Abstract
In order to improve the study of the spatial form of villages, fractal theory is used to analyze the plane and facade of Maling Village, Changdai Town, Mengjin County, Luoyang City, Henan Province, China. The results show that the village facade and plane spatial shape of Maling Village have obvious fractal characteristics and the fractal dimension can be used as an important index to evaluate the plane and facade shape of the village. The fractal dimension of each land use type is between 1.2415 and 1.7443. The stability index of land use types in the village follows the order of village construction land > cultivated land > road > garden land > woodland > grassland. The research results can provide decision-making information for the rational use and planning of village land.
1. Introduction
According to the data in the “world urbanization prospects in 2018” released by the United Nations, nearly half of the world’s population lives in rural areas [1], and the village is an important place for human to live and produce. For a long time, due to historical factors, natural conditions, living habits, and other reasons, the spatial layout of villages has been greatly affected by the spontaneous activities of farmers, and unreasonable use of land, loose spatial structure, and disorderly morphological development are present in most villages [2,3]. Spatial morphological characteristics of villages show obvious irregularity, instability, and disunity. Villages are an important part of land spatial planning, and the optimization of village layout is the focus of village land use research [4,5]. Due to the complexity of the spatial form of villages, the common geometric and topological analysis cannot complete the whole complexity research of village structure and function. American mathematician Mandelbrot put forward fractal theory in the 1960s–1970s [6,7]. Fractal theory regards dimension as a fraction, we can see the fine structure hidden in chaotic systems with the help of self-similarity within things. Fractal dimension can better reflect the discreteness, complexity, continuity of space subjects, and the relationship between them and their surrounding space subjects. It has a significant effect on explaining the irregular, unstable, and highly complex phenomena in nature [8]. With the development and application of fractal theory in geographical space, it has gradually become a useful tool to study the spatial characteristics and temporal evolution of surface phenomena. It also provides a new idea for the study of village spatial form.
After a long time–space evolution, rural settlements form a unique human and ecological environment. These environmental factors deeply affect the location, spatial form, and structure of rural settlements. The research on rural settlements began in the 19th century. German geographer J G Kohl made a comparative study of different types of settlements from metropolis to rural areas, discussed the relationship between the distribution of settlements and land, and emphasized the impact of terrain differences on the location of villages [9]. In 1895, A Meitzen studied the rural settlements in northern Germany, analyzed the factors of settlement formation, settlement morphology, settlement development conditions and process, and initially provided the theoretical basis for settlement research [10]. From the 1920s to the 1960s, there was more and more research about rural settlements, most of them focused on the formation, development, planning, and types of villages. In this time, the theoretical research of rural settlements made great progress [9]. For example, A Demangeon studied the types and forms of rural settlements in France, and divided the settlements into two forms of aggregation and dispersion [11,12]. After the 1960s, Phillips (1998) studied the geographical reconstruction of rural settlements from the perspective of sociology [13]. Powe (2012) explored the correlation between the concept of central village and central town based on the complex relationship of localization activities, which enriched the research content of rural settlement. Ikeda (2014) simulated and deduced the economic model of two-dimensional economic space self-organization agglomeration mode from the perspective of new economic geography, central place theory, and fractal theory [14]. There has been a significant change in the research methods of rural settlements, which tends to combine quantitative and qualitative research. The role of human decision-making behavior in affecting the distribution, morphology, and structure of settlements has been emphasized [15]. So far, there have been a large number of studies on rural settlements. The typical geomorphic types of the study area cover mountains, hills, plains, plateaus, etc. [16,17,18,19], and the research scales include macroscopic research and microscopic research [20,21]. The specific research contents focus on the theoretical research of rural settlements [22,23,24], the spatial location selection and planning of rural settlements [25], the study of rural settlement morphology [26,27], the research of land use of rural settlements [28,29,30,31], the research on the influencing factors of rural settlements [5,32,33], the ecology of rural settlements [20], and the rural landscape [30,34,35] and so on. Currently, with the development of GIS technology, the accuracy and applicability of the research in the spatial form of rural settlements are gradually enhanced [31,36,37].
On the research of fractal theory of rural settlements, the relevant literature focuses on the plane or facade of village respectively, few literature relate to the combination of plane and facade. The characteristics of rural areas are small size, wide distribution, and significant impact of topography, which can be described by fractal dimensions [38,39,40,41,42]. Some related studies are shown as follows: the fractal comparative study on the spatial structure of urban and rural settlement system in mountainous and plain areas [43]; the fractal characteristics of the distribution of residential areas along the river [44]; the fractal characterization of landscape elements within the county and its relationship with topographic features [45]; the morphological characteristics and influencing factors of residential areas within the scope of village [46].
In addition, landscape aesthetics plays an important role in the formation, evaluation, and planning of rural settlements [47]. The research on landscape aesthetics is mainly reflected on the shape, form, texture, and color of landscape [48], which is evaluated by people’s vision, hearing, smell, touch, and perception. The evaluation of rural landscape aesthetics is of great significance to rural planning and design. Relevant scholars have carried out a lot of research on rural landscape aesthetics by combining subjective and objective methods. For example, Arriaza used public preference and regression analysis to evaluate the visual quality of agricultural landscape [49]. Peter evaluated rural landscape quality by combining a public preference survey and regression analysis, explained the aesthetic essence of rural landscape. [50]. Frank used landscape metrics and a public preference survey to evaluate the landscape of the study area [51]. Yılmaz used the landscape evaluation method based on photo images to evaluate the park plants from the perspective of formal aesthetics. In the research of fractal aesthetics, it is mostly used in the facade of street buildings [52]. Lorenz proposed a new fractal method for the study of architectural aesthetics from the perspective of fractal aesthetics [53]. El Darwish used a fractal analysis method to explain the facade composition of buildings, and conducted a questionnaire survey on the visual beauty of the facade composition of street view buildings [54]. Cooper linked the calculation of fractal dimension with the visual perception of the streets to explore the correlation between them [55].
The review of relevant literature shows that research on village settlement form and planning mainly focuses on the plane layout, and lacks objective quantitative control on the continuous facade characteristics of linear strip-shaped village streets. This linear facade landscape is also very important in the study of village morphology and is an important part of village planning. At present, the evaluation of village landscape facade effect mostly focuses on some landscape aesthetic methods, and this research method was affected by the researchers’ professional quality and personal preference, which has certain deviation and uncertainty. Some scholars also studied the facade analysis of a large number of buildings, but the facade form of the village street is the synthesis of multiple street facades, including not only buildings, but also plants, the topography of villages, etc.
From the research object, this paper selects Maling Village, Luoyang City, Henan Province, China as the research object. The topography of Maling Village is undulating, and the street facade of the village has a certain level. With the increasing frequency of human activities in the village and the disorderly use of land, the plane layout of the village also shows the characteristics of being small, chaotic, numerous, and scattered, and the plants in the village are mainly planted by the villagers. The spatial form of Maling Village reflects certain characteristics of villages in hilly areas of developing countries, which is obviously representative and typical. In terms of the research methods and results, this paper uses the fractal dimension and the stability index of fractal theory to analyze the spatial morphological characteristics of the village from the facade and plane, respectively, and defines the spatial characteristics of the village. This paper puts forward some feasible strategies for the utilization of village land resources and the optimization of internal spatial layout, and attempts to provide a theoretical basis and case guide for village spatial form analysis, planning, and layout from a fractal point of view.
2. Materials and Methods
2.1. The Study Area
Maling Village is located in the western hilly area of Changdai Town, Mengjin County, Luoyang City, Henan Province. The highway (Xiaolangdi special line) passes through the village, offering convenient transportation (Figure 1). The village occupies a total area of 3.5 km2. The main types of geomorphology are hills, vertical and horizontal gullies. Elevations are high in the north and low in the south. The study area has a temperate monsoon climate, with an average temperature of 13.7 °C and an average precipitation of 650.2 mm. The soil is fertile hilly cinnamon soil, which is suitable for the growth of a variety of crops. Maling Village belongs to the central village, and the other three villages are under the jurisdiction of Maling Village, including Xiamaling, Donggou, and Yangjiazui, they are collectively known as Maling Village. The total population of the village is 2096, including 379 in Maling, 62 in Xiamaling, 60 in Donggou, and 67 in Yangjiazui. There are nine villager groups and 185 ha of cultivated land. Maling Village is dominated by an agricultural economy.
Figure 1.
Geographic location of the study area.
The building height of the one-story buildings in the village is mostly 3.5 m. One-story buildings account for 80% of the houses in Maling, while houses with two or more floors are mainly concentrated on the North–South Street of Market Road and the West–East Street of Market Road. The style of the building facade roofs, walls, windows, etc., is not unified. Additionally, a large number of illegal buildings (e.g., toilets, cowls, and chicken coops) and messy municipal facilities have negatively affected the aesthetics of the street facade of the village.
2.2. Data Sources and Preprocessing
2.2.1. Data Sources
Taking Maling Village as the research area, the basic data used include spatial data, statistical data, and measured data. The spatial data (e.g., village boundary, land use) from the data of the Third Land Survey of China in 2018, the Maling Village homestead right map, and the Maling Village topographic map 2018(1: 10,000). A digital elevation model (DEM), slope map, and slope direction map of the study area were generated using the Spatial Analyst function in the ArcGIS 10.6 software. The statistical data (e.g., population and labor force, rural economic data, investment in fixed assets, investment in industrial enterprises, people’s living standards, commodity prices, and wholesale and retail trade) were derived from the 2018 Statistical Yearbook of Luoyang, the poverty alleviation data of Maling Village, the Urban and Rural Master Plan of Mengjin County, Luoyang (2017–2035), and the overall planning of Changdai Town, Mengjin County (2017–2035). The measured data include on-the-spot photos, measured data of buildings, and vegetation, etc.
2.2.2. Data Processing
Land Use Classification
Using data from the Third National Land Survey Work Classification issued by the Ministry of Land and Resources, the land use types of Maling Village were classified with ArcGIS 10.6 (Table 1 and Figure 2).
Table 1.
Classification of land use types in Maling Village.
Figure 2.
Maps showing the land use and topography of Maling Village. (a) Map of land use status. (b) Elevation map. (c) Slope map. (d) Slope aspect map.
The Present Situation of Village Land Use and Topographic Analysis
According to the data of the Third National Land Survey, the village land use status information was sorted out and a village land use map was drawn with ArcGIS 10.6 (Figure 2a). Land use and elevation analysis were proceeded by ArcGIS 10.6 software. The elevation in the DEM was reclassified according to the elevation classification standard. Then, an elevation map was generated (Figure 2b). Subsequently, the slope and aspect information were extracted from the DEM to generate the village slope map (Figure 2c) and the village slope aspect map (Figure 2d).
Street Facade Selection and Data Processing
First, to study the Village streets facades space, six sample streets that reflect the overall features of the village were selected as the research object to extract the features of the elevation profile. The six sample streets are: East–West Street of Market Road, North–South Street of Market Road, the north side of Maling 5th group Road, the north side of Photovoltaic Road, the east side of North–South Street of School Road, and the north side of West Street of Primary School. The specific locations of the streets are shown in Figure 3 and the specific information of streets in Table 2.
Figure 3.
Location of sample streets.
Table 2.
Information about the selected sample streets.
Secondly, in order to facilitate the statistics of the fractal dimension, the facade of the sample street was photographed on a sunny day in order to obtain an image of the complete facade of the village street. Combined with the principle of landscape continuity [56,57], continuous facade photos were taken with a camera (East–West Street was shot from east to west, North–South Street of Market Road was shot from south to north, North–South Street of the school road was shot from north to south). Image collage technology was used to realize the seamless stitching of the facade images of the selected sample street section, and then the stitched facade image was imported into the AutoCAD 2016 software for vectorization processing. After many transformations, the contour line of the facade was extracted, and finally a black-and-white monochromatic TIFF format picture was exported.
Finally, all the sample streets were pieced and numbered and were divided into 20 segments in 100 m units, which were labeled as A1–A20. The extracted segments are shown in Figure 4 below.
Figure 4.
Segmentation of the sample streets in units of 100 m. (a) Segments A1–A5; (b) segments A6–A10; (c) segments A11–A15; (d) segments A16–A20.
2.3. Methods
Using fractal theory, the plane and elevation space of Maling Village were studied, respectively. The specific methods are as follows:
2.3.1. Calculation of Fractal Dimension of Facade Space Form
The outer outline of the facade of the village is a linear structure; there is self-similarity between the whole and the part. The study of the facade of the village is mainly divided into two parts, namely, the study of the segmented facade and the study of the whole facade. The segmented facade is studied from the micro-scale of the street, and the whole is studied from the macro-scale of the street facade. In this paper, the study of the spatial form of the village facade uses the box-counting dimension method to quantify its self-similarity and complexity and to evaluate the spatial form of the village facade.
The box-counting dimension method in fractal theory is used to describe the complexity and space occupied state of the street facade [58,59,60,61]. The basic idea is to use square grids with different side lengths to cover the measured object. When the side length r of the square changes, the grid number N(r), covering the measured object, will also change accordingly. High values of fractal dimension represent a complex shape, and vice versa. According to fractal theory [62,63], the box-counting dimension is expressed as follows:
where D1 is the fractal dimension of the facade of the village building, the higher the value is, the more complex the measurement object is and the stronger the ability to occupy space. r is the side length of the square grid, and N(r) is the number of nonempty grids covering the measured object.
2.3.2. Calculation of Plane Shape Dimension
The plane spatial form of the village is mainly reflected in the complexity and stability of the spatial form, in which the complexity of the spatial form of the village patch is the basis of the evolution of the village and the stability represents the future development trend of the village. In this study, the morphological dimension was used to quantify the complexity of the village with the village boundary as the fractal line, and the stability index (SI) was used to evaluate stability of the village land use.
Spatial Morphological Dimension
In this study, the perimeter-area method of fractal dimension was used to analyze the plane shape of village space; the larger the morphological dimension is, the stronger the boundary nonlinearity of the village is and the more complex the shape of the village is [64]. Fractal dimension is one of the quantitative indexes to characterize self-similar systems or structures. The purpose of this paper is to study the fractal characteristics of village plane landscape space, mainly to quantitatively describe the size of its core area and the tortuosity of its boundary line. The specific formula is as follows:
where A(r) represents the area of the patch measured by r, P(r) is the perimeter of the patch, C is the intercept, and P(r) represents the complexity of the spatial form of the village, that is, the fractal dimension. The results of this study [64] show that the size of D2 represents the complexity and stability of the village form. The theoretical range of D2 is between 1.0 and 2.0, and the larger this value is, the more complex the village shape is. D2 = 1.0 means that the village patch is square. D2 = 2.0 means that the shape of the village is the most complex. D2 = 1.5, which means that the residential patch is in a random state, that is, the most unstable state. The closer the value of D2 is to 1.5, the more unstable the shape of the village is.
Stability Index
The stability index is an index to test the stability of land use and reflects the stability of land use; combined with the introduction of relevant literature [8], the higher the stability index value is, the more stable a certain type of land use type is; the lower the value, the worse the stability of the land use type is [64,65]. The theoretical value of the SI is between 0 and 0.5. It is an important index to test the stability of village spatial form and indicates the future development trend of village form. The SI is expressed as follows:
where SI is the stability index, D2 represents the complexity and stability of the village form. D2 is the perimeter-area fractal dimension.
Factors Affecting the Spatial Distribution of Residential Areas
Combined with the obtained village spatial data, using the ArcGIS 10.6 software, the information of village residential land was extracted and the elevation map, slope map, and slope aspect map of the village were generated by using the Spatial Analyst function of ArcGIS 10.6. The data were reclassified, and then the extracted village settlement distribution map was superimposed on the elevation map, slope map, and slope aspect map to extract the village settlement information at different levels. Additionally, using Equations (2) and (3), spatial analysis and fractal dimension calculation were carried out.
3. Results
3.1. Facade Study
3.1.1. Facade Segmentation
In order to ensure the accuracy of the data, streets samples were taken and the fractal dimension was calculated using the Fractalyse 2.4 software. The results show that the double logarithmic coordinates show a good scale-free interval, the fitting correlation coefficient is more than 93%, and the accuracy meets the research needs. The calculation results of the specific piecewise fractal dimension are shown in Table 3.
Table 3.
Calculation of the fractal dimension of each section of the sample street.
As shown in previous studies [66,67,68], the larger the value of the morphological dimension is, the more complex the spatial shape of the object is, and vice versa. Combined with Table 3, the calculation results of the fractal dimension of the street building landscape elevation profile of each segment were calculated, and the fractal dimension intervals of three different cases were obtained. The number of segments in each interval is shown in Table 4.
Table 4.
Interval statistics of fractal dimension.
From Table 4, it can be seen that the fractal dimensions of the segments are mainly in the interval of 1.10 to 1.16, and there are 10 segments with low facade complexity. The elevation complexity of low and high of quantity is the same, and the facade style of 1.16 ≤ n < 1.22 is not obvious. This paper selects the lower-value segments and higher-value segments to analyze, and focuses on the lower-value segments.
Segments with Lower Fractal Dimension
The construction of a better building facade has a higher fractal dimension. On the contrary, the lower fractal dimension shows that the overall construction effect of the facade is not good, and the space shape of the facade is simple and of low complexity [67,69]. Seven representative segments with fractal dimensions from 1.10 to 1.16 were selected for analysis, namely A1, A2, A7, A10, A11, A18, and A20, respectively. According to the results of the site investigation performed in the present study, the sectional elevation outline was drawn (Table 5). The corresponding streets are Street of Market Road, Maling 5th Group Road, and the west side of North–South Street of School Road. Through the analysis and study of the segments with lower fractal dimension, the landscape pattern of the segment was obtained in order to determine the main factors that affect the landscape elevation profile of street buildings. Combined with the actual situation of the village, the streets of A1 and A2 sections have some two-story and three-story buildings. A11, A18, and A20 street buildings are mostly single-story buildings with flat roofs.
Table 5.
Analysis of street segments with lower fractal dimension.
Segments with Higher Fractal Dimension
Five segments in 1.22 ≤ n < 1.28 are selected to study. The main corresponding streets are the street of Market Road, Photovoltaic Road, and the east side of North–South Street of School Road (Table 6). The fractal dimension of these streets is the highest in Maling Village, and the fractal dimension of these streets is more than 1.20, with the value of A3 street being the highest, which is 1.278. The architectural facade background of streets A14 and A16 is based on green plants, the front plants and background plants are scattered obviously, and the architectural forms are rich (roof buildings); Section A3, A4, and A8 of buildings are staggered in height, there are few illegal buildings, and accessorial buildings are embellished at the architectural junction, however, the plants are mainly planted with low shrubs.
Table 6.
Street segments with higher fractal dimensions.
3.1.2. Integral Facade
In accordance with the calculation results of each segment’s fractal dimension, in order to perform a clearer macroscopic and overall analysis of the street, the data in Table 2 were statistically analyzed using the Origin 2018 software, and the point–line diagram of the change of the fractal dimension of the facade of the studied sample street was drawn (Figure 5). The change of the elevation outline was obtained, and the overall analysis of sample street is as follows:
Figure 5.
Fractal dimensions of different street segments.
(1) Based on the analysis of the street from sections A1–A20, the rhythm of the street facade changes greatly, showing the trend of “low-high-low-high-low”. Sections A3–A7 and A8–A10 have a significant downward trend, among which the maximum value of fractal dimension is 1.278, which appears in section A3 of the east side of North–South Street of Market Road; the minimum value is 1.104, which appears in section A10 (south side of West–East Street of Market Road).
(2) Additionally, from the overall change trend, the change range of the fractal dimension of segments A11–A20 is relatively low compared with that of segments A1–A10. Furthermore, the representative segments of streets in sections A1–A10 and A11–A20 were analyzed to determine the characteristics of street style changes hidden by the change of the fractal dimension of each street. Since the West–East Street was photographed from east to west, and the North–South Street was photographed from south to north, combined with Table 2 and Figure 5, the analysis of section A3–A10 shows that the fractal dimensions of segments A3 and A4 decrease gradually from south to north, and the fractal dimensions of segments A5–A7 and A8–A10 change from high to low from east to west (Table 7).
Table 7.
Analysis of street sections A3–A10.
For the analysis of sections A11–A16, the representative street segments were selected: A11 and A12, A13, and A14, and A15 and A16, in which the fractal dimensions of streets A11 and A12, and A13 and A14 change from low to high from east to west, and the fractal dimensions of streets A15 and A16 change from low to high from east to west, as shown in Table 8.
Table 8.
Analysis of street sections A11–A16.
(3) In the analysis of A3–A10 section, the fractal dimension values of A3–A4, A5–A7, and A8–A10 all change from high to low. This is mainly due to the gradual decrease of building height from south to north and the simplification of building facade in the A3–A4 section. The building height of each section of A5–A7 and A8–A10 decreases gradually from east to west, and the building height changes obviously in each section. The outline of the building facade from east to west tends to be simple, but the overall vegetation is less and lack layers. Therefore, the landscape profile richness of the East–West Street of Market Road and the street on the east side of North–South Street of Market Road gradually decreases with the shooting direction.
Refer to the A11–A16 section, the fractal dimensions of A11–A12, A13–A14, and A15–A16 change from low to high. Corresponding to the present situation, the building facade height decreases gradually from east to west and from north to south, the overall building height is relatively consistent, and there are more illegal buildings, but the vegetation richness in the west is much higher than that in the east, and the vegetation richness in the south is much higher than that in the north. Therefore, the richness of landscape outline of Maling 5th Group Road, Photovoltaic Road, and the street on the east side of North–South Street of School Road gradually increases with the shooting direction.
3.2. Study on the Plane Shape of Villages
According to the statistical data of the perimeter and area of landscape elements of different land use types in the study area, the number, area, and perimeter of patches of each land use type were calculated using the ArcGIS 10.6 software. The results are shown in Table 9. Based on these results, linear regression analysis was carried out. Based on Equations (2) and (3), the fractal dimensions and stability indexes of each land use type were calculated, as shown in Table 10.
Table 9.
Relationship between patch perimeter and area of land types.
Table 10.
Fractal dimension and stability index of different land types in Maling Village.
3.2.1. Analysis of Land Use Status
With the rapid urbanization in recent years, the spatial layout of Maling Village has changed significantly, the characteristics of the village style and features have been gradually lost, and a large number of old houses have become idle and dilapidated. This has greatly wasted land resources, including large amounts of rural land, and has also led to the fragmentation and decentralization of residential areas, which has increased the cost of rural infrastructure construction and environmental governance and improvement. Additionally, this has caused a lot of rural land resources to be idle and wasted. As can be seen from Figure 2 and Table 9, the main land use types in the study area are cultivated land and woodland; the patch area of cultivated land and woodland is the largest, the area of garden land is the second-largest, and the number of grassland patches is the smallest in the staggered distribution of woodland and cultivated land. Grassland patches of the area only account for 9.05% of the total area, and is mainly distributed in the middle and southeast of the village. In terms of landscape style, the land use type in Maling Village is a landscape structure model with woodland and cultivated land as matrix, garden land, grassland, and village construction land as patch mosaic structure, and roads as linear corridors.
3.2.2. Fractal Dimension and Stability Analysis of Land Use Types
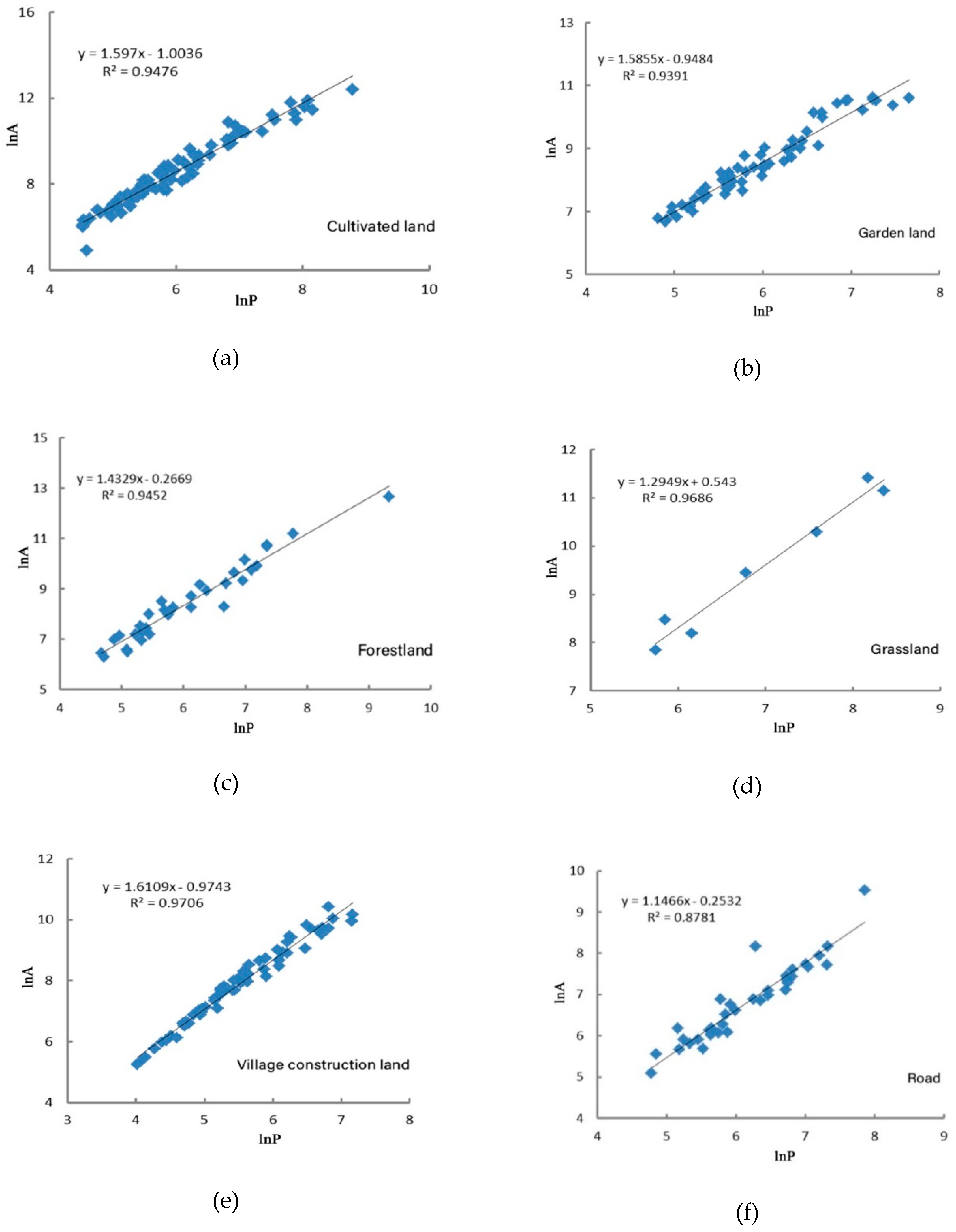
The fractal dimension was used to determine the complexity of patch morphology. The larger the fractal dimension is, the more complex the patch is, and vice versa. Based on Equation (2) and Table 10, the order of fractal dimension is as follows: road > grassland > forestland > garden land > cultivated land > village construction land. As shown in Table 10, the fractal dimension of roads and grasslands is the highest, while that of village construction land is the lowest. There is a high correlation between the patch area and perimeter of different land use types, and the fitting effect of each land type is very good; the R2 is more than 0.85, indicating that Maling Village land type have statistical autocorrelation and are a kind of random fractal state. According to the area and perimeter data of each patch of different land use types, a double logarithmic scatter plot was drawn (Figure 6). All the fitting curves show that the land use types that gradually formed under the influence of human activities based on natural conditions have a fractal structure, that is, the spatial fractal structure of land in Maling Village exists objectively. Therefore, it is reasonable to apply fractal theory to study the land use structure in the study area.
Figure 6.
Logarithmic scatter plots of the area perimeter around Maling Village. (a) Cultivated land; (b) Garden land; (c) Forestland; (d) Grassland; (e) Village construction land; (f) Road.
The stability index is used to test the stability of land use. The higher the value is, the more stable the land use type is, and vice versa. From Equation (3), the stability indexes of cultivated land, garden land, woodland, grassland, village construction land, and roads in Maling Village were calculated to be 0.2477, 0.2386, 0.1042, 0.0445, 0.2585, and 0.2445, respectively (Table 10). The order of stability index is village construction land > cultivated land > road > garden land > woodland > grassland.
3.2.3. Topographic Factors Affecting the Plane Shape of the Residential Area in Villages
The village is a complex outdoor open system. The spatial distribution of village settlements is affected not only by social and economic factors but also by natural factors [70,71]. Slope and elevation changes in natural factors may affect the distribution of rural settlements and affect the location and construction of village settlements. In order to better study the fractal characteristics of Maling Village, the geomorphological factors affecting the village settlements were selected and analyzed.
The Influence of Elevation on the Fractal Dimension of the Residential Area of Maling Village
The village elevation map is shown in Figure 2b. Using Equation (2) calculation, and the fractal dimensions of different elevation sections were obtained. Within the village area, under the influence of elevation, the fractal dimension of village settlements was found to be between 1.126 and 1.402, and the area with the lowest fractal dimension of village settlements corresponds to the area below 355.51 m a.s.l. (Table 11), but the stability of plaque in this area is better, and the spatial distribution of residential areas is more balanced and concentrated. As the fractal dimension increases, it means that the shape of landscape element patches is more complex, and vice versa. As a whole, with increasing elevation, the fractal dimension of village settlements increases, the size of residential areas also increases, and the spatial distribution of residential areas is more dispersed, and the fractal dimension has significant differences in the range of change. This shows that the layout and location of village settlements in a hilly area is obviously affected by elevation. Among four villages, the corresponding fractal dimension of the residential area of Maling Village is the lowest, while those of Donggou, Xiamaling, and Yangjiazui villages are the highest.
Table 11.
Fractal dimensions at different elevations.
The Influence of Slope on the Fractal Dimension of Village Residential Area
The slope map is shown in Figure 2c. According to a fractal dimension analysis of different slopes, fractal dimension of the village residential area was found to be between 1.026 and 1.346, and the fractal dimension of the village residential area was found to be the lowest in the range of ≤2°. The fractal dimension of this area is 1.026. This slope range of the residential patch range is more stable, which means the large distribution of the residential area. The corresponding fractal dimensions of different slopes are shown in Table 12. Maling Village is located in a hilly area, the topography is more complex, the flat areas with low and gentle terrain are geologically stable, construction is easy, travel is convenient, and it is suitable for building houses, so the distribution of village settlements on areas with slopes of ≤2°is relatively dense. The terrain with slopes of 2–7° is relatively flat, which is convenient for agricultural activities. The main types of land use on such slopes is cultivated land and garden land. Meanwhile, on slopes above 12°, the village residential area is not suitable for construction due to prohibitively high costs; therefore, the number of residential areas is small, and the main type of land use in this area is forestland. Therefore, with the increasing slope, the village residential area decreases, while the areas of forestland, cultivated land, and garden land tend to increase. Based on the fractal dimension corresponding to different slopes, there were significant differences in the degree of change, indicating that the slope has a great influence on the fractal dimension of the village residential area.
Table 12.
Fractal dimensions for different slopes.
The Influence of Slope Direction on the Fractal Dimension of Village Residential Area
In the Northern Hemisphere, south-facing slopes are generally sunny and north-facing slopes are generally shady. First, the directions of slopes in Maling Village were analyzed. As shown in Figure 2d, the slope directions of the study area were divided into sunny slopes, semi-sunny slopes, semi-shady slopes, and shady slopes based on the slope directions. The corresponding residential fractal dimensions values are detailed in Table 13. Under the influence of slope direction, it was found that the fractal dimension of residential areas in Maling Village is between 1.190 and 1.278, and the fractal dimension of settlements is the largest in semi-sunny slopes; however, there is no significant difference in fractal dimension between slopes with different directions, and a large number of settlements are distributed on shady slopes. There are more residents on sunny slopes than shady slopes, and the influence of slope direction on the fractal dimension of village residential area is relatively limited.
Table 13.
Fractal dimensions for different slope directions.
4. Discussion
(1) At present, most of the current research on village settlement form and planning pay more attention to the plane layout. There is a lack of objective and quantitative theoretical guidance to control the stripped village street facade characteristics, and the whole facade design is often lacking in the village planning, whereas the evaluation of landscape facade is based primarily on a subjective evaluation method [48,49,50,51,52]. These research methods are often affected by the professional quality and personal preference of researchers, which have certain deviation and uncertainty. Most of the research on fractal aesthetics focuses on the buildings’ facade [53,54,55], however, the fractal dimension of villages is not only the architecture, but also the plants, the topography of the village, and the spatial combination of multiple street facades. Through the analysis of the land use structure of Maling Village, the fractal theory can be used to predict the future change trend of various land use types. That is to say, the fractal model can play an auxiliary and reference role in the decision-making of the construction of the village plane and facade space. The consolidation of rural residential areas in Maling Village should optimize the layout of residential areas, improve the spatial stability, and reduce the arbitrariness of development.
(2) The characteristics of village patches are mainly reflected by the complexity and stability of spatial morphology. The complexity of village patches is the foundation of village evolution, and the stability of village patches represents the future development trend of villages. The combination of the two can predict the evolution direction of village residential land, which is a positive and beneficial exploration in this study.
In the study of land use types of village plane space, the inherent laws were found as follows:
(i) The fractal dimension of construction land is the lowest, which is 1.2415, which indicates that the land use type has a simple structure, strong self-similarity, and is greatly affected by human activities. (ii) The stability index of village construction land is high, and the land morphological structure is simple. Restricted by regional policy, the village settlements will not be demolished or rebuilt in a short time. Therefore, the stability index is at a relatively high level. (iii) There is little difference in the stability index of cultivated land, roads, and garden land. These land types are mainly disturbed by human activities, and their shape is relatively regular and stable. (iv) The spatial stability of forest land is relatively poor, mainly due to the invasion of construction land and unreasonable man-made felling. (v) Stability of grassland is lowest. The grassland is mainly distributed in the gully slope in the middle and southeast of the village. The boundary of the grassland is irregular. Its fractal dimension is high, and its morphological structure is complex. Its stability index is only 0.0445, which is due to the overgrazing and occupation by cultivated land in recent years. This result shows that human factors are the main driving force of grassland type and area change. (vi) According to the calculation of fractal dimension of different land types, the average fractal dimension of all land use types was found to be 1.407, which is close to the critical value of 1.50. It reflects that the overall land use types are not stable enough.
A comprehensive comparison of the stability index of these six land use types shows that the stability of grassland and woodland are the lowest, which is consistent with the research results of Tang, 2017 [45], which indicates that these two land use types have been insufficiently protected in recent years. Therefore, when carrying out village planning in the future, attention should be paid to the coordinated distribution and sustainable development of land resources, especially grasslands and woodlands in villages. We should take reasonable measures; attach importance to the role of each patch in maintaining land stability, carry out practical protection and planning of patches with poor stability. Additionally, we should strengthen the protection and ecological planning of the less stable plots so that the land use tends to be scientific.
(3) Combined with the analysis results, this paper puts forward the following suggestions for the future development plan of Maling Village:
- The village settlement should be re-planned to realize centralized management. Maling Village has better location conditions, traffic conditions, infrastructure and public facilities, relatively flat terrain, and concentrated population, while the scattered distribution of small-scale settlements such as Donggou, Xiamaling, and Yangjiazui limits the overall village construction. For such marginal villages, it should be encouraged to be demolished and constructed in the central area. On the one hand, it is conducive to intensive management. On the other hand, it can protect the ecological environment in the south of the village by reducing man-made damage.
- In the reconstruction of village facade, it should be designed according to the appropriate fractal control dimension, and coordinate the relationship among plants, buildings, terrain, and other street facade.
(i) Plant configuration is an important part of the street facade landscape and has a great influence on the street image. The canopy line of the plant community has the characteristics of continuity and diversity, which can enhance the aesthetics of the street facade. Type selection of street trees should be according to the street building image, and the collocation and hierarchical changes of trees and shrubs. (ii) In terms of building height and outline, designers should give attention to the connection between buildings and street architectural style. The sudden emergence of a single highly isolated building in the street should be avoided, and the transitional zones between buildings in the street should be taken seriously. The narrow areas that cannot be designed should be sorted out, the original sundries should be removed, and spacious architectural connecting areas should be constructed to enrich the facade landscape. (iii) Paying attention to the combination of plants and architecture. The street facade image affects people’s psychological and physical feelings [48]. The construction of the street facade should have a unified and changing rhythm, a controlled height of street buildings in order to make a spatial rhythm change within a reasonable range. That is to say, the fractal dimension value of street facade fluctuates in a certain range and is relatively stable.
(4) This paper discusses the fractal characteristics of the spatial form of Maling Village from the perspective of facade and plane. In addition, this paper discusses the correlation between the terrain factors and the fractal characteristics of villages, and deduces that there is also a relationship between fractal characteristics and human activities. However, it is not sure that the fractal characteristics of villages are determined only by these two factors. Although the village studied in this paper has certain representativeness, it is relatively lacking in data of different periods. Therefore, we hope that in the future research we can obtain more data and undertake multidimensional research.
5. Conclusions
The results show that the plane and elevation form of villages have obvious fractal characteristics and that fractal dimension can effectively characterize its complexity. The application of fractal theory in the spatial form of the village provide quantitative information for land resource utilization and rural planning. The conclusions are as follow.
5.1. The Form of Facade Space
(1) The piecewise fractal dimension can reflect the coordination degree in the different street facade of the village. A large difference of fractal dimension means that the street facade is uncoordinated. A small difference of fractal dimension means that the overall hierarchical sense of the street facade is relatively weak. The maximum and minimum values of fractal dimension appear in the Market Road. It proved that while the Market Road has the highest landscape richness, the rhythm of the facade landscape changes rapidly, and there are great differences in the facade style of each section of the street, and the difference of the street facade style of Market Road is greater than that of other streets. The rapid rhythmic change of street facade landscape will reduce people’s visual experience and reduce the coordination degree of the street landscape. Market Road is the main street of Maling Village, which plays a key role in the village image display.
(2) The changes of the fractal dimensions of the streets in different sections can represent the landscape characteristics of streets in different directions and overall environment of the street. In general, the landscape richness of the street facade of the Market Road in Maling Village decreased gradually from east to west, while the landscape richness of other streets gradually increased with the shooting direction. The large outline of the village street facade mainly reflects the difference of plant and building characteristics in different directions of the street. Combined with the actual situation, the relationship between the fractal dimension value and the street facade composition can be gotten.
(3) Plant configuration, building height, and building outline are the major factors that affect the fractal dimension of village architecture. As a banded space, village street is an important sight line in the village. On the one hand, the plant landscape of the village is rich and changeable in plant composition and provides rich ecological functions. On the other hand, the plant landscape of the village provides a lingering landscape effect in landscape aesthetics. Variety of plants provide diverse viewing angles in landscape aesthetics. The composition of plants, and the relationship between plants and architecture are important factors affecting the landscape quality of the village. The higher segment of the fractal dimension value of the village facade occupies three in the market road, and the maximum value appears in the market road. According to the actual situation of the street, the building height and contour have a major influence on the fractal dimension value.
(4) Fractal dimension is a more accurate and objective tool for quantifying elevation space. Under certain premises, applying fractal theory to the analysis of village facade space will help to enrich the facade space evaluation system and guide the design of village facade space transformation.
Through the analysis of the fractal characteristics of the facade of Maling Village, we showed that when the overall height of the village buildings is reasonable, if the plant configuration is not reasonable, the fractal dimension of the village street facade will be low. When the plant configuration is reasonable, a single form of building facade will lead to the fractal dimensions of the facade be lower. When the plant configuration of the street facade and the height of other buildings are fixed, buildings with large volume and simple shape often interrupt the outline of the street landscape facade, which leads to improper connection between buildings and low fractal dimensions (e.g., see Sections A1 and A2 in Table 5).
5.2. Plane Space Shape
(1) The analysis of fractal dimension in different land use types shows that each land use type has significant fractal characteristics. The fractal dimension calculation of different land use patch can reveal the morphological complexity and the stability. The simple forms of land use types are generally greatly affected by human activities, and the complexity is reduced, however, the stability of land use types is high. In addition, all land use types of the village is not stable enough, and human factors have an important impact on the change of each land use type. That is, this method can provide a quantitative reference for land use planning.
(2) This study shows that the form of land use in Maling Village is reasonable, garden land and cultivated land have been developed and utilized, and their distribution is concentrated, which is conducive to the formation of regional advantages. However, grassland and woodland have not been fully utilized.
(3) Elevation and slope are important factors affecting the fractal dimension of villages settlements, and the influence of slope direction is not obvious. Under the influence of slope and elevation, the spatial complexity of Maling Village settlement is low, but the stability is high and the population is concentrated. Donggou, Xiamaling, and Yangjiazui settlements are complex with small populations and scattered layout. Therefore, in addition to the influence of human factors on the village land use structure mentioned, geomorphological factors also have an important impact on the spatial form of the village. The future planning of Maling Village should guide the village settlements with small-scale and scattered layout to the large-scale settlements with high-quality infrastructure.
Author Contributions
All authors contributed to the paper. Q.F. contributed to the conception of the study and as the main writer of the manuscript; F.D. performed the site investigation and data analyses; F.D. wrote the manuscript with the supervision from Q.F., and F.D. acted as a corresponding author and the second author. Q.F. reviewed this research. H.L. provided suggestions on local situation and acted as the third author. All authors have read and agreed to the published version of the manuscript.
Funding
This study is financed by 2019 Key R&D and Promotion Projects in Henan Province (No. 192102310004), Henan Ecological Civilization City Theory and Application Innovative Scientific and Technological Team, 2020 Henan Science and Technology Think Tank Research Project (HNKJZK-2020-02C and HNKJZK-2020-25C).
Acknowledgments
First of all. I would like to thank the support of the project funding. I am very grateful to my tutor for helping me to complete the topic selection and conception of the thesis, and gave me a lot of valuable suggestions on the revision of my thesis, so that my paper has been constantly improved. In addition, in the process of completing my thesis, I would like to express my heartfelt thanks to my family and friends who care and help me.
Conflicts of Interest
The authors declare no conflict of interest.
References
- United Nations. World Urbanization Prospects. 2018. Available online: https://esa.un.org/unpd/wup/Download/ (accessed on 20 December 2018).
- Curovic, Z.; Curovic, M.; Spalevic, V.; Janic, M.; Sestras, P.; Popovic, S.G. Identification and Evaluation of Landscape as a Precondition for Planning Revitalization and Development of Mediterranean Rural Settlements-Case Study: Mrkovi Village, Bay of Kotor, Montenegro. Sustainability 2019, 11, 15. [Google Scholar] [CrossRef]
- Hwang, J.; Park, J.; Lee, S. The Impact of the Comprehensive Rural Village Development Program on Rural Sustainability in Korea. Sustainability 2018, 10, 2436. [Google Scholar] [CrossRef]
- Ma, W.; Jiang, G.; Li, W.; Zhou, T.; Zhang, R. Multifunctionality assessment of the land use system in rural residential areas: Confronting land use supply with rural sustainability demand. J. Environ. Manag. 2019, 231, 73–85. [Google Scholar] [CrossRef] [PubMed]
- Xu, X.; Liu, J.; Xu, N.; Wang, W.; Yang, H. Quantitative Study on the Evolution Trend and Driving Factors of Typical Rural Spatial Morphology in Southern Jiangsu Province, China. Sustainability 2018, 10, 7. [Google Scholar] [CrossRef]
- Mandelbrot, B. How long is the coast of Britain? Statistical self-similarity and fractional dimension. Science 1967, 156, 636–638. [Google Scholar] [CrossRef] [PubMed]
- Mandelbrot, B.B.; Aizenman, M. Fractals: Form, Chance, and Dimension. Phys. Today 1979, 32, 65–66. [Google Scholar] [CrossRef]
- Mandelbrot, B.B. Self-Affine Fractals and Fractal Dimension. Physica Scripta 1985, 32, 257–260. [Google Scholar] [CrossRef]
- Chen, Z.X.; Chen, X.J. Geographical Researches on Rural Settlements: Review and Prospect. World Reg. Stud. 1994, 1, 72–76. [Google Scholar]
- Qiming, J. The Rural Settlement Geography; Science Press: Beijing, China, 1988. [Google Scholar]
- Clout, H. Albert Demangeon, 1872–1940: Pioneer of La Géographie Humaine. Scott. Geogr. J. 2003, 119, 1–24. [Google Scholar] [CrossRef]
- Demangeon, A. Types De Peuplement Rural En France. In Annales De Géographie; Armand, C., Ed.; Armand Colin: Paris, France, 1939; Volume 48, pp. 1–21. [Google Scholar] [CrossRef]
- Phillips, M. The restructuring of social imaginations in rural geography. J. Rural Stud. 1998, 14, 121–153. [Google Scholar] [CrossRef]
- Ikeda, K.; Murota, K.; Akamatsu, T.; Kono, T.; Takayama, Y. Self-organization of hexagonal agglomeration patterns in new economic geography models. J. Econ. Behav. Organ. 2014, 99, 32–52. [Google Scholar] [CrossRef]
- Mcgrath, B. The sustainability of a car dependent settlement pattern: An evaluation of new rural settlement in Ireland. Environmentalist 1998, 19, 99–107. [Google Scholar] [CrossRef]
- Constantin, V.; Ştefănescu, L.; Kantor, C.M. Vulnerability assessment methodology: A tool for policy makers in drafting a sustainable development strategy of rural mining settlements in the Apuseni Mountains, Romania. Environ. Sci. Policy 2015, 52, 129–139. [Google Scholar] [CrossRef]
- Adekunle, I.M.; Adetunji, M.T.; Gbadebo, A.M.; Banjoko, O.B. Assessment of Groundwater Quality in a Typical Rural Settlement in Southwest Nigeria. Int. J. Environ. Res. Public Health 2007, 4, 307–318. [Google Scholar] [CrossRef] [PubMed]
- Hajilo, M.; Ghadiri Masoom, M.; Motiee Langroudi, S.H.; Faraji Sabokbar, H.; Pennington-Gray, L. Spatial analysis of the distribution of small businesses in the eastern villages of Gilan province with emphasis on the tourism sector in mountainous regions. Sustainability 2017, 9, 2238. [Google Scholar] [CrossRef]
- Ba, Q.-X.; Lu, D.-J.; Kuo, W.H.-J.; Lai, P.-H. Traditional Farming and Sustainable Development of an Indigenous Community in the Mountain Area—A Case Study of Wutai Village in Taiwan. Sustainability 2018, 10, 3370. [Google Scholar] [CrossRef]
- Mckenzie, P.; Cooper, A.; Mccann, T.; Rogers, D. The ecological impact of rural building on habitats in an agricultural landscape. Landsc. Urban Plan. 2011, 101, 262–268. [Google Scholar] [CrossRef]
- Prevolšek, B.; Maksimović, A.; Puška, A.; Pažek, K.; Žibert, M.; Rozman, Č. Sustainable development of ethno-villages in bosnia and Herzegovina—A multi criteria assessment. Sustainability 2020, 12, 1399. [Google Scholar] [CrossRef]
- McCarthy, J. Rural geography: Globalizing the countryside. Prog. Hum. Geogr. 2008, 32, 129–137. [Google Scholar]
- Chisholm, M. Rural Settlement and Land Use; Transaction Publishers: Piscataway, NJ, USA, 1972. [Google Scholar]
- Stephen, W. The Quest for Rural Sustainability in Russia. Sustainability 2016, 8, 602. [Google Scholar]
- Cattaneo, T.; Giorgi, E.; Ni, M. Landscape, Architecture and Environmental Regeneration: A Research by Design Approach for Inclusive Tourism in a Rural Village in China. Sustainability 2018, 11, 128. [Google Scholar] [CrossRef]
- Wang, H.-F.; Chiou, S.-C. Spatial Form Analysis and Sustainable Development Research of Traditional Residential Buildings. Sustainability 2020, 12, 637. [Google Scholar] [CrossRef]
- Yang, X.; Song, K.; Pu, F. Laws and Trends of the Evolution of Traditional Villages in Plane Pattern. Sustainability 2020, 12, 3005. [Google Scholar] [CrossRef]
- Long, H.L.; Liu, Y.S.; Wu, X.Q.; Dong, G.H. Spatio-temporal dynamic patterns of farmland and rural settlements in Su-Xi-Chang region: Implications for building a new countryside in coastal China. Land Use Policy 2009, 26, 322–333. [Google Scholar] [CrossRef]
- Zhu, F.K.; Zhang, F.R.; Li, C.; Zhu, T.F. Functional transition of the rural settlement: Analysis of land-use differentiation in a transect of Beijing, China. Habitat Int. 2014, 41, 262–271. [Google Scholar] [CrossRef]
- Sevenant, M.; Antrop, M. Settlement models, land use and visibility in rural landscapes: Two case studies in Greece. Landsc. Urban Plan. 2007, 80, 362–374. [Google Scholar] [CrossRef]
- Rojnkureesatien, K. Geographical Accessibility and Land-Use and Land-Cover Dynamics: The Case of Nang Rong District, Northeast Thailand; The University of North Carolina: Chapel Hill, NC, USA, 2006. [Google Scholar]
- Banski, J.; Wesolowska, M. Transformations in housing construction in rural areas of Poland’s Lublin region-Influence on the spatial settlement structure and landscape aesthetics. Landsc. Urban Plan. 2010, 94, 116–126. [Google Scholar] [CrossRef]
- Zhang, X.; He, J.; Deng, Z.; Ma, J.; Chen, G.; Zhang, M.; Li, D. Comparative Changes of Influence Factors of Rural Residential Area Based on Spatial Econometric Regression Model: A Case Study of Lishan Township, Hubei Province, China. Sustainability 2018, 10, 3403. [Google Scholar] [CrossRef]
- Zomeni, M.; Tzanopoulos, J.; Pantis, J.D. Historical analysis of landscape change using remote sensing techniques: An explanatory tool for agricultural transformation in Greek rural areas. Landsc. Urban Plan. 2008, 86, 38–46. [Google Scholar] [CrossRef]
- Paquette, S.; Domon, G. Changing ruralities, changing landscapes: Exploring social recomposition using a multi-scale approach. J. Rural Stud. 2003, 19, 425–444. [Google Scholar] [CrossRef]
- Woods, M. Rural Geography: Processes, Responses and Experiences in Rural Restructuring; Sage Publishing: Thousand Oaks, CA, USA, 2005; Volume 7, pp. 494–496. [Google Scholar]
- Yanbo, Q.; Guanghui, J.; Yuting, Y.; Qiuyue, Z.; Yuling, L.; Wenqiu, M. Multi-scale analysis on spatial morphology differentiation and formation mechanism of rural residential land: A case study in Shandong Province, China. Habitat Int. 2018, 71, 135–146. [Google Scholar] [CrossRef]
- De Keersmaecker, M.-L.; Frankhauser, P.; Thomas, I. Using Fractal Dimensions for Characterizing Intra-urban Diversity: The Example of Brussels. Geogr. Anal. 2003, 35, 310–328. [Google Scholar] [CrossRef]
- Benguigui, L.; Czamanski, D.; Marinov, M.; Portugali, Y. When and where is a city fractal? Environ. Plan. B Plan. Des. 2000, 27, 507–519. [Google Scholar] [CrossRef]
- White, R.; Engelen, G. Cellular automata and fractal urban form: A cellular modelling approach to the evolution of urban land-use patterns. Environ. Plan. A 1993, 25, 1175–1199. [Google Scholar] [CrossRef]
- Tannier, C.; Vuidel, G.; Houot, H.; Frankhauser, P. Spatial accessibility to amenities in fractal and nonfractal urban patterns. Environ. Plan. B Plan. Des. 2012, 39, 801–819. [Google Scholar] [CrossRef]
- Liang, F.C.; Liu, S.Y.; Liu, L.M. Spatial characteristics and evolution of rural settlement landscape based on fractal theory: A case study of Xiamen, China. Chin. J. Appl. Ecol. 2017, 28, 2640. [Google Scholar]
- Zhang, J.J. Fractal characteristics of urban-rural settlement spatial distribution in mountain hills and plains areas. Sci. Surv. Mapp. 2013, 1, 20. [Google Scholar]
- Qiang, M.Y.H. Research on the relationship between mountain rivers in southwest Sichuan and rural settlements based on fractal theory. Jiangsu Agric. Sci. 2019, 337–341. [Google Scholar]
- Tang, Z.X.; LIU, X.L. Analysis on stability of landscape elements based on fractal dimension—A case study in Chongxin County of Gansu Province. J. Gansu Agric. Univ. 2017, 4, 23. [Google Scholar]
- Dai, Y.M.; Shi, X.Y.; Duan, W.J. A Quantitative Study on Spatial Structure and Form of Rural Residential Area Based on Fractal Theory. Res. Soil Water Conserv. 2016, 6, 48. [Google Scholar]
- Daniel, T.C. Whither scenic beauty? Visual landscape quality assessment in the 21st century. Landsc. Urban Plan. 2001, 54, 267–281. [Google Scholar] [CrossRef]
- Dudzińska, A.; Świerk, D.; Jeleniewska, M.; Urbański, P. Perception-Based Valuation of Landscape in the Area around Lake Rusałka in Poznań, Poland, Using Wejchert’s Impression Curve Method. Barom. Reg. 2014, 12, 79–88. [Google Scholar]
- Arriaza, M.; CañAs-Ortega, J.F.; CañAs-MadueñO, J.A.; Ruiz-Aviles, P. Assessing the visual quality of rural landscapes. Landsc. Urban Plan. 2004, 69, 115–125. [Google Scholar] [CrossRef]
- Howley, P. Landscape aesthetics: Assessing the general publics’ preferences towards rural landscapes. Ecol. Econ. 2011, 72, 161–169. [Google Scholar] [CrossRef]
- Frank, S.; Fuerst, C.; Koschke, L.; Witt, A.; Makeschin, F. Assessment of landscape aesthetics—Validation of a landscape metrics-based assessment by visual estimation of the scenic beauty. Ecol. Indic. 2013, 32, 222–231. [Google Scholar] [CrossRef]
- Yılmaz, S.; Özgüner, H.; Mumcu, S. An aesthetic approach to planting design in urban parks and greenspaces. Landsc. Res. 2018, 43, 965–983. [Google Scholar] [CrossRef]
- Lorenz, W.E.; Andres, J.; Franck, G. Fractal Aesthetics in Architecture. Appl. Math. Inf. Sci. 2017, 11, 971–981. [Google Scholar] [CrossRef]
- El-Darwish, I.I. Fractal design in streetscape: Rethinking the visual aesthetics of building elevation composition. Alex. Eng. J. 2019, 58, 957–966. [Google Scholar] [CrossRef]
- Cooper, J.; Oskrochi, R. Fractal analysis of street vistas: A potential tool for assessing levels of visual variety in everyday street scenes. Environ. Plan. B Plan. Des. 2008, 35, 349–363. [Google Scholar] [CrossRef]
- Yin, C.; Zhan, Q.; Xu, W.; Zhang, H. Quantitative analysis of architectural landscape vision based on 3D urban model. Int. Conf. Geoinform. 2011, 1–5. [Google Scholar]
- Levin, N.; Lahav, H.; Ramon, U.; Heller, A.; Nizry, G.; Tsoar, A.; Sagi, Y. Landscape continuity analysis: A new approach to conservation planning in Israel. Landscape & Urban Planning 2007, 79, 53–64. [Google Scholar]
- Rolph, S. Fractal Geometry: Mathematical Foundations and Applications. Math. Gaz. 1990, 74, 288–317. [Google Scholar]
- Hagerhall, C.M.; Purcell, T.; Taylor, R. Fractal dimension of landscape silhouette outlines as a predictor of landscape preference. J. Environ. Psychol. 2004, 24, 247–255. [Google Scholar] [CrossRef]
- Cooper, J. Assessing Urban Character: The use of fractal analysis of street edges. Urban Morphol. 2005, 9, 95–107. [Google Scholar]
- Chalup, S.K.; Henderson, N.; Ostwald, M.J.; Wiklendt, L. A Computational Approach to Fractal Analysis of a Cityscape’s Skyline. Archit. Sci. Rev. 2009, 52, 126–134. [Google Scholar] [CrossRef]
- Feng, Y.; Liu, Y. Fractal dimension as an indicator for quantifying the effects of changing spatial scales on landscape metrics. Ecol. Indicators 2015, 53, 18–27. [Google Scholar] [CrossRef]
- Jing, S.; Jane, S. Remote Sensing-Based Fractal Analysis and Scale Dependence Associated with Forest Fragmentation in an Amazon Tri-National Frontier. Remote Sens. 2013, 5, 454–472. [Google Scholar]
- Zhuang, Z.; Jiang, G.; Xin, H.E.; Yanbo, Q.U.; Zhang, C. Study on Spatial Structure and Form of Rural Residential Based on Fractal Theory: A Case Study on Pinggu District in Beijing. J. Nat. Resour. 2015, 30, 1534–1546. [Google Scholar]
- Kolomyts, E.G.; Sharaya, L.S. Quantitative assessment of functional stability of forest ecosystems. Russian J. Ecol. 2015, 46, 117–127. [Google Scholar] [CrossRef]
- Cao, Y.C.; Zhang, Y.K. Quantitative analysis to the city skyline based on Fractal Theory. Urban Probl. 2013, 12, 32–36. [Google Scholar]
- Heath, T.; Smith, S.G.; Lim, B. Tall Buildings and the Urban Skyline the Effect of Visual Complexity on Preferences. Environ. Behav. 2000, 32, 541–556. [Google Scholar] [CrossRef]
- Lin, Y.; Ke, Y.; Van den Bosch, C.C.K.; Yu, K.; Zhong, Y.; Liu, J. Bird eye analysis of skyline views from an elevated recreation trail—The case of the Fu Forest Trail, Fuzhou, China. Urban For. Urban Green. 2020, 47, 126543. [Google Scholar] [CrossRef]
- Yan, J.; Jing, Z.P. A study of the elevation contours of urban waterfront landscape based on fractal theory: Taking Muyan waterfront scenery belt in Nanjing city as an example. Urban Probl. 2016, 8, 5. [Google Scholar]
- Li, Y.; Gao, M.; Lü, X.; Xu, T.; Zhang, M. Analysis on fractal characteristics of rural settlements in Chongqing and its influencing factors. Trans. Chin. Soc. Agric. Eng. 2014, 30, 225–232. [Google Scholar]
- Che, M.; Nie, Y.; Jiang, S.; Zhang, J.; Duan, R.; Zhao, M. Fractal geometry of rural residential areas in Pingyi County Mountains and impact factors. Trans. Chin. Soc. Agric. Eng. 2010, 26, 360–365. [Google Scholar]
© 2020 by the authors. Licensee MDPI, Basel, Switzerland. This article is an open access article distributed under the terms and conditions of the Creative Commons Attribution (CC BY) license (http://creativecommons.org/licenses/by/4.0/).





















