Study on the Coupled Heat Transfer Model Based on Groundwater Advection and Axial Heat Conduction for the Double U-Tube Vertical Borehole Heat Exchanger
Abstract
1. Introduction
2. State of the Art
3. Methodology
3.1. Coupled Heat Transfer Model of Porous Medium inside and outside BHE
- (1)
- The soil is assumed to be a homogeneous and porous medium, which is initially at thermal equilibrium and its thermal properties are independent of the temperature changes.
- (2)
- The soil surface temperature remained constant at the initial value and its properties are independent of vertical geothermal gradient and temperature variations.
- (3)
- Heat transfer between two legs of U-tube is negligible and a constant heat flow rate of the borehole is treated as a line source of finite length, which stretches along the z-axis down to a certain depth H of borehole, as shown in Figure 2.
- (4)
- All the material properties related to the BHE are temperature-independent and remain constant.
3.2. Model Validation
4. Results and Discussion
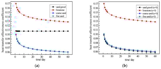
4.1. Effect of Soil Type
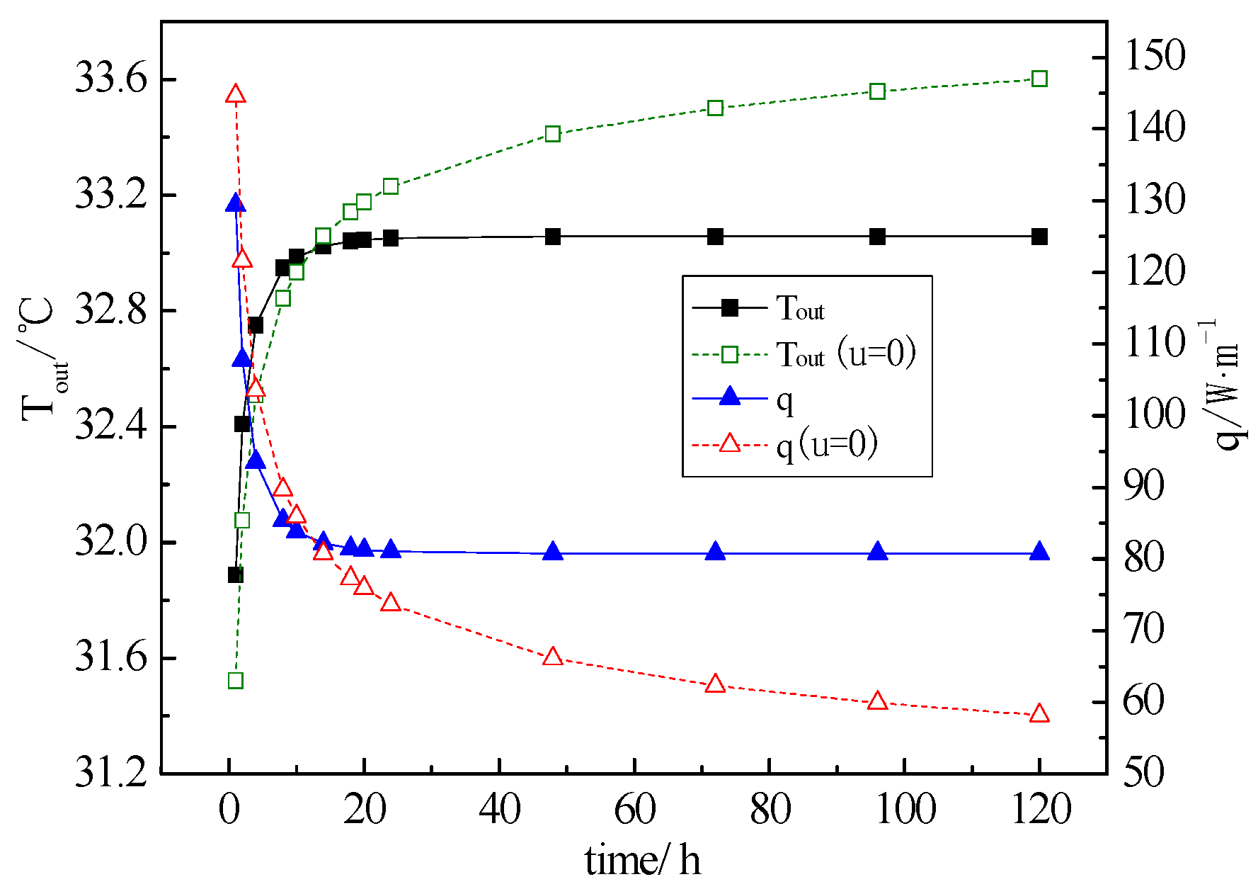
4.2. Effect of Groundwater Advection Velocity
4.3. Effect of Water Mass Flow Rate
4.4. Effects of Inlet Water Temperature
5. Conclusions
- (1)
- The heat convection between the buried tube and soil is reinforced with the increase in groundwater advection velocity in the soil. As a result, the outlet water temperature of the buried U-tube drops and the heat transfer rate increases. Thus, clarifying the in situ groundwater flow conditions in the soil is important before designing a BHE.
- (2)
- The heat transfer process of the buried U-tube in several typical soils with groundwater advection was discussed. The thermal conductivity of soil plays a leading role in heat transfer at the initial early stage. The effect of groundwater advection appears gradually as time goes on. A large value of advection velocity is brought about in the short time it takes for the outlet water temperature of the buried U-tube to achieve stability. Hence, the length of the buried tube designed can be reduced and the initial investment reduced if groundwater advection velocity can be larger than a certain value.
- (3)
- With the increase of inlet mass flow rate, the turbulence intensity in the tube increases and the total heat transfer of double U-tube augment but the enlarge of the flow resistance leads to the increase of pump power consumption. Therefore, the influence of heat exchange and power consumption should be considered in the choice of inlet mass flow rate. The effects of the inlet temperature to the buried U-tube on the heat transfer effectiveness of BHE can be neglected.
Author Contributions
Funding
Conflicts of Interest
Nomenclature
| Specific heat capacity, J·kg−1·K−1 | |
| Spacing between two legs of U-tube, m | |
| , | The ratio of the actual and the ideal heat transfer to the maximal heat transfer |
| Borehole depth, m | |
| Convection coefficient of the fluid inside tube, W·m−1·K−1 | |
| Permeability coefficient, m·s−1 | |
| Characteristic length, m | |
| Mass flow rate of water, kg·s−1 | |
| Correction factor, heating , cooling | |
| Heat transfer rate, W·m−1 | |
| Thermal resistance between the fluid in each U-tube leg and the borehole wall, m·K·W−1 | |
| Thermal resistance between two adjacent U-tube legs, m·K·W−1 | |
| Thermal resistance between two symmetric U-tube legs, m·K·W−1 | |
| ,, | Borehole radius, internal and external radius of U-tube, m |
| Temperature, °C | |
| Equivalent advection velocity, m·s−1 | |
| Advection velocity, m·s−1 | |
| Thermal diffusivity, m2·s−1 | |
| Porosity | |
| ,, | Heat conductivity of fluid, grout, soil and tube, W·m−1·K−1 |
| Density, kg·m−3 | |
| Time, s | |
| heat transfer effectiveness coefficient | |
| Subscripts | |
| initial | |
| soil | |
| water | |
| inlet | |
| outlet | |
| , | the downward and upward U-tube legs |
References
- Yu, X.; Li, H.; Yao, S.; Nielsen, V.; Heller, A. Development of an efficient numerical model and analysis of heat transfer performance for borehole heat exchanger. Renew. Energy 2020, 152, 189–197. [Google Scholar] [CrossRef]
- Yang, W.; Zhou, J.; Xu, W.; Zhang, G. Current status of ground-source heat pumps in China. Energy Policy 2010, 38, 323–332. [Google Scholar] [CrossRef]
- Han, C.; Yu, X. Performance of a residential ground source heat pump system in sedimentary rock formation. Appl. Energy 2016, 164, 89–98. [Google Scholar] [CrossRef]
- Li, W.; Li, X.; Wang, Y.; Du, R.; Tu, J. Effect of the heat load distribution on thermal performance predictions of ground heat exchangers in a stratified subsurface. Renew. Energy 2019, 141, 340–348. [Google Scholar] [CrossRef]
- Yuan, T.; Ding, Y.; Zhang, Q.; Zhu, N.; Yang, K.; He, Q. Thermodynamic and economic analysis for ground-source heat pump system coupled with borehole free cooling. Energy Build. 2017, 155, 185–197. [Google Scholar] [CrossRef]
- Rey-Mahía, C.; Sañudo-Fontaneda, L.A.; Andrés-Valeri, V.C.; Alvarez-Rabanal, F.P.; Coupe, S.J.; Roces-García, J. Evaluating the Thermal Performance of Wet Swales Housing Ground Source Heat Pump Elements through Laboratory Modelling. Sustainability 2019, 11, 3118. [Google Scholar] [CrossRef]
- Javadi, H.; Ajarostaghi, S.S.M.; Rosen, M.A.; Pourfallah, M. Performance of ground heat exchangers: A comprehensive review of recent advances. Energy 2019, 178, 207–233. [Google Scholar] [CrossRef]
- Samson, M.; Dallaire, J.; Gosselin, L. Influence of groundwater flow on cost minimization of ground coupled heat pump systems. Geothermics 2018, 73, 100–110. [Google Scholar] [CrossRef]
- Aranzabal, N.; Martos, J.; Steger, H.; Blum, P.; Soret, J. Temperature measurements along a vertical borehole heat exchanger: A method comparison. Renew. Energy 2019, 143, 1247–1258. [Google Scholar] [CrossRef]
- Haehnlein, S.; Bayer, P.; Blum, P. International legal status of the use of shallow geothermal energy. Renew. Sustain. Energy Rev. 2010, 14, 2611–2625. [Google Scholar] [CrossRef]
- Dehghan, B.; Dehghan, B.B. Effectiveness of using spiral ground heat exchangers in ground source heat pump system of a building for district heating/cooling purposes: Comparison among different configurations. Appl. Therm. Eng. 2018, 130, 1489–1506. [Google Scholar] [CrossRef]
- Angelotti, A.; Alberti, L.; La Licata, I.; Antelmi, M. Energy performance and thermal impact of a Borehole Heat Exchanger in a sandy aquifer: Influence of the groundwater velocity. Energy Convers. Manag. 2014, 77, 700–708. [Google Scholar] [CrossRef]
- Molina-Giraldo, N.; Blum, P.; Zhu, K.; Bayer, P.; Fang, Z. A moving finite line source model to simulate borehole heat exchangers with groundwater advection. Int. J. Therm. Sci. 2011, 50, 2506–2513. [Google Scholar] [CrossRef]
- Carslaw, H.S.; Jaeger, J.C. Conduction of Heat in Solids; Claremore Press: Oxford, UK, 1959. [Google Scholar]
- Gan, G. Dynamic thermal performance of horizontal ground source heat pumps–The impact of coupled heat and moisture transfer. Energy 2018, 152, 877–887. [Google Scholar] [CrossRef]
- Hu, J. An improved analytical model for vertical borehole ground heat exchanger with multiple-layer substrates and groundwater flow. Appl. Energy 2017, 202, 537–549. [Google Scholar] [CrossRef]
- Chen, J.; Xia, L.; Li, B.; Mmereki, D. Simulation and experimental analysis of optimal buried depth of the vertical U-tube ground heat exchanger for a ground-coupled heat pump system. Renew. Energy 2015, 73, 46–54. [Google Scholar] [CrossRef]
- Yoon, S.; Lee, S.-R.; Go, G.-H. A numerical and experimental approach to the estimation of borehole thermal resistance in ground heat exchangers. Energy 2014, 71, 547–555. [Google Scholar] [CrossRef]
- Kayaci, N.; Demir, H. Numerical modelling of transient soil temperature distribution for horizontal ground heat exchanger of ground source heat pump. Geothermics 2018, 73, 33–47. [Google Scholar] [CrossRef]
- Florides, G.; Christodoulides, P.; Pouloupatis, P. Single and double U-tube ground heat exchangers in multiple-layer substrates. Appl. Energy 2013, 102, 364–373. [Google Scholar] [CrossRef]
- Tang, F.; Nowamooz, H. Factors influencing the performance of shallow Borehole Heat Exchanger. Energy Convers. Manag. 2019, 181, 571–583. [Google Scholar] [CrossRef]
- Choi, J.-C.; Park, J.; Lee, S.-R. Numerical evaluation of the effects of groundwater flow on borehole heat exchanger arrays. Renew. Energy 2013, 52, 230–240. [Google Scholar] [CrossRef]
- Zhang, W.; Yang, H.; Guo, X.; Yu, M.; Fang, Z. Investigation on groundwater velocity based on the finite line heat source seepage model. Int. J. Heat Mass Transf. 2016, 99, 391–401. [Google Scholar] [CrossRef]
- Zhang, L.; Zhao, L.; Yang, L.; Songtao, H.; Linlin, Z.; Lei, Z.; Liu, Y. Analyses on soil temperature responses to intermittent heat rejection from BHEs in soils with groundwater advection. Energy Build. 2015, 107, 355–365. [Google Scholar] [CrossRef]
- Katsura, T.; Shoji, Y.; Sakata, Y.; Nagano, K. Method for calculation of ground temperature in scenario involving multiple ground heat exchangers considering groundwater advection. Energy Build. 2020, 220, 110000. [Google Scholar] [CrossRef]
- Zhang, W.; Zhang, L.; Cui, P.; Gao, Y.; Liu, J.; Yu, M. The influence of groundwater seepage on the performance of ground source heat pump system with energy pile. Appl. Therm. Eng. 2019, 162. [Google Scholar] [CrossRef]
- Hua, J.; Li, G.; Zhao, X.; Wu, W.; Li, N.; Li, Q. The hot stack performance of the shallow geothermal heat pump system with/without intensification state of groundwater seepage in Nanjing (China). Energy Build. 2017, 150, 558–566. [Google Scholar] [CrossRef]
- Gehlin, S.; Hellström, G. Influence on thermal response test by groundwater flow in vertical fractures in hard rock. Renew. Energy 2003, 28, 2221–2238. [Google Scholar] [CrossRef]
- Fan, R.; Ma, Z. Heat transfer analysis of underground heat exchangers under coupled thermal conduction and groundwater advection conditions. Heat. Vent. Air Cond. 2006, 36, 6–10. [Google Scholar]
- Zanchini, E.; Lazzari, S.; Priarone, A.; Antonella, P. Long-term performance of large borehole heat exchanger fields with unbalanced seasonal loads and groundwater flow. Energy 2012, 38, 66–77. [Google Scholar] [CrossRef]
- You, S.; Cheng, X.; Yu, C.; Dang, Z. Effects of groundwater flow on the heat transfer performance of energy piles: Experimental and numerical analysis. Energy Build. 2017, 155, 249–259. [Google Scholar] [CrossRef]
- Li, W.; Li, X.; Peng, Y.; Wang, Y.; Tu, J. Experimental and numerical studies on the thermal performance of ground heat exchangers in a layered subsurface with groundwater. Renew. Energy 2020, 147, 620–629. [Google Scholar] [CrossRef]
- Rees, S.; He, M. A three-dimensional numerical model of borehole heat exchanger heat transfer and fluid flow. Geothermics 2013, 46, 1–13. [Google Scholar] [CrossRef]
- Ingersoll, L.; Plass, H. Theory of the ground pipe heat source for the heat pump. ASHVE Trans. 1984, 47, 339–348. [Google Scholar]
- Wagner, V.; Blum, P.; Kübert, M.; Bayer, P. Analytical approach to groundwater-influenced thermal response tests of grouted borehole heat exchangers. Geothermics 2013, 46, 22–31. [Google Scholar] [CrossRef]
- Zhang, W.; Yang, H.; Lu, L.; Fang, Z. The analytical on soil cylindrical heat source model of foundation pile ground heat exchangers with groundwater flow. Energy 2013, 55, 417–425. [Google Scholar] [CrossRef]
- Saito, H.; Simunek, J.; Mohanty, B. Numerical Analysis of Coupled Water, Vapor, and Heat Transport in the Vadose Zone. Vadose Zone J. 2006, 5, 784–800. [Google Scholar] [CrossRef]
- Zeng, H.; Diao, N.; Fang, Z. Heat transfer analysis of boreholes in vertical ground heat exchangers. Int. J. Heat Mass Transf. 2003, 46, 4467–4481. [Google Scholar] [CrossRef]
- Hellström, G. Ground Heat Storage, Thermal Analyses of Duct Storage Systems. Ph.D. Thesis, University of Lund, Lund, Sweden, January 1991. [Google Scholar]
- Zhu, H. Study on the insitu soil thermal response data processing methods of double U-Tube BHE. Master’s Thesis, Xi’an University of Architecture and Technology, Xi’an, China, May 2014. [Google Scholar]
- Tan, X.; Ding, L. Theoretical analysis of groundwater flow affecting design of ground-loop heat exchanger. Refrig. Air Cond. Electr. Power Mach. 2003, 24, 14–16. [Google Scholar]
- United States environmental protection agency. Filtr. Sep. 1999, 36, 41. [CrossRef]











| Parameter | Values | Parameters | Values |
|---|---|---|---|
| Borehole length/ | 103 m | Density of water/ | 1000 kg·m−3 |
| Borehole radius/ | 0.055 m | Specific heat of water/ | 4200 J·kg−1·K−1 |
| U-tube inner radius/ | 0.010 m | Water mass flow rate/ | 0.51 kg·s−1 |
| U-tube outer radius/ | 0.0125 m | U-tube spacing/ | 0.07 m |
| Soil thermal conductance/ | 3.08 W·m−1·K−1 | U-tube thermal conductance/ | 0.45 W·m−1·K−1 |
| Grout thermal conductance/ | 1.19 W·m−1·K−1 | Thermal conductance of tube fluid/ | 0.48 W·m−1·K−1 |
| Soil Media | Thermal Conductivity /W·m−1·K−1 | Volume Heat Capacity /J·m−3·K−1 | Permeability Coefficient /m·s−1 | Advection Velocity /m·s−1 | Porosity | Pe |
|---|---|---|---|---|---|---|
| sand gravel | 0.98 | 1.4 × 106 | 3 × 10−3 | 3 × 10−5 | 0.31 | 578.57 |
| limestone | 3.56 | 1.34 × 107 | 1 × 10−4 | 1 × 10−6 | 0.275 | 5.3 |
| coarse sand | 1.02 | 1.4 × 106 | 7.3 × 10−5 | 7.3 × 10−7 | 0.385 | 13.53 |
| fine sand | 1.03 | 1.4 × 106 | 6.3 × 10−6 | 6.3 × 10−8 | 0.4 | 1.156 |
| silt | 2.07 | 2.85 × 106 | 1.4 × 10−7 | 1.4 × 10−9 | 0.475 | 1.28 × 10−2 |
| sandstone | 4.5 | 3.56 × 106 | 4.2 × 10−8 | 4.2 × 10−10 | 0.18 | 1.76 × 10−3 |
© 2020 by the authors. Licensee MDPI, Basel, Switzerland. This article is an open access article distributed under the terms and conditions of the Creative Commons Attribution (CC BY) license (http://creativecommons.org/licenses/by/4.0/).
Share and Cite
Zhang, L.; Shi, Z.; Yuan, T. Study on the Coupled Heat Transfer Model Based on Groundwater Advection and Axial Heat Conduction for the Double U-Tube Vertical Borehole Heat Exchanger. Sustainability 2020, 12, 7345. https://doi.org/10.3390/su12187345
Zhang L, Shi Z, Yuan T. Study on the Coupled Heat Transfer Model Based on Groundwater Advection and Axial Heat Conduction for the Double U-Tube Vertical Borehole Heat Exchanger. Sustainability. 2020; 12(18):7345. https://doi.org/10.3390/su12187345
Chicago/Turabian StyleZhang, Linlin, Zhonghua Shi, and Tianhao Yuan. 2020. "Study on the Coupled Heat Transfer Model Based on Groundwater Advection and Axial Heat Conduction for the Double U-Tube Vertical Borehole Heat Exchanger" Sustainability 12, no. 18: 7345. https://doi.org/10.3390/su12187345
APA StyleZhang, L., Shi, Z., & Yuan, T. (2020). Study on the Coupled Heat Transfer Model Based on Groundwater Advection and Axial Heat Conduction for the Double U-Tube Vertical Borehole Heat Exchanger. Sustainability, 12(18), 7345. https://doi.org/10.3390/su12187345

