Population Density and Spatial Patterns of Informal Settlements in Nairobi, Kenya
Abstract
1. Introduction
2. Data and Methodology
2.1. Data Sources
2.2. Moran Indexes and Spatial Agglomeration
2.3. Population Density Models for Single City Center
3. Results
3.1. Identify Where the Population Agglomeration is in Nairobi
3.2. Changes of Population Density in Informal Settlements
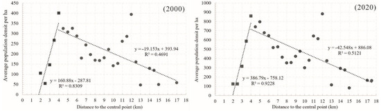
3.3. Determining the Population Density Model for Nairobi
4. Discussions
4.1. More Contribution of Informal Settlements to Population Increase in Nairobi
4.2. Factors Determining Population Density Distribution
4.3. Suggestions to Policymakers in Urban Management
4.4. Limitations and Further Research
5. Conclusions
- (1)
- In the past 20 years, the population density of Nairobi has increased rapidly, and informal settlements are the centers of population growth and agglomeration.
- (2)
- Due to the influence of the large-scale distribution of informal settlements, the classic population density models cannot explain the population distribution pattern of cities in Kenya well. Our finding is that piecewise exponential functions are more suitable.
- (3)
- The informal settlements are usually close to areas where urbanization is booming. The 4-km and 8-km belts are the main areas that the population is gathering. Employment, housing, and commuting are the main factors affecting the development of informal settlements.
- (4)
- The correlation between population density and distance is positive within the 4-km area, while in areas outside 8 km, they are negatively related. We also concluded that the informal settlements nearby the 4-km belt will face greater population pressure in the future.
Author Contributions
Funding
Conflicts of Interest
References
- Alder, G. Tackling poverty in Nairobi’s informal settlements: Developing an institutional strategy. Environ. Urban. 1995, 7, 85–108. [Google Scholar] [CrossRef]
- Simiyu, S.; Cairncross, S.; Swilling, M. Understanding living conditions and deprivation in informal settlements of Kisumu, Kenya. Urban Forum 2019, 30, 223–241. [Google Scholar] [CrossRef]
- United Nations Human Settlements Programme (UN-Habitat). Habitat III Issue Paper 22—Informal Settlements; Report of the Conference on Housing and Sustainable Urban Development; United Nations Human Settlements Programme: New York, NY, USA, 2016. [Google Scholar]
- Satterthwaite, D.; Sverdlik, A.; Brown, D. Revealing and responding to multiple health risks in informal settlements in sub-Saharan African cities. J. Urban Health 2019, 96, 112–122. [Google Scholar] [CrossRef] [PubMed]
- United Nations Human Settlements Programme (UN-Habitat). UN-Habitat Support to Sustainable Urban Development in Kenya: Addressing Urban Informality. 2016. Available online: https://unhabitat.org/sites/default/files/download-manager-files/UN-Habitat%20SSUDK_%20Report_Vol%204_final.LowRes.pdf (accessed on 21 June 2020).
- Kamunyori, S.W. Concept Project Information Document Integrated Safeguards Data Sheet. Report of Kenya Informal Settlements Improvement Project 2-P167814, World Bank Group, 2019. Available online: https://documents.worldbank.org/en/publication/documents-reports/documentdetail/500301511794282642/concept-project-information-document-integrated-safeguards-data-sheet (accessed on 16 June 2020).
- Keivani, R. A review of the main challenges to urban sustainability. Int. J. Urban Sustain. Dev. 2010, 1, 5–16. [Google Scholar] [CrossRef]
- Penrose, K.; De Castro, M.C.; Werema, J.; Ryan, E.T. Informal urban settlements and cholera risk in Dar es Salaam, Tanzania. PLoS Negl. Trop. Dis. 2010, 4, e631. [Google Scholar] [CrossRef] [PubMed]
- Sverdlik, A. Ill-health and poverty: A literature review on health in informal settlements. Environ. Urban. 2011, 23, 123–155. [Google Scholar] [CrossRef]
- Obudho, R.A. Nairobi: National capital and regional hub. In The Urban Challenge in Africa: Growth and Management of Its Large Cities; Rakodi, C., Ed.; United Nations University Press: Tokyo, Japan; New York, NY, USA; Paris, France, 1997; pp. 292–336. [Google Scholar]
- Kenya National Bureau of Statistics (KNBS). 2019 Kenya Population and Housing Census Volume I: Population by County and Sub-County; KNBS Publications: Nairobi, Kenya, 2019. [Google Scholar]
- Amnesty International. Kenya: The Unseen Majority: Nairobi’s Two Million Slum-Dwellers; Amnesty International Publications: London, UK, 2019; p. 3. [Google Scholar]
- African Population and Health Research Center (APHRC). Population and Health Dynamics in Nairobi’s Informal Settlements. Report of the Nairobi Cross-sectional Slums Survey (NCSS), 2012. Available online: https://assets.publishing.service.gov.uk/media/57a089f240f0b64974000338/NCSS2-FINAL-Report.pdf (accessed on 7 June 2020).
- De Filippi, F.; Cocina, G.G.; Martinuzzi, C. Integrating different data sources to address urban security in informal areas. The case study of Kibera, Nairobi. Sustainability 2020, 12, 2437. [Google Scholar] [CrossRef]
- Wilkinson, A. Local response in health emergencies: Key considerations for addressing the COVID-19 pandemic in informal urban settlements. Environ. Urban. 2020, 1–20. [Google Scholar] [CrossRef]
- Mutisya, E.; Yarime, M. Understanding the grassroots dynamics of slums in Nairobi: The dilemma of Kibera informal settlements. Int. Trans. J. Eng. Manag. Appl. Sci. Technol. 2011, 2, 197–213. [Google Scholar]
- Mundia, C.N.; Aniya, M. Analysis of land use/cover changes and urban expansion of Nairobi city using remote sensing and GIS. Int. J. Remote Sens. 2005, 26, 2831–2849. [Google Scholar] [CrossRef]
- Champion, A.G. A changing demographic regime and evolving poly centric urban regions: Consequences for the size, composition and distribution of city populations. Urban Stud. 2001, 38, 657–677. [Google Scholar] [CrossRef]
- Kabisch, N.; Haase, D. Diversifying European agglomerations: Evidence of urban population trends for the 21st century. Popul. Space Place 2011, 17, 236–253. [Google Scholar] [CrossRef]
- Wanyama, R.; Gödecke, T.; Qaim, M. Food security and dietary quality in African slums. Sustainability 2019, 11, 5999. [Google Scholar] [CrossRef]
- K’akumu, O.A.; Olima, W.H.A. The dynamics and implications of residential segregation in Nairobi. Habitat Int. 2007, 31, 87–99. [Google Scholar] [CrossRef]
- Beguy, D.; Bocquier, P.; Zulu, E.M. Circular migration patterns and determinants in Nairobi slum settlements. Demogr. Res. 2010, 23, 549–586. [Google Scholar] [CrossRef]
- Cosentino, C.; Amato, F.; Murgante, B. Population-based simulation of urban growth: The Italian case study. Sustainability 2018, 10, 4838. [Google Scholar] [CrossRef]
- Clark, C. Urban population densities. J. R. Stat. Soc. Ser. A 1951, 114, 490–496. [Google Scholar] [CrossRef]
- Newling, B.E. The spatial variation of urban population densities. Geogr. Rev. 1969, 59, 242–252. [Google Scholar] [CrossRef]
- McMillen, D.P.; McDonald, J.F. Suburban subcenters and employment density in metropolitan Chicago. J. Urban Econ. 1998, 43, 157–180. [Google Scholar] [CrossRef]
- Xu, G.; Jiao, L.; Yuan, M.; Dong, T.; Zhang, B.; Du, C. How does urban population density decline over time? An exponential model for Chinese cities with international comparisons. Landsc. Urban Plan. 2019, 183, 59–67. [Google Scholar] [CrossRef]
- Mundia, C.N.; Aniya, M. Dynamics of landuse/cover changes and degradation of Nairobi City, Kenya. Land Degrad. Dev. 2006, 17, 97–108. [Google Scholar] [CrossRef]
- Mberu, B.U.; Ezeh, A.C.; Chepngeno-Langat, G.; Kimani, J.; Oti, S.; Beguy, A.D. Family ties and urban–rural linkages among older migrants in nairobi informal settlements. Popul. Space Place 2013, 19, 275–293. [Google Scholar] [CrossRef]
- Githira, D.N. Growth and Eviction of Informal Settlements in Nairobi; University of Twente Faculty of Geo-Information and Earth Observation (ITC): Enschede, The Netherlands, 2016; p. 103. [Google Scholar]
- Corburn, J.; Karanja, I. Informal settlements and a relational view of health in Nairobi, Kenya: Sanitation, gender and dignity. Health Promot. Int. 2014, 31, 258–269. [Google Scholar] [CrossRef] [PubMed]
- Taffa, N.; Chepngeno, G. Determinants of health care seeking for childhood illnesses in Nairobi slums. Trop. Med. Int. Health 2005, 10, 240–245. [Google Scholar] [CrossRef] [PubMed]
- Olima, W.H. The Dynamics and Implications of Sustaining Urban Spatial Segregation in Kenya: Experiences from Nairobi Metropolis; Lincoln Institute of Land Policy: Cambridge, MA, USA, 2017. [Google Scholar]
- Zulu, E.M.; Beguy, D.; Ezeh, A.C.; Bocquier, P.; Madise, N.J.; Cleland, J.; Falkingham, J. Overview of migration, poverty and health dynamics in Nairobi City’s slum settlements. J. Urban Health 2011, 88, 185–199. [Google Scholar] [CrossRef]
- Kahimbaara, J.A. The population density gradient and the spatial structure of a third world city: Nairobi, a case study. Urban Stud. 1986, 23, 307–322. [Google Scholar] [CrossRef]
- Visagie, J.; Turok, I. Getting urban density to work in informal settlements in Africa. Environ. Urban. 2020, 1–20. [Google Scholar] [CrossRef]
- Lloyd, C.T.; Sorichetta, A.; Tatem, A.J. High resolution global gridded data for use in population studies. Sci. Data 2017, 4, 1–17. [Google Scholar] [CrossRef]
- Linard, C.; Gilbert, M.; Snow, R.W.; Noor, A.M.; Tatem, A.J. Population distribution, settlement patterns and accessibility across Africa in 2010. PLoS ONE 2012, 7, e31743. [Google Scholar] [CrossRef]
- Tatem, A.J. Worldpop, open data for spatial demography. Sci. Data 2017, 4, 1–4. [Google Scholar] [CrossRef]
- United Nations Human Settlements Programme (UN-Habitat). The State of the World’s Cities Report 2006/2007: 30 Years of Shaping the Habitat Agenda; Earthscan: London, UK, 2017; p. 185. [Google Scholar]
- Areum, J.; Lee, S.K.; Kim, J. Gender gaps in the use of urban space in Seoul: Analyzing spatial patterns of temporary populations using mobile phone data. Sustainability 2020, 12, 6481. [Google Scholar]
- Ma, G.; Hofmann, E.T. Population, immigration, and air quality in the USA: A spatial panel study. Popul. Environ. 2019, 40, 283–302. [Google Scholar] [CrossRef]
- Yu, D.; Zhang, Y.; Wu, X. How socioeconomic and environmental factors impact the migration destination choices of different population groups in China: An eigenfunction-based spatial filtering analysis. Popul. Environ. 2020, 41, 372–395. [Google Scholar] [CrossRef]
- He, Y.; Zhou, G.; Tang, C.; Fan, S.; Guo, X. The spatial organization pattern of urban-rural integration in urban agglomerations in China: An agglomeration-diffusion analysis of the population and firms. Habitat Int. 2019, 87, 54–65. [Google Scholar] [CrossRef]
- Chen, Y. A new model of urban population density indicating latent fractal structure. Int. J. Urban Sustain. Dev. 2010, 1, 89–110. [Google Scholar] [CrossRef]
- Qiang, Y.; Xu, J.; Zhang, G. The shapes of US cities: Revisiting the classic population density functions using crowdsourced geospatial data. Urban Stud. 2019, 57, 2147–2162. [Google Scholar] [CrossRef]
- Desgroppes, A.; Taupin, S. Kibera: The biggest slum in Africa? Les Cahiers d’Afrique de l’Est/The East African Review. Available online: http://journals.openedition.org/eastafrica/521 (accessed on 15 June 2020).
- Aina, T.A. Petty landlords and poor tenants in a low-income settlement in metropolitan Lagos, Nigeria. In Housing Africa’s Urban Poor; Amis, B.P., Lloyd, P., Eds.; Routledge: London, UK, 2018; pp. 87–101. [Google Scholar]
- Marx, B.; Stoker, T.; Suri, T. The economics of slums in the developing world. J. Econ. Perspect. 2013, 27, 187–210. [Google Scholar] [CrossRef]
- Li, B.; Chen, C.; Hu, B. Governing urbanization and the new urbanization plan in China. Environ. Urban. 2016, 28, 515–534. [Google Scholar] [CrossRef]
- Bird, J.; Montebruno, P.; Regan, T. Life in a slum: Understanding living conditions in Nairobi’s slums across time and space. Oxf. Rev. Econ. Policy 2017, 33, 496–520. [Google Scholar] [CrossRef]
- Ono, H.; Kidokoro, T. Understanding the development patterns of informal settlements in Nairobi. Jap. Archit. Rev. 2020, 3, 384–393. [Google Scholar] [CrossRef]
- Mcgill, R. Urban management in developing countries. Cities 1998, 15, 463–471. [Google Scholar] [CrossRef]
- Arribas-Bel, D.; Sanz-Gracia, F. The validity of the monocentric city model in a polycentric age: US metropolitan areas in 1990, 2000 and 2010. Urban Geogr. 2014, 35, 980–997. [Google Scholar] [CrossRef]
- Ahlfeldt, G.M.; Wendland, N. How polycentric is a monocentric city? Centers, spillovers and hysteresis. J. Econ. Geogr. 2013, 13, 53–83. [Google Scholar] [CrossRef]







| Number | Name | Area/ha | Inhabitants/ha | Net Increased Inhabitant/ha 2000–2020 | ||
|---|---|---|---|---|---|---|
| 2000 | 2010 | 2020 | ||||
| 1 | Dandora | 182.15 | 248.61 | 403.18 | 585.31 | 336.7 |
| 2 | Huruma | 78.14 | 614.44 | 911.93 | 1381.42 | 766.98 |
| 3 | Estate | 249.08 | 146.32 | 281.17 | 318.26 | 171.94 |
| 4 | Kangwangware | 329.14 | 186.25 | 272.76 | 399.94 | 213.69 |
| 5 | Kiambiu | 50.02 | 284.26 | 529.78 | 714.16 | 429.9 |
| 6 | Kibera | 287.13 | 439.43 | 671.88 | 985.70 | 546.27 |
| 7 | Korogocho | 99.74 | 281.84 | 481.86 | 588.93 | 307.09 |
| 8 | Kwa Njenga | 133.21 | 155.26 | 257.00 | 358.74 | 203.48 |
| 9 | Majengo | 60.45 | 253.27 | 380.81 | 577.98 | 324.71 |
| 10 | Mathare | 100.70 | 329.72 | 519.27 | 804.99 | 475.27 |
| 11 | Mukuru | 49.02 | 92.56 | 122.61 | 186.95 | 94.39 |
| 12 | Sweto | 192.23 | 139.83 | 224.86 | 333.45 | 193.62 |
| 13 | Tsaaia | 40.51 | 125.09 | 188.38 | 257.73 | 132.64 |
| 14 | Viwandani | 167.11 | 140.22 | 211.09 | 306.58 | 166.36 |
| Models | Year | Area | a | b | c | d | R2 |
|---|---|---|---|---|---|---|---|
| Linear | 2000 | x ≤ 8 km | 3.254 | 31.365 * | 0.114 | ||
| x > 8 km | −1.457 ** | 39.043 ** | 0.681 | ||||
| 2020 | x ≤ 8 km | 7.249 | 65.098 * | 0.125 | |||
| x > 8 km | −3.114 ** | 83.102 ** | 0.681 | ||||
| Quadratic | 2000 | x ≤ 8 km | −2.890 * | 27.816 * | −5.477 | 0.491 | |
| x > 8 km | 0.142 ** | −7.224 ** | 90.599 ** | 0.930 | |||
| 2020 | x ≤ 8 km | −6.170 * | 59.692 * | −13.567 | 0.504 | ||
| x > 8 km | 0.300 ** | −15.251 ** | 191.614 ** | 0.923 | |||
| Cubic | 2000 | x ≤ 8 km | 0.711 | −11.957 | 59.588 * | −31.319 | 0.582 |
| x > 8km | −0.008 * | 0.623 ** | −16.272 ** | 142.459 ** | 0.908 | ||
| 2020 | x ≤ 8 km | 1.530 | −25.677 | 128.044 * | −69.162 | 0.597 | |
| x > 8 km | −0.018 ** | 1.395 ** | −35.870 ** | 309.784 ** | 0.955 | ||
| Ln | 2000 | x ≤ 8 km | 15.188 * | 26.609 | 0.273 | ||
| x > 8 km | −29.356 ** | 95.904 ** | 0.814 | ||||
| 2020 | x ≤ 8 km | 33.529 * | 54.870 * | 0.293 | |||
| x > 8 km | −62.667 ** | 204.423 * | 0.813 | ||||
| Clark model | 2000 | x ≤ 8 km | 22.514 * | 0.131 * | 0.276 | ||
| x > 8 km | 159.973 ** | −0.180 ** | 0.900 | ||||
| 2020 | x ≤ 8 km | 42.445 * | 0.153 ** | 0.283 | |||
| x > 8 km | 382.604 ** | −0.188 ** | 0.954 | ||||
| Newling model | 2000 | x ≤ 8 km | 8.061 * | 0.816 ** | −0.081 ** | 0.714 | |
| x > 8 km | 1754.607 ** | −0.448 ** | 0.007 ** | 0.947 | |||
| 2020 | x ≤ 8 km | 13.290 ** | 0.927 ** | −0.091 ** | 0.705 | ||
| x > 8 km | 2149.520 ** | −0.381 ** | 0.005 ** | 0.978 | |||
| McMillen model | 2000 | x ≤ 8 km | 60.886 ** | −1.037 ** | 0.729 | ||
| x > 8 km | 5.918 ** | −0.094 ** | 27.432 ** | 0.927 | |||
| 2020 | x ≤ 8 km | 138.518 ** | −1.260 ** | 0.821 | |||
| x > 8 km | 28.847 ** | −0.121 ** | 21.508 ** | 0.970 |
© 2020 by the authors. Licensee MDPI, Basel, Switzerland. This article is an open access article distributed under the terms and conditions of the Creative Commons Attribution (CC BY) license (http://creativecommons.org/licenses/by/4.0/).
Share and Cite
Ren, H.; Guo, W.; Zhang, Z.; Kisovi, L.M.; Das, P. Population Density and Spatial Patterns of Informal Settlements in Nairobi, Kenya. Sustainability 2020, 12, 7717. https://doi.org/10.3390/su12187717
Ren H, Guo W, Zhang Z, Kisovi LM, Das P. Population Density and Spatial Patterns of Informal Settlements in Nairobi, Kenya. Sustainability. 2020; 12(18):7717. https://doi.org/10.3390/su12187717
Chicago/Turabian StyleRen, Hang, Wei Guo, Zhenke Zhang, Leonard Musyoka Kisovi, and Priyanko Das. 2020. "Population Density and Spatial Patterns of Informal Settlements in Nairobi, Kenya" Sustainability 12, no. 18: 7717. https://doi.org/10.3390/su12187717
APA StyleRen, H., Guo, W., Zhang, Z., Kisovi, L. M., & Das, P. (2020). Population Density and Spatial Patterns of Informal Settlements in Nairobi, Kenya. Sustainability, 12(18), 7717. https://doi.org/10.3390/su12187717

