such as industry and pollution. People’s sense of place can also mean they oppose changes in their home environments [25]. Our findings highlight the importance of community involvement in the restoration process [20,55] and suggest that social acceptability can be enhanced by incorporating hard features in restoration design.
There were also concerns regarding the long-term environmental and social sustainability of the restoration. Users of both rivers wanted to see what they considered proper management of the environment as well as the improvement of facilities. Studies indicate that people expect urban natural spaces to be more managed than rural environments [56], with facilities such as paths, benches, and toilets providing ‘cues to care’ [24,57]. An appropriate management strategy can ensure that the potential ecological benefits of restoration are realized, but it is also essential in relation to social benefits. The maintenance and provision of facilities is important to ensure the use of these spaces as well as their accessibility for a range of user groups, leading to community support, which contributes to the long-term environmental sustainability and success of urban restoration projects [23].

5. Conclusions: Further Research and Implications for Policy and Practice

Recruiting participants from disadvantaged communities is often challenging [58]. The recruitment methods we adopted are used widely in community-based studies, and our sample is comparable to other qualitative studies which have evaluated restoration or used framework analysis e.g., [25,35,39]. Nevertheless, our sample is limited, and our participants do not represent all users of green space. Our participants were over 45 and mostly female; studies have recorded age and gender differences in the nature-health relationship [48,50]. Neighborhood green space has been positively associated with health for men of all ages, with benefits seen only for older women [59,60], although a recent meta-analysis of nature connection and wellbeing found no effect of gender or age [61]. We were likely to have recruited people who were regular users of the recruitment sites (the four green spaces and local venues); involving harder-to-reach groups is a recognized research challenge with little robust evidence on what works to enhance participation [58]. Further investigation is needed for different population groups, particularly minority and disadvantaged groups, such as older people and those with poor health, who rarely visit natural spaces in urban areas and may be less connected with nature [62]. Our macroinvertebrate sample sizes were also relatively small, as considering dual benefits necessitates breadth rather than depth of study. However, future research could be improved through more detailed ecological sampling.
There were few evaluations of the dual benefits of restoration on which to build when integrating the ecological and social findings from the project. Discussion from Smith et al. [8] regarding achieving ecological and social objectives from restoration informed our research and decision to use a simple framework, including four broad principles [9]. However, the framework does not indicate how the four principles are linked or include important elements such as time. Further research is needed focusing on the links between ecological and social benefits [20], investigating, for example, links between biodiversity and psychological benefits, to improve the framework. Pre- and post-restoration monitoring would also facilitate the investigation of causal links.
Whilst urbanization offers opportunities for sustainable living, the degradation of natural environments in urban areas can lead to declines in biodiversity and may impact human health. Ecological restoration can contribute to solving this problem. By using the four principles proposed by Suding et al. [9] to consider ecological and social dimensions of an urban restoration project, this study showed that the main benefits of the restoration relate to its impact in increasing ecological integrity and benefitting and engaging society. The restoration of the Medlock has led to improvement in the ecological health of the river and, despite some concerns over the project taking insufficient account of the past and future, its sustainability is viewed positively by local users who feel the restoration has improved the aesthetic and sensory appeal of the space. Our findings have implications for stakeholders involved in carrying out ecological restoration, highlighting the importance of involving the local community throughout the process, particularly as in the longer term, societal support and engagement can enhance the environmental sustainability of projects, allowing time for the full ecological benefits to be realized. More broadly, they provide further evidence for urban planning and policy regarding opportunities to improve urban sustainability from projects which increase ecological health, as they can lead to co-benefits for the environment and society. Deriving dual ecological and social benefits from ecological restoration is key to the success of such projects in urban areas.

Author Contributions

Conceptualization, S.d.B., P.C.L.W., and H.G.; investigation, S.d.B.; writing—original draft preparation, S.d.B.; writing—review and editing, P.C.L.W. and H.G.; supervision, P.C.L.W. and H.G.; funding acquisition, P.C.L.W. and H.G. All authors have read and agreed to the published version of the manuscript.

Funding

This work is part of the Health of Populations and Ecosystems [HOPE] project funded by the Economic and Social Research Council, [Grant Number ES/L003015/1]; we would also like to acknowledge the support provided by the University of York [UK] for the HOPE doctoral studentship on ecological interventions for health outcomes.

Acknowledgments

We would like to thank all the focus group participants who generously gave their time to take part in the study as well as the community organizations who helped with recruitment.

Conflicts of Interest

The authors declare no conflict of interest. The funders had no role in the design of the study; in the collection, analyses, or interpretation of data; in the writing of the manuscript, or in the decision to publish the results.

Appendix A

Table A1. Physical characteristics of the six sites on the restored (Medlock, M) and unrestored (Irk, I) rivers.
Table A1. Physical characteristics of the six sites on the restored (Medlock, M) and unrestored (Irk, I) rivers.
Site MinimumMaximumMeanStd. Error
M-DuWidth2.803.953.080.13
Depth (cm)32.6751.6738.912.10
Velocity (m/s)0.230.910.430.08
Temperature (°C)8.9015.1011.000.66
pH7.908.518.140.06
Conductivity (μ/cm)439.00719.00592.0029.79
Dissolved Oxygen (mg/L)9.2215.1112.330.62
M-DrWidth2.806.805.210.58
Depth (cm)15.5040.6727.003.78
Velocity (m/s)0.291.280.610.11
Temperature (°C)8.9015.1011.100.67
pH7.638.678.150.12
Conductivity (μ/cm)307.001770.00678.33142.92
Dissolved Oxygen (mg/L)9.1715.1111.990.61
M-UWidth2.253.142.690.11
Depth (cm)8.5020.6711.561.26
Velocity (m/s)0.250.570.360.03
Temperature (°C)6.8013.7011.470.70
pH6.718.347.620.18
Conductivity (μ/cm)319.00465.00389.7816.87
Dissolved Oxygen (mg/L)8.7412.1110.810.35
I-Du2Width10.9012.6011.940.17
Depth (cm)18.8347.8330.312.88
Velocity (m/s)0.351.770.610.15
Temperature (°C)9.0014.2011.440.70
pH7.337.937.640.07
Conductivity (μ/cm)271.00693.00531.5641.83
Dissolved Oxygen (mg/L)8.1812.5510.220.44
I-Du1Width10.1012.6011.260.32
Depth (cm)21.0040.3330.202.40
Velocity (m/s)0.220.580.390.04
Temperature (°C)9.0014.9012.300.73
pH7.107.897.560.09
Conductivity (μ/cm)427.00693.00565.7831.11
Dissolved Oxygen (mg/L)8.5713.3310.650.52
I-UWidth4.285.604.910.14
Depth (cm)11.1736.3317.412.47
Velocity (m/s)0.361.120.630.09
Temperature (°C)6.7014.0011.970.73
pH7.378.477.910.12
Conductivity (μ/cm)471.00633.00559.4421.56
Dissolved Oxygen (mg/L)7.9213.4811.250.59

Appendix B

Table A2. Comparison of response ratios between seasons on the restored (Medlock, M) and unrestored (Irk, I) rivers; p-values were calculated using Kruskal-Wallis tests and adjusted for multiple testing with the Benjamini-Hochberg procedure.
Table A2. Comparison of response ratios between seasons on the restored (Medlock, M) and unrestored (Irk, I) rivers; p-values were calculated using Kruskal-Wallis tests and adjusted for multiple testing with the Benjamini-Hochberg procedure.
M-Dr:M-DuM-Dr:M-UI-Du1:I-Du2I-Du1:I-U
p-ValueAdjusted p-Valuep-ValueAdjusted p-Valuep-ValueAdjusted p-Valuep-ValueAdjusted p-Value
Total richness0.410.410.540.540.7570.90840.2230.3345
Total abundance0.0320.048 *0.1760.2640.0780.1560<0.001 *
%EPT richness0.0450.0540.0170.0510.4250.63750.7090.709
%EPT abundance0.0020.012 *0<0.001 *0.0010.006 *0.0220.066
ASPT0.0310.0620.160.320.7590.7590.5030.6036
Shannon diversity0.0170.0510.4230.50760.0230.0690.0680.136
* marks metrics which are significant after adjustment.
Table A3. Response ratios calculated for each metric on the restored (Medlock, M) and unrestored (Irk, I) rivers. Arrows show which response ratios were compared using Mann-Whitney U tests.
Table A3. Response ratios calculated for each metric on the restored (Medlock, M) and unrestored (Irk, I) rivers. Arrows show which response ratios were compared using Mann-Whitney U tests.
Response RatioRestored River Unrestored River
Upstream M-Dr: M-USustainability 12 00695 i001I-Du1: I-U
DownstreamM-Dr: M-DuI-Du1: I-Du2
Table A4. Comparison of response ratios for each metric from the restored (Medlock, M) and unrestored (Irk, I) rivers; p-values were calculated using Mann-Whitney U tests and adjusted for multiple testing with the Benjamini-Hochberg procedure.
Table A4. Comparison of response ratios for each metric from the restored (Medlock, M) and unrestored (Irk, I) rivers; p-values were calculated using Mann-Whitney U tests and adjusted for multiple testing with the Benjamini-Hochberg procedure.
M-Dr: M-Du Compared with I-Du1: I-UM-Dr: M-U Compared with I-Du1: I-Du2
p-ValueAdjusted p-Valuep-ValueAdjusted p-Value
Total richness<0.001<0.001 *<0.001<0.001 *
Total abundance<0.001<0.001 *0.1490.2235
%EPT richness0.0290.03480.5360.6432
%EPT abundance<0.001<0.001 *0.6440.644
ASPT0.2670.267<0.001<0.001 *
Shannon diversity<0.001<0.001 *<0.001<0.001 *
* marks metrics which are significant after adjustment.

Appendix C. Welcome and Introduction (5 min)

  • Provide name badges and refreshments {available prior to focus group discussion).
  • Ask for consent and demographic forms to be filled in.
  • Thank participants for coming, check consent, confirm timings, explain how focus group will work and what it is about (how people use and feel about local parks, things they like and don’t like).
  • Answer any questions relating to session.
  • Set out ground rules e.g., all participants have a chance to talk, only one person to talk at a time.
  • Let’s start by introducing ourselves.

Appendix C.1. Use of the Park

Give everyone a card and ask them to tick their answer.
Sustainability 12 00695 g007
Discussion of answers on cards:
  • How often do you visit Philip’s Park and Clayton Vale?
  • Do you visit one park more often than the other?
  • May be dependent season/weather, week/weekend, school holidays.

Appendix C.2. Views of Local Park

  • Do you like going to the park? Why?
  • Do you avoid going to the park? Why?
  • Are there particular areas you like to visit or avoid visiting? {may be discussed in why)

Appendix C.3. Reasons for Visiting

Give everyone a card and ask them to tick their answer
Sustainability 12 00695 g008
Discussion of answers on cards:
  • Why do you visit Philip’s Park and Clayton Vale?
  • Do you visit for more than one reason?
  • What is your most important reason for visiting?
  • Do you have different reasons for visiting Philip’s Park or Clayton Vale?

Appendix C.4. Health Benefits

Sustainability 12 00695 g009
Sustainability 12 00695 g010
I’d like you to look at these pictures and think about visiting the park by yourself. If you were visiting to exercise or keep fit which would you most like to visit? Why?
Which would you least like to visit? Why?
If you were visiting to relax or reduce stress, which you most like to visit? Why?
Which would you least like to visit? Why?
I’d like you think about your visits to the park then look at these cards as a group and discuss where to place them on the scale (Velcro board with: ‘When I visit the park…’ and a scale with: ‘I feel’ at one end and ‘I don’t feel’ at the other).
  • Happy
  • Calm and relaxed
  • Refreshed and revitalised
  • Anxious and stressed
Prompt as to why they have placed the cards as they have on the scale.
  • How important is nature in enhancing your visits?
  • Which aspects of nature are most important in enhancing your visit?
  • Prompt on which aspects they notice.
  • Importance of different aspects {plants, birds, wildlife).

Appendix C.5. Restoration

Sustainability 12 00695 g011
I’d like to talk about the restoration of the river Medlock in Clayton Vale. Here are some pictures of the river: Before it was restored, during the process of restoration, and as it looks now.
  • Did you visit the river before it was restored?
  • Why did you visit the river?
  • Did you enjoy visiting the river?
  • Do you remember the restoration? How long did it take?
  • Did you use the park differently due to it?
  • Did you visit more or less often?
  • Did you enjoy visiting more or less?
  • Did you visit for different reasons or activities due to it?
  • Do you visit the river now that it has been restored?
  • Do you visit more or less often?
  • Do you enjoy visiting more or less?
  • Do you visit for different reasons or activities?

Appendix C.6. Blue Spaces

The pictures we’ve been talking about show the river running through Clayton Vale. I’d like talk about water—streams and ponds—in parks. Looking at these pictures:
Sustainability 12 00695 g012
Which would you rather visit? Why?
These are pictures of the river in Clayton Vale and Philip’s Park:
Sustainability 12 00695 g013
Which would you rather visit? Why?
  • How do you use blue spaces in Philip’s Park and Clayton Vale?
  • Prompt on river Medlock, nature ponds, duck pond.
  • Prompt on different activities.
Looking back at the cards on which you ticked your reasons for visiting Philip’s Park and Clayton Vale, I’d like you to think about your visits to areas of Philip’s Park and Clayton Vale with water. Are your reasons for visiting areas with water the same or different to visiting the parks as a whole?
  • Give everyone a card and ask them to tick an answer.
  • Discussion of answers on cards.
I’d like you to look at the board where you placed the different feelings you have when visiting the parks. Thinking about your visits to areas with water in Philip’s Park and Clayton Vale would you change where any of the cards are placed?
Prompt as to why if any changes are made.
  • How important is nature in enhancing your experience of blue spaces?
  • Which aspects of nature are most important in enhancing your visit?
  • Prompt on which aspects they notice.
  • Importance of different aspects {plants, birds, wildlife).

Appendix C.7. Queen’s Park and Blackley Forest

  • Substitute restoration section for:
  • Do you visit the river?
  • Why do you visit the river? {prompt on reasons/activities)
  • Do you enjoy visiting the river?
  • How do you feel about the river in its current condition?

References

  1. Keune, H.; Kretsch, C.; de Blust, G.; Gilbert, M.; Flandroy, L.; van den Berge, K.; Versteirt, V.; Hartig, T.; de Keersmaecker, L.; Eggermontet, H.; et al. Science—Policy challenges for biodiversity, public health and urbanization: Examples from Belgium. Environ. Res. Lett. 2013, 8, 025015. [Google Scholar] [CrossRef]
  2. Zhao, P.; Li, P. Rethinking the relationship between urban development, local health and global sustainability. Curr. Opin. Environ. Sustain. 2017, 25, 14–19. [Google Scholar] [CrossRef]
  3. Riechers, M.; Strack, M.; Barkmann, J.; Tscharntke, T. Cultural ecosystem services provided by urban green change along an urban-periurban gradient. Sustainability 2019, 11, 645. [Google Scholar] [CrossRef]
  4. Elmqvist, T.; Setala, H.; Handel, S.N.; van der Ploeg, S.; Aronson, J.; Blignaut, J.N.; Gomez-Baggethun, E.; Nowak, D.J.; Kronenberg, J.; de Groot, R. Benefits of restoring ecosystem services in urban areas. Curr. Opin. Environ. Sustain. 2015, 14, 101–108. [Google Scholar] [CrossRef]
  5. Society for Ecological Restoration (SER). The SER International Primer on Ecological Restoration. Tucson, Arizona, 2004. Available online: https://www.ctahr.hawaii.edu/littonc/PDFs/682_SERPrimer.pdf (accessed on 2 February 2019).
  6. Choi, Y.D. Restoration ecology to the future: A call for new paradigm. Restor. Ecol. 2007, 15, 351–353. [Google Scholar] [CrossRef]
  7. Geist, C.; Galatowitsch, S.M. Reciprocal model for meeting ecological and human needs in restoration projects. Conserv. Biol. 2016, 13, 970–979. [Google Scholar] [CrossRef]
  8. Smith, R.F.; Hawley, R.J.; Neale, M.W.; Vietz, G.J.; Diaz-Pascacio, E.; Hermann, J.; Lovell, A.C.; Prescott, C.; Rios-Touma, B.; Smith, B.; et al. Urban stream renovation: Incorporating societal objectives to achieve ecological improvements. Freshw. Sci. 2016, 35, 364–379. [Google Scholar] [CrossRef]
  9. Suding, K.; Higgs, E.; Palmer, M.; Callicott, J.B.; Anderson, C.B.; Baker, M.; Gutrich, J.J.; Hondula, K.L.; LaFevor, M.C.; Larson, B.M.H.; et al. Committing to ecological restoration. Science 2015, 348, 638–640. [Google Scholar] [CrossRef]
  10. Ford, A.E.S.; Graham, H.; White, P.C.L. Integrating human and ecosystem health through ecosystem services frameworks. Ecohealth 2015, 12, 660–671. [Google Scholar] [CrossRef]
  11. Ryder, D.S.; Miller, W. Setting goals and measuring success: Linking patterns and processes in stream restoration. Hydrobiologia 2005, 552, 147–158. [Google Scholar] [CrossRef]
  12. Alexander, S.; Aronson, J.; Whaley, O.; Lamb, D. The relationship between ecological restoration and the ecosystem services. Ecol. Soc. 2016, 21, 34. [Google Scholar] [CrossRef]
  13. Cockerill, K.; Anderson, W.P. Creating false images: Stream restoration in an urban setting. J. Am. Water Resour. Assoc. 2014, 50, 468–482. [Google Scholar] [CrossRef]
  14. Sudduth, E.B.; Hassett, B.A.; Cada, P.; Bernhardt, E.S. Testing the field of dreams hypothesis: Functional responses to urbanization and restoration in stream ecosystems. Ecol. Appl. 2011, 21, 1972–1988. [Google Scholar] [CrossRef] [PubMed]
  15. Kail, J.; Brabec, K.; Poppe, M.; Januschke, K. The effect of river restoration on fish, macroinvertebrates and aquatic macrophytes: A meta-analysis. Ecol. Indic. 2015, 58, 311–321. [Google Scholar] [CrossRef]
  16. Kupilas, B.; Friberg, N.; McKie, B.G.; Jochmann, M.A.; Lorenz, A.W.; Hering, D. River restoration and the trophic structure of benthic invertebrate communities across 16 European restoration projects. Hydrobiologia 2016, 769, 105–120. [Google Scholar] [CrossRef]
  17. Verdonschot, R.C.M.; Kail, J.; McKie, B.G.; Verdonschot, P.F.M. The role of benthic microhabitats in determining the effects of hydromorphological river restoration on macroinvertebrates. Hydrobiologia 2016, 769, 55–66. [Google Scholar] [CrossRef]
  18. Violin, C.R.; Cada, P.; Sudduth, E.B.; Hassett, B.A.; Penrose, D.L.; Bernhardtet, E.S. Effects of urbanization and urban stream restoration on the physical and biological structure of stream ecosystems. Ecol. Appl. 2011, 21, 1932–1949. [Google Scholar] [CrossRef]
  19. Neale, M.W.; Moffett, E.R. Re-engineering buried urban streams: Daylighting results in rapid changes in stream invertebrate communities. Ecol. Eng. 2016, 87, 175–184. [Google Scholar] [CrossRef]
  20. World Health Organisation. Urban Green Space and Health: Intervention Impacts and Effectiveness. Available online: http://www.euro.who.int/__data/assets/pdf_file/0010/337690/FULL-REPORT-for-LLP.pdf?ua=1 (accessed on 21 November 2019).
  21. Lovell, R.; Wheeler, B.W.; Higgins, S.L.; Irvine, K.N.; Depledge, M.H. A systematic review of the health and well-being benefits of biodiverse environments. J. Toxicol. Environ. Health Part B Crit. Rev. 2014, 17, 1–20. [Google Scholar] [CrossRef]
  22. Buijs, A.E. Public support for river restoration. A mixed-method study into local residents’ support for and framing of river management and ecological restoration in the Dutch floodplains. J. Environ. Manag. 2009, 90, 2680–2689. [Google Scholar] [CrossRef]
  23. Åberg, E.U.; Tapsell, S. Revisiting the River Skerne: The long-term social benefits of river rehabilitation. Landsc. Urban Plan. 2013, 113, 94–103. [Google Scholar] [CrossRef]
  24. McCormick, A.; Fisher, K.; Brierley, G. Quantitative assessment of the relationships among ecological, morphological and aesthetic values in a river rehabilitation initiative. J. Environ. Manag. 2015, 153, 60–67. [Google Scholar] [CrossRef] [PubMed]
  25. Westling, E.L.; Surridge, B.W.J.; Sharp, L.; Lerner, D.N. Making sense of landscape change: Long-term perceptions among local residents following river restoration. J. Hydrol. 2014, 519, 2613–2623. [Google Scholar] [CrossRef]
  26. River Restoration Centre. Cheonggyecheon Restoration Project. Available online: http://www.ecrr.org/Portals/27/Cheonggyecheon case study.pdf (accessed on 29 January 2019).
  27. Wortley, L.; Hero, J.M.; Howes, M. Evaluating ecological restoration success: A review of the literature. Restor. Ecol. 2013, 21, 537–543. [Google Scholar] [CrossRef]
  28. Petursdottir, T.; Aradottir, A.L.; Benediktsson, K. An evaluation of the short-term progress of restoration combining ecological assessment and public perception. Restor. Ecol. 2013, 21, 75–85. [Google Scholar] [CrossRef]
  29. Environment Agency. Irwell Catchment Flood Management Plan Summary Report December 2009. Available online: https://assets.publishing.service.gov.uk/government/uploads/system/uploads/attachment_data/file/293764/Irwell_Catchment_Flood_Management_Plan.pdf (accessed on 21 November 2019).
  30. Pickett, S.T. Space-for-time substitution as an alternative to long-term studies. In Long-Term Studies in Ecology: Approaches and Alternatives; Likens, G.E., Ed.; Springer: New York, NY, USA, 1989; pp. 110–135. [Google Scholar]
  31. Bonada, N.; Prat, N.; Resh, V.H.; Statzner, B. Developments in aquatic insect biomonitoring: A comparative analysis of recent approaches. Annu. Rev. Entomol. 2006, 51, 495–523. [Google Scholar] [CrossRef]
  32. Muotka, T.; Paavola, R.; Haapala, A.; Novikmec, M.; Laasonen, P. Long-term recovery of stream habitat structure and benthic invertebrate communities from in-stream restoration. Biol. Conserv. 2002, 105, 243–253. [Google Scholar] [CrossRef]
  33. Paisley, M.F.; Trigg, D.J.; Walley, W.J. Revision of the biological monitoring working party (BMWP) score system: Derivation of present-only and abundance-related scores from field data. River Res. Appl. 2007, 7, 189. [Google Scholar] [CrossRef]
  34. Benjamini, Y.; Hochberg, Y. Controlling the false discovery rate: A practical and powerful approach to multiple testing. J. R. Stat. Soc. Ser. B 1995, 57, 289–300. [Google Scholar] [CrossRef]
  35. Kaźmierczak, A. The contribution of local parks to neighbourhood social ties. Landsc. Urban Plan. 2013, 109, 31–44. [Google Scholar] [CrossRef]
  36. Kramer, D.; Lakerveld, J.; Stronks, K.; Kunst, A.E. Uncovering how urban regeneration programs may stimulate leisure-time walking among adults in deprived areas: A realist review. Int. J. Health Serv. 2017, 47, 703–724. [Google Scholar] [CrossRef] [PubMed]
  37. Liamputtong, P. Focus group methodology: Introduction and history. In Focus Group Methodology: Principles and Practice; Liamputtong, P., Ed.; SAGE Publications Ltd.: London, UK, 2011; pp. 1–14. [Google Scholar] [CrossRef]
  38. Braun, V.; Clarke, V. Using thematic analysis in psychology. Qual. Res. Psychol. 2006, 3, 77–101. [Google Scholar] [CrossRef]
  39. Furber, C. Framework analysis: A method for analysing qualitative data. Afr. J. Midwifery Women’s Health 2010, 4, 97–100. [Google Scholar] [CrossRef]
  40. Birks, M.; Mills, J. Grounded Theory: A Practical Guide, 2nd ed.; Sage: London, UK, 2015. [Google Scholar]
  41. Olshansky, E.F. Generating theory using grounded theory methodology. In Nursing Research Using Grounded Theory: Qualitative Designs and Methods in Nursing; de Chesnay, M., Ed.; Springer: New York, NY, USA, 2015; pp. 19–28. [Google Scholar]
  42. Harper, D. Talking about pictures: A case for photo elicitation. Vis. Stud. 2002, 17, 13–26. [Google Scholar] [CrossRef]
  43. Palmer, M.A.; Bernhardt, E.S.; Allan, J.D.; Lake, P.S.; Alexander, G.; Brooks, S.; Carr, J.; Clayton, S.; Dahm, C.N.; Follstad Shah, J.; et al. Standards for ecologically successful river restoration. J. Appl. Ecol. 2005, 42, 208–217. [Google Scholar] [CrossRef]
  44. Tonkin, J.D.; Stoll, S.; Sundermann, A.; Haase, P. Dispersal distance and the pool of taxa, but not barriers, determine the colonisation of restored river reaches by benthic invertebrates. Freshw. Biol. 2014, 59, 1843–1855. [Google Scholar] [CrossRef]
  45. Brederveld, R.J.; Jahnig, S.C.; Lorenz, A.W.; Brunzel, S.; Soons, M.B. Dispersal as a limiting factor in the colonization of restored mountain streams by plants and macroinvertebrates. J. Appl. Ecol. 2011, 48, 1241–1250. [Google Scholar] [CrossRef]
  46. Dallimer, M.; Irvine, K.N.; Skinner, A.M.J.; Davies, Z.G.; Rouquette, J.R.; Maltby, L.L.; Warren, P.H.; Armsworth, P.R.; Gaston, K.J. Biodiversity and the Feel-Good factor: Understanding associations between self-reported human well-being and species richness. Bioscience 2012, 62, 47–55. [Google Scholar] [CrossRef]
  47. Southon, G.E.; Jorgensen, A.; Dunnett, N.; Hoyle, H.; Evans, K.L. Perceived species-richness in urban green spaces: Cues, accuracy and well-being impacts. Landsc. Urban Plan. 2018, 172, 1–10. [Google Scholar] [CrossRef]
  48. Fischer, L.K.; Honold, J.; Cvejić, R.; Delshammar, T.; Hilbert, S.; Lafortezza, R. Beyond green: Broad support for biodiversity in multicultural European cities. Glob. Environ. Chang. 2018, 49, 35–45. [Google Scholar] [CrossRef]
  49. Dean, J.H.; Shanahan, D.F.; Bush, R.; Gaston, K.J.; Lin, B.B.; Barber, E. Is nature relatedness associated with better mental and physical health? Int. J. Environ. Res. Public Health 2018, 15, 1371. [Google Scholar] [CrossRef] [PubMed]
  50. Hartig, T.; Mitchell, R.; de Vries, S.; Frumkin, H. Nature and health. Annu. Rev. Public Health 2014, 35, 207–228. [Google Scholar] [CrossRef] [PubMed]
  51. Völker, S.; Kistemann, T. The impact of blue space on human health and well-being—Salutogenetic health effects of inland surface waters: A review. Int. J. Hyg. Environ. Health 2011, 214, 449–460. [Google Scholar] [CrossRef] [PubMed]
  52. Hoyle, H.; Hitchmough, J.; Jorgensen, A. All about the ‘wow factor’? The relationships between aesthetics, restorative effect and perceived biodiversity in designed urban planting. Landsc. Urban Plan. 2017, 164, 109–123. [Google Scholar] [CrossRef]
  53. Hoyle, H.; Jorgensen, A.; Hitchmough, J.D. What determines how we see nature? Perceptions of naturalness in designed urban green spaces. People Nat. 2019, 1, 167–180. [Google Scholar] [CrossRef]
  54. Lovell, R.; Husk, K.; Cooper, C.; Stahl-Timmins, W.; Garside, R. Understanding how environmental enhancement and conservation activities may benefit health and wellbeing: A systematic review. BMC Public Health 2015, 15, 864. [Google Scholar] [CrossRef]
  55. Metcalf, E.C.; Mohr, J.J.; Yung, L.; Metcalf, P.; Craig, D. The role of trust in restoration success: Public engagement and temporal and spatial scale in a complex social-ecological system. Restor. Ecol. 2015, 23, 315–324. [Google Scholar] [CrossRef]
  56. Cooper, B.; Crase, L.; Maybery, D. Incorporating amenity and ecological values of urban water into planning frameworks: Evidence from Melbourne, Australia. Australas. J. Environ. Manag. 2017, 24, 64–80. [Google Scholar] [CrossRef]
  57. Nassauer, J.I. Messy ecosystems, orderly frames. Landsc. J. 1995, 14, 161–170. [Google Scholar] [CrossRef]
  58. Bonevski, B.; Randell, M.; Paul, C.; Chapman, K.; Twyman, L.; Bryant, J.; Brozek, I.; Hughes, C. Reaching the hard-to-reach: A systematic review of strategies for improving health and medical research with socially disadvantaged groups. BMC Med. Res. Methodol. 2014, 14, 1–29. [Google Scholar] [CrossRef]
  59. Astell-Burt, T.; Mitchell, R.; Hartig, T. The association between green space and mental health varies across the lifecourse. A longitudinal study. J. Epidemiol. Community Health 2014, 68, 578–583. [Google Scholar] [CrossRef] [PubMed]
  60. Richardson, E.; Mitchell, R. Gender differences in relationships between urban green space and health in the United Kingdom. Soc. Sci. Med. 2010, 71, 568–575. [Google Scholar] [CrossRef] [PubMed]
  61. Pritchard, A.; Richardson, M.; Sheffield, D.; McEwan, K. The relationship between nature connectedness and eudaimonic well-being: A meta-analysis. J. Happiness Stud. 2019. [Google Scholar] [CrossRef]
  62. Boyd, F.; White, M.P.; Bell, S.L.; Burt, J. Who doesn’t visit natural environments for recreation and why: A population representative analysis of spatial, individual and temporal factors among adults in England. Landsc. Urban Plan. 2018, 175, 102–113. [Google Scholar] [CrossRef]
Figure 1. Pictures of the river Medlock in Clayton Vale (a) pre- and (b) post-restoration; (c) an unrestored section of the river downstream in Philips Park.
Figure 1. Pictures of the river Medlock in Clayton Vale (a) pre- and (b) post-restoration; (c) an unrestored section of the river downstream in Philips Park.
Sustainability 12 00695 g001
Figure 2. Schematic diagram showing the two rivers: The Medlock which has been restored, and the Irk, which has not; and the location of sampling sites in relation to one another. The squares represent the upstream baseline sites on each river, the triangle and diagonal lines the restored site, and the circles show sites which have not been restored. Sites which relate to the focus group discussions are named.
Figure 2. Schematic diagram showing the two rivers: The Medlock which has been restored, and the Irk, which has not; and the location of sampling sites in relation to one another. The squares represent the upstream baseline sites on each river, the triangle and diagonal lines the restored site, and the circles show sites which have not been restored. Sites which relate to the focus group discussions are named.
Sustainability 12 00695 g002
Figure 3. Pictures of the six sites included in the study: Three on the restored river Medlock and three on the unrestored river Irk.
Figure 3. Pictures of the six sites included in the study: Three on the restored river Medlock and three on the unrestored river Irk.
Sustainability 12 00695 g003
Figure 4. Comparison of macroinvertebrate diversity and pollution tolerance metrics for all sites on the restored and unrestored rivers. The box signifies the upper and lower quartiles, the central line is the median. The whiskers are 5% and 95%, whilst dots and stars show outliers.
Figure 4. Comparison of macroinvertebrate diversity and pollution tolerance metrics for all sites on the restored and unrestored rivers. The box signifies the upper and lower quartiles, the central line is the median. The whiskers are 5% and 95%, whilst dots and stars show outliers.
Sustainability 12 00695 g004
Figure 5. Comparison of response ratios of diversity and pollution tolerance metrics for the restored (M-Dr) and upstream (M-U) sites on the Medlock, and unrestored and upstream sites (I-Du1 and I-U) on the Irk. The box signifies the upper and lower quartiles, the central line is the median. The whiskers are 5% and 95%, whilst dots and stars show outliers.
Figure 5. Comparison of response ratios of diversity and pollution tolerance metrics for the restored (M-Dr) and upstream (M-U) sites on the Medlock, and unrestored and upstream sites (I-Du1 and I-U) on the Irk. The box signifies the upper and lower quartiles, the central line is the median. The whiskers are 5% and 95%, whilst dots and stars show outliers.
Sustainability 12 00695 g005
Figure 6. Comparison of response ratios of diversity and pollution tolerance metrics for restored (M-Dr) and downstream unrestored (M-Du) sites on the Medlock, and unrestored comparison sites (I-Du1 and I-Du2) on the Irk. The box signifies the upper and lower quartiles, the central line is the median. The whiskers are 5% and 95%, whilst dots and stars show outliers.
Figure 6. Comparison of response ratios of diversity and pollution tolerance metrics for restored (M-Dr) and downstream unrestored (M-Du) sites on the Medlock, and unrestored comparison sites (I-Du1 and I-Du2) on the Irk. The box signifies the upper and lower quartiles, the central line is the median. The whiskers are 5% and 95%, whilst dots and stars show outliers.
Sustainability 12 00695 g006
Table 1. Response ratios calculated for each metric on the restored (Medlock, M) and unrestored (Irk, I) rivers. Arrows show which response ratios were compared using Mann-Whitney U tests.
Table 1. Response ratios calculated for each metric on the restored (Medlock, M) and unrestored (Irk, I) rivers. Arrows show which response ratios were compared using Mann-Whitney U tests.
Response RatioRestored River Unrestored River
Upstream M-Dr: M-UI-Du1: I-U
DownstreamM-Dr: M-DuI-Du1: I-Du2
Table 2. Mean response ratios for each metric for the restored (Medlock, M) and unrestored (Irk, I) rivers, with standard error in parentheses; p-values were calculated using Mann-Whitney U tests and adjusted for multiple testing with the Benjamini-Hochberg procedure.
Table 2. Mean response ratios for each metric for the restored (Medlock, M) and unrestored (Irk, I) rivers, with standard error in parentheses; p-values were calculated using Mann-Whitney U tests and adjusted for multiple testing with the Benjamini-Hochberg procedure.
Restored River Unrestored River
M-Dr: M-Dup-ValueAdjusted p-ValueM-Dr: M-Up-ValueAdjusted p-ValueI-Du1: I-Du2p-ValueAdjusted p-ValueI-Du1: I-Up-ValueAdjusted p-Value
Total richness0.63 (0.08)<0.001<0.001 *−0.46 (0.05)<0.001<0.001 *0.14 (0.04)0.0140.022 *0.24 (0.05)<0.001<0.001 *
Total abundance0.81 (0.17)<0.001<0.001 *0.29 (0.08)<0.001<0.001 *0.14 (0.09)0.3860.421−0.14 (0.10)0.3860.421
%EPT richness0.32 (0.25)0.5130.535−0.23 (0.12)<0.001<0.001 *−0.26 (0.07)<0.001<0.001 *0.42 (0.09)<0.001<0.001 *
%EPT abundance1.50 (0.16)<0.001<0.001 *−0.73 (0.23)0.0830.105−0.42 (0.17)0.0830.1050.18 (0.14)0.6650.665
ASPT 0.05 (0.03)<0.001<0.001 *−0.16 (0.03)<0.001<0.001 *−0.03 (0.02)0.0830.1050.10 (0.02)<0.001<0.001 *
Shannon diversity0.70 (0.11)0.1270.152−0.37 (0.05)<0.001<0.001 *−0.06 (0.05)0.0020.003 *0.07 (0.05)0.0830.105
* marks metrics which are significant after adjustment.
Table 3. Comparison of response ratios for each metric from the restored (Medlock, M) and unrestored (Irk, I) rivers; p-values were calculated using Mann-Whitney U tests and adjusted for multiple testing with the Benjamini-Hochberg procedure.
Table 3. Comparison of response ratios for each metric from the restored (Medlock, M) and unrestored (Irk, I) rivers; p-values were calculated using Mann-Whitney U tests and adjusted for multiple testing with the Benjamini-Hochberg procedure.
M-Dr: M-Du Compared with I-Du1: I-Du2M-Dr: M-U Compared with I-Du1: I-U
p-ValueAdjusted p-Valuep-ValueAdjusted p-Value
Total richness<0.001<0.001 *<0.001<0.001 *
Total abundance<0.001<0.001 *0.0040.005 *
%EPT richness0.0770.077<0.001<0.001 *
%EPT abundance<0.001<0.001 *0.0140.017 *
ASPT 0.0380.041 *<0.001<0.001 *
Shannon diversity<0.001<0.001 *<0.001<0.001 *
* marks metrics which are significant after adjustment.
Table 4. Comparison of the views of local users on the social benefits of river restoration.
Table 4. Comparison of the views of local users on the social benefits of river restoration.
Restored River (Medlock)Unrestored River (Irk)
Increasing ecological integrityUsers perceived the restoration site as more natural than the unrestored downstream site and the river Irk.Users perceived the restoration site as more natural than the unrestored downstream site and the river Irk.
Users felt there was a noticeable improvement in the variety of wildlife seen at the restoration site. Restoration was discussed in terms of tidying up and management, changes to improve ecological health were seen as messy.
Benefitting and engaging societyUrban natural spaces give people a space away from the urban environment where they can go to reduce stress and feel calm and refreshed.Urban natural spaces give people a space away from the urban environment where they can go to reduce stress and feel calm and refreshed.
The sound of water is important, viewing and listening to water is calming and relaxing.The sound of water is important, viewing and listening to water is calming and relaxing.
Participants expressed preferences for a range of habitat types and wildlife; these made the visit more interesting and gave focal points for their visits.Participants expressed preferences for a range of habitat types and felt seeing a variety of wildlife in green spaces was important when they felt stressed.
Restoration of the local area was viewed positively; the process of restoration caused little disruption. Future restoration of the local area is viewed positively.
Wildlife conservation was a motivation for volunteering.Improving the local environment was a motivation for volunteering.
Taking account of the past and futureLocal users are proud of the history of the area and built features that represent that history, opposing their removal.Local users are proud of the history of the area and oppose the removal of features that reflect that history despite their potential negative environmental impacts.
People accept built features; they feel they serve a purpose, or they have been present for a long time.People accept built features; they feel they serve a purpose, or they have been present for a long time. Users who are not familiar with the history of the space hold negative views of less attractive built features.
All users wanted to see restoration, some felt that it should respect the industrial heritage of the area, others that it should concentrate on improving the environment.All users wanted to see restoration, some felt that it should respect the industrial heritage of the area, others that it should concentrate on improving the environment.
SustainabilityUsers felt that restoration is needed to provide accessible spaces that people want to use and feel safe visiting.Users felt that restoration is needed to provide accessible spaces that people want to use but had negative views of restoration which did not also consider nature.
Facilities mean that a wide range of users can access the space and also attract people to the space; paths and play equipment were mentioned as important.Facilities mean that a wide range of users can access the space and also attract people to the space; paths, toilets, and play equipment were all mentioned as important.
Users felt that although the restoration looks good now, it may deteriorate if it is not cared for in the future.

Share and Cite

MDPI and ACS Style

de Bell, S.; Graham, H.; White, P.C.L. Evaluating Dual Ecological and Well-Being Benefits from an Urban Restoration Project. Sustainability 2020, 12, 695. https://doi.org/10.3390/su12020695

AMA Style

de Bell S, Graham H, White PCL. Evaluating Dual Ecological and Well-Being Benefits from an Urban Restoration Project. Sustainability. 2020; 12(2):695. https://doi.org/10.3390/su12020695

Chicago/Turabian Style

de Bell, Siân, Hilary Graham, and Piran C. L. White. 2020. "Evaluating Dual Ecological and Well-Being Benefits from an Urban Restoration Project" Sustainability 12, no. 2: 695. https://doi.org/10.3390/su12020695

APA Style

de Bell, S., Graham, H., & White, P. C. L. (2020). Evaluating Dual Ecological and Well-Being Benefits from an Urban Restoration Project. Sustainability, 12(2), 695. https://doi.org/10.3390/su12020695

Note that from the first issue of 2016, this journal uses article numbers instead of page numbers. See further details here.

Article Metrics

Back to TopTop